|
Білім беру ұйымының атауы: |
|
|
|
Бөлім: |
Электростатика |
|
|
Педагогтің Т.А.Ә. |
|
|
|
Күні: |
|
|
|
Сынып: 10 |
Қатысушылар саны: |
Қатыспағандар саны: |
|
Сабақтың тақырыбы |
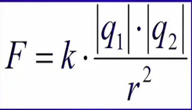
Зарядтың сақталу заңы.Кулон
заңы |
|
|
Оқу бағдарламасына сәйкес оқыту мақсаттары |
10.3.1.1-электр зарядының сақталу заңы
мен Кулон заңын есептер шығаруда қолдану |
|
|
Сабақтың мақсаты |
|
|
Сабақтың барысы
3-тапсырма (ЕБҚ) Жылы ауа қабаты жоғары көтеріліп,суық ауа қабаты төмен қарай бағытталады.Осы құбылыс әсерінен бұлт және ауа қабаты арасында үйкеліс күші пайда
1- бұлт

болып,соның салдарынан найзағай жарқылдайды. Ауа қабаттарының арасында үйкеліске ұшыраған бұлттың біріншісінің заряды 20 Кл және 30 Кл еді, екіншісіне 2*1020 электрон береді.
2- бұлт

жүктеу мүмкіндігіне ие боласыз
Бұл материал сайт қолданушысы жариялаған. Материалдың ішінде жазылған барлық ақпаратқа жауапкершілікті жариялаған қолданушы жауап береді. Ұстаз тілегі тек ақпаратты таратуға қолдау көрсетеді. Егер материал сіздің авторлық құқығыңызды бұзған болса немесе басқа да себептермен сайттан өшіру керек деп ойласаңыз осында жазыңыз
Зарядтың сақталу заңы.Кулон заңы 10 сынып.ҚМЖ 130 бұйрықпен жасалған
Зарядтың сақталу заңы.Кулон заңы 10 сынып.ҚМЖ 130 бұйрықпен жасалған
|
Білім беру ұйымының атауы: |
|
|
|
Бөлім: |
Электростатика |
|
|
Педагогтің Т.А.Ә. |
|
|
|
Күні: |
|
|
|
Сынып: 10 |
Қатысушылар саны: |
Қатыспағандар саны: |
|
Сабақтың тақырыбы |
Зарядтың сақталу заңы.Кулон
заңы |
|
|
Оқу бағдарламасына сәйкес оқыту мақсаттары |
10.3.1.1-электр зарядының сақталу заңы
мен Кулон заңын есептер шығаруда қолдану |
|
|
Сабақтың мақсаты |
|
|
Сабақтың барысы
3-тапсырма (ЕБҚ) Жылы ауа қабаты жоғары көтеріліп,суық ауа қабаты төмен қарай бағытталады.Осы құбылыс әсерінен бұлт және ауа қабаты арасында үйкеліс күші пайда
1- бұлт

болып,соның салдарынан найзағай жарқылдайды. Ауа қабаттарының арасында үйкеліске ұшыраған бұлттың біріншісінің заряды 20 Кл және 30 Кл еді, екіншісіне 2*1020 электрон береді.
2- бұлт

шағым қалдыра аласыз
















