Туркестанская область
Жетысайский район, поселок Асыката
Коммунальное государственное учреждение
«Школа-гимназии №11 « Женис»
Учительница русского языка и литературы
Пак Елены Викторовны
|
Раздел |
Строение атома. Атомные явления. |
|||||||
|
ФИО педагога: |
Пак Е. В. |
|||||||
|
Дата |
20. 09. 2025 |
|||||||
|
Класс: 9 «В» |
Количество присутствующих: |
отсутствующих: |
||||||
|
Тема открытого урока |
Явление фотоэффекта |
|||||||
|
Цели обучения, которые достигаются на данном уроке |
9.6.1.3 описывать явление фотоэффекта и приводить примеры применения фотоэффекта в технике; 9.6.1.4 применять формулу Эйнштейна для фотоэффекта при решении задач; |
|||||||
|
Цель урока |
Узнать понятие, законы фотоэффекта, что такое фотон, формулы. Узнать какое значение имеет в практической жизни человека. Уметь объяснять законы и применять при решении задач |
|||||||
|
Ход урока |
||||||||
|
Этапы урока |
Деятельность учителя |
Деятельность обучающихся |
Оценивание |
Ресурсы |
||||
|
Организационный этап 5 мин |
Орг. момент. Постановка целей урока. Учащиеся собираются в группы способом «МОЗАИКА». Учащиеся берут карточки с фрагментами портрета устанавливая соответствие.. Повторение 1.Тепловое излучение 2 Гипотеза Планка о световых квантах
|
Показывают решения задач, при возникновении вопросов разбирают с учителем |
Интерактивное обучение |
Интерактивная доска |
||||
|
Изучение нового материала 35 мин |
Подтверждением существования фотонов с определённой порцией энергии стало явление фотоэффекта. Фотоэффект -это явление вырывания электронов из вещества под действием электромагнитного излучения. Слово «фотоэффект» состоит из двух иностранных слов: фото от греческого - «свет», а эффект от латинского - «действую». Дословно -действие света. Впервые это явление в 1887-м году наблюдал немецкий учёный Г. Герц. Пытаясь обнаружить электромагнитные волны, предсказанные Д. Максвеллом, он провёл опыт с передающей и принимающий антеннами. Герц обнаружил, что при облучении шариков принимающей антенны ультрафиолетовым светом проскакивание искры облегчалось. Искра в принимающей антенне при освещении становилась более интенсивной, что свидетельствовало об увеличении числа заряженных частиц в искре. Герц был настолько поглощен исследованием электромагнитных волн, что не принял данный факт во внимание. Год спустя фотоэффект был независимо открыт русским физиком Александром Григорьевичем Столетовым. Искра дугового разряда освещала цинковую пластину соединенную с металлической сеткой через источник тока и гальванометр№ Анализируя результаты проведённые опытом учёный пришёл к следующим выводам:
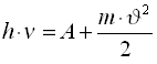
На основании закона сохранения энергии, который является фундаментальным и применим ко всем явлениям природы, в 1905 году объяснил явление фотоэффекта. Электроны атомов, расположенные у поверхности вещества, поглощают энергию фотонов. Увеличение энергии позволяет электрону преодолеть силу притяжения ядра покинуть вещество и обладая запасом кинетической энергии свободно двигаться в пространстве.
Еф=Авых+ Ек;
За это в 1921 году получил Нобелевскую премию. Электрический ток, создаваемый фотоэлектронами называется фототоком. Зависимость фототока от напряжения: Для измерения энергии фотоэлектрона и работы выхода, как и в случае энергии фотона используют внесистемную единицу электрон - вольт 1 эВ =1,6 •10-19 Джоулей количество электронов, вырванных с поверхности вещества определяется числом фотонов падающих на эту поверхность. Фотоэффект наблюдается только в том случае, когда энергия фотона достаточно для определения электронов силы притяжения ядра. Минимальную частоту, при которой возможен фотоэффект, называют красной границей фотоэффекта. Частота и длина волны связана соотношением максимальную длину волны, при которой происходит фотоэффект также называют красной границей фотоэффекта работа выхода зависит отхода вещества красная граница для разных веществ различна в таблице данные значение работы выхода для некоторых химических элементов. Фотоэлектрический эффект был открыт в 1887 году немецким физиком Г. Герцем и в 1888–1890 годах экспериментально исследован А. Г. Столетовым. Наиболее полное исследование явления фотоэффекта было выполнено Ф. Ленардом в 1900 г. К этому времени уже был открыт электрон (1897 г., Дж. Томсон), и стало ясно, что фотоэффект (или точнее – внешний фотоэффект) состоит в вырывании электронов из вещества под действием падающего на него света.
Исходя из закона сохранения и превращения
энергии, Эйнштейн математически записал уравнение для
энергетического баланса при внешнем
фотоэффекте: Задерживающее
напряжение: Применение фотоэффекта
Применение фотоэлементов
|
Анализируют правило 1-3 Ознакамливаются с методами решения Разбирают совместно с учителем понятие ОДЗ
|
Словесная оценка учителя . Взаимооценивание Стратегия «Стикер |
Интерактивная доска |
||||
|
|
Задание №1 работа в парах. Сопоставить тексты столбцов
1.
2. Правильные ответы. 1: 1-Б, 2-В, 3-А, 4-Б, 5-А. 2: 1-В, 2-Б, 3-Б, 4-В, 5-А. Задание 2 Кто быстрее?
Задание 3 Решение задач. Упражнение 33 1. Чему равна энергия фотона красного света, имеющего в вакууме длину волны 0,72 мкм? 2. длина волны, соответствующая красной границе фотоэффекта, для натрия составляет 530 нм Определите работа выхода электронов для натрия. Ответ представьте в эВ. критерий, Дескрипторы: -находит частоту при которой наблюдается красная граница фотоэффекта.+ -определяет работу выхода .+ |
1 Критерий: Дескрипторы: -описывает явление фотоэффекта + -приводит примеры применения фотоэффекта в технике + 2 критерий: Дескрипторы: - перечисляет фамилии ученных, открывших явление фотоэффекта.+ - объясняет условия возникновения фотоэффекта + -использует формулу Эйнштейна + --применяет её для решения задач.+ |
|
|
||||
|
Рефлексия 5 мин |
Итог урока: Рефлексия «Лестница успеха» «Если ты сумеешь правильно судить себя, значит ты поистине мудр» Антуан де Сент-Экзюпери 1. старался, но не все получилось 2. работал активно, но иногда возникали трудности 3. достиг высот, значит работал хорошо |
Учащиеся подытоживают свои знания по изучаемой теме. |
|
|
||||
жүктеу мүмкіндігіне ие боласыз
Бұл материал сайт қолданушысы жариялаған. Материалдың ішінде жазылған барлық ақпаратқа жауапкершілікті жариялаған қолданушы жауап береді. Ұстаз тілегі тек ақпаратты таратуға қолдау көрсетеді. Егер материал сіздің авторлық құқығыңызды бұзған болса немесе басқа да себептермен сайттан өшіру керек деп ойласаңыз осында жазыңыз
Явление фотоэффекта
Явление фотоэффекта
Туркестанская область
Жетысайский район, поселок Асыката
Коммунальное государственное учреждение
«Школа-гимназии №11 « Женис»
Учительница русского языка и литературы
Пак Елены Викторовны
|
Раздел |
Строение атома. Атомные явления. |
|||||||
|
ФИО педагога: |
Пак Е. В. |
|||||||
|
Дата |
20. 09. 2025 |
|||||||
|
Класс: 9 «В» |
Количество присутствующих: |
отсутствующих: |
||||||
|
Тема открытого урока |
Явление фотоэффекта |
|||||||
|
Цели обучения, которые достигаются на данном уроке |
9.6.1.3 описывать явление фотоэффекта и приводить примеры применения фотоэффекта в технике; 9.6.1.4 применять формулу Эйнштейна для фотоэффекта при решении задач; |
|||||||
|
Цель урока |
Узнать понятие, законы фотоэффекта, что такое фотон, формулы. Узнать какое значение имеет в практической жизни человека. Уметь объяснять законы и применять при решении задач |
|||||||
|
Ход урока |
||||||||
|
Этапы урока |
Деятельность учителя |
Деятельность обучающихся |
Оценивание |
Ресурсы |
||||
|
Организационный этап 5 мин |
Орг. момент. Постановка целей урока. Учащиеся собираются в группы способом «МОЗАИКА». Учащиеся берут карточки с фрагментами портрета устанавливая соответствие.. Повторение 1.Тепловое излучение 2 Гипотеза Планка о световых квантах
|
Показывают решения задач, при возникновении вопросов разбирают с учителем |
Интерактивное обучение |
Интерактивная доска |
||||
|
Изучение нового материала 35 мин |
Подтверждением существования фотонов с определённой порцией энергии стало явление фотоэффекта. Фотоэффект -это явление вырывания электронов из вещества под действием электромагнитного излучения. Слово «фотоэффект» состоит из двух иностранных слов: фото от греческого - «свет», а эффект от латинского - «действую». Дословно -действие света. Впервые это явление в 1887-м году наблюдал немецкий учёный Г. Герц. Пытаясь обнаружить электромагнитные волны, предсказанные Д. Максвеллом, он провёл опыт с передающей и принимающий антеннами. Герц обнаружил, что при облучении шариков принимающей антенны ультрафиолетовым светом проскакивание искры облегчалось. Искра в принимающей антенне при освещении становилась более интенсивной, что свидетельствовало об увеличении числа заряженных частиц в искре. Герц был настолько поглощен исследованием электромагнитных волн, что не принял данный факт во внимание. Год спустя фотоэффект был независимо открыт русским физиком Александром Григорьевичем Столетовым. Искра дугового разряда освещала цинковую пластину соединенную с металлической сеткой через источник тока и гальванометр№ Анализируя результаты проведённые опытом учёный пришёл к следующим выводам:
На основании закона сохранения энергии, который является фундаментальным и применим ко всем явлениям природы, в 1905 году объяснил явление фотоэффекта. Электроны атомов, расположенные у поверхности вещества, поглощают энергию фотонов. Увеличение энергии позволяет электрону преодолеть силу притяжения ядра покинуть вещество и обладая запасом кинетической энергии свободно двигаться в пространстве.
Еф=Авых+ Ек;
За это в 1921 году получил Нобелевскую премию. Электрический ток, создаваемый фотоэлектронами называется фототоком. Зависимость фототока от напряжения: Для измерения энергии фотоэлектрона и работы выхода, как и в случае энергии фотона используют внесистемную единицу электрон - вольт 1 эВ =1,6 •10-19 Джоулей количество электронов, вырванных с поверхности вещества определяется числом фотонов падающих на эту поверхность. Фотоэффект наблюдается только в том случае, когда энергия фотона достаточно для определения электронов силы притяжения ядра. Минимальную частоту, при которой возможен фотоэффект, называют красной границей фотоэффекта. Частота и длина волны связана соотношением максимальную длину волны, при которой происходит фотоэффект также называют красной границей фотоэффекта работа выхода зависит отхода вещества красная граница для разных веществ различна в таблице данные значение работы выхода для некоторых химических элементов. Фотоэлектрический эффект был открыт в 1887 году немецким физиком Г. Герцем и в 1888–1890 годах экспериментально исследован А. Г. Столетовым. Наиболее полное исследование явления фотоэффекта было выполнено Ф. Ленардом в 1900 г. К этому времени уже был открыт электрон (1897 г., Дж. Томсон), и стало ясно, что фотоэффект (или точнее – внешний фотоэффект) состоит в вырывании электронов из вещества под действием падающего на него света.
Исходя из закона сохранения и превращения
энергии, Эйнштейн математически записал уравнение для
энергетического баланса при внешнем
фотоэффекте: Задерживающее
напряжение: Применение фотоэффекта
Применение фотоэлементов
|
Анализируют правило 1-3 Ознакамливаются с методами решения Разбирают совместно с учителем понятие ОДЗ
|
Словесная оценка учителя . Взаимооценивание Стратегия «Стикер |
Интерактивная доска |
||||
|
|
Задание №1 работа в парах. Сопоставить тексты столбцов
1.
2. Правильные ответы. 1: 1-Б, 2-В, 3-А, 4-Б, 5-А. 2: 1-В, 2-Б, 3-Б, 4-В, 5-А. Задание 2 Кто быстрее?
Задание 3 Решение задач. Упражнение 33 1. Чему равна энергия фотона красного света, имеющего в вакууме длину волны 0,72 мкм? 2. длина волны, соответствующая красной границе фотоэффекта, для натрия составляет 530 нм Определите работа выхода электронов для натрия. Ответ представьте в эВ. критерий, Дескрипторы: -находит частоту при которой наблюдается красная граница фотоэффекта.+ -определяет работу выхода .+ |
1 Критерий: Дескрипторы: -описывает явление фотоэффекта + -приводит примеры применения фотоэффекта в технике + 2 критерий: Дескрипторы: - перечисляет фамилии ученных, открывших явление фотоэффекта.+ - объясняет условия возникновения фотоэффекта + -использует формулу Эйнштейна + --применяет её для решения задач.+ |
|
|
||||
|
Рефлексия 5 мин |
Итог урока: Рефлексия «Лестница успеха» «Если ты сумеешь правильно судить себя, значит ты поистине мудр» Антуан де Сент-Экзюпери 1. старался, но не все получилось 2. работал активно, но иногда возникали трудности 3. достиг высот, значит работал хорошо |
Учащиеся подытоживают свои знания по изучаемой теме. |
|
|
||||
шағым қалдыра аласыз



















