зарядтың сақталу заңы
зарядтың сақталу заңы

#1 слайд
Электростатика бөлімі
1 слайд
Электростатика бөлімі
#2 слайд
Электр зарядының
сақталу заңы
Зерттеу жұмыстарында (1910—1914) американдық физик Р. Р.
Милликен (1868—1953)Милликен (1868—1953) электр зарядының дискретті, яғни
кез келген дененің заряды q элементар электр зарядынан
тұратынын көрсетті.
neq
е=1,6∙10-19 Кл
me=9,11∙10-31 кг
2 слайд
Электр зарядының сақталу заңы Зерттеу жұмыстарында (1910—1914) американдық физик Р. Р. Милликен (1868—1953)Милликен (1868—1953) электр зарядының дискретті, яғни кез келген дененің заряды q элементар электр зарядынан тұратынын көрсетті. neq е=1,6∙10-19 Кл me=9,11∙10-31 кг
#3 слайд
Зерттеу жұмыстардың нәтижесінде
фундаменталды табиғат заңыфундаменталды табиғат заңы ашылдыашылды, 1843ж.
ағылшын физигі М. ФарадейМ. Фарадей тәжірибе жүзінде тәжірибе жүзінде
электр электр зарядының сақталу заңын тұжырымдады:
Электр зарядының өлшем бірлігі — кулон (Кл) —
бұл ток күші 1 А болғанда, өткізгіштің көлденең
қимасынан 1 с уақытта өтетін электр заряды.
Кез келген тұйық жүйеде барлық бөлшектер
зарядтарының алгебралық қосындысы өзгеріссіз
қалады .
constqqqqq
n ...
321
3 слайд
Зерттеу жұмыстардың нәтижесінде фундаменталды табиғат заңыфундаменталды табиғат заңы ашылдыашылды, 1843ж. ағылшын физигі М. ФарадейМ. Фарадей тәжірибе жүзінде тәжірибе жүзінде электр электр зарядының сақталу заңын тұжырымдады: Электр зарядының өлшем бірлігі — кулон (Кл) — бұл ток күші 1 А болғанда, өткізгіштің көлденең қимасынан 1 с уақытта өтетін электр заряды. Кез келген тұйық жүйеде барлық бөлшектер зарядтарының алгебралық қосындысы өзгеріссіз қалады . constqqqqq n ... 321
#4 слайд
Кулон заңы
Кл
мн
k
9
109
2
21
r
qq
kF
04
1
k
)/(1085,8
2212
0
мHКл
2
21
04
1
r
qq
F
4 слайд
Кулон заңы Кл мн k 9 109 2 21 r qq kF 04 1 k )/(1085,8 2212 0 мHКл 2 21 04 1 r qq F
#5 слайд
Электростатикалық өріс.
Электростатикалық өрістің
кернеулігі.
Берілген нүктедегі Берілген нүктедегі
Электростатикалық өрістің
кернеулігі өрістің осы
нүктесінде орналасқан
бірлік оң зарядқа әсер
ететін күшпен
анықталатын физикалық
шама болып табылады.
Е векторының бағыты сол өрістегі оң зарядқа әсер
ететін күштің бағытымен сәйкес келеді. Егер өріс
оң зарядтан турса, онда Е векторы радиус-
вектордың бойымен зарядтан сыртқы ортаға
бағытталады (оң зарядтан тебіледі); егер өріс теріс
зарядтан турса, онда Е векторы зарядқа қарай
бағытталады.
Вакуумдағы нүктелік
заряд өрісінің кернеулігі
немесе
0/qFE
.
4
1
2
0r
q
E
.
2
r
q
kE
5 слайд
Электростатикалық өріс. Электростатикалық өрістің кернеулігі. Берілген нүктедегі Берілген нүктедегі Электростатикалық өрістің кернеулігі өрістің осы нүктесінде орналасқан бірлік оң зарядқа әсер ететін күшпен анықталатын физикалық шама болып табылады. Е векторының бағыты сол өрістегі оң зарядқа әсер ететін күштің бағытымен сәйкес келеді. Егер өріс оң зарядтан турса, онда Е векторы радиус- вектордың бойымен зарядтан сыртқы ортаға бағытталады (оң зарядтан тебіледі); егер өріс теріс зарядтан турса, онда Е векторы зарядқа қарай бағытталады. Вакуумдағы нүктелік заряд өрісінің кернеулігі немесе 0/qFE . 4 1 2 0r q E . 2 r q kE
#6 слайд
Электростатикалық өрісті графикалық түрде
кернеулік сызықтары арқылы көрсетеді. Кернеулі
сызығы — Е векторының бағытымен сәйкес келетін
өрістің әр нүктесі арқылы жүргізілген жанама
сызық.
6 слайд
Электростатикалық өрісті графикалық түрде кернеулік сызықтары арқылы көрсетеді. Кернеулі сызығы — Е векторының бағытымен сәйкес келетін өрістің әр нүктесі арқылы жүргізілген жанама сызық.
#7 слайд
7 слайд
#8 слайд
Суперпозиция принципы
8 слайд
Суперпозиция принципы
#9 слайд
Егер өріс бірлік зарядтан турса, онда кернеулік
сызықтары — түзу, егер оң заряд болса, зарядтан
шығады, егер теріс заряд болса,сол зарядқа
кіреді.
in
EEEEE
...
21
n
i
i
EE
1
9 слайд
Егер өріс бірлік зарядтан турса, онда кернеулік сызықтары — түзу, егер оң заряд болса, зарядтан шығады, егер теріс заряд болса,сол зарядқа кіреді. in EEEEE ... 21 n i i EE 1
#10 слайд
Дипольдің өрісіДипольдің өрісі
Электрлік дипольЭлектрлік диполь — өрістің қарастырылып отырған
нүктелердің арақашықтығынан әлденеше кіші L
арақашықтықта орналасқан модулі жағынан тең
әраттас нүктелік (+q, - q) зарядтар жүйесі.
l
p+q
lqp
э
-q
10 слайд
Дипольдің өрісіДипольдің өрісі Электрлік дипольЭлектрлік диполь — өрістің қарастырылып отырған нүктелердің арақашықтығынан әлденеше кіші L арақашықтықта орналасқан модулі жағынан тең әраттас нүктелік (+q, - q) зарядтар жүйесі. l p+q lqp э -q
#11 слайд
Суретте суперпозиция принципінің қолданылуы
мысалы ретінде l арақашықтықта орналасқан
модулі жағынан бірдей, заряды q және –q жүйе –
электрлік диполь өрісінің күш сызықтары
көрсетілген.
Электрлік диполь өрісінің
күш сызықтары
11 слайд
Суретте суперпозиция принципінің қолданылуы мысалы ретінде l арақашықтықта орналасқан модулі жағынан бірдей, заряды q және –q жүйе – электрлік диполь өрісінің күш сызықтары көрсетілген. Электрлік диполь өрісінің күш сызықтары
#12 слайд
Кернеулік векторының ағыны
dSЕEdSdФ
nЕ
cos ndSSd
s s
n
Е
dSEdSЕФ ,
12 слайд
Кернеулік векторының ағыны dSЕEdSdФ nЕ cos ndSSd s s n Е dSEdSЕФ ,
#13 слайд
Е векторының ағыны кез келген тұйық S жазықтықты
қиып өтеді.
Кернеулік векторының ағыны
13 слайд
Е векторының ағыны кез келген тұйық S жазықтықты қиып өтеді. Кернеулік векторының ағыны
#14 слайд
Кернеулік векторының ағыны
2
0
4
1
R
q
E
0
2
2
0
4
4
1
q
R
R
q
dSEФ
s
n
s s
n
Е
dSEdSЕФ ,
14 слайд
Кернеулік векторының ағыны 2 0 4 1 R q E 0 2 2 0 4 4 1 q R R q dSEФ s n s s n Е dSEdSЕФ ,
#15 слайд
Тұйық және нүктелік q зарядтан тұратын кез
келген формадағы жазықтық үшін Е векторы
q/ε
0
тең болады, яғни
Вакуумдағы
электростатикалық өріс үшін
Гаусс теоремасы
Ағынның таңбасы q зарядының таңбамен сәйкес
келеді.
КК. Гаусс. Гаусс теоремасы кез келген тұйық жазықтық арқылы
өтетін злектр өрісінің кернеулік векторының ағынын
анықтайды.
S S
nE qdSEdSEФ
0/
15 слайд
Тұйық және нүктелік q зарядтан тұратын кез келген формадағы жазықтық үшін Е векторы q/ε 0 тең болады, яғни Вакуумдағы электростатикалық өріс үшін Гаусс теоремасы Ағынның таңбасы q зарядының таңбамен сәйкес келеді. КК. Гаусс. Гаусс теоремасы кез келген тұйық жазықтық арқылы өтетін злектр өрісінің кернеулік векторының ағынын анықтайды. S S nE qdSEdSEФ 0/
#16 слайд
Гаусса теоремасын мына түрде жазуға Гаусса теоремасын мына түрде жазуға
боладыболады: :
S S V
n dVdSESdE .
1
0
n
iS S
n
qdSEdSE
10
1
16 слайд
Гаусса теоремасын мына түрде жазуға Гаусса теоремасын мына түрде жазуға боладыболады: : S S V n dVdSESdE . 1 0 n iS S n qdSEdSE 10 1
#17 слайд
Кейбір вакуумдағы Кейбір вакуумдағы
электростатикалық өрістерді электростатикалық өрістерді
есептеу үшін Гаусс теоремасын есептеу үшін Гаусс теоремасын
қолдану.қолдану.
17 слайд
Кейбір вакуумдағы Кейбір вакуумдағы электростатикалық өрістерді электростатикалық өрістерді есептеу үшін Гаусс теоремасын есептеу үшін Гаусс теоремасын қолдану.қолдану.
#18 слайд
Біртекті зарядталған шексіз Біртекті зарядталған шексіз
жазықтық өрісі.жазықтық өрісі.
02/
nE
E
S
q
Sq
SEФ
Е
2
0
2
S
SE
18 слайд
Біртекті зарядталған шексіз Біртекті зарядталған шексіз жазықтық өрісі.жазықтық өрісі. 02/ nE E S q Sq SEФ Е 2 0 2 S SE
#19 слайд
21
EEE
С
Екі шексіз өзара параллель зарядталған Екі шексіз өзара параллель зарядталған
жазықтықтардың өрісіжазықтықтардың өрісі
0/
ВE
21
EEE
A
0
21 EEE
A
0
21
EEE
С
21EEE
В
00
21
2
2
EEE
В
,
2
0
21
EE
19 слайд
21 EEE С Екі шексіз өзара параллель зарядталған Екі шексіз өзара параллель зарядталған жазықтықтардың өрісіжазықтықтардың өрісі 0/ ВE 21 EEE A 0 21 EEE A 0 21 EEE С 21EEE В 00 21 2 2 EEE В , 2 0 21 EE
#20 слайд
Біртекті зарядталған сфералық Біртекті зарядталған сфералық
беттің өрісі.беттің өрісі.
)(
4
1
2
0
Rr
r
Q
E
E
20 слайд
Біртекті зарядталған сфералық Біртекті зарядталған сфералық беттің өрісі.беттің өрісі. )( 4 1 2 0 Rr r Q E E
#21 слайд
r>R кезінде өріс нүктелік
зарядтағы заңдылық
бойынша г қашықтыққа
кемиді. Суретте r-ден
тәуелді Е-нің графигі
көрсетілген. Егер r'<R
болса, онда тұйық
жазықтық ішінде заряд
болмайды, сондықтан
біртекті зарядталған
сфералық беттің ішінде
электростатикалық өріс
болмайды (Е=0).
21 слайд
r>R кезінде өріс нүктелік зарядтағы заңдылық бойынша г қашықтыққа кемиді. Суретте r-ден тәуелді Е-нің графигі көрсетілген. Егер r'<R болса, онда тұйық жазықтық ішінде заряд болмайды, сондықтан біртекті зарядталған сфералық беттің ішінде электростатикалық өріс болмайды (Е=0).
#22 слайд
Біртекті зарядталған шексіз Біртекті зарядталған шексіз
цилиндр өрісі.цилиндр өрісі.
Егер r<R, онда тұйық
жазықтықта заряд
болмайды, сондықтан
бұл кезде E=0.
r
E
0
2
1
)(Rr
22 слайд
Біртекті зарядталған шексіз Біртекті зарядталған шексіз цилиндр өрісі.цилиндр өрісі. Егер r<R, онда тұйық жазықтықта заряд болмайды, сондықтан бұл кезде E=0. r E 0 2 1 )(Rr
#23 слайд
Электростатикалық өріс потенциалдық болып
табылады.
Электростатикалық өріс күшінің жұмысын q
зарядының өрісінің бастапқы және соңғы
нүктелеріндегі q
0 нүктелік зарядтың потенциалдық
энергиясының айырымы ретінде көрсетуге
болады :
1 нүктесінен 2 нүктесіне орын ауыстырған q
0
зарядтың өріс күшінің жұмысы мына түрде де
жазыла алады:
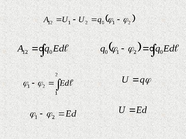
AA
1212==UU
11- - UU
22==qq
00((φφ
11 - - φφ
22).).
.
4
1
4
1
21
2
0
01
0
0
12
UU
r
qq
r
qq
A
23 слайд
Электростатикалық өріс потенциалдық болып табылады. Электростатикалық өріс күшінің жұмысын q зарядының өрісінің бастапқы және соңғы нүктелеріндегі q 0 нүктелік зарядтың потенциалдық энергиясының айырымы ретінде көрсетуге болады : 1 нүктесінен 2 нүктесіне орын ауыстырған q 0 зарядтың өріс күшінің жұмысы мына түрде де жазыла алады: AA 1212==UU 11- - UU 22==qq 00((φφ 11 - - φφ 22).). . 4 1 4 1 21 2 0 01 0 0 12 UU r qq r qq A
#24 слайд
яғни бастапқы және соңғы нүктелердегі
потенциалдарының айырмасын орын
ауыстырған заряд шамасына
көбейткенге тең. Электр өрісінің 1 және
2 нүктелерінің потенциалдарының
айырмасы бірлік оң зарядтың өріс
күшінің әсерінен 1 нүктесінен 2
нүктесіне орын ауыстырғанда істелетін
жұмыс шамасымен анықталады.
24 слайд
яғни бастапқы және соңғы нүктелердегі потенциалдарының айырмасын орын ауыстырған заряд шамасына көбейткенге тең. Электр өрісінің 1 және 2 нүктелерінің потенциалдарының айырмасы бірлік оң зарядтың өріс күшінің әсерінен 1 нүктесінен 2 нүктесіне орын ауыстырғанда істелетін жұмыс шамасымен анықталады.
#25 слайд
Сонымен қатар Сонымен қатар 1 нүктесіне 2 1 нүктесіне 2
нүктесіне электростатикалық өріс нүктесіне электростатикалық өріс
күшінің әсерінен орын ауыстырған күшінің әсерінен орын ауыстырған
qq
00 зарядтың жұмысы мына түрде зарядтың жұмысы мына түрде
беріле алады :беріле алады :
EdqA
012
25 слайд
Сонымен қатар Сонымен қатар 1 нүктесіне 2 1 нүктесіне 2 нүктесіне электростатикалық өріс нүктесіне электростатикалық өріс күшінің әсерінен орын ауыстырған күшінің әсерінен орын ауыстырған qq 00 зарядтың жұмысы мына түрде зарядтың жұмысы мына түрде беріле алады :беріле алады : EdqA 012
#26 слайд
Бағытталған электростатикалық өрістің Бағытталған электростатикалық өрістің
кернеулік векторының циркуляциясы:кернеулік векторының циркуляциясы:
l
Е
ldЕЦ 0)(
l пробlпробl проб
Е
q
q
dA
q
ldF
q
ld
q
F
Ц
210
...
111
21
0
Е
Ц
E
ld
l
26 слайд
Бағытталған электростатикалық өрістің Бағытталған электростатикалық өрістің кернеулік векторының циркуляциясы:кернеулік векторының циркуляциясы: l Е ldЕЦ 0)( l пробlпробl проб Е q q dA q ldF q ld q F Ц 210 ... 111 21 0 Е Ц E ld l
#27 слайд
Электр өріс потенциалы
0
q
U
0q
A
r
q
04
1
27 слайд
Электр өріс потенциалы 0 q U 0q A r q 04 1
#28 слайд
2102112 qUUA
EdqA
012 Edqq
0210
2
1
21
Ed
qU
Ed
21
EdU
28 слайд
2102112 qUUA EdqA 012 Edqq 0210 2 1 21 Ed qU Ed 21 EdU
#29 слайд
Электр өрісінің кернеулігі мен φ потенциал
арасындағы байланыс.
Декарттық координат жүйесінде:
Егер өріс біртекті және Х осі бойымен
бағытталса, онда:
gradE
k
z
j
y
i
x
E
i
x
E
29 слайд
Электр өрісінің кернеулігі мен φ потенциал арасындағы байланыс. Декарттық координат жүйесінде: Егер өріс біртекті және Х осі бойымен бағытталса, онда: gradE k z j y i x E i x E
#30 слайд
Диэлектриктердің түрлері
30 слайд
Диэлектриктердің түрлері
#31 слайд
31 слайд
#32 слайд
32 слайд
#33 слайд
33 слайд
#34 слайд
Электр ығысу векторы
Диэлектриктегі электростатикалық
өріс үшін Гаусс теоремасы
34 слайд
Электр ығысу векторы Диэлектриктегі электростатикалық өріс үшін Гаусс теоремасы
#35 слайд
Екі диэлектріктер ортаның
шекарасындағы шартар
35 слайд
Екі диэлектріктер ортаның шекарасындағы шартар
#36 слайд
36 слайд
#37 слайд
Электростатикалық өрістегі
өткізгіштер
37 слайд
Электростатикалық өрістегі өткізгіштер
#38 слайд
38 слайд
#39 слайд
Электросыйымдылық
39 слайд
Электросыйымдылық
#40 слайд
40 слайд
#41 слайд
КонденсаторКонденсаторларлар
жазықжазық
ЦилиндрлықЦилиндрлық
СфералықСфералық
Параллель жалғау:Параллель жалғау:
Тізбектеп жалғау:Тізбектеп жалғау:
41 слайд
КонденсаторКонденсаторларлар жазықжазық ЦилиндрлықЦилиндрлық СфералықСфералық Параллель жалғау:Параллель жалғау: Тізбектеп жалғау:Тізбектеп жалғау:
#42 слайд
Электростатикалық өріс энергиясы
222
22
Cq
C
q
W
S
q
dx
dW
F
0
2
2
x
S
q
C
q
W
0
22
22
222
22
CUqU
C
q
W
42 слайд
Электростатикалық өріс энергиясы 222 22 Cq C q W S q dx dW F 0 2 2 x S q C q W 0 22 22 222 22 CUqU C q W
#43 слайд
ДӘРІСТІҢ СОҢЫДӘРІСТІҢ СОҢЫ
43 слайд
ДӘРІСТІҢ СОҢЫДӘРІСТІҢ СОҢЫ
шағым қалдыра аласыз













