Акустика: дыбыс пен кеңістік
Қасым Дархан Амангелдіұлы
Ш.Уалиханов атындағы КУ Математика, физика және информатика кафедра студенті,
Ғылыми жетекші –
Көкшетау қ, Қазақстан
Аңдатпа
Бұл мақалада акустика ғылымының негізгі бағыттары, дыбыстың табиғаты, кеңістіктегі таралуы және әртүрлі саладағы қолданылу мысалдары қарастырылады. Акустика — физиканың маңызды салаларының бірі, ол дыбыстың пайда болуы, таралуы, қабылдануы мен әсерін зерттейді. Мақалада дыбыс толқындарының негізгі сипаттамалары (жиілік, амплитуда, толқын ұзындығы), акустикалық құбылыстар (жаңғырық, резонанс, интерференция, дифракция) және олардың инженерлік, медициналық, музыкалық, тұрмыстық қолданыстары сипатталған. Сонымен қатар, акустика саласында қолданылатын құрылғылар мен материалдар туралы ақпарат беріледі.
Кілт сөздер: акустика, дыбыс, толқын, резонанс, жаңғырық, интерференция, дифракция, ультрадыбыс, акустикалық панель, эхолокация, дыбысты оқшаулау, музыка, медицина, инженерия
Аннотация
В данной статье рассматриваются основные направления науки
акустики, природа звука, его распространение в пространстве и
примеры применения в различных сферах. Акустика — одна из важных
областей физики, изучающая возникновение, распространение,
восприятие и влияние звука. В статье описаны основные
характеристики звуковых волн (частота, амплитуда, длина волны),
акустические явления (эхо, резонанс, интерференция, дифракция), а
также их применение в инженерии, медицине, музыке и быту. Также
представлена информация об устройствах и материалах, используемых в
области акустики.
Ключевые слова: акустика, звук, волна, резонанс, эхо, интерференция, дифракция, ультразвук, акустическая панель, эхолокация, звукоизоляция, музыка, медицина, инженерия
Abstract
This article explores the main fields of acoustics, the nature of
sound, its propagation in space, and its applications in various
areas. Acoustics is one of the key branches of physics that studies
the generation, propagation, perception, and effects of sound. The
article describes the main characteristics of sound waves
(frequency, amplitude, wavelength), acoustic phenomena (echo,
resonance, interference, diffraction), and their uses in
engineering, medicine, music, and daily life. It also provides
information about devices and materials used in
acoustics.
Keywords: acoustics, sound, wave, resonance, echo, interference, diffraction, ultrasound, acoustic panel, echolocation, sound insulation, music, medicine, engineering
Кіріспе
Акустика — дыбыстың пайда болуын, таралуын, қабылдануын және әсерін зерттейтін физиканың маңызды саласы. Бұл ғылым саласы дыбыс толқындарының табиғатын, олардың кеңістікте қалай таралатынын және адам, жануарлар немесе құрылғылар арқылы қалай қабылданатынын қарастырады.
Акустиканың зерттеу нысандары тек музыка саласымен шектелмейді. Ол музыкалық аспаптардың жұмысынан бастап, театр мен концерт залдарының акустикалық жобалануына, құрылыс инженериясында ғимараттардың дыбыс оқшаулауына, сондай-ақ медицинадағы ультрадыбыстық диагностика мен терапияға дейін өте кең ауқымда қолданылады. Сонымен қатар, акустика ғарышта дыбыс толқындарын модельдеу, теңізде эхолокация жүйелерін пайдалану, өнеркәсіпте акустикалық сынақ жүргізу, тіпті әскери технологияларда да маңызды рөл атқарады.
Акустиканың негізінде дыбыс толқындарының кеңістіктегі қозғалысы мен олардың ортаға әсер ету механизмдері жатыр. Бұл жерде дыбыстың қалай пайда болатыны (мысалы, тербелуші дене арқылы), оның ауада, суда немесе қатты денелерде қалай таралатыны, қандай кедергілермен кездесетіні (шағылу, сыну, сіңірілу, дифракция) және адамның құлағына немесе арнайы құралдарға қалай жететіні зерттеледі.
Дыбыс деген не?
Дыбыс — серпімді ортада (мысалы, ауада, суда немесе қатты денеде) тарайтын механикалық тербелістер. Бұл тербелістер материал бөлшектерінің тепе-теңдік күйінен ауытқуынан пайда болады. Дыбыс толқындары бойлық толқындарға жатады, яғни бөлшектердің тербелісі толқынның таралу бағытымен бағыттас болады (мысалы, ауадағы дыбыс толқынында ауа молекулалары алға-артқа қозғалады).
Адам құлағы шамамен 20 Гц–ден 20 кГц–ке дейінгі жиіліктегі дыбыстарды қабылдай алады. Бұл диапазонды естілетін дыбыстар аймағы деп атайды. Одан төменгі жиіліктер (20 Гц-тен төмен) инфрадыбыс, ал жоғары жиіліктер (20 кГц-тен жоғары) ультрадыбыс деп аталады. Бұл дыбыстарды адам құлағы естімейді, бірақ оларды жануарлар немесе арнайы құралдар (сенсорлар, ультрадыбыстық сканерлер) қабылдай алады. Мысалы, пілдер инфрадыбысты қабылдай алады, ал жарқанаттар ультрадыбысты пайдаланып, кеңістікте бағыт табады.
Дыбыс толқындарының негізгі сипаттамалары
Жиілік (ν немесе f, Гц). Жиілік — бір секундтағы тербеліс саны. Бұл дыбыстың құлаққа жоғары немесе төмен (жіңішке немесе жуан) естілуін анықтайды. Жоғары жиіліктегі дыбыс — жіңішке (мысалы, скрипка үні), төмен жиіліктегі дыбыс — жуан (мысалы, контрабас үні).
Амплитуда (A). Амплитуда — тербеліс ауытқуының ең үлкен мәні. Ол дыбыстың қаттылығын немесе күшін анықтайды: амплитуда неғұрлым үлкен болса, дыбыс соғұрлым қатты естіледі. Амплитуда физикада децибел (дБ) бірлігімен сипатталады, ол дыбыс қысымының деңгейін өлшейді. Мысалы, 0 дБ — естілудің төмен шегі, ал 120–130 дБ — ауырсыну шегі.
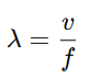
Толқын ұзындығы (λ). Толқын
ұзындығы — толқын таралатын ортада бір тербеліс цикліне сәйкес
келетін қашықтық. Ол дыбыстың таралу жылдамдығына және жиілігіне
байланысты анықталады: 
мұндағы v — дыбыстың таралу жылдамдығы (мысалы, ауада шамамен 343 м/с), f — жиілік.
Таралу жылдамдығы
(v)
Дыбыстың таралу жылдамдығы ортаға байланысты. Ауада дыбыс шамамен
20°C-та 343 м/с жылдамдықпен таралады, суда — шамамен 1500 м/с, ал
қатты денелерде (мысалы, болатта) — 5000 м/с-қа дейін жетуі мүмкін.
Бұл серпімділік пен тығыздыққа байланысты.
Дыбыс толқындары бойлық болғанымен, кей жағдайларда қатты денелерде
көлденең толқындар да пайда болады. Мысалы, сейсмикалық толқындарда
P-толқындар (бойлық) мен S-толқындар (көлденең)
бар.
Дыбыстың кеңістікте таралуы
Дыбыс — серпімді толқын болғандықтан, ол кеңістікте орта бөлшектері арқылы тарайды. Дыбыс толқындары сығылу және сиреу аймақтарын тудыра отырып, ортада бойлық бағытта таралады. Бұл кезде дыбыс кеңістіктегі беттер мен кедергілерге ұшырағанда әртүрлі физикалық құбылыстар байқалады:
Шағылу (Reflection). Дыбыс толқыны бір бетке (мысалы, қабырғаға) түскенде, ол сол беттен қайтадан шағылады. Бұл құбылыс жаңғырықтың себебі болып табылады. Жаңғырық анық естілуі үшін дыбыс қайтарылатын қашықтық пен уақыт шамамен 0,1 секундтан асуы керек. Егер бірнеше шағылу қабаттасса, реверберация (дыбыстың ұзақ “соғылып” тұруы) пайда болады.
Сіңірілу (Absorption). Бетке түскен дыбыс толқыны энергиясының бір бөлігі жылуға айналып, жұтылады. Жұмсақ материалдар (кілем, перде, жұмсақ панельдер) дыбысты көбірек сіңіреді, қатты материалдар (бетон, мәрмәр) аз сіңіреді. Акустикалық сіңіргіштік коэффициенті — бет материалының дыбыс энергиясын қаншалықты жұтатынын сипаттайтын шама.
Сыну (Refraction). Дыбыс толқыны бір ортадан екінші ортаға өткенде (мысалы, ауа температурасы өзгергенде немесе суға өткенде) оның таралу бағыты өзгереді. Бұл құбылыс ауадағы дыбыстың күндіз және түнде таралуында немесе су асты эхолокациясында маңызды рөл атқарады.
Дифракция (Diffraction). Дыбыс толқыны кедергілердің айналасын “айналып” өте алады немесе тар саңылақтардан өткенде тарайды. Бұл төмен жиіліктегі дыбыстардың (ұзын толқын ұзындығы) қабырғалардан немесе есік саңылауларынан оңай өтіп кетуін түсіндіреді.
Интерференция (Interference). Бір уақытта бірнеше дыбыс көзі болғанда, олардың толқындары қабаттасып, кейде күшейіп (конструктивті интерференция), кейде әлсірейді (деструктивті интерференция).
Дыбыс таралуына әсер ететін физикалық факторлар
Кеңістіктің көлемі мен пішіні. Үлкен кеңістіктерде дыбыс ұзақ таралады, жаңғырық көп байқалады. Домалақ немесе күмбез пішінді залдарда дыбыс ерекше шоғырланады (мысалы, шепіт галереялары).
Қабырғалар материалы. Қатты материалдар (бетон, металл) дыбысты жақсы шағылдырады, жұмсақ материалдар (килем, перде, акустикалық плиткалар) дыбысты сіңіреді. Сондықтан акустикалық дизайнда материал таңдауы өте маңызды.
Бөлмедегі кедергілер мен заттар. Көп зат тұрған бөлмелерде дыбыс шашырайды (диффузия), ал бос бөлмеде біркелкі шағылып, жаңғырық күшейеді.
Ауа температурасы мен ылғалдылығы. Дыбыс жылдамдығы температураға байланысты өзгереді: жылы ауада жылдамдығы жоғары, суық ауада төмен. Ылғалдылық та дыбыс жұтылуына әсер етеді: құрғақ ауада дыбыс алысырақ таралуы мүмкін.
Дыбыс таралу жылдамдығы
(қалыпты ауада): ![]()
мұндағы T — температура (°C).
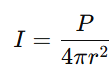
Дыбыс энергиясының әлсіреуі
(мысалы, арақашықтыққа байланысты): 
мұндағы I — дыбыс интенсивтілігі, P — дыбыс қуаты, r — арақашықтық.
Акустиканың негізгі
бағыттары
Музыкалық акустика музыкалық аспаптардың дыбысының пайда болуын,
олардың жиіліктік сипаттамаларын, резонансын және материал әсерін
зерттейді. Әрбір аспап белгілі бір резонанстық қасиеттерге ие, яғни
оның пішіні мен материалы белгілі бір жиіліктерді күшейтеді. Бұл
салада аспап жасаушылар үшін дыбысты жақсартатын материалдар мен
дизайн шешімдерін табу маңызды. Сонымен қатар, музыкалық
акустикада спектрлік
талдау (дыбыс құрамындағы негізгі
және гармоникалық жиіліктерді анықтау)
қолданылады.
Құрылыс акустикасы. Бұл бағыт ғимараттардың, концерт залдарының, театрлардың, дәрісханалардың дыбыстық ортасын тиімді жобалаумен айналысады. Құрылыс акустикасы дыбысты шағылдыру, сіңіру, тарату және оқшаулау процестерін зерттеп, шуды азайтудың тиімді әдістерін жасайды. Мысалы, көпқабатты үйлерде едендердің арасына дыбыс оқшаулайтын материалдар салынады, ал концерт залдарында дыбыс реверберациясын (шағылу ұзақтығын) оңтайландыру үшін арнайы панельдер орнатылады. Мұнда акустикалық модельдеу және шу деңгейін өлшеу маңызды құралдар болып табылады.
Физиологиялық акустика. Физиологиялық акустика адамның дыбысты қалай қабылдайтынын және ми қалай өңдейтінін зерттейді. Бұл салада құлақтың анатомиялық құрылымы, есту шегі, дыбыс қысымы деңгейі, дыбыс сезімталдығы, шу мен музыканың психофизиологиялық әсері қарастырылады. Сонымен қатар, бұл бағыт есту қабілеті төмен адамдарға арналған есту аппараттарын және дыбыс коррекциялау құрылғыларын жасауда қолданылады. Мысалы, аудиограмма жасау, сөйлеу есту зерттеулері — физиологиялық акустиканың маңызды әдістері.
Техникалық акустика. Бұл салада дыбыстың техникалық қолданылуы қарастырылады: ультрадыбыстық құрылғылар (медициналық диагностикада — ультрадыбыстық зерттеу, өнеркәсіпте — ақау табу), эхолокация жүйелері (су асты навигациясы, балық іздеу), акустикалық датчиктер (мысалы, көліктегі кері жүріс дыбыстық сигналдары), шуды өлшейтін құралдар, микрофондар, динамиктер. Ультрадыбыс толқындары 20 кГц-тен жоғары жиілікте таралады, сондықтан олар адам құлағына естілмейді, бірақ олар арқылы ішкі ағзаларды бейнелеу немесе қатты денелердің құрылымын тексеру мүмкін болады.
Акустикалық
құбылыстар
Жаңғырық — дыбыстың қатты беттерден (мысалы, қабырға, жартастар,
ғимарат) шағылып, қайта естілуі. Физикалық тұрғыдан, жаңғырық дыбыс
толқындарының шағылуы нәтижесінде пайда болады. Адам құлағы
жаңғырықты есту үшін дыбыс көзінен шағылған толқынның оралу
уақыты кемінде 0,1
секунд болуы керек (яғни дыбыс
көзінен 17 метрден артық қашықтықта шағылғанда ғана анық естіледі).
Бұл құбылыс негізінде дыбыс жылдамдығының
v=340 м/сv = 340 \,
м/сv=340м/с
екенін
пайдаланады.
Резонанс — сыртқы әсер жиілігі
жүйенің (мысалы, аспап, ауа бағаны, құрылыс элементі) табиғи
тербеліс жиілігімен сәйкес келгенде, тербеліс амплитудасының күрт
артуы. Физикада бұл құбылыс гармониялық осцилляторлармен
сипатталады. Мысалы, скрипканың немесе гитараның қуысы белгілі бір
жиіліктерді күшейтеді, сондықтан оларда дыбыс күші артады. Резонанс
құбылысы құрылыс инженериясында қауіпті, өйткені қатты резонанстық
тербелістер ғимараттарға зиян келтіруі мүмкін (мысалы, көпірдің
тербелуі, ғимараттың шайқалуы).
Интерференция — екі немесе одан көп дыбыс толқындары қабаттасқанда
пайда болатын құбылыс. Егер толқындар бір фазада
қосылса, күшейту (конструктивті
интерференция) байқалады, ал қарама-қарсы
фазада қосылса, әлсіреу (деструктивті
интерференция) жүреді. Интерференция дыбыс
күші үлестірілімінде түйіндер мен шоғырлар (тоқсандықтар) түзіп,
кеңістікте дыбыс таралуының күрделі картасын жасайды. Музыкада және
дыбыс техникасында интерференция эффектісі дыбыс сапасына әсер етуі
мүмкін.
Дифракция — дыбыс толқындарының кедергілерді айналып өтуі немесе тар саңылақтардан өткенде бүгілуі. Дифракция құбылысы толқын ұзындығына байланысты: дыбыс толқынының ұзындығы кедергінің өлшемімен салыстырмалы болса, дыбыс сол кедергінің артына өте алады. Мысалы, бұрыштың айналасында сөйлеген адамды ести аламыз немесе ашық терезеден шыққан дыбыс бүгіледі. Дифракцияны жарыққа қарағанда дыбыста байқау оңай, өйткені дыбыс толқындарының ұзындығы үлкенірек (бірнеше сантиметрден метрге дейін).
Қорытынды
Акустика — бұл тек дыбыстың табиғатын түсінуге бағытталған теориялық ғылым ғана емес, сонымен қатар оны басқару, бағыттау және пайдалану арқылы адам өмірін жақсартуға қызмет ететін қолданбалы ғылым саласы. Дыбыс – біздің күнделікті қарым-қатынасымыздың, қауіпсіздігіміздің, мәдениетіміздің және технологиямыздың ажырамас бөлігі.
Акустика музыкада әуеннің сапасын арттыруда, медицинада – ультрадыбыстық диагностика мен терапияда, құрылыста – дыбыс оқшаулау мен шуды басқаруда, өнеркәсіпте – ақауларды анықтайтын ультрадыбыстық тексеруде және тіпті ғарышта – қашықтықтан объектілерді анықтауда кеңінен қолданылады. Сонымен қатар, виртуалды шындық, жасанды интеллект және дыбыспен басқарылатын құрылғылар (мысалы, "ақылды үйлер") да акустикамен тығыз байланысты.
Бүгінгі таңда акустикалық технологияларсыз өмірді елестету қиын. Жаңа замандағы маман мен ғалымға тек дыбыс туралы түсінік қана емес, оның кеңістіктегі әрекетін, қолданылу әдістерін және адамның қабылдау механизмдерін түсіну маңызды.
Сондықтан акустика негіздерін меңгеру – тек физика пәнінің міндеті ғана емес, ғылыми, технологиялық және әлеуметтік даму үшін маңызды қадам болып табылады. Бұл салада алынған білімдер – инженерлік жобалауда, медициналық құрылғылар жасауда, жаңа дыбыстық технологияларды игеруде аса қажет.
Пайдаланылған әдебиеттер
-
Калашников С.В. Дыбыс пен акустика негіздері. — М.: Наука, 2005.
-
Чиркин А.С. Акустика: негізгі ұғымдар мен қолдану салалары. — Алматы: Қазақ университеті, 2010.
-
Бернард Р., Пикард Р. Акустика для инженеров. — М.: Машиностроение, 1998.
-
Журнал Физика және техника, №3, 2020, «Құрылыс акустикасындағы жаңа материалдар» мақаласы.
жүктеу мүмкіндігіне ие боласыз
Бұл материал сайт қолданушысы жариялаған. Материалдың ішінде жазылған барлық ақпаратқа жауапкершілікті жариялаған қолданушы жауап береді. Ұстаз тілегі тек ақпаратты таратуға қолдау көрсетеді. Егер материал сіздің авторлық құқығыңызды бұзған болса немесе басқа да себептермен сайттан өшіру керек деп ойласаңыз осында жазыңыз
Акустика дыбыс пен кеңістік
Акустика дыбыс пен кеңістік
Акустика: дыбыс пен кеңістік
Қасым Дархан Амангелдіұлы
Ш.Уалиханов атындағы КУ Математика, физика және информатика кафедра студенті,
Ғылыми жетекші –
Көкшетау қ, Қазақстан
Аңдатпа
Бұл мақалада акустика ғылымының негізгі бағыттары, дыбыстың табиғаты, кеңістіктегі таралуы және әртүрлі саладағы қолданылу мысалдары қарастырылады. Акустика — физиканың маңызды салаларының бірі, ол дыбыстың пайда болуы, таралуы, қабылдануы мен әсерін зерттейді. Мақалада дыбыс толқындарының негізгі сипаттамалары (жиілік, амплитуда, толқын ұзындығы), акустикалық құбылыстар (жаңғырық, резонанс, интерференция, дифракция) және олардың инженерлік, медициналық, музыкалық, тұрмыстық қолданыстары сипатталған. Сонымен қатар, акустика саласында қолданылатын құрылғылар мен материалдар туралы ақпарат беріледі.
Кілт сөздер: акустика, дыбыс, толқын, резонанс, жаңғырық, интерференция, дифракция, ультрадыбыс, акустикалық панель, эхолокация, дыбысты оқшаулау, музыка, медицина, инженерия
Аннотация
В данной статье рассматриваются основные направления науки
акустики, природа звука, его распространение в пространстве и
примеры применения в различных сферах. Акустика — одна из важных
областей физики, изучающая возникновение, распространение,
восприятие и влияние звука. В статье описаны основные
характеристики звуковых волн (частота, амплитуда, длина волны),
акустические явления (эхо, резонанс, интерференция, дифракция), а
также их применение в инженерии, медицине, музыке и быту. Также
представлена информация об устройствах и материалах, используемых в
области акустики.
Ключевые слова: акустика, звук, волна, резонанс, эхо, интерференция, дифракция, ультразвук, акустическая панель, эхолокация, звукоизоляция, музыка, медицина, инженерия
Abstract
This article explores the main fields of acoustics, the nature of
sound, its propagation in space, and its applications in various
areas. Acoustics is one of the key branches of physics that studies
the generation, propagation, perception, and effects of sound. The
article describes the main characteristics of sound waves
(frequency, amplitude, wavelength), acoustic phenomena (echo,
resonance, interference, diffraction), and their uses in
engineering, medicine, music, and daily life. It also provides
information about devices and materials used in
acoustics.
Keywords: acoustics, sound, wave, resonance, echo, interference, diffraction, ultrasound, acoustic panel, echolocation, sound insulation, music, medicine, engineering
Кіріспе
Акустика — дыбыстың пайда болуын, таралуын, қабылдануын және әсерін зерттейтін физиканың маңызды саласы. Бұл ғылым саласы дыбыс толқындарының табиғатын, олардың кеңістікте қалай таралатынын және адам, жануарлар немесе құрылғылар арқылы қалай қабылданатынын қарастырады.
Акустиканың зерттеу нысандары тек музыка саласымен шектелмейді. Ол музыкалық аспаптардың жұмысынан бастап, театр мен концерт залдарының акустикалық жобалануына, құрылыс инженериясында ғимараттардың дыбыс оқшаулауына, сондай-ақ медицинадағы ультрадыбыстық диагностика мен терапияға дейін өте кең ауқымда қолданылады. Сонымен қатар, акустика ғарышта дыбыс толқындарын модельдеу, теңізде эхолокация жүйелерін пайдалану, өнеркәсіпте акустикалық сынақ жүргізу, тіпті әскери технологияларда да маңызды рөл атқарады.
Акустиканың негізінде дыбыс толқындарының кеңістіктегі қозғалысы мен олардың ортаға әсер ету механизмдері жатыр. Бұл жерде дыбыстың қалай пайда болатыны (мысалы, тербелуші дене арқылы), оның ауада, суда немесе қатты денелерде қалай таралатыны, қандай кедергілермен кездесетіні (шағылу, сыну, сіңірілу, дифракция) және адамның құлағына немесе арнайы құралдарға қалай жететіні зерттеледі.
Дыбыс деген не?
Дыбыс — серпімді ортада (мысалы, ауада, суда немесе қатты денеде) тарайтын механикалық тербелістер. Бұл тербелістер материал бөлшектерінің тепе-теңдік күйінен ауытқуынан пайда болады. Дыбыс толқындары бойлық толқындарға жатады, яғни бөлшектердің тербелісі толқынның таралу бағытымен бағыттас болады (мысалы, ауадағы дыбыс толқынында ауа молекулалары алға-артқа қозғалады).
Адам құлағы шамамен 20 Гц–ден 20 кГц–ке дейінгі жиіліктегі дыбыстарды қабылдай алады. Бұл диапазонды естілетін дыбыстар аймағы деп атайды. Одан төменгі жиіліктер (20 Гц-тен төмен) инфрадыбыс, ал жоғары жиіліктер (20 кГц-тен жоғары) ультрадыбыс деп аталады. Бұл дыбыстарды адам құлағы естімейді, бірақ оларды жануарлар немесе арнайы құралдар (сенсорлар, ультрадыбыстық сканерлер) қабылдай алады. Мысалы, пілдер инфрадыбысты қабылдай алады, ал жарқанаттар ультрадыбысты пайдаланып, кеңістікте бағыт табады.
Дыбыс толқындарының негізгі сипаттамалары
Жиілік (ν немесе f, Гц). Жиілік — бір секундтағы тербеліс саны. Бұл дыбыстың құлаққа жоғары немесе төмен (жіңішке немесе жуан) естілуін анықтайды. Жоғары жиіліктегі дыбыс — жіңішке (мысалы, скрипка үні), төмен жиіліктегі дыбыс — жуан (мысалы, контрабас үні).
Амплитуда (A). Амплитуда — тербеліс ауытқуының ең үлкен мәні. Ол дыбыстың қаттылығын немесе күшін анықтайды: амплитуда неғұрлым үлкен болса, дыбыс соғұрлым қатты естіледі. Амплитуда физикада децибел (дБ) бірлігімен сипатталады, ол дыбыс қысымының деңгейін өлшейді. Мысалы, 0 дБ — естілудің төмен шегі, ал 120–130 дБ — ауырсыну шегі.
Толқын ұзындығы (λ). Толқын
ұзындығы — толқын таралатын ортада бір тербеліс цикліне сәйкес
келетін қашықтық. Ол дыбыстың таралу жылдамдығына және жиілігіне
байланысты анықталады: 
мұндағы v — дыбыстың таралу жылдамдығы (мысалы, ауада шамамен 343 м/с), f — жиілік.
Таралу жылдамдығы
(v)
Дыбыстың таралу жылдамдығы ортаға байланысты. Ауада дыбыс шамамен
20°C-та 343 м/с жылдамдықпен таралады, суда — шамамен 1500 м/с, ал
қатты денелерде (мысалы, болатта) — 5000 м/с-қа дейін жетуі мүмкін.
Бұл серпімділік пен тығыздыққа байланысты.
Дыбыс толқындары бойлық болғанымен, кей жағдайларда қатты денелерде
көлденең толқындар да пайда болады. Мысалы, сейсмикалық толқындарда
P-толқындар (бойлық) мен S-толқындар (көлденең)
бар.
Дыбыстың кеңістікте таралуы
Дыбыс — серпімді толқын болғандықтан, ол кеңістікте орта бөлшектері арқылы тарайды. Дыбыс толқындары сығылу және сиреу аймақтарын тудыра отырып, ортада бойлық бағытта таралады. Бұл кезде дыбыс кеңістіктегі беттер мен кедергілерге ұшырағанда әртүрлі физикалық құбылыстар байқалады:
Шағылу (Reflection). Дыбыс толқыны бір бетке (мысалы, қабырғаға) түскенде, ол сол беттен қайтадан шағылады. Бұл құбылыс жаңғырықтың себебі болып табылады. Жаңғырық анық естілуі үшін дыбыс қайтарылатын қашықтық пен уақыт шамамен 0,1 секундтан асуы керек. Егер бірнеше шағылу қабаттасса, реверберация (дыбыстың ұзақ “соғылып” тұруы) пайда болады.
Сіңірілу (Absorption). Бетке түскен дыбыс толқыны энергиясының бір бөлігі жылуға айналып, жұтылады. Жұмсақ материалдар (кілем, перде, жұмсақ панельдер) дыбысты көбірек сіңіреді, қатты материалдар (бетон, мәрмәр) аз сіңіреді. Акустикалық сіңіргіштік коэффициенті — бет материалының дыбыс энергиясын қаншалықты жұтатынын сипаттайтын шама.
Сыну (Refraction). Дыбыс толқыны бір ортадан екінші ортаға өткенде (мысалы, ауа температурасы өзгергенде немесе суға өткенде) оның таралу бағыты өзгереді. Бұл құбылыс ауадағы дыбыстың күндіз және түнде таралуында немесе су асты эхолокациясында маңызды рөл атқарады.
Дифракция (Diffraction). Дыбыс толқыны кедергілердің айналасын “айналып” өте алады немесе тар саңылақтардан өткенде тарайды. Бұл төмен жиіліктегі дыбыстардың (ұзын толқын ұзындығы) қабырғалардан немесе есік саңылауларынан оңай өтіп кетуін түсіндіреді.
Интерференция (Interference). Бір уақытта бірнеше дыбыс көзі болғанда, олардың толқындары қабаттасып, кейде күшейіп (конструктивті интерференция), кейде әлсірейді (деструктивті интерференция).
Дыбыс таралуына әсер ететін физикалық факторлар
Кеңістіктің көлемі мен пішіні. Үлкен кеңістіктерде дыбыс ұзақ таралады, жаңғырық көп байқалады. Домалақ немесе күмбез пішінді залдарда дыбыс ерекше шоғырланады (мысалы, шепіт галереялары).
Қабырғалар материалы. Қатты материалдар (бетон, металл) дыбысты жақсы шағылдырады, жұмсақ материалдар (килем, перде, акустикалық плиткалар) дыбысты сіңіреді. Сондықтан акустикалық дизайнда материал таңдауы өте маңызды.
Бөлмедегі кедергілер мен заттар. Көп зат тұрған бөлмелерде дыбыс шашырайды (диффузия), ал бос бөлмеде біркелкі шағылып, жаңғырық күшейеді.
Ауа температурасы мен ылғалдылығы. Дыбыс жылдамдығы температураға байланысты өзгереді: жылы ауада жылдамдығы жоғары, суық ауада төмен. Ылғалдылық та дыбыс жұтылуына әсер етеді: құрғақ ауада дыбыс алысырақ таралуы мүмкін.
Дыбыс таралу жылдамдығы
(қалыпты ауада): ![]()
мұндағы T — температура (°C).
Дыбыс энергиясының әлсіреуі
(мысалы, арақашықтыққа байланысты): 
мұндағы I — дыбыс интенсивтілігі, P — дыбыс қуаты, r — арақашықтық.
Акустиканың негізгі
бағыттары
Музыкалық акустика музыкалық аспаптардың дыбысының пайда болуын,
олардың жиіліктік сипаттамаларын, резонансын және материал әсерін
зерттейді. Әрбір аспап белгілі бір резонанстық қасиеттерге ие, яғни
оның пішіні мен материалы белгілі бір жиіліктерді күшейтеді. Бұл
салада аспап жасаушылар үшін дыбысты жақсартатын материалдар мен
дизайн шешімдерін табу маңызды. Сонымен қатар, музыкалық
акустикада спектрлік
талдау (дыбыс құрамындағы негізгі
және гармоникалық жиіліктерді анықтау)
қолданылады.
Құрылыс акустикасы. Бұл бағыт ғимараттардың, концерт залдарының, театрлардың, дәрісханалардың дыбыстық ортасын тиімді жобалаумен айналысады. Құрылыс акустикасы дыбысты шағылдыру, сіңіру, тарату және оқшаулау процестерін зерттеп, шуды азайтудың тиімді әдістерін жасайды. Мысалы, көпқабатты үйлерде едендердің арасына дыбыс оқшаулайтын материалдар салынады, ал концерт залдарында дыбыс реверберациясын (шағылу ұзақтығын) оңтайландыру үшін арнайы панельдер орнатылады. Мұнда акустикалық модельдеу және шу деңгейін өлшеу маңызды құралдар болып табылады.
Физиологиялық акустика. Физиологиялық акустика адамның дыбысты қалай қабылдайтынын және ми қалай өңдейтінін зерттейді. Бұл салада құлақтың анатомиялық құрылымы, есту шегі, дыбыс қысымы деңгейі, дыбыс сезімталдығы, шу мен музыканың психофизиологиялық әсері қарастырылады. Сонымен қатар, бұл бағыт есту қабілеті төмен адамдарға арналған есту аппараттарын және дыбыс коррекциялау құрылғыларын жасауда қолданылады. Мысалы, аудиограмма жасау, сөйлеу есту зерттеулері — физиологиялық акустиканың маңызды әдістері.
Техникалық акустика. Бұл салада дыбыстың техникалық қолданылуы қарастырылады: ультрадыбыстық құрылғылар (медициналық диагностикада — ультрадыбыстық зерттеу, өнеркәсіпте — ақау табу), эхолокация жүйелері (су асты навигациясы, балық іздеу), акустикалық датчиктер (мысалы, көліктегі кері жүріс дыбыстық сигналдары), шуды өлшейтін құралдар, микрофондар, динамиктер. Ультрадыбыс толқындары 20 кГц-тен жоғары жиілікте таралады, сондықтан олар адам құлағына естілмейді, бірақ олар арқылы ішкі ағзаларды бейнелеу немесе қатты денелердің құрылымын тексеру мүмкін болады.
Акустикалық
құбылыстар
Жаңғырық — дыбыстың қатты беттерден (мысалы, қабырға, жартастар,
ғимарат) шағылып, қайта естілуі. Физикалық тұрғыдан, жаңғырық дыбыс
толқындарының шағылуы нәтижесінде пайда болады. Адам құлағы
жаңғырықты есту үшін дыбыс көзінен шағылған толқынның оралу
уақыты кемінде 0,1
секунд болуы керек (яғни дыбыс
көзінен 17 метрден артық қашықтықта шағылғанда ғана анық естіледі).
Бұл құбылыс негізінде дыбыс жылдамдығының
v=340 м/сv = 340 \,
м/сv=340м/с
екенін
пайдаланады.
Резонанс — сыртқы әсер жиілігі
жүйенің (мысалы, аспап, ауа бағаны, құрылыс элементі) табиғи
тербеліс жиілігімен сәйкес келгенде, тербеліс амплитудасының күрт
артуы. Физикада бұл құбылыс гармониялық осцилляторлармен
сипатталады. Мысалы, скрипканың немесе гитараның қуысы белгілі бір
жиіліктерді күшейтеді, сондықтан оларда дыбыс күші артады. Резонанс
құбылысы құрылыс инженериясында қауіпті, өйткені қатты резонанстық
тербелістер ғимараттарға зиян келтіруі мүмкін (мысалы, көпірдің
тербелуі, ғимараттың шайқалуы).
Интерференция — екі немесе одан көп дыбыс толқындары қабаттасқанда
пайда болатын құбылыс. Егер толқындар бір фазада
қосылса, күшейту (конструктивті
интерференция) байқалады, ал қарама-қарсы
фазада қосылса, әлсіреу (деструктивті
интерференция) жүреді. Интерференция дыбыс
күші үлестірілімінде түйіндер мен шоғырлар (тоқсандықтар) түзіп,
кеңістікте дыбыс таралуының күрделі картасын жасайды. Музыкада және
дыбыс техникасында интерференция эффектісі дыбыс сапасына әсер етуі
мүмкін.
Дифракция — дыбыс толқындарының кедергілерді айналып өтуі немесе тар саңылақтардан өткенде бүгілуі. Дифракция құбылысы толқын ұзындығына байланысты: дыбыс толқынының ұзындығы кедергінің өлшемімен салыстырмалы болса, дыбыс сол кедергінің артына өте алады. Мысалы, бұрыштың айналасында сөйлеген адамды ести аламыз немесе ашық терезеден шыққан дыбыс бүгіледі. Дифракцияны жарыққа қарағанда дыбыста байқау оңай, өйткені дыбыс толқындарының ұзындығы үлкенірек (бірнеше сантиметрден метрге дейін).
Қорытынды
Акустика — бұл тек дыбыстың табиғатын түсінуге бағытталған теориялық ғылым ғана емес, сонымен қатар оны басқару, бағыттау және пайдалану арқылы адам өмірін жақсартуға қызмет ететін қолданбалы ғылым саласы. Дыбыс – біздің күнделікті қарым-қатынасымыздың, қауіпсіздігіміздің, мәдениетіміздің және технологиямыздың ажырамас бөлігі.
Акустика музыкада әуеннің сапасын арттыруда, медицинада – ультрадыбыстық диагностика мен терапияда, құрылыста – дыбыс оқшаулау мен шуды басқаруда, өнеркәсіпте – ақауларды анықтайтын ультрадыбыстық тексеруде және тіпті ғарышта – қашықтықтан объектілерді анықтауда кеңінен қолданылады. Сонымен қатар, виртуалды шындық, жасанды интеллект және дыбыспен басқарылатын құрылғылар (мысалы, "ақылды үйлер") да акустикамен тығыз байланысты.
Бүгінгі таңда акустикалық технологияларсыз өмірді елестету қиын. Жаңа замандағы маман мен ғалымға тек дыбыс туралы түсінік қана емес, оның кеңістіктегі әрекетін, қолданылу әдістерін және адамның қабылдау механизмдерін түсіну маңызды.
Сондықтан акустика негіздерін меңгеру – тек физика пәнінің міндеті ғана емес, ғылыми, технологиялық және әлеуметтік даму үшін маңызды қадам болып табылады. Бұл салада алынған білімдер – инженерлік жобалауда, медициналық құрылғылар жасауда, жаңа дыбыстық технологияларды игеруде аса қажет.
Пайдаланылған әдебиеттер
-
Калашников С.В. Дыбыс пен акустика негіздері. — М.: Наука, 2005.
-
Чиркин А.С. Акустика: негізгі ұғымдар мен қолдану салалары. — Алматы: Қазақ университеті, 2010.
-
Бернард Р., Пикард Р. Акустика для инженеров. — М.: Машиностроение, 1998.
-
Журнал Физика және техника, №3, 2020, «Құрылыс акустикасындағы жаңа материалдар» мақаласы.
шағым қалдыра аласыз













