Тексерілді:
Қысқа мерзімді жоспар
|
Бөлім: |
Python (пайтон) тілінде алгоритмдерді программалау |
|
|
Педагогтің аты-жөні |
Г.Бейсеева |
|
|
Күні: |
27.01.2025 ж |
|
|
Сынып:8а,ә,б |
Қатысушылар саны: |
Қатыспағандар саны: |
|
Сабақтың тақырыбы |
While (уайл) циклі |
|
|
Оқу бағдарламасына сәйкес оқыту мақсаттары |
8.3.3.1 While (уайл) цикл операторын пайдалану; |
|
|
Сабақтың мақсаты |
While (уайл) циклі операторын таныстыру, оның құрылымын және жұмыс принципін түсіндіру. Циклды қолдану арқылы нақты есептерді шешу дағдыларын дамыту. While цикліне негізделген бағдарламаларды жазу арқылы оқушылардың логикалық ойлау қабілеттерін жетілдіру. |
|
|
Құндылық: заң және тәртіп |
Тәртіп пен әділдік нормалар мен ережелерді сақтау қажеттілігін түсіну |
|
Сабақтың барысы
|
Сабақтың кезеңі |
Педагогтің әрекеті |
Оқушының әрекеті |
Бағалау |
Ресурстар |
||||||||||||||||||||||||
|
Сабақтың басы |
Ұйымдастыру кезеңі: 1. Оқушылармен сәлемдесу және белгілеу. 2. "Қуаныш шеңбері" әдісі арқылы сыныпта қолайлы психологиялық атмосфера қалыптасады. Оқушылар бір-бірімен жақсы тілектер алмасып, бүкіл сыныптың көңіл-күйін көтереді.. 3. Үй тапсырмасын тексеру Өткен тақырыпты қайталау. Сұрақтар интерактивті тақтада көрсетілген түрлі-түсті сұрақтардан таңдалады. 1. Цикл дегеніміз не? 2. Python-да қандай Цикл операторлары бар? 3. "While" сөзі ағылшын тілінен қалай аударылады? 4. While циклі қалай жазылады? 5. Егер шарт жалған болса, цикл денесі қанша рет орындалады? 6. While операторы қандай жағдайларда қолданылады? |
Оқушылар мұғаліммен амандасады
Оқушылар бір-бірімен жақсы тілектер алмасады
Оқушылар сұрақтарға жауап береді, өткен таұырыпқа шолу жасайды
|
Оқушылар сабаққа қатысу белсенділігіне қарай 1-10 баллдық жүйе бойынша қалыптастырушы бағалаумен бағаланады |
Презентация Оқулық Жұмыс дәптері Компьютер |
||||||||||||||||||||||||
|
Сабақтың ортасы |
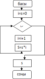
Жаңа материалды меңгеру: Шексіз цикл дегеніміз не? Кейбір жағдайларда циклдің қайталану шарты дұрыс орнатылмаған кезде немесе цикл параметрі цикл ішінде өзгермеген кезде цикл пайда болады. Мұндай жағдайларда циклден шығу орындалмайды және бағдарлама шексіз орындалады. Қажет болса, шексіз циклды модельдеуге болады. Бұл әдіс бағдарламаны шексіз орындау үшін қолданылады. Шексіз цикл құрылымы: k = 1 print ('Салем') k = k + 1 Бұл жағдайда цикл шексіз, өйткені циклдің орындалу шарты әрқашан ақиқат болады, нәтижесінде экранға "Салем" сөзінің шығуы шексіз жалғасады. Білімді бекіту: 1-тапсырма. Бағдарламаның орындау нәтижесін анқта:
2
Сергіту сәті
3-тапсырма. N натурал саны берілген. Сол санның цифрларының көбейтіндісін табатын блок- сызба құрастыр. Есептің программа кодын жаз.
4-тапсырма. a)Бағдарлама жолдарын дұрыс ретпен орналастыр, есептің шартын анықта:
b)Бағдарлама жолдарын дұрыс ретпен орналастыр, есептің шартын анықта:
5-тапсырма. Сілтеме өтіп тапсырманы орында: |
Мұғалімнің ақпаратын тыңдайды
Тапсырманы орындайды
Тапсырмаларды орындайды Дескриптор: - бағдарламаның нәтижесін жазады
Дескриптор: - циклдың санын жазады
Көз жаттығуларын орындайды
Дескриптор: -санды енгізу кодын анықтайды -Цифрлардың көбейтіндісін анықтайды; -While циклін қолданады;
Дескриптор: - бағдарлама кодын дұрыс ретпен жазады
Дескриптор: - бағдарлама кодын дұрыс ретпен жазады
Дескриптор: - интерактивті тапсырмаларды орындайды |
ФБ 1 балл 1 балл 2 балл 2 балл 2балл 2 балл |
Презентация,
оқулық жұмыс дәптерлері компьютер
Жұмыс парағы, оқулық
|
||||||||||||||||||||||||
|
Сабақтың соңы
|
Үй тапсырмасы. Оң санмен аяқталатын N теріс сандар тізбегі берілген. Барлық сандардың арифметикалық орташа мәнін табыңыз (оң санды қоспағанда). Рефлексия. Барлығын түсіндім Енді түсініп келемін |
Үй тапсырмасын жазады
Оқушылардың әрқайсысы өз жұмысын бағалайды. |
Оқушылар сабаққа қатысу белсенділігіне қарай 1-10 баллдық жүйе бойынша қалыптастырушы бағалаумен бағаланады |
Білім класс |
жүктеу мүмкіндігіне ие боласыз
Бұл материал сайт қолданушысы жариялаған. Материалдың ішінде жазылған барлық ақпаратқа жауапкершілікті жариялаған қолданушы жауап береді. Ұстаз тілегі тек ақпаратты таратуға қолдау көрсетеді. Егер материал сіздің авторлық құқығыңызды бұзған болса немесе басқа да себептермен сайттан өшіру керек деп ойласаңыз осында жазыңыз
While (уайл) циклі
While (уайл) циклі
Тексерілді:
Қысқа мерзімді жоспар
|
Бөлім: |
Python (пайтон) тілінде алгоритмдерді программалау |
|
|
Педагогтің аты-жөні |
Г.Бейсеева |
|
|
Күні: |
27.01.2025 ж |
|
|
Сынып:8а,ә,б |
Қатысушылар саны: |
Қатыспағандар саны: |
|
Сабақтың тақырыбы |
While (уайл) циклі |
|
|
Оқу бағдарламасына сәйкес оқыту мақсаттары |
8.3.3.1 While (уайл) цикл операторын пайдалану; |
|
|
Сабақтың мақсаты |
While (уайл) циклі операторын таныстыру, оның құрылымын және жұмыс принципін түсіндіру. Циклды қолдану арқылы нақты есептерді шешу дағдыларын дамыту. While цикліне негізделген бағдарламаларды жазу арқылы оқушылардың логикалық ойлау қабілеттерін жетілдіру. |
|
|
Құндылық: заң және тәртіп |
Тәртіп пен әділдік нормалар мен ережелерді сақтау қажеттілігін түсіну |
|
Сабақтың барысы
|
Сабақтың кезеңі |
Педагогтің әрекеті |
Оқушының әрекеті |
Бағалау |
Ресурстар |
||||||||||||||||||||||||
|
Сабақтың басы |
Ұйымдастыру кезеңі: 1. Оқушылармен сәлемдесу және белгілеу. 2. "Қуаныш шеңбері" әдісі арқылы сыныпта қолайлы психологиялық атмосфера қалыптасады. Оқушылар бір-бірімен жақсы тілектер алмасып, бүкіл сыныптың көңіл-күйін көтереді.. 3. Үй тапсырмасын тексеру Өткен тақырыпты қайталау. Сұрақтар интерактивті тақтада көрсетілген түрлі-түсті сұрақтардан таңдалады. 1. Цикл дегеніміз не? 2. Python-да қандай Цикл операторлары бар? 3. "While" сөзі ағылшын тілінен қалай аударылады? 4. While циклі қалай жазылады? 5. Егер шарт жалған болса, цикл денесі қанша рет орындалады? 6. While операторы қандай жағдайларда қолданылады? |
Оқушылар мұғаліммен амандасады
Оқушылар бір-бірімен жақсы тілектер алмасады
Оқушылар сұрақтарға жауап береді, өткен таұырыпқа шолу жасайды
|
Оқушылар сабаққа қатысу белсенділігіне қарай 1-10 баллдық жүйе бойынша қалыптастырушы бағалаумен бағаланады |
Презентация Оқулық Жұмыс дәптері Компьютер |
||||||||||||||||||||||||
|
Сабақтың ортасы |
Жаңа материалды меңгеру: Шексіз цикл дегеніміз не? Кейбір жағдайларда циклдің қайталану шарты дұрыс орнатылмаған кезде немесе цикл параметрі цикл ішінде өзгермеген кезде цикл пайда болады. Мұндай жағдайларда циклден шығу орындалмайды және бағдарлама шексіз орындалады. Қажет болса, шексіз циклды модельдеуге болады. Бұл әдіс бағдарламаны шексіз орындау үшін қолданылады. Шексіз цикл құрылымы: k = 1 print ('Салем') k = k + 1 Бұл жағдайда цикл шексіз, өйткені циклдің орындалу шарты әрқашан ақиқат болады, нәтижесінде экранға "Салем" сөзінің шығуы шексіз жалғасады. Білімді бекіту: 1-тапсырма. Бағдарламаның орындау нәтижесін анқта:
2
Сергіту сәті
3-тапсырма. N натурал саны берілген. Сол санның цифрларының көбейтіндісін табатын блок- сызба құрастыр. Есептің программа кодын жаз.
4-тапсырма. a)Бағдарлама жолдарын дұрыс ретпен орналастыр, есептің шартын анықта:
b)Бағдарлама жолдарын дұрыс ретпен орналастыр, есептің шартын анықта:
5-тапсырма. Сілтеме өтіп тапсырманы орында: |
Мұғалімнің ақпаратын тыңдайды
Тапсырманы орындайды
Тапсырмаларды орындайды Дескриптор: - бағдарламаның нәтижесін жазады
Дескриптор: - циклдың санын жазады
Көз жаттығуларын орындайды
Дескриптор: -санды енгізу кодын анықтайды -Цифрлардың көбейтіндісін анықтайды; -While циклін қолданады;
Дескриптор: - бағдарлама кодын дұрыс ретпен жазады
Дескриптор: - бағдарлама кодын дұрыс ретпен жазады
Дескриптор: - интерактивті тапсырмаларды орындайды |
ФБ 1 балл 1 балл 2 балл 2 балл 2балл 2 балл |
Презентация,
оқулық жұмыс дәптерлері компьютер
Жұмыс парағы, оқулық
|
||||||||||||||||||||||||
|
Сабақтың соңы
|
Үй тапсырмасы. Оң санмен аяқталатын N теріс сандар тізбегі берілген. Барлық сандардың арифметикалық орташа мәнін табыңыз (оң санды қоспағанда). Рефлексия. Барлығын түсіндім Енді түсініп келемін |
Үй тапсырмасын жазады
Оқушылардың әрқайсысы өз жұмысын бағалайды. |
Оқушылар сабаққа қатысу белсенділігіне қарай 1-10 баллдық жүйе бойынша қалыптастырушы бағалаумен бағаланады |
Білім класс |
шағым қалдыра аласыз















