Қарапайым тригонометриялық теңдеулерді шешу

#1 слайд
sin x=а
tg x=а
cos x=а
ctg x=а
Негізінде, айналаңа өзіңе табынушыларды емес,
идея беретін ақыл-парасат иелерін жинау керек.
Дінмұхаммед Қонаев.
1 слайд
sin x=а tg x=а cos x=а ctg x=а Негізінде, айналаңа өзіңе табынушыларды емес, идея беретін ақыл-парасат иелерін жинау керек. Дінмұхаммед Қонаев.
#2 слайд
2 слайд
#3 слайд
3 слайд
#4 слайд
3. Функция у = sin α -тақ , sin (- α) = - sin α
1. Анықталу облысы –барлық нақты сандар жиыны. ( R )
2. Мәндер облысы - [ - 1; 1 ].
4.Функция периодты , 2π.
sin ( α + 2π ) = sin α.
5. Функция үздіксіз.
6. Өседі: [ - π/2; π/2 ]. кемиді: [ π/2; 3π/2 ].
+ + +
- - -
4 слайд
3. Функция у = sin α -тақ , sin (- α) = - sin α 1. Анықталу облысы –барлық нақты сандар жиыны. ( R ) 2. Мәндер облысы - [ - 1; 1 ]. 4.Функция периодты , 2π. sin ( α + 2π ) = sin α. 5. Функция үздіксіз. 6. Өседі: [ - π/2; π/2 ]. кемиді: [ π/2; 3π/2 ]. + + + - - -
#5 слайд
3. Функция у = cos α жұп, cos (- α) = cos α
1. Анықталу облысы барлық нақты сандар. ( R )
2. Мәндер облысы - [ - 1; 1 ].
4.Функция периодты - 2π.
cos ( α + 2π ) = cos α.
5. Функция үздіксіз.
6. Өседі: [ π; 2π ]. Кемиді: [ 0; π ].
- - -
+ + ++
5 слайд
3. Функция у = cos α жұп, cos (- α) = cos α 1. Анықталу облысы барлық нақты сандар. ( R ) 2. Мәндер облысы - [ - 1; 1 ]. 4.Функция периодты - 2π. cos ( α + 2π ) = cos α. 5. Функция үздіксіз. 6. Өседі: [ π; 2π ]. Кемиді: [ 0; π ]. - - - + + ++
#6 слайд
Қарапайым тригонометриялық теңдеулер
шешімінің жалпы түрі
cos x=a, x=±arccos a +2πn, nϵZ
tg x=a, x=arctg a +πn, nϵZ
ctg x=a, x=arcctg a +πn, nϵZ
Шешімдердің дербес түрлері
Zn n, aarcsin (-1) xa,Sin x
n
Sin x=-1
X=-π/2+2πn, nϵZ
cos x=-1
X=π+2πn, nϵZ
tg x=-1
X=-π/4+πn, nϵZ
ctg x=-1
X=3π/4+πn, nϵZ
Sin x=0
X=πn, nϵZ
cos x=0
X=π/2+πn, nϵZ
tg x=0
X=πn, nϵZ
ctg x=0
X=π/2+πn, nϵZ
Sin x=1
X=π/2+2πn, nϵZ
cos x=1
X=2πn, nϵZ
tg x=1
X=π/4+πn, nϵZ
ctg x=1
X=π/4+πn, nϵZ
6 слайд
Қарапайым тригонометриялық теңдеулер шешімінің жалпы түрі cos x=a, x=±arccos a +2πn, nϵZ tg x=a, x=arctg a +πn, nϵZ ctg x=a, x=arcctg a +πn, nϵZ Шешімдердің дербес түрлері Zn n, aarcsin (-1) xa,Sin x n Sin x=-1 X=-π/2+2πn, nϵZ cos x=-1 X=π+2πn, nϵZ tg x=-1 X=-π/4+πn, nϵZ ctg x=-1 X=3π/4+πn, nϵZ Sin x=0 X=πn, nϵZ cos x=0 X=π/2+πn, nϵZ tg x=0 X=πn, nϵZ ctg x=0 X=π/2+πn, nϵZ Sin x=1 X=π/2+2πn, nϵZ cos x=1 X=2πn, nϵZ tg x=1 X=π/4+πn, nϵZ ctg x=1 X=π/4+πn, nϵZ
#7 слайд
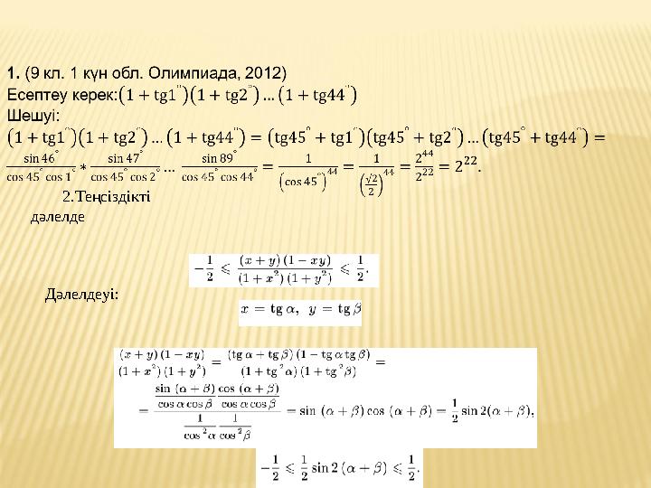
2.Теңсіздікті
дәлелде
Дәлелдеуі:
7 слайд
2.Теңсіздікті дәлелде Дәлелдеуі:
шағым қалдыра аласыз


