Салыстырмалы теория элементтері

#1 слайд
Сабақ тақырыбы: Арнайы салыстырмалылық Арнайы салыстырмалылық
теориясының элементтері.теориясының элементтері.
Оқу мақсаты:Оқу мақсаты:
11.7.1.1 - Галилейдің салыстырмалы принципі мен Эйнштейннің салыстырмалы
принципін сәйкестендіру;
11.7.1.2 – есеп шығару кезінде Эйнштейн постулаттары мен Лоренц түрлендірулерін
қолдана отырып, релятивистік эффектілерді түсіндіру
1 слайд
Сабақ тақырыбы: Арнайы салыстырмалылық Арнайы салыстырмалылық теориясының элементтері.теориясының элементтері. Оқу мақсаты:Оқу мақсаты: 11.7.1.1 - Галилейдің салыстырмалы принципі мен Эйнштейннің салыстырмалы принципін сәйкестендіру; 11.7.1.2 – есеп шығару кезінде Эйнштейн постулаттары мен Лоренц түрлендірулерін қолдана отырып, релятивистік эффектілерді түсіндіру
#2 слайд
Галилей Галилей түрлендіруітүрлендіруі
utxx
yy
zz
tt
2 слайд
Галилей Галилей түрлендіруітүрлендіруі utxx yy zz tt
#3 слайд
Галилей салыстырмалы
принциптері
1.Механикалық заңдары барлық 1.Механикалық заңдары барлық
инерцилық жүйелерде бірдей өтеді. Бұл инерцилық жүйелерде бірдей өтеді. Бұл
жүйелер өзара инвариантты (бірдей).жүйелер өзара инвариантты (бірдей).
2.Барлық инерциялық санақ жүйесінде 2.Барлық инерциялық санақ жүйесінде
механика заңдарын тұжырымдау бірдей механика заңдарын тұжырымдау бірдей
орындалады.орындалады.
3 слайд
Галилей салыстырмалы принциптері 1.Механикалық заңдары барлық 1.Механикалық заңдары барлық инерцилық жүйелерде бірдей өтеді. Бұл инерцилық жүйелерде бірдей өтеді. Бұл жүйелер өзара инвариантты (бірдей).жүйелер өзара инвариантты (бірдей). 2.Барлық инерциялық санақ жүйесінде 2.Барлық инерциялық санақ жүйесінде механика заңдарын тұжырымдау бірдей механика заңдарын тұжырымдау бірдей орындалады.орындалады.
#4 слайд
Альберт ЭйнштейнАльберт Эйнштейн
Эйнштейн АльбертЭйнштейн Альберт, нем. , нем. Albert EinsteinAlbert Einstein (14 (14
наурыз 1879, Германия, Ульм қаласы – 18 наурыз 1879, Германия, Ульм қаласы – 18
сәуір 1955, АҚШ, Нью-Джерси штаты, Принстон) –физик-сәуір 1955, АҚШ, Нью-Джерси штаты, Принстон) –физик-
теоретик, қазіргі физиканың негізін салушылардың бірі.теоретик, қазіргі физиканың негізін салушылардың бірі.
Альберт Эйнштейн — теориялық физиканың Альберт Эйнштейн — теориялық физиканың
негіз қалаушылардың бірі, 1921 жылғы Нобель негіз қалаушылардың бірі, 1921 жылғы Нобель
сыйлығының иегері, атақты ойшыл және қоғам қайраткері, сыйлығының иегері, атақты ойшыл және қоғам қайраткері,
әлемнің алдыңғы қатарлы 20-ға жуық университеттерінің әлемнің алдыңғы қатарлы 20-ға жуық университеттерінің
құрметті профессоры,КСРО Ғылым Академиясының құрметті профессоры,КСРО Ғылым Академиясының
шетелдік құрметті мүшесі.шетелдік құрметті мүшесі.
Эйнштейннің басты еңбегі — Эйнштейннің басты еңбегі —
”Салыстырмалылық теориясы”. Бұдан бөлек 300-ден ”Салыстырмалылық теориясы”. Бұдан бөлек 300-ден
астам ғылыми еңбектердің, тарих,ғылымдар астам ғылыми еңбектердің, тарих,ғылымдар
философиясы және публицистика саласындағы 150-дей философиясы және публицистика саласындағы 150-дей
кітап, мақалалардың авторы ретінде де танымал. Ол кітап, мақалалардың авторы ретінде де танымал. Ол
бiрнеше түбегейлi физикалық теорияларды жасады:бiрнеше түбегейлi физикалық теорияларды жасады:
Арнайы салыстырмалылық теориясы (1905).Арнайы салыстырмалылық теориясы (1905).
Жылу сыйымдылығының Жылу сыйымдылығының
және фотоэффект кванттық теориясыжәне фотоэффект кванттық теориясы
Бозе Эйнштейн кванттық статистикасы.Бозе Эйнштейн кванттық статистикасы.
Броун қозғалысының статистикалық теориясы, Броун қозғалысының статистикалық теориясы,
флуктуациялардың теориясына негiзін салған.флуктуациялардың теориясына негiзін салған.
1921 жылы ғалым Нобель сыйлығына ие 1921 жылы ғалым Нобель сыйлығына ие
болады. Гитлер билік басына келгеннен кейін, 1933 жылы болады. Гитлер билік басына келгеннен кейін, 1933 жылы
Германиядан біржола кетіп, АҚШ-қа көшеді. Екінші Германиядан біржола кетіп, АҚШ-қа көшеді. Екінші
дүниежүзілік соғыс аяқталған соң, Эйнштейн бейбітшілікті дүниежүзілік соғыс аяқталған соң, Эйнштейн бейбітшілікті
көп насихаттауға бет бұрып, өмірінің соңын осы АҚШ-та көп насихаттауға бет бұрып, өмірінің соңын осы АҚШ-та
өткізіп, сол жерде дүние салады.өткізіп, сол жерде дүние салады.
4 слайд
Альберт ЭйнштейнАльберт Эйнштейн Эйнштейн АльбертЭйнштейн Альберт, нем. , нем. Albert EinsteinAlbert Einstein (14 (14 наурыз 1879, Германия, Ульм қаласы – 18 наурыз 1879, Германия, Ульм қаласы – 18 сәуір 1955, АҚШ, Нью-Джерси штаты, Принстон) –физик-сәуір 1955, АҚШ, Нью-Джерси штаты, Принстон) –физик- теоретик, қазіргі физиканың негізін салушылардың бірі.теоретик, қазіргі физиканың негізін салушылардың бірі. Альберт Эйнштейн — теориялық физиканың Альберт Эйнштейн — теориялық физиканың негіз қалаушылардың бірі, 1921 жылғы Нобель негіз қалаушылардың бірі, 1921 жылғы Нобель сыйлығының иегері, атақты ойшыл және қоғам қайраткері, сыйлығының иегері, атақты ойшыл және қоғам қайраткері, әлемнің алдыңғы қатарлы 20-ға жуық университеттерінің әлемнің алдыңғы қатарлы 20-ға жуық университеттерінің құрметті профессоры,КСРО Ғылым Академиясының құрметті профессоры,КСРО Ғылым Академиясының шетелдік құрметті мүшесі.шетелдік құрметті мүшесі. Эйнштейннің басты еңбегі — Эйнштейннің басты еңбегі — ”Салыстырмалылық теориясы”. Бұдан бөлек 300-ден ”Салыстырмалылық теориясы”. Бұдан бөлек 300-ден астам ғылыми еңбектердің, тарих,ғылымдар астам ғылыми еңбектердің, тарих,ғылымдар философиясы және публицистика саласындағы 150-дей философиясы және публицистика саласындағы 150-дей кітап, мақалалардың авторы ретінде де танымал. Ол кітап, мақалалардың авторы ретінде де танымал. Ол бiрнеше түбегейлi физикалық теорияларды жасады:бiрнеше түбегейлi физикалық теорияларды жасады: Арнайы салыстырмалылық теориясы (1905).Арнайы салыстырмалылық теориясы (1905). Жылу сыйымдылығының Жылу сыйымдылығының және фотоэффект кванттық теориясыжәне фотоэффект кванттық теориясы Бозе Эйнштейн кванттық статистикасы.Бозе Эйнштейн кванттық статистикасы. Броун қозғалысының статистикалық теориясы, Броун қозғалысының статистикалық теориясы, флуктуациялардың теориясына негiзін салған.флуктуациялардың теориясына негiзін салған. 1921 жылы ғалым Нобель сыйлығына ие 1921 жылы ғалым Нобель сыйлығына ие болады. Гитлер билік басына келгеннен кейін, 1933 жылы болады. Гитлер билік басына келгеннен кейін, 1933 жылы Германиядан біржола кетіп, АҚШ-қа көшеді. Екінші Германиядан біржола кетіп, АҚШ-қа көшеді. Екінші дүниежүзілік соғыс аяқталған соң, Эйнштейн бейбітшілікті дүниежүзілік соғыс аяқталған соң, Эйнштейн бейбітшілікті көп насихаттауға бет бұрып, өмірінің соңын осы АҚШ-та көп насихаттауға бет бұрып, өмірінің соңын осы АҚШ-та өткізіп, сол жерде дүние салады.өткізіп, сол жерде дүние салады.
#5 слайд
Релятивтік теория.
Эйнштейн постулаттары
1.Табиғаттың заңдары барлық инерциалы 1.Табиғаттың заңдары барлық инерциалы
жүйелерде бірдей өтеді. жүйелерде бірдей өтеді.
2. Вакуумдағы жарық жылдамдығы жарық 2. Вакуумдағы жарық жылдамдығы жарық
көзінің немесе бақылаушының қозғалыс көзінің немесе бақылаушының қозғалыс
жылдамдығына тәуедлі емес. Ол барлық жылдамдығына тәуедлі емес. Ол барлық
инерциялы жүйелерде бірдей болады. инерциялы жүйелерде бірдей болады.
5 слайд
Релятивтік теория. Эйнштейн постулаттары 1.Табиғаттың заңдары барлық инерциалы 1.Табиғаттың заңдары барлық инерциалы жүйелерде бірдей өтеді. жүйелерде бірдей өтеді. 2. Вакуумдағы жарық жылдамдығы жарық 2. Вакуумдағы жарық жылдамдығы жарық көзінің немесе бақылаушының қозғалыс көзінің немесе бақылаушының қозғалыс жылдамдығына тәуедлі емес. Ол барлық жылдамдығына тәуедлі емес. Ол барлық инерциялы жүйелерде бірдей болады. инерциялы жүйелерде бірдей болады.
#6 слайд
Салыстырмалықтың
арнайы теориясы
ережелерінен шығатын
қорытындылар
Ұзындықтың
қысқаруы
Массаның
артуы
Уақыттың
кідіруі
6 слайд
Салыстырмалықтың арнайы теориясы ережелерінен шығатын қорытындылар Ұзындықтың қысқаруы Массаның артуы Уақыттың кідіруі
#7 слайд
Лоренц түрлендіруі
),,,( tzyxK ),,,( tzyxK
7 слайд
Лоренц түрлендіруі ),,,( tzyxK ),,,( tzyxK
#8 слайд
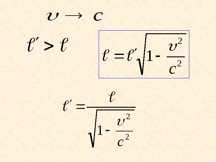
Ұзындықтың қысқаруыҰзындықтың қысқаруы
Аса ірі физик – теоретиктердің бірі Лоренц (1853 Аса ірі физик – теоретиктердің бірі Лоренц (1853
- 1928) айтқандай, кез келген объектінің қозғалысы - 1928) айтқандай, кез келген объектінің қозғалысы
оның ұзындығының өлшеген мөлшеріне әсер етеді. оның ұзындығының өлшеген мөлшеріне әсер етеді.
Егер ғарыш кемесі қимылсыз тұрған бақылаушының Егер ғарыш кемесі қимылсыз тұрған бақылаушының
жанынан үлкен жылдамдықпен зымырап өте шықса жанынан үлкен жылдамдықпен зымырап өте шықса
онда бұл бақылаушыға кеменің ұзындығы оның онда бұл бақылаушыға кеменің ұзындығы оның
жылдамдығына қатысты мөлшерде қысқа болып жылдамдығына қатысты мөлшерде қысқа болып
көрінеді. Кеменің жылдамдығы жарық көрінеді. Кеменің жылдамдығы жарық
жылдамдығына жақындаған сайын бұл әсер көбірек жылдамдығына жақындаған сайын бұл әсер көбірек
байқалатын болады және егер ғарыш кемесі нақты байқалатын болады және егер ғарыш кемесі нақты
жарық жылдамдығымен болатын болса, оның жарық жылдамдығымен болатын болса, оның
бақылауға болатын ұзындығы 0 ге тең болар еді.бақылауға болатын ұзындығы 0 ге тең болар еді.
8 слайд
Ұзындықтың қысқаруыҰзындықтың қысқаруы Аса ірі физик – теоретиктердің бірі Лоренц (1853 Аса ірі физик – теоретиктердің бірі Лоренц (1853 - 1928) айтқандай, кез келген объектінің қозғалысы - 1928) айтқандай, кез келген объектінің қозғалысы оның ұзындығының өлшеген мөлшеріне әсер етеді. оның ұзындығының өлшеген мөлшеріне әсер етеді. Егер ғарыш кемесі қимылсыз тұрған бақылаушының Егер ғарыш кемесі қимылсыз тұрған бақылаушының жанынан үлкен жылдамдықпен зымырап өте шықса жанынан үлкен жылдамдықпен зымырап өте шықса онда бұл бақылаушыға кеменің ұзындығы оның онда бұл бақылаушыға кеменің ұзындығы оның жылдамдығына қатысты мөлшерде қысқа болып жылдамдығына қатысты мөлшерде қысқа болып көрінеді. Кеменің жылдамдығы жарық көрінеді. Кеменің жылдамдығы жарық жылдамдығына жақындаған сайын бұл әсер көбірек жылдамдығына жақындаған сайын бұл әсер көбірек байқалатын болады және егер ғарыш кемесі нақты байқалатын болады және егер ғарыш кемесі нақты жарық жылдамдығымен болатын болса, оның жарық жылдамдығымен болатын болса, оның бақылауға болатын ұзындығы 0 ге тең болар еді.бақылауға болатын ұзындығы 0 ге тең болар еді.
#9 слайд
Уақыттың кідіруіУақыттың кідіруі
Жылдам ұшып келе жатқан ғарыш кемесінде уақыт қимылсыз Жылдам ұшып келе жатқан ғарыш кемесінде уақыт қимылсыз
бақылау зертханасындағыдан гөрі баяу жылжиды. Егер жерде тұрған бақылау зертханасындағыдан гөрі баяу жылжиды. Егер жерде тұрған
бақылаушы зымырап бара жатқан ракетаның ішіндегі сағатты бақылаушы зымырап бара жатқан ракетаның ішіндегі сағатты
қадағалай алатын болса, онда ол ракетадағы сағаттың өз сағатынан қадағалай алатын болса, онда ол ракетадағы сағаттың өз сағатынан
баяу жүретіндігі туралы қорытындыға келер еді. Егер ракета баяу жүретіндігі туралы қорытындыға келер еді. Егер ракета
жылдамдығын жарық жылдамдығына жеткізе алсақ, оның ішіндегі жылдамдығын жарық жылдамдығына жеткізе алсақ, оның ішіндегі
уақыт «тыныш тұрған» бақылаушы үшін тоқтап қалғандай болар еді.уақыт «тыныш тұрған» бақылаушы үшін тоқтап қалғандай болар еді.
Ракета бортындағы уақыттың баяулау әсері үрдістерді қоса Ракета бортындағы уақыттың баяулау әсері үрдістерді қоса
есептегенде барлығына да, тіпті, экипаждың биологиялық ырғақтарына есептегенде барлығына да, тіпті, экипаждың биологиялық ырғақтарына
да қатысты. Басқа сөзбен айтқанда, жердегі бақылаушы көзқарасы да қатысты. Басқа сөзбен айтқанда, жердегі бақылаушы көзқарасы
тұрғысынан қарағанда, ғарыш кораблінің экипажы өздерінің жерде тұрғысынан қарағанда, ғарыш кораблінің экипажы өздерінің жерде
қалған ғарыштық әріптестерінен гөрі баяу қартаяды. Егер екі егіздің қалған ғарыштық әріптестерінен гөрі баяу қартаяды. Егер екі егіздің
бірі жарық жылдамдығына жақын жылдамдықпен ұзақ ғарыштық сапар бірі жарық жылдамдығына жақын жылдамдықпен ұзақ ғарыштық сапар
шексе, Жерге қайтып келгенде ол өз туысының бұдан әлдеқайда шексе, Жерге қайтып келгенде ол өз туысының бұдан әлдеқайда
қартайып кеткендігін байқайды («егіздер парадоксын»). Уақыттың қартайып кеткендігін байқайды («егіздер парадоксын»). Уақыттың
баяулау әсері ғарыш сәулелерімен жасалған көптеген баяулау әсері ғарыш сәулелерімен жасалған көптеген
эксперименттермен дәлелденген.эксперименттермен дәлелденген.
9 слайд
Уақыттың кідіруіУақыттың кідіруі Жылдам ұшып келе жатқан ғарыш кемесінде уақыт қимылсыз Жылдам ұшып келе жатқан ғарыш кемесінде уақыт қимылсыз бақылау зертханасындағыдан гөрі баяу жылжиды. Егер жерде тұрған бақылау зертханасындағыдан гөрі баяу жылжиды. Егер жерде тұрған бақылаушы зымырап бара жатқан ракетаның ішіндегі сағатты бақылаушы зымырап бара жатқан ракетаның ішіндегі сағатты қадағалай алатын болса, онда ол ракетадағы сағаттың өз сағатынан қадағалай алатын болса, онда ол ракетадағы сағаттың өз сағатынан баяу жүретіндігі туралы қорытындыға келер еді. Егер ракета баяу жүретіндігі туралы қорытындыға келер еді. Егер ракета жылдамдығын жарық жылдамдығына жеткізе алсақ, оның ішіндегі жылдамдығын жарық жылдамдығына жеткізе алсақ, оның ішіндегі уақыт «тыныш тұрған» бақылаушы үшін тоқтап қалғандай болар еді.уақыт «тыныш тұрған» бақылаушы үшін тоқтап қалғандай болар еді. Ракета бортындағы уақыттың баяулау әсері үрдістерді қоса Ракета бортындағы уақыттың баяулау әсері үрдістерді қоса есептегенде барлығына да, тіпті, экипаждың биологиялық ырғақтарына есептегенде барлығына да, тіпті, экипаждың биологиялық ырғақтарына да қатысты. Басқа сөзбен айтқанда, жердегі бақылаушы көзқарасы да қатысты. Басқа сөзбен айтқанда, жердегі бақылаушы көзқарасы тұрғысынан қарағанда, ғарыш кораблінің экипажы өздерінің жерде тұрғысынан қарағанда, ғарыш кораблінің экипажы өздерінің жерде қалған ғарыштық әріптестерінен гөрі баяу қартаяды. Егер екі егіздің қалған ғарыштық әріптестерінен гөрі баяу қартаяды. Егер екі егіздің бірі жарық жылдамдығына жақын жылдамдықпен ұзақ ғарыштық сапар бірі жарық жылдамдығына жақын жылдамдықпен ұзақ ғарыштық сапар шексе, Жерге қайтып келгенде ол өз туысының бұдан әлдеқайда шексе, Жерге қайтып келгенде ол өз туысының бұдан әлдеқайда қартайып кеткендігін байқайды («егіздер парадоксын»). Уақыттың қартайып кеткендігін байқайды («егіздер парадоксын»). Уақыттың баяулау әсері ғарыш сәулелерімен жасалған көптеген баяулау әсері ғарыш сәулелерімен жасалған көптеген эксперименттермен дәлелденген.эксперименттермен дәлелденген.
#10 слайд
Массаның артуыМассаның артуы
Салыстырмалықтың арнайы теориясымен Салыстырмалықтың арнайы теориясымен
Ньютонның 2 – заңын сәйкес келтіруге тырысқан Ньютонның 2 – заңын сәйкес келтіруге тырысқан
Эйнштейн өз теориясының тағы бір салдарын байқады: Эйнштейн өз теориясының тағы бір салдарын байқады:
дененің салмағы оның қозғалысының жылдамдығына дененің салмағы оның қозғалысының жылдамдығына
тәуелді. Қимылсыз бақылаушы көзқарасы тұрғасынан тәуелді. Қимылсыз бақылаушы көзқарасы тұрғасынан
қозғалыстағы дененің салмағы осы дененің қозғалыстағы дененің салмағы осы дененің
тыныштықтағы салмағынан көп болып шығады. Дененің тыныштықтағы салмағынан көп болып шығады. Дененің
жылдамдығы жарық жалдамдығына жақындаған сайын жылдамдығы жарық жалдамдығына жақындаған сайын
оның салмағыда арта түседі және егер дене жарық оның салмағыда арта түседі және егер дене жарық
жылдамдығымен қозғала алатын болса онда оның салмағы жылдамдығымен қозғала алатын болса онда оның салмағы
шексіздікке дейін өсер еді. Бұдан шығатыны, салмағы 0 – шексіздікке дейін өсер еді. Бұдан шығатыны, салмағы 0 –
ден бөлек ешқандай денені жарық жылдамдығына дейін ден бөлек ешқандай денені жарық жылдамдығына дейін
жеткізу мүмкін емес, өйткені бұл үшін шексіз энергия жеткізу мүмкін емес, өйткені бұл үшін шексіз энергия
қажет болар еді. қажет болар еді.
10 слайд
Массаның артуыМассаның артуы Салыстырмалықтың арнайы теориясымен Салыстырмалықтың арнайы теориясымен Ньютонның 2 – заңын сәйкес келтіруге тырысқан Ньютонның 2 – заңын сәйкес келтіруге тырысқан Эйнштейн өз теориясының тағы бір салдарын байқады: Эйнштейн өз теориясының тағы бір салдарын байқады: дененің салмағы оның қозғалысының жылдамдығына дененің салмағы оның қозғалысының жылдамдығына тәуелді. Қимылсыз бақылаушы көзқарасы тұрғасынан тәуелді. Қимылсыз бақылаушы көзқарасы тұрғасынан қозғалыстағы дененің салмағы осы дененің қозғалыстағы дененің салмағы осы дененің тыныштықтағы салмағынан көп болып шығады. Дененің тыныштықтағы салмағынан көп болып шығады. Дененің жылдамдығы жарық жалдамдығына жақындаған сайын жылдамдығы жарық жалдамдығына жақындаған сайын оның салмағыда арта түседі және егер дене жарық оның салмағыда арта түседі және егер дене жарық жылдамдығымен қозғала алатын болса онда оның салмағы жылдамдығымен қозғала алатын болса онда оның салмағы шексіздікке дейін өсер еді. Бұдан шығатыны, салмағы 0 – шексіздікке дейін өсер еді. Бұдан шығатыны, салмағы 0 – ден бөлек ешқандай денені жарық жылдамдығына дейін ден бөлек ешқандай денені жарық жылдамдығына дейін жеткізу мүмкін емес, өйткені бұл үшін шексіз энергия жеткізу мүмкін емес, өйткені бұл үшін шексіз энергия қажет болар еді. қажет болар еді.
#11 слайд
Лоренц түрлендіруінің салдары
К жүйесі
12
tt
2
2
1
c
К' жүйесі
12
tt
2
2
2
1
1
1
/
c
cxt
t
2
2
2
2
2
1
/
c
cxt
t
11 слайд
Лоренц түрлендіруінің салдары К жүйесі 12 tt 2 2 1 c К' жүйесі 12 tt 2 2 2 1 1 1 / c cxt t 2 2 2 2 2 1 / c cxt t
#12 слайд
2
2
1
c
c
2
2
1
c
12 слайд
2 2 1 c c 2 2 1 c
#13 слайд
Релятивтік динамиканың заңдары
c
2
2
0
1
c
m
m
mp
2
2
0
1
c
m
p
13 слайд
Релятивтік динамиканың заңдары c 2 2 0 1 c m m mp 2 2 0 1 c m p
#14 слайд
14 слайд
#15 слайд
15 слайд
#16 слайд
UK
UK
21
c
u
u
u
21
c
u
u
u
KK KK
16 слайд
UK UK 21 c u u u 21 c u u u KK KK
#17 слайд
Есеп шығару үлгiлерi
1. Қозғалыс жылдамдығы 0,97 с болатын электронның массасы тыныштықтағы
массасынан қанша артық екенiн анықтаңыз.
Шешуi: Электронның массасының жылдамдығынан тәуелдiлiгiн жазамыз:
Бұл өрнектен электронның қозғалыстағы массасының тыныштықтағы массасынан
қаншаға артық екендiгiн табамыз:
Жауабы: 4,11.
2. Бақылаушыға қатысты дене өлшемi 3 есе кему үшiн, оның жылдамдығы қандай
болу керек. Бұған дейiн дене аталған бақылаушыға қатысты тыныштықта болған.
Шешуi: Бақылаушыға қатысты дене өлшемi келесi түрде өзгередi:
мұндағы l0-тыныштықтағы дененiң ұзындығы.
Теңдiктiң екi жағын квадраттап, дененiң қозғалыс жылдамдығын табамыз.
Бұдан, қозғалыстағы дененiң жылдамдығы келесi теңдiкпен анықталады:
Жауабы: 2,8·108 м/с
17 слайд
Есеп шығару үлгiлерi 1. Қозғалыс жылдамдығы 0,97 с болатын электронның массасы тыныштықтағы массасынан қанша артық екенiн анықтаңыз. Шешуi: Электронның массасының жылдамдығынан тәуелдiлiгiн жазамыз: Бұл өрнектен электронның қозғалыстағы массасының тыныштықтағы массасынан қаншаға артық екендiгiн табамыз: Жауабы: 4,11. 2. Бақылаушыға қатысты дене өлшемi 3 есе кему үшiн, оның жылдамдығы қандай болу керек. Бұған дейiн дене аталған бақылаушыға қатысты тыныштықта болған. Шешуi: Бақылаушыға қатысты дене өлшемi келесi түрде өзгередi: мұндағы l0-тыныштықтағы дененiң ұзындығы. Теңдiктiң екi жағын квадраттап, дененiң қозғалыс жылдамдығын табамыз. Бұдан, қозғалыстағы дененiң жылдамдығы келесi теңдiкпен анықталады: Жауабы: 2,8·108 м/с
#18 слайд
1.Жердегі бақылаушы көзқарасымен ғарыш кемесіндегі уақыт
2 есе кемісе, Жермен салыстырғандағы инерциялық санақ
жүйесіндегі ғарыш кемесі қандай жылдамдықпен қозғалар еді?
2. Қозғалмай тұрған бақылаушымен салыстырғандағы екі
ғарыш кемесі бір - біріне қарама - қарсы бағытта υ1=0,6•c және
υ2=0,9•c жылдамдықпен қозғалды. Жылдамдықтарды қосудың
классикалық механика және релятивтік заңы бойынша ғарыш
кемелерінің бір - біріне жақындау жылдамдығын анықтаңдар.
3. Жермен салыстырғанда υ=0, 8•c жылдамдықпен қозғалған
ғарыш кемесінде 21 жыл өтсе, Жерде қанша жыл өтер еді?
4. Жердегі бақылаушы үшін ғарыш кемесінің қозғалыс
бағытындағы сызықтық өлшемі 4 есе қысқарды.
Бақылаушының сағатымен салыстырғанда кемедегі сағат неше
есе баяу жүреді?
18 слайд
1.Жердегі бақылаушы көзқарасымен ғарыш кемесіндегі уақыт 2 есе кемісе, Жермен салыстырғандағы инерциялық санақ жүйесіндегі ғарыш кемесі қандай жылдамдықпен қозғалар еді? 2. Қозғалмай тұрған бақылаушымен салыстырғандағы екі ғарыш кемесі бір - біріне қарама - қарсы бағытта υ1=0,6•c және υ2=0,9•c жылдамдықпен қозғалды. Жылдамдықтарды қосудың классикалық механика және релятивтік заңы бойынша ғарыш кемелерінің бір - біріне жақындау жылдамдығын анықтаңдар. 3. Жермен салыстырғанда υ=0, 8•c жылдамдықпен қозғалған ғарыш кемесінде 21 жыл өтсе, Жерде қанша жыл өтер еді? 4. Жердегі бақылаушы үшін ғарыш кемесінің қозғалыс бағытындағы сызықтық өлшемі 4 есе қысқарды. Бақылаушының сағатымен салыстырғанда кемедегі сағат неше есе баяу жүреді?
шағым қалдыра аласыз


