|
Мектеп |
№ орта мектебі |
|||||
|
Пәні: |
Математика |
|||||
|
Бөлім: |
2 С. Ауызша көбету және бөлу |
|||||
|
|
|||||
|
Күні: |
|
|||||
|
Сыныбы: 3 |
Қатысушылар саны: |
Қатыспағандар саны: |
||||
|
Сабақтың тақырыбы |
70 сабақ. Көбейтудің үлестірімділік қасиеті ( Математика 2 бөлім 71 -72 бет Алматыкітап баспасы, 2018 ж.) |
|||||
|
Оқу бағдарламасына сәйкес оқу мақсаттары |
3.1.2.9 100 көлеміндегі сандарды ауызша көбейту мен бөлуді орындауда қосындыны және көбейтіндіні біртаңбалы санға бөлу, қосындыны санға көбейту ережесін қ олдану; 3.1.3.4** ұзындық (мм, см, дм, м, км)/масса (г, кг, ц, т)/аудан (см , дм , м ) бірліктерін олардың арақатысына сүйеніп түрлендіру; |
|||||
|
Сабақтың мақсаты |
|
|||||
|
Сабақтың барысы |
||||||
|
Сабақтың кезеңі\уақыт |
Педагогтің әрекеті |
Оқушының әрекеті |
Бағалау |
Ресурстар |
||
|
Сабақтың басы 1 минут |
Оқушылармен сәлемдесу Оқушыларды түгендеу Оқушылардың зейінін сабаққа аудару Сабаққа дайынбыз ба? Көңіл – күйіміз қандай? Ендеше сабағымызды бастайық? |
Оқушылар сәлемдеседі. Кезекші оқушы сыныпты түгендейді Сабаққа назарын аударады. Керемет! Тамаша! Ғажап! Алақай! Оқушылар сабаққа зейінін салады |
Қ.Б Керемет! |
|
||
|
Психалогия лық ахуал қалыпта стыру Тренинг ережесі Алдыңғы білім 4 минут |
Матаематика керек әр күнге, Математика керек әр кімге. Есеп қажет өмірде Есепсіз білім, білім бе?
69 сабақ. Дөңгелек сандарды ауызша көбейту және бөлу «Біліміңді пысықта» әдісі Жазылым; 69 бет 2 есеп
200 * 3 * 450 + 50 7 * 100 * 824 – 20 441 + 9 * 450 + 30 670 + 6 * 2 * 300 1.000 : 10 * 10 * 10 300 : 100 * 180 : 60 742 + 8 * 400 * 2 980 – 900 * 800 : 10 30 * 2 * 210 : 10
Жазылым; 69 бет 3 есеп
30 * 3 = 90 : 3 = 40 * 2 = 30 * 30 = 900 : 3 = 40 * 20 = 300 * 3 = 900 : 30 = 4 * 200 = 600 : 200 = 900 : 300 = 800 : 200 = |
Белсенділік танытып, жақсы баға аламыз! 2
200 *
3
670 +
6
742 +
8
7 *
100
30 *
2
3 30 * 3 =90 90 : 3 =30 40 * 2 = 80 30 * 30 =900 900 : 3 =300 40 * 20 = 800 300 * 3 =900 900 : 30 =30 4 * 200 =800 600 : 200 =3 900 : 300 =3 800 : 200 =4 |
Қ.Б Керемет! Дескриптор Есепті шығарады 2 балл |
Оқулық 69 бет |
||
|
Сабаққа кіріспе 10 минут ұжымдық жұмыс
|
Сынып жұмысы 70 сабақ. Көбейтудің үлестірімділік қасиеті
Көркем жазу 2.800 2.800 2.900 2.900 Оқулықпен жұмыс 1 тапсырма «Ой қозғау» әдісі Жазылым; 71 бет 1 есеп Гүлбақтағы алаң гүлзармен безендірілген. Бағбанға гүлбақта қанша гүлзар бар екенін санап шығу керек. Сызбаға қара. Әр жағдайда есептеудің қалай орындалғанын түсіндір
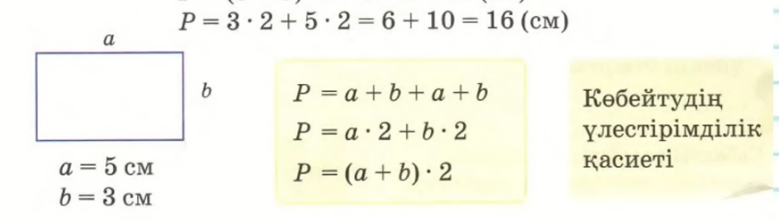
Есіңе сақта! Қосындыны санға көбейтудің бірнеше тәсілі бар. 1 – тәсіл. Қосындыны тауып, оны санға көбейту 2 – тәсіл. Әр қосылғышты сол санға көбейтіп, шыққан көбейтінділерді қосу Бұл – көбейтудің үлестірімділік қасиеті деп аталады. ( a + b ) * c = a * c + b * c
Тіктөртбұрыштың периметрін әртүрлі тәсілмен қалай тапқаныңды түсіндір
Р = ( 3 + 5 ) * 2 = 8 * 2 = 16 см Р = 3 * 2 + 5 * 2 = 6 + 10 = 16 см
|
Сабақ мақсатын хабарлайды
Есіңе сақта!
Есіңе сақта! |
Дескриптор Жаңа сабақты ұғынады 2 балл |
Оқулық 71 бет |
||
|
Сабақтың ортасы 15 минут жеке жұмыс
|
Оқулықпен жұмыс 2 тапсырма «Біліміңді қолдан» әдісі Жазылым; 72 бет 3 есеп
( 20 + 30 ) * 5 = ( 5 + 4 ) * 70 = ( 20 + 10 ) * 6 = ( 20 + 10 ) * 8 = ( 70 + 20 ) * 4 = ( 3 + 4 ) * 30 = ( 40 + 30 ) * 2 = ( 5 + 3 ) * 10 = Жазылым; 72 бет 4 есеп А) Гүлзарлардың периметрін әртүрлі тәсілмен тап
Ә) Осыған ұқсас есептер құрастырып көр
|
3 ( 20 + 30 ) * 5 = 50 * 5 = 250 ( 70 + 20 ) * 4 = 90 * 4 = 360 ( 5 + 4 ) * 70 = 9 * 70 = 630 ( 3 + 4 ) * 30 = 7 * 30 = 210 ( 20 + 10 ) * 6 = 30 * 6 = 180 ( 40 + 30 ) * 2 = 70 * 2 = 140 4 А) a – 6 м b – 4 м P = ( a + b ) * 2 P = ( 6 м + 4 м ) * 2 = 20 м P = 4 м + 6 м + 4 м + 6 м = 20 м Р = ( 6 + 4 ) * 2 = 6 * 2 + 4 * 2 = 12 + 8 = 20 м a – 20 м b – 10 м P = 20 м + 20 м + 10 м + 10 м = 60 м P = ( 20 м + 10 м) * 2 = 60 м Р = ( 20 м + 10 м ) * 2 = 20 м * 2 + 10 м * 2 = 40 м + 20 м = 60 м Ә) a – 7 м b – 10 м P = 7 м + 10 м + 7 м + 10 м = 34 м P = ( 7 м + 10 м ) * 2 = 17 м * 2 = 34 м |
Дескриптор Есепті шығарады 2 балл Дескриптор Есепті шығар 2 балл |
Оқулық 72 бет
Оқулық 72 бет |
||
|
Сабақтың Соңы 5 минут ұжымдық жұмыс
|
Оқулықпен жұмыс 3 тапсырма «Біліміңді қорытындыла» әдісі Жазылым; 72 бет 7 есеп
Біздің мектептегі әр оқушы бір ағаштан отырғызды. Оқушылардың жартысы қайың, ширек бөлігі жөке, қалғандары үйеңкі отырғызды. Мектепте 800 оқушы бар7 Неше бала қайың, нешеу жөке, нешеуі үйеңкі отырғызды? Үйге тапсырма: 72 бет 5, 6 есеп |
7 мектепте – 800 оқушы
қайың -
жөке
- -
үйеңкі - ? бала Ш: 800 : 2 = 400 қайың 800 : 4 = 200 жөке 800 – ( 400 + 200 ) = 800 – 600 = 200 үйеңкі Ж: 400, 200, 200 |
Дескриптор Есепті шығарады 2 балл |
Оқулық 72 бет |
||
жүктеу мүмкіндігіне ие боласыз
Бұл материал сайт қолданушысы жариялаған. Материалдың ішінде жазылған барлық ақпаратқа жауапкершілікті жариялаған қолданушы жауап береді. Ұстаз тілегі тек ақпаратты таратуға қолдау көрсетеді. Егер материал сіздің авторлық құқығыңызды бұзған болса немесе басқа да себептермен сайттан өшіру керек деп ойласаңыз осында жазыңыз
70 сабақ. Көбейтудің үлестірімділік қасиеті
70 сабақ. Көбейтудің үлестірімділік қасиеті
|
Мектеп |
№ орта мектебі |
|||||
|
Пәні: |
Математика |
|||||
|
Бөлім: |
2 С. Ауызша көбету және бөлу |
|||||
|
|
|||||
|
Күні: |
|
|||||
|
Сыныбы: 3 |
Қатысушылар саны: |
Қатыспағандар саны: |
||||
|
Сабақтың тақырыбы |
70 сабақ. Көбейтудің үлестірімділік қасиеті ( Математика 2 бөлім 71 -72 бет Алматыкітап баспасы, 2018 ж.) |
|||||
|
Оқу бағдарламасына сәйкес оқу мақсаттары |
3.1.2.9 100 көлеміндегі сандарды ауызша көбейту мен бөлуді орындауда қосындыны және көбейтіндіні біртаңбалы санға бөлу, қосындыны санға көбейту ережесін қ олдану; 3.1.3.4** ұзындық (мм, см, дм, м, км)/масса (г, кг, ц, т)/аудан (см , дм , м ) бірліктерін олардың арақатысына сүйеніп түрлендіру; |
|||||
|
Сабақтың мақсаты |
|
|||||
|
Сабақтың барысы |
||||||
|
Сабақтың кезеңі\уақыт |
Педагогтің әрекеті |
Оқушының әрекеті |
Бағалау |
Ресурстар |
||
|
Сабақтың басы 1 минут |
Оқушылармен сәлемдесу Оқушыларды түгендеу Оқушылардың зейінін сабаққа аудару Сабаққа дайынбыз ба? Көңіл – күйіміз қандай? Ендеше сабағымызды бастайық? |
Оқушылар сәлемдеседі. Кезекші оқушы сыныпты түгендейді Сабаққа назарын аударады. Керемет! Тамаша! Ғажап! Алақай! Оқушылар сабаққа зейінін салады |
Қ.Б Керемет! |
|
||
|
Психалогия лық ахуал қалыпта стыру Тренинг ережесі Алдыңғы білім 4 минут |
Матаематика керек әр күнге, Математика керек әр кімге. Есеп қажет өмірде Есепсіз білім, білім бе?
69 сабақ. Дөңгелек сандарды ауызша көбейту және бөлу «Біліміңді пысықта» әдісі Жазылым; 69 бет 2 есеп
200 * 3 * 450 + 50 7 * 100 * 824 – 20 441 + 9 * 450 + 30 670 + 6 * 2 * 300 1.000 : 10 * 10 * 10 300 : 100 * 180 : 60 742 + 8 * 400 * 2 980 – 900 * 800 : 10 30 * 2 * 210 : 10
Жазылым; 69 бет 3 есеп
30 * 3 = 90 : 3 = 40 * 2 = 30 * 30 = 900 : 3 = 40 * 20 = 300 * 3 = 900 : 30 = 4 * 200 = 600 : 200 = 900 : 300 = 800 : 200 = |
Белсенділік танытып, жақсы баға аламыз! 2
200 *
3
670 +
6
742 +
8
7 *
100
30 *
2
3 30 * 3 =90 90 : 3 =30 40 * 2 = 80 30 * 30 =900 900 : 3 =300 40 * 20 = 800 300 * 3 =900 900 : 30 =30 4 * 200 =800 600 : 200 =3 900 : 300 =3 800 : 200 =4 |
Қ.Б Керемет! Дескриптор Есепті шығарады 2 балл |
Оқулық 69 бет |
||
|
Сабаққа кіріспе 10 минут ұжымдық жұмыс
|
Сынып жұмысы 70 сабақ. Көбейтудің үлестірімділік қасиеті
Көркем жазу 2.800 2.800 2.900 2.900 Оқулықпен жұмыс 1 тапсырма «Ой қозғау» әдісі Жазылым; 71 бет 1 есеп Гүлбақтағы алаң гүлзармен безендірілген. Бағбанға гүлбақта қанша гүлзар бар екенін санап шығу керек. Сызбаға қара. Әр жағдайда есептеудің қалай орындалғанын түсіндір
Есіңе сақта! Қосындыны санға көбейтудің бірнеше тәсілі бар. 1 – тәсіл. Қосындыны тауып, оны санға көбейту 2 – тәсіл. Әр қосылғышты сол санға көбейтіп, шыққан көбейтінділерді қосу Бұл – көбейтудің үлестірімділік қасиеті деп аталады. ( a + b ) * c = a * c + b * c
Тіктөртбұрыштың периметрін әртүрлі тәсілмен қалай тапқаныңды түсіндір
Р = ( 3 + 5 ) * 2 = 8 * 2 = 16 см Р = 3 * 2 + 5 * 2 = 6 + 10 = 16 см
|
Сабақ мақсатын хабарлайды
Есіңе сақта!
Есіңе сақта! |
Дескриптор Жаңа сабақты ұғынады 2 балл |
Оқулық 71 бет |
||
|
Сабақтың ортасы 15 минут жеке жұмыс
|
Оқулықпен жұмыс 2 тапсырма «Біліміңді қолдан» әдісі Жазылым; 72 бет 3 есеп
( 20 + 30 ) * 5 = ( 5 + 4 ) * 70 = ( 20 + 10 ) * 6 = ( 20 + 10 ) * 8 = ( 70 + 20 ) * 4 = ( 3 + 4 ) * 30 = ( 40 + 30 ) * 2 = ( 5 + 3 ) * 10 = Жазылым; 72 бет 4 есеп А) Гүлзарлардың периметрін әртүрлі тәсілмен тап
Ә) Осыған ұқсас есептер құрастырып көр
|
3 ( 20 + 30 ) * 5 = 50 * 5 = 250 ( 70 + 20 ) * 4 = 90 * 4 = 360 ( 5 + 4 ) * 70 = 9 * 70 = 630 ( 3 + 4 ) * 30 = 7 * 30 = 210 ( 20 + 10 ) * 6 = 30 * 6 = 180 ( 40 + 30 ) * 2 = 70 * 2 = 140 4 А) a – 6 м b – 4 м P = ( a + b ) * 2 P = ( 6 м + 4 м ) * 2 = 20 м P = 4 м + 6 м + 4 м + 6 м = 20 м Р = ( 6 + 4 ) * 2 = 6 * 2 + 4 * 2 = 12 + 8 = 20 м a – 20 м b – 10 м P = 20 м + 20 м + 10 м + 10 м = 60 м P = ( 20 м + 10 м) * 2 = 60 м Р = ( 20 м + 10 м ) * 2 = 20 м * 2 + 10 м * 2 = 40 м + 20 м = 60 м Ә) a – 7 м b – 10 м P = 7 м + 10 м + 7 м + 10 м = 34 м P = ( 7 м + 10 м ) * 2 = 17 м * 2 = 34 м |
Дескриптор Есепті шығарады 2 балл Дескриптор Есепті шығар 2 балл |
Оқулық 72 бет
Оқулық 72 бет |
||
|
Сабақтың Соңы 5 минут ұжымдық жұмыс
|
Оқулықпен жұмыс 3 тапсырма «Біліміңді қорытындыла» әдісі Жазылым; 72 бет 7 есеп
Біздің мектептегі әр оқушы бір ағаштан отырғызды. Оқушылардың жартысы қайың, ширек бөлігі жөке, қалғандары үйеңкі отырғызды. Мектепте 800 оқушы бар7 Неше бала қайың, нешеу жөке, нешеуі үйеңкі отырғызды? Үйге тапсырма: 72 бет 5, 6 есеп |
7 мектепте – 800 оқушы
қайың -
жөке
- -
үйеңкі - ? бала Ш: 800 : 2 = 400 қайың 800 : 4 = 200 жөке 800 – ( 400 + 200 ) = 800 – 600 = 200 үйеңкі Ж: 400, 200, 200 |
Дескриптор Есепті шығарады 2 балл |
Оқулық 72 бет |
||
шағым қалдыра аласыз















