Пән: Алгебра
Қысқа мерзімді жоспар №1-сабак
|
Ұзақ мерзімді жоспар бөлімі: VIIIтарау. Дифференциалдық теңдеулер |
Мектеп: |
|
Педагогтің аты-жөні: |
|
|
Күні: |
|
|
Сыныбы: 11 |
Қатысушылар саны: Қатыспағандар саны: |
|
Сабақтың тақырыбы: |
Дифференциалдық теңдеулер туралы жалпы мағлұмат |
|
Оқу бағдарламасына сәйкес оқу мақсаты |
11.3.1.22- дифференциалдық теңдеулер туралы негізгі ұғымдарды білу; 11.3.1.23- дифференциалдық теңдеулердің жалпы және дербес шешімдері анықтамаларын білу; |
|
Сабақтың мақсаты: |
дифференциалдық теңдеулер туралы негізгі ұғымдарды біледі; - дифференциалдық теңдеулердің жалпы және дербес шешімдері анықтамаларын біледі; |
Сабақтың барысы:
|
Сабақ кезеңі/Уақыты |
Оқулықпен жұмыс. |
Оқушының іс-әрекеті |
Бағалау |
Ресурстар |
||||||||||||||||
|
Сабақтың басы |
Оқушылардың сабаққа дайындығын нақтылайды Оқушылармен бірге оқу мақсаттарын, бағалау критерийлерін нақтылайды Оқушылардың сабақтың мақсатын, күтілетін нәтижелерін түсінгендігін нақтылайды Сабақтың тақырыбына қатысты жағдаяттар туындатады |
Мұғалім сұрақтарына жауап береді Мұғаліммен бірге оқу мақсаттарын, бағалау критерийлерін талқылайды Мұғалімнің айтқандарын дәптерлеріне жазып отырады |
Мұғалім ұйымдастыру кезеңінде белсенділік танытқан оқушыларды «Мадақтау сөз» әдісіарқылы бағалайды: «Жарайсың! Жақсы! Өте жақсы! Талпын!» |
Түрлі түсті қима қағаздар
|
||||||||||||||||
|
Сабақтың ортасы |
12.5.1.1 дифференциалдық теңдеулер туралы жалпы түсіну; Табиғат құбылыстарын зерттегенде, физика жəне техника, химия жəне биология мəселелерін шешкенде, эволюциялық процесті анықтайтын шамалар арасындағы тəуелділік, көбіне, шамалар мен олардың өзгеру жылдамдықтары арасындағы байланыс түрінде, яғни белгісіз функциялар мен туындыларын (дифференциалдарын) байланыстыратын теңдеу ретінде алынады. Белгісіз функция жəне оның туындыларын байланыстыратын мұндай теңдеулер дифференциалдық деп аталады. Ізделінді функция бір ғана айнымалыдан тəуелді болса, теңдеу кəдімгі дифференциалдық, ал бірнеше айнымалыдан тəуелді болса, дербес туындылы дифференциалдық деп аталады. Мысалы, ең қарапайым кəдімгі
дифференциалдық деп, Жалпы y = ∫ f(x)dx + C шешімдер жиынтығын береді. Сонымен, «Тәуелсіз айнымалы, белгісіз функция және оның туындыларын немесе кез келген ретті дифференциалдарды байланыстыратын теңдеу дифференциалдық теңдеу деп аталады»; Тапсырма.
Дифференциалдық теңдеудің дербес және жалпы шешімінің анықтамасын оқушылармен бірге құрыңыз. Дифференциалдық теңдеуді шешу
– бұл осы теңдеуді қанағаттандыратын барлық функциялардың жиынын
табу. Мұндай функциялардың жиыны С тұрақтысына әртүрлі мәндер қою арқылы дифференциалдық теңдеудің шексіз көп дербес шешімін алуға болады.
Бірінші ретті дифференциалдық
теңдеудің жалпы түрі: Дифференциалдық теңдеудің шешімі деп, теңдеуге қойғанда оны дұрыс теңдікке айналдыратын қандай да бір функцияны айтамыз. Дифференциалдық теңдеудің шешімінің графигі осы теңдеудің интегралдық қисығы деп аталады. Геометриялықтүрдежалпышешіминтегралдыққисықтаржиынтығынқұрайды.
Дифференциалдық теңдеулердің шешімдері жалпы және дербес шешімдер болып бөлінеді. Жалпы
шешім дегеніміз – нешінші ретті
теңдеу болса, сонша тұрақты шама бар деген сөз.
Яғни, Дифференциалдық теңдеудің жалпы шешімдеріндегі тұрақты шама С-ға белгілі бір сан мәнін беру арқылы алынатын шешімді дербес шешім деп атаймыз. Жалпы сыныптық жұмыс 1. 2. 3.Дифференциалданатын теңдеудің ретін анықтаңыз: 1)
2)
3)
4)
5)
4.
5. Берілген функция көрсетілген теңдеудің шешімі болатындай етіп, k-ның мәнін табыңыз.
Жауаптары: 1. 2.
3. 1) бірінші ретті; 2) екінші ретті; 3) үшінші ретті; 4) бірінші ретті; 5) екінші ретті. 4.
5.
|
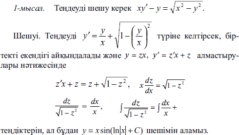
Ізделінді функцияның ең жоғарғы туындысы (дифференциалы) теңдеудің реті деп аталады. Мысалы: Дифференциалдық теңдеулер мысалдарын қарастырайық. 1-мысал:
Халық санының өсімін зерттеу барысында оның өсу жылдамдығы
тұрғындар санына пропорционал болатындығы анықталған. Айталық, t
уақытында тұрғындар саны N(t) – ға тең болсын. Онда халықтың t
уақытындағы өсу жылдамдығы
2 -мысал: Радиоактивті ыдырау. Тәжірибе арқылы заттың радиоактивті ыдырау жылдамдығы оның бастапқы мөлшеріне пропорционал болатындығы анықталған. Осы заңдылыққа сүйене отырып, радиоактивті ыдырау жөніндегі көптеген есептерді шешуге болады. Айталық, m(t) өрнегімен t уақытындағы радиоактивті заттың мөлшерін (грамм) белгілейік. Онда mI(t)=-λ m(t) теңдігі орындалады. Мұнда λ>0 пропорционалдық коэффициент, «минус» таңбасы уақыт өтісімен радиоактивті зат мөлшерінің кемитіндігін білдіреді. 3.дифференциалдық теңдеулер көмегімен сипаттайтын жағдайларға мысалдар келтіріңіз:
12.5.1.2 дифференциалдық теңдеулердің дербес және жалпы шешімдерінің анықтамасын білу; Тақырыпты ашу үшін оқушылардансұраңыз: - Алгебралықтеңдеулердішешудегеніміз не? - Бұлтеңдеудіқанағаттандыратынсандардыңжиынын табу. - 5
саны - тексеруарқылы 5 саныныңалгебралықтеңдеудіңтүбіріболатындығынакөзжеткіземіз. Дифференциалдықтеңдеулер де осы секілді. Оқушыларғакелесітапсырманыорындаудыұсыныңыз Мысалдар:
Мысал –
1: ?
=
2?
функциясы
Шешуі:Егер
Жауабы:
Мысал –
2:
Шешуі: Берілген функцияға орындарына апырып қоямыз.
Жауабы:
Мысал
– 3:
Шешуі: Берілген функцияға орындарына апарып қоямыз.
Жауабы:
Мысал – 4: Берілген функция көрсетілген теңдеудің шешімі болатындай етіп, k-ның мәнін табыңыз.
Шешуі:
Жауабы:
Жұптық жұмыс 6. Берілген функция көрсетілген теңдеудің шешімі болатындай етіп, k-ның мәнін табыңыз.
7. Берілген функция көрсетілген теңдеудің шешімі болатындай етіп, k-ның мәнін табыңыз.
8.
9.
10. Жауаптары:
6.
7.
8.
9.
10.
|
|
http://www.mathprofi.ru/kompleksnye_chisla_dlya_chainikov.html
https://artofproblemsolving.com/wiki/index.php/Complex_number
|
||||||||||||||||
|
Сабақтың соңы |
Үй жұмысы: Сабақ соңында рефлексия жүргіземіз. (3 минут) «Сөйлемді жалғастыр» (дәптерге жазады).
… мағанқызықболды? |
Оқушылар «теңгерім дөңгелегін»толтырады. Оқушылар жетістік критерийлері бойынша таңдау жасайды, неге ? деген сұраққа жауап береді. |
Бағалау. Оқушылар бір-бірін ауызша критерий бойынша бағалайды. - Кейбір оқушыларға мұғалім тарапынан кері байланыс беріледі.
|
|
||||||||||||||||
Пән: Алгебра
Қысқа мерзімді жоспар №2-сабак
|
Ұзақ мерзімді жоспар бөлімі: VIIIтарау. Дифференциалдық теңдеулер |
Мектеп: |
|
Педагогтің аты-жөні: |
|
|
Күні: |
|
|
Сыныбы: 11 |
Қатысушылар саны: Қатыспағандар саны: |
|
Сабақтың тақырыбы: |
Дифференциалдық теңдеулер туралы жалпы мағлұмат |
|
Оқу бағдарламасына сәйкес оқу мақсаты |
11.3.1.22- дифференциалдық теңдеулер туралы негізгі ұғымдарды білу; 11.3.1.23- дифференциалдық теңдеулердің жалпы және дербес шешімдері анықтамаларын білу; |
|
Сабақтың мақсаты: |
дифференциалдық теңдеулер туралы негізгі ұғымдарды біледі; - дифференциалдық теңдеулердің жалпы және дербес шешімдері анықтамаларын біледі; |
Сабақтың барысы:
|
Сабақ кезеңі/Уақыты |
Оқулықпен жұмыс. |
Оқушының іс-әрекеті |
Бағалау |
Ресурстар |
||||||||||||||||||||
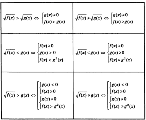
|
Сабақтың басы |
Оқушылардың сабаққа дайындығын нақтылайды Оқушылармен бірге оқу мақсаттарын, бағалау критерийлерін нақтылайды Оқушылардың сабақтың мақсатын, күтілетін нәтижелерін түсінгендігін нақтылайды Сабақтың тақырыбына қатысты жағдаяттар туындатады |
Мұғалім сұрақтарына жауап береді Мұғаліммен бірге оқу мақсаттарын, бағалау критерийлерін талқылайды Мұғалімнің айтқандарын дәптерлеріне жазып отырады |
Мұғалім ұйымдастыру кезеңінде белсенділік танытқан оқушыларды «Мадақтау сөз» әдісіарқылы бағалайды: «Жарайсың! Жақсы! Өте жақсы! Талпын!» |
Түрлі түсті қима қағаздар
|
||||||||||||||||||||
|
Сабақтың ортасы |
Қайталау:10 сыныпта оқушылар бірінші туындыны анықтауды үйренді және оның физикалық мағынасын түсінді. «Қалың және жіңішке сұрақтар» арқылы бетпе-бет сұрақтар қойыңыздар
Жеке жұмыс:10 сыныпта алған білімдердің өзектілігін қамтамасыз ету үшін оұушыларға келесі есепті шығаруды ұсыныңыз. Мысалы. Дене координатсы келесі заңдылықпен өзгереді: X = 5 - 3t + 2t2 (м). 2 секундта дененің жылдамдығын анықтаңыз. Шешімі:
Оқушылармен бірге екінші ретті туындыны табудың бірнеше мысалын талдаңыз.
Оқушыларға өзара бір-бірін тексерумен екінші ретті туындыны табу дағдыларын бекіту үшін тапсырмалар ұсыныңыз. Оқушылармен бірге екінші ретті туындыны қайталаңыз. Оларға үшінші, төртінші және т.с.с. n-ші ретті туындыны қалай табуға болатынын ойлануды ұсыныңыз. Талқылаудан кейін n-ші ретті туындының анықтамасын беруге болады: Айқын берілген функцияның жоғары ретті туындылары Анықтама:
Функцияның n-ші ретті туындысы
деп (n-1)-ші ретті туындыдан алынған
туындыны айтады және келесі түрде белгілейді:
Функцияның екінші ретті туындысының берілген нүктелердегі мәнін табыңдар:
Оқушыларға келесі түрдегі тапсырмаларды мини топтарда немесе жұптарда орындауды ұсыныңыз.
Мысал 1. Материалдық нүкте s(t)=2t3+3t заңымен қозғалады, мұндағы s –метрмен берілген арақашықтық, ал t –секундпен берілген уақыт. Үдеу 12 м/с2-қа тең болатындай t- ның мәнін табыңдар.
Мысал 2. Келесі заңдылықпен қозғалатын дененің үдеуін табыңдар: a) s(t) = 2t3 + 5t2 +4t , б) s(t) = t5 – 2t3 ( s –метрмен берілген арақашықтық, ал t –секундпен берілген уақыт ). t = 20 c болғандағы үдеудің мәнін табыңдар.
Мысал
3. Материалдық
нүкте
Мысал
4. Дене
Жеке тапсырмаларды орындау бекіту және қолдануды бағалау мақсатында жүргізіледі. Тапсырма: Төмендегі теңдеулердің қайсысы дифференциалдық теңдеулер және олардың ретін анықтаңыз.
2.Теңдеулердің дербес шешімін табыңыз.
Жеке жұмыс. Қалыптастырушы бағалау тапсырмасын орындайды. Уақыт болған соң мұғалім жинап алады. Келесі сабақта талдау жасалады. Теңдеудің дербес шешімін табыңыз:
|
. Білімді өзектендіру. Оқушыларға туындыны және интегралды орындауға тапсырмалар беріледі. Әр оқушы өзі орындайды. Сосын көршісімен жұмыстарын алмастырады. Слайдтағы жауап бойынша өзара тексеру жүргізеді. Ауызша орындалатын тапсырмалар. Өтілген материалды еске түсіру үшін, сұрақтарға жауап береді.
1.
2. Тәуелсіз айнымалының
дифференциалы қалай белгіленеді?
(
3. Дифференциал функцияның
формуласын атаңыз. ( 4. Кері дифференциалдау процесін атаңыз. (интегралдау)
5. Анықталмаған интегралдың геометриялық мағынасы
қалай қорытындыланады? (Анықталмаған интеграл – бұл интегралдар
қисығының үйірімі. 4.Жаңа тақырыпты игерту.
Анықтама
1. Тәуелсіз айнымалы x-ті,
белгісіз функция Анықтама 2. Дифференциалдық теңдеу реті дегеніміз- теңдеуге қатынасып тұрған белгісіз функцияның туындысының ең жоғарғы ретін айтамыз. Сұрақ: Дифференциалды теңдеуді шешу дегеніміз не? Жауабы: Дифференциалдық теңдеудегі белгісіз функция мен оның туындалырының орнына қойғанда бұл теңдеуді теңбе-теңдікке айналдыратын әрбір y(x)функциясын дифференциалдық теңдеудің шешімі деп атайды.
2.
Егер
Жауабы: 2-тапсырма:
Оқушылардан
өздігімен
Жауабы: Жауаптарыңды тексеріңдер және дұрыс емес жауаптарды талқылаңыздар.
Тақтаға
Жауабы: Оқушылардан барлық жауаптарын тыңдау және оны талқылау ұсынылады. Қорытынды жасау:
Анықтама: Дифференциалдық теңдеуді шешкенде оның
шешіміне С тұрақтысы енеді. Мұндай шешімдер дифференциалдық
теңдеудің жалпы
шешімі деп аталады. Ол Дифференциалдық теңдеулердің жалпы шешімдерімен бірге олардың дербес шешімдері де қарастырылады. Дифференциалдық теңдеудің жалпы шешіміндегі тұрақты шама С-ға белгілі сан мәнін беру арқылы алынатын шешімді осы теңдеудің дербес шешімі деп атайды. Мысалы: тақтада тапсырманы мұғалім көрсетеді.
Шешуі: Анықтама. Дифференциалдық теңдеу шешімінің графигі осы теңдеудің интегралдық қисығы деп аталады.
деп аталады.
Бірінші ретті теңдеулердің ең
қарапайымы
Есептер шығару: Оқушыларға жұптасып орындауға тапсырма беріледі. Тапсырманы орындап болған соң, басқа оқушылармен жауаптарын тексереді. Тексеріп болған соң, кері байланыс беріледі.
|
|
|
||||||||||||||||||||
|
Сабақтың соңы |
Үй жұмысы: Сабақ соңында рефлексия жүргіземіз. (3 минут) «Сөйлемді жалғастыр» (дәптерге жазады).
… мағанқызықболды? |
Оқушылар «теңгерім дөңгелегін»толтырады. Оқушылар жетістік критерийлері бойынша таңдау жасайды, неге ? деген сұраққа жауап береді. Үй тапсырмасы:
Жетістік критериіне қайта оралу. Оқушы «мен жеттім/жетпедім, себебі.... сондықтан маған ......қажет» деген сөйлемді аяқтау қажет
|
Бағалау. Оқушылар бір-бірін ауызша критерий бойынша бағалайды. - Кейбір оқушыларға мұғалім тарапынан кері байланыс беріледі.
|
|
||||||||||||||||||||
Пән: Алгебра
Қысқа мерзімді жоспар №3-сабак
|
Ұзақ мерзімді жоспар бөлімі: VIIIтарау. Дифференциалдық теңдеулер |
Мектеп: |
|
Педагогтің аты-жөні: |
|
|
Күні: |
|
|
Сыныбы: 11 |
Қатысушылар саны: Қатыспағандар саны: |
|
Сабақтың тақырыбы: |
Дифференциалдық теңдеулер туралы жалпы мағлұмат |
|
Оқу бағдарламасына сәйкес оқу мақсаты |
11.3.1.22- дифференциалдық теңдеулер туралы негізгі ұғымдарды білу; 11.3.1.23- дифференциалдық теңдеулердің жалпы және дербес шешімдері анықтамаларын білу; |
|
Сабақтың мақсаты: |
дифференциалдық теңдеулер туралы негізгі ұғымдарды біледі; - дифференциалдық теңдеулердің жалпы және дербес шешімдері анықтамаларын біледі; |
Сабақтың барысы:
|
Сабақ кезеңі/Уақыты |
Оқулықпен жұмыс. |
Оқушының іс-әрекеті |
Бағалау |
Ресурстар |
||||||||||||||||
|
Сабақтың басы |
Оқушылардың сабаққа дайындығын нақтылайды Оқушылармен бірге оқу мақсаттарын, бағалау критерийлерін нақтылайды Оқушылардың сабақтың мақсатын, күтілетін нәтижелерін түсінгендігін нақтылайды Сабақтың тақырыбына қатысты жағдаяттар туындатады |
Мұғалім сұрақтарына жауап береді Мұғаліммен бірге оқу мақсаттарын, бағалау критерийлерін талқылайды Мұғалімнің айтқандарын дәптерлеріне жазып отырады |
Мұғалім ұйымдастыру кезеңінде белсенділік танытқан оқушыларды «Мадақтау сөз» әдісіарқылы бағалайды: «Жарайсың! Жақсы! Өте жақсы! Талпын!» |
Түрлі түсті қима қағаздар
|
||||||||||||||||
|
Сабақтың ортасы |
Оқушыларға мәселелік жағдаят
туғызып, жеке Пайда болған шешімдерін оқушылармен талқылаңыз. Әрі қарай тағы
бір Біріншіреттідифференциалдықтеңдеулердіңкезкелгентүрлеріноқукезендеоқушыларғакестенітолтырудыұсыныңыз:
Оқушыларғабекітуүшінөз-өзінтексеругетапсырмаұсыныңыз:
дифференциалдық теңдеуі берілген. Егер y = 5 x = 0 тең болғанда, теңдеудің дербес шешімін табыңыз. Жауабын y = f(x) түріндежазыңыз. Балл қоюкестесі
|
№1
Шешуі: Бұл сызықтың теңдеу,
мұндағы
бұдан
Сонда
№2
put y = vx so
that = Note: Condone absence of c at this stage.
arctan( [11] Кері байланыс. Бағалау.
|
|
|
||||||||||||||||
|
Сабақтың соңы |
Үй жұмысы: Сабақ соңында рефлексия жүргіземіз. (3 минут) «Сөйлемді жалғастыр» (дәптерге жазады).
… мағанқызықболды? |
Оқушылар «теңгерім дөңгелегін»толтырады. Оқушылар жетістік критерийлері бойынша таңдау жасайды, неге ? деген сұраққа жауап береді. |
Бағалау. Оқушылар бір-бірін ауызша критерий бойынша бағалайды. - Кейбір оқушыларға мұғалім тарапынан кері байланыс беріледі.
|
|
Пән: Алгебра
Қысқа мерзімді жоспар №4-сабак
|
Ұзақ мерзімді жоспар бөлімі: VIIIтарау. Дифференциалдық теңдеулер |
Мектеп: |
|
Педагогтің аты-жөні: |
|
|
Күні: |
|
|
Сыныбы: 11 |
Қатысушылар саны: Қатыспағандар саны: |
|
Сабақтың тақырыбы: |
Айнымалылары ажыратылатын бірінші ретті дифференциалдық теңдеулер |
|
Оқу бағдарламасына сәйкес оқу мақсаты |
11.3.1.24- айнымалылары ажыратылатын дифференциалдық теңдеулерді шешу; 11.3.3.1-физикалық есептерді шығаруда дифференциалдық теңдеулерді қолдану; |
|
Сабақтың мақсаты: |
- айнымалылары ажыратылатын дифференциалдық теңдеулерді шешеді; -физикалық есептерді шығаруда дифференциалдық теңдеулерді қолданады; |
Сабақтың барысы:
|
Сабақ кезеңі/Уақыты |
Оқулықпен жұмыс. |
Оқушының іс-әрекеті |
Бағалау |
Ресурстар |
||||||||||||
|
Сабақтың басы |
Оқушылардың сабаққа дайындығын нақтылайды Оқушылармен бірге оқу мақсаттарын, бағалау критерийлерін нақтылайды Оқушылардың сабақтың мақсатын, күтілетін нәтижелерін түсінгендігін нақтылайды Сабақтың тақырыбына қатысты жағдаяттар туындатады |
Мұғалім сұрақтарына жауап береді Мұғаліммен бірге оқу мақсаттарын, бағалау критерийлерін талқылайды Мұғалімнің айтқандарын дәптерлеріне жазып отырады |
Мұғалім ұйымдастыру кезеңінде белсенділік танытқан оқушыларды «Мадақтау сөз» әдісіарқылы бағалайды: «Жарайсың! Жақсы! Өте жақсы! Талпын!» |
Түрлі түсті қима қағаздар
|
||||||||||||
|
Сабақтың ортасы |
.Мағынаны тану 4.1.Айнымалылары ажыратылаиын бірінші ретті дифференциалдық теңдеулер қарастырайық.
айнымалылары ажыратылған
(дифференциал түрiнде жазылған), мұндағы
түрінде болады. Мұндаrы
Айнымалыларыажыратылатын теңдеудеп
түріндегі теңдеуді атайды.
Мұндағы
дифференциалдық теңдеуін аламыз. Бұл теңдеудің жалпы шешімі тендеудің жалпы шешiмi
Ал
Айнымалылары ажыратылатын дифференциалдық теңдеуді шешу алгоритмі. 1.Айнымалыларды ажырату (шартқа сәйкес мүмкін болғанда); 2.Әр бөлікті интегралдау 3.Жалпы интегралдан алынған теңдеудің шешімі бола ма екенін анықтау; 4.Бастапқы шартты қанағаттандыратын дербес шешімін табыңыз. Мысал-1. Теңдеудің жалпы шешімін
табыңыз Шешімі.Айнымалыларын ажырату қажет.
Ол үшін берілген теңдеуді келесі түрде жазып
аламыз:
4.2. Бірінші ретті айнымалылары ажыратылатын дифференциалдық теңдеулерді тану бейне-жазба/уақыты: 5 минут/Қосымша №3 1-жұп:https://www.youtube.com/watch?v=mXVW1xWYWcg 2-жұп:https://www.youtube.com/watch?v=RInf_oK1Lgc 3-жұп:https://www.youtube.com/watch?v=YIpU_a1K4CI 4-жұп:https://www.youtube.com/watch?v=kLQ6hKZuc9Q 5-жұп:https://www.youtube.com/watch?v=znbdne1MCnk 6-жұп:https://www.youtube.com/watch?v=8xiJWTB26RE Жұмыс түрі:жұптық жұмыс Орындалу барысы:оқушылар ұсынылған бейне материалдарды пайдалана отырып мәселенің шешу кезеңдері мен жолдарын өзбеттерінше оқып, пайымдайды. Өз түсініктерін екінші жұп мүшелеріне түсіндіреді. Әдісі: түртіп алу Мұғалімнің қызметі: сұрақтар арқылы оқушыларға бағыт беру. Оқушының қызметі: өзбетінше қажетті материалды игеру, талдау. оқушылар жұптаса отырып, ұсынылған тапсырмаларды орындайды. Алынған нәтижелер дәптерлеріне жазылып, таныстырылым жасалады.. Бағалау: өзін-өзі бағалау Бағалау дескрипторы: -дифференциалдық теңдеулер анықтамасын біледі; -қажетті есептеулер қатесіз жүргізеді; - дифференциалдық теңдеудің шешу алгоритмін пайдалан отырып, жалпы және дербес шешімдерін табады. |
Білімді бекіту 5.1.Практикалық тасырма-1 Бірінші ретті айнымалылары ажыратылатын дифференциалдық теңдеулер/ Қосымша №4 Жұмыс түрі: топтық жұмыс Мақсаты: Жаңа білімді шыңдау.Оқушылардың білім дағдыларын дамыту. Дағдылар: қолдану, сыни ойлау Бағалау: мұғалімнің бағалауы Оқушыларға сабақ мақсатын бекіту үшін дифференциалданған тапсырмаларды орындауды ұсыныңыз. Тапсырмалар деңгейге байланысты біртіндеп күрделене берілген. Оқушылар өз еріктерімен шығара алатын есептерінен бастап шығаруға болады А-
деңгейлі: Бірінші ретті айнымалылары
ажыратылатын дифференциалдық
теңдеулер: Дифференциалдық теңдеудің
жалпы шешімдерін табыңыз: В-деңгейлі. : Дифференциалдық теңдеудің
жалпы шешімін табыңыз: және бастапқы y(0)=e шартын қанағаттандыратын дербес шешімін табыңыз. С-деңгейлі.:
түрінде берілген бірінші ретті айнымалылары ажыратылатын дифференциалдық теңдеу. Дифференциалдық теңдеудің
жалпы шешімін табыңыз: Тапсырманы орындаған
оқушыларға қосымша тапсырманы
ұсынуға
болады::
5.2.Практикалық тапсырма-2 Жұмыс түрі:жұптық /Қосымша №5
Әдісі: жұптас-ақылдас-жаз Мақсаты: бірінші ретті айнымалылары ажырытылатын дифференциалдық теңдеулер туралы оқушылардың білім икемділіктерін саралау; Орындалуы: оқушылар жұптаса отырып, ұсынылған тапсырмаларды орындайды.Алынған нәтижелер дәптерлеріне жазылып, таныстырылым жасалады. Дағдылар: білу, қолдану, саралау Бағалау: өз-өздерін бағалау/ онлайн Бағалау дескрипторы: -диффренциалдық теңдеуге қатысты ұғымдарды дұрыс қолдана біледі; -қажетті есептеулер қатесіз жүргізеді. - дифференциалдық теңдеудің шешу алгоритмін пайдалан отырып, жалпы және дербес шешімдерін табады.
5.3.Free Differential Equations Practice Tests Жұмыстың түрі:Өзіндік жұмыс /Қосымша №6https://www.varsitytutors.com/differential_equations-practice-tests#practice-tests-section Мақсаты:Оқушылардың жаңа тақырып бойынша ұсынылған тапсырмалар арқылы игерген білімикемділіктерін саралау. Орындалуы: Оқушылар онлайн-қалыпта ұсынылған тапсырмаларды жеке орындайды. Дағдылар: білу, қолдану Бағалау: онлайн-қалыпта нәтижені көру. Келесі теңдеулердің ішінен айнымалылары ажыратылатын дифференциалдық теңдеуді анықтаңыз. Түсіндіріңіз. 1)
2) Жауабы: Айнымалылары бөліктенетін дифференциалдық теңдеу. Жауабы: 1, 4, 6.
|
|
|
||||||||||||
|
Сабақтың соңы |
Үй жұмысы: Сабақ соңында рефлексия жүргіземіз. (3 минут) «Сөйлемді жалғастыр» (дәптерге жазады).
… мағанқызықболды? |
Оқушылар «теңгерім дөңгелегін»толтырады. Оқушылар жетістік критерийлері бойынша таңдау жасайды, неге ? деген сұраққа жауап береді. |
Бағалау. Оқушылар бір-бірін ауызша критерий бойынша бағалайды. - Кейбір оқушыларға мұғалім тарапынан кері байланыс беріледі.
|
|
Пән: Алгебра
Қысқа мерзімді жоспар №5-сабак
|
Ұзақ мерзімді жоспар бөлімі: VIIIтарау. Дифференциалдық теңдеулер |
Мектеп: |
|
Педагогтің аты-жөні: |
|
|
Күні: |
|
|
Сыныбы: 11 |
Қатысушылар саны: Қатыспағандар саны: |
|
Сабақтың тақырыбы: |
Айнымалылары ажыратылатын бірінші ретті дифференциалдық теңдеулер |
|
Оқу бағдарламасына сәйкес оқу мақсаты |
11.3.1.24- айнымалылары ажыратылатын дифференциалдық теңдеулерді шешу; 11.3.3.1-физикалық есептерді шығаруда дифференциалдық теңдеулерді қолдану; |
|
Сабақтың мақсаты: |
- айнымалылары ажыратылатын дифференциалдық теңдеулерді шешеді; -физикалық есептерді шығаруда дифференциалдық теңдеулерді қолданады; |
Сабақтың барысы:
|
Сабақ кезеңі/Уақыты |
Оқулықпен жұмыс. |
Оқушының іс-әрекеті |
Бағалау |
Ресурстар |
||||||||||||
|
Сабақтың басы |
Оқушылардың сабаққа дайындығын нақтылайды Оқушылармен бірге оқу мақсаттарын, бағалау критерийлерін нақтылайды Оқушылардың сабақтың мақсатын, күтілетін нәтижелерін түсінгендігін нақтылайды Сабақтың тақырыбына қатысты жағдаяттар туындатады |
Мұғалім сұрақтарына жауап береді Мұғаліммен бірге оқу мақсаттарын, бағалау критерийлерін талқылайды Мұғалімнің айтқандарын дәптерлеріне жазып отырады |
Мұғалім ұйымдастыру кезеңінде белсенділік танытқан оқушыларды «Мадақтау сөз» әдісіарқылы бағалайды: «Жарайсың! Жақсы! Өте жақсы! Талпын!» |
Түрлі түсті қима қағаздар
|
||||||||||||
|
Сабақтың ортасы |
1 топ «Салқындауға» берілген есептер Тапсырма (орындау уақыты 10 минут) 1. Презентацияның 5-6-7 слайдтарын тағы да мұқият оқып шығыңыз; 2. №1 есептің шығарылуын топта талқылаңыз; 3. №2 есепті шешіңіз; 4. №2 есептің шешімін сынып алдында түсіндіру үшін дайындалыңыз.
Есеп №1 «Дене 10 минуттатемпературасы 20о су ішінде 100о-тан 60о-қа дейінсалқындады. Егер Ньютон заңыбойыншасалқындаужылдамдығыденетемпературасы мен қоршаған орта температурасыныңайырмасына тура пропорционалболса, қаншауақыттадене 30о-қа дейінсалқындайды?» Берілгені: Шешуі:
x(t) –
денетемпературасы
t – салқындау
уақыты
x(0) =
1000;
x(10) = 600;
xқоршаған орта
= 200;
x(t0)= 300; Табу керек: t0. Берілгенібойынша:
Демек,
Олайболса, Жауабы: 30 мин.
Есеп №2 Қоршаған орта температурасы 20оС ортада дене 100оС -қа дейін қыздырылды. Егер алғашқы 20 минутта ол 60оС-қа дейін суыса, қанша уақытта 30оС дейін салқындайды? (Жауабы: x(t) = 80∙2–t/20x(tx) = 30 үшін tx= 60 мин).
2 топ «Бактериялардың көбеюіне» берілген есептер
Тапсырма (орындау уақыты 10 минут) 1. Презентацияның 5-6,8 слайдтарын тағы да мұқият оқып шығыңыз; 2. №1 есептің шығарылуын топта талқылаңыз; 3. №2 есепті шешіңіз; 4. №2 есептің шешімін сынып алдында түсіндіру үшін дайындалыңыз.
Есеп №1 Егер 3 сағатта бактериялар саны 100-ден 200-ге дейін көбейген болса, 9 сағатта олардың саны неше есе артатынын табыңыз. Берілгені: x(t) – бактериялар саны t – уақыт x(0) = 100 x(3) =200
Табу керек: Шешуі:
Онда, lnx=kt+lnC →x=Cеkt С жәнеk табамыз. 100=Cek∙0 →C=100→ x=100еkt x(3) =200қолданамыз: 200=100e3k→k=(ln2)/3
Сонда, х(t)=100 Ендіx(9)табамыз: x(9)=100∙23=800
Жауабы: 8 есе артады.
Есеп №2 Зерттеу басталғаннан 12 сағат өткеннен кейін бактериялар саны 3 есе артты. Зерттеу басталғаннан үш тәулік өткеннен кейін бактериялар саны қанша есе артады? Бактериялардың көбеюі олардың санына пропорционал болады. (Жауабы: e12k = 3, x(72) = Ne72k = N(e12k)6 = 36N = 729N 729 есе).
1 – есеп.
Шешуі. Бұл айнымалылары ажыратылған теңдеу, мұнда
Формулаларының алғашқысы
бойынша 2 –
есеп. Шешуі.
Бұл ІҮ. Игерілген материалды бекіту. Жеке жұмыс. Айнымалысы ажыратылатын дифференциалдық теңдеулердің жалпы шешімін табыңыз:
Оқушылар теңдеудің шешімін дескрипторлардың көмегімен өз-өзін бағалайды. |
3 топ «Жарық өткізгіштікке» берілген есептер
Тапсырма (орындау уақыты 10 минут) 1. Презентацияның 5-6,9 слайдтарын тағы да мұқият оқып шығыңыз; 2. №1 есептің шығарылуын топта талқылаңыз; 3. №2 есепті шешіңіз; 4. №2 есептің шешімін сынып алдында түсіндіру үшін дайындалыңыз.
Есеп №1 Су қабатында жұтылатын жарық мөлшері суға түсетін жарық санына пропорционал. Қалыңдығы 3 м суда алғашқы түскен жарықтың жартысы жұтылады. 60 м тереңдікке алғашқы түскен жарықтың қанша бөлігі жетеді?
Берілгені: Іжарық мөлшері, һсудың тереңдігі І(0) =І І(3) =0,5∙І
Табу
керек: Шешуі:
Онда, lnI=-kh+lnC →I=Ce-kh Сжәнеk табамыз: I=Ce-k∙0 →C=I→ I(h)=Ie-kh І(3) =0,5∙І қолданамыз: 0,5I=Ie-3k→k=(ln2)/3
Сонда,
I(h)=I∙ Енді I(60) табамыз:
I(60)=I∙
Одан,
Жауабы: I(60)/I(0) = 2–20.
Есеп №2 Жұқа су қабатында жұтылатын жарық мөлшері суға түсетін жарық саны мен қабаттың қалыңдығына пропорционал. 35 см су қабаты алғашқы түскен жарықтың жартысын жұтады. 2 м су қабаты алғашқы түскен жарықтың қанша бөлігін жұтады? (Жауабы: I(z) = I(0)∙2– z/35,1 – I(200)/I(0) 98,1%).
4 топ «Радиоактивтіыдырауға» берілген есептер
Тапсырма (орындау уақыты 10 минут) 1. Презентацияның 5-6,9 слайдтарын тағы да мұқият оқып шығыңыз; 2. №1 есептің шығарылуын топта талқылаңыз; 3. №2 есепті шешіңіз; 4. №2 есептің шешімін сынып алдында түсіндіру үшін дайындалыңыз.
Есеп №1 Радиоактивті заттың алғашқы санының екі есе азаю уақытын жартылай ыдырау периоды деп атайды. Жартылай ыдырау периоды 1 жыл болатын 10 г заттың 1 г-ы қалу үшін қанша уақыт өтеді? Берілгені: x(t) – заттың алғашқы саны (немесе массасы) t – уақыты x(0) = 10гр x(1) =5гр x(t) = 1гр Табу керек: t Шешуі:
Онда, lnx=-kt+lnC →x=Ce-kt Сжәнеk табамыз: 10=Ce-k∙0 →C=10→ x=10e-kt x(1) =5грқолданамыз: 5=10e-k→k=ln2 Сонда, х(t)=10e-ln2t=10∙2-t болады Енді x(t) = 1гр болғандағы t табамыз: 1=10∙2-t → t = 1/lg2 3,3
Жауабы: x(t) = 1 болғанда, t 3,3г.
Есеп №2 Радийдің ыдырау жылдамддығы оның бастапқы мөлшеріне пропорционал және оның жартылай ыдырау уақыты 1600 жыл. 100 жылда радийдің алғашқы мөлшерінің қанша пайызы ыдырайтынын анықтаңыз. (Жауабы: x(t) = Cekt; x(0) = a, x(1600) = a/2; k = -ln2/1600t = 100 ∙(x/a) = 2–1/16 0,958). Қалыптастырушыбағалау (орындау уақыты 10 минут)
Бағалаукритерийлері:
Әр деңгейден бір тапсырмадан таңдаңыз және орындаңыз.
А деңгейі Теңдеудің жалпы шешімін табыңыз. 1.(1-у)dx+(x+1)dy=0 Жауабы: y=1+C(x+1) 2. exdx+ey(1-ex)dy=0 Жауабы:ey=C+ln1-ex 3. 2xyy’=y2-1 Жауабы:y2-1=Cx 4. y’=e2x-4yЖауабы:e4y=2e2x+C
Вдеңгейі Бастапқышартынқанағаттандыратынтеңдеудіңшешімінтабыңыз.
1. (1+x3)y’=3x2y; y(0)=2. Жауабы:y=2(1+x3)
2. 3. y’ex=x; y(0)=1. Жауабы:y=ex(x+1)
4. y’+ysin2x=0; Сдеңгейі Есептердішығарыңыз.
1.Туристкафеге келіп, бір кесе кофеге тапсырыс берді. Бөлме температурасы 180С. Туристкофенің жағымды температурасы 50оС деп есептейді. Егер 2 минутта кофе 5оС-қа суыйтын болса, жаңа дайындалған кофенің турист үшін жағымды температураға дейін салқындауына қанша уақыт қажет екенін анықтаңыз. (Жауабы: x(t) = 10∙(77/82)t/2x(tx) = 50 үшін tx 30 мин).
2.100 бактериялар тобына қолайлы жағдайда көбею мүмкіндігі жасалды. 12 сағат өткеннен кейін олардың саны 500-ге жеткені анықталды. Зерттеу басталғаннан 2 тәулік өткеннен кейін қанша бактерия болады? (Жауабы: e12k = 5, x(48) = Ne48k = N(e12k)4 = 54N = 625N 625 есе).
3.Қалыңдығы 1 метр әйнектің қандай да бір түрі өзіне түскен жарықтың 0,25 бөлігін жұтады. Түскен жарықтың тек 1%-н жұту үшін осы әйнектің қалыңдығы қандай болу керек? (Жауабы: I(z) = I(0)∙0,75z, I(zх) = 0,99I(0), zх0.03494 м).
4.Тәжірибе бойынша 1 жылда радийдің әр грамынан 0,44мг ыдырайды. Неше жылдан кейін алғашқы радий мөлшерінің жартысы ыдырайды? (Жауабы: x(t) = x(0)∙(1 – 0,00044)tx(t) = ½ x(0) үшін t = ln0,5/ln(1-0,00044) 1600 жыл).
|
|
|
||||||||||||
|
Сабақтың соңы |
Үй жұмысы: Сабақ соңында рефлексия жүргіземіз. (3 минут) «Сөйлемді жалғастыр» (дәптерге жазады).
… мағанқызықболды? |
Оқушылар «теңгерім дөңгелегін»толтырады. Оқушылар жетістік критерийлері бойынша таңдау жасайды, неге ? деген сұраққа жауап береді. |
Бағалау. Оқушылар бір-бірін ауызша критерий бойынша бағалайды. - Кейбір оқушыларға мұғалім тарапынан кері байланыс беріледі.
|
|
Пән: Алгебра
Қысқа мерзімді жоспар №6-сабак
|
Ұзақ мерзімді жоспар бөлімі: VIIIтарау. Дифференциалдық теңдеулер |
Мектеп: |
|
Педагогтің аты-жөні: |
|
|
Күні: |
|
|
Сыныбы: 11 |
Қатысушылар саны: Қатыспағандар саны: |
|
Сабақтың тақырыбы: |
Айнымалылары ажыратылатын бірінші ретті дифференциалдық теңдеулер |
|
Оқу бағдарламасына сәйкес оқу мақсаты |
11.3.1.24- айнымалылары ажыратылатын дифференциалдық теңдеулерді шешу; 11.3.3.1-физикалық есептерді шығаруда дифференциалдық теңдеулерді қолдану; |
|
Сабақтың мақсаты: |
- айнымалылары ажыратылатын дифференциалдық теңдеулерді шешеді; -физикалық есептерді шығаруда дифференциалдық теңдеулерді қолданады; |
Сабақтың барысы:
|
Сабақ кезеңі/Уақыты |
Оқулықпен жұмыс. |
Оқушының іс-әрекеті |
Бағалау |
Ресурстар |
|||||||||||||||||||||||||||
|
Сабақтың басы |
Оқушылардың сабаққа дайындығын нақтылайды Оқушылармен бірге оқу мақсаттарын, бағалау критерийлерін нақтылайды Оқушылардың сабақтың мақсатын, күтілетін нәтижелерін түсінгендігін нақтылайды Сабақтың тақырыбына қатысты жағдаяттар туындатады |
Мұғалім сұрақтарына жауап береді Мұғаліммен бірге оқу мақсаттарын, бағалау критерийлерін талқылайды Мұғалімнің айтқандарын дәптерлеріне жазып отырады |
Мұғалім ұйымдастыру кезеңінде белсенділік танытқан оқушыларды «Мадақтау сөз» әдісіарқылы бағалайды: «Жарайсың! Жақсы! Өте жақсы! Талпын!» |
Түрлі түсті қима қағаздар
|
|||||||||||||||||||||||||||
|
Сабақтың ортасы |
Жаңа материалды меңгерту Мақсаты:жаңа білім меңгеру; 2.1 Ж :Қоспаға және сұйықтың ағып кетуіне берілген есептерді талдау; Оқушылар тапсырмаларды алдымен жеке талдайды, содан соң жұптасып бір біріне түсіндіреді. 2.2 Ұ:Радиоактивтік ыдырау ұғымын енгізу; Радиоактивтік ыдырау ұғымы туралы бейне-материалды қарау және талдау. 2.3 Ж: Радиоактивтік ыдырауға берілген есептерді талдау Оқушылар жұптасып радиоактивтік ыдырауға байланысты есепті шығарады. 3. Ж:Есептер шығару; Мақсаты: жаңа білімді бекіту; 1.Ыдыстағы 60 л ерітінді құрамында 10 кг тұз бар. Ыдысқа 4л/мин жылдамдықпен су құйылған кезде, ерітінді 2 л/мин жылдамдықпен ағып кетеді. 30 минуттан кейін ыдыста қанша тұз қалады? 2.Биіктігі 2 м және табан радиусы 1 м болатын цилиндр тәрізді ыдыстың түбінде радиусы 0,1 м дөңгелек тесік бар. Ыдысты толтыра құйылған су қанша уақытта ағып кетеді? 3.Егер 3 сағатта радиоактивті заттың 0,2 бөлігі ыдырайтын болса, осы радиоактивті заттың жартылай ыдырау периодын табыңыз. Бағалау:үлгі бойынша жұп өзін бағалайды; Оқушылар өздігімен тапсырма орындайды. Оқушылар сұрақ туындағанда көмек сұрауға болады. Мұғалім бақылау арқылы бағалау жүргізеді. 1
2
3
4
5
ІҮ. Қалыптастырушы бағалау тапсырмасы.
|
Оқушыларды жұпқа біріктіріңіз. Әр жұпқа дифференциалдық теңдеулер кестесін таратыңыз. Мысалы: 1)
4) 6)
8) 10)
12)
14)
Оқушыларға келесі түрге сәйкес келетін теңдеулердің номерін теріп жазуға ұсыныңыз: А. Айнымалылары бөліктенетін дифференциалдық теңдеу. Жауабы: 1, 6, 8, 10, 13. В. Біртекті дифференциалдық теңдеу. Жауабы: 2, 4, 7, 11, 14. С. Сызықтықдифференциалдықтеңдеу. Жауабы:3, 5, 9, 12, 15.
Әріқарайәржұпқаәртүрденекітеңдеуденшешугеұсыныңыз. Жауаптар: 1) 2) 3) 4) 5) 6) 7) 8) 9) 10) 11) 12) 13) 14) 15)
|
|
|
|||||||||||||||||||||||||||
|
Сабақтың соңы |
Үй жұмысы: Сабақ соңында рефлексия жүргіземіз. (3 минут) «Сөйлемді жалғастыр» (дәптерге жазады).
… мағанқызықболды? |
Оқушылар «теңгерім дөңгелегін»толтырады. Оқушылар жетістік критерийлері бойынша таңдау жасайды, неге ? деген сұраққа жауап береді. Үйге тапсырма: Дифференциалдық теңдеуді шешіңіз.
а)
|
Бағалау. Оқушылар бір-бірін ауызша критерий бойынша бағалайды. - Кейбір оқушыларға мұғалім тарапынан кері байланыс беріледі.
|
|
Пән: Алгебра
Қысқа мерзімді жоспар №7-сабак
|
Ұзақ мерзімді жоспар бөлімі: VIIIтарау. Дифференциалдық теңдеулер |
Мектеп: |
|
Педагогтің аты-жөні: |
|
|
Күні: |
|
|
Сыныбы: 11 |
Қатысушылар саны: Қатыспағандар саны: |
|
Сабақтың тақырыбы: |
Екінші ретті тұрақты коэффициентті біртекті сызықтық дифференциалдық теңдеулер |
|
Оқу бағдарламасына сәйкес оқу мақсаты |
11.3.1.25- екінші ретті біртекті сызықтық дифференциалдық теңдеулерді шешу; 11.3.3.2-гармоникалық тербелістің теңдеуін құру және шешу; |
|
Сабақтың мақсаты: |
- екінші ретті біртекті сызықтық дифференциалдық теңдеулерді шешу; -гармоникалық тербелістің теңдеуін құру және шешу; |
Сабақтың барысы:
|
Сабақ кезеңі/Уақыты |
Оқулықпен жұмыс. |
Оқушының іс-әрекеті |
Бағалау |
Ресурстар |
|
Сабақтың басы |
Оқушылардың сабаққа дайындығын нақтылайды Оқушылармен бірге оқу мақсаттарын, бағалау критерийлерін нақтылайды Оқушылардың сабақтың мақсатын, күтілетін нәтижелерін түсінгендігін нақтылайды Сабақтың тақырыбына қатысты жағдаяттар туындатады |
Мұғалім сұрақтарына жауап береді Мұғаліммен бірге оқу мақсаттарын, бағалау критерийлерін талқылайды Мұғалімнің айтқандарын дәптерлеріне жазып отырады |
Мұғалім ұйымдастыру кезеңінде белсенділік танытқан оқушыларды «Мадақтау сөз» әдісіарқылы бағалайды: «Жарайсың! Жақсы! Өте жақсы! Талпын!» |
Түрлі түсті қима қағаздар
|
|
Сабақтың ортасы |
Диференциалдық теңдеулерді біртекті және біртекті емес деп екі типке ажыратуға болады
Тұрақты коэффициентті
біртекті теңдеу деп мына түрдегі теңдеуді айтады: Практикалық бөлім
Мысал1
Шешуі: төмендегідей характеристикалық
теңдеу құрастырып, шешеміз:
Жауабы: жалпы
шешімі: Мысал 2
Шешуі: төмендегідей характеристикалық
теңдеу құрастырып, шешеміз:
Жауабы: жалпы
шешімі: :
Мысал
3
Алдымен бастапқы шартты
қарастырамыз
Жалпы
шешімнен
Теңдеулер жүйесін
шешеміз:
Табылған тұрақты
шамаларды
|
– оқушылар тақырып бойынша топта есептер шығарады «оқушы-оқушы», «оқушы-мұғалім» қарым қатынасында бір-бірімен топта жұмыстанады, бір-біріне көмектеседі, жауаптарымен тексеріседі. Мұғалім әр топтың жұмысын қадағалап, көмек көрсетеді. Бағалаукритериі:
Шешімі: төмендегідей
характеристикалық теңдеу құрастырып, шешеміз: Мысал 2
Дифференциальдық теңдеудің
жалпы шешімін табыңыз
Шешімі: төмендегідей
характеристикалық теңдеу құрастырып, шешеміз:
Мысал
3 Екінші
ретті біртекті дифференциялдық теңдеуді шешіңіз
Шешімі: төмендегідей
характеристикалық теңдеу құрастырып, шешеміз:
Жауап: жалпы
шешім:
Мысал 1
Екінші ретті біртекті
дифференциялдық теңдеуді шешіңіз:
Шешімі: төмендегідей
характеристикалық теңдеу құрастырып,
шешеміз:
Мысал 2
Дифференциалдық теңдеудің
дербес шешімін табыңыз және тексеріңіз,егер
бастапқы шарт
Шешімі: төмендегідей
характеристикалық теңдеу құрастырып,
шешеміз:
4. Талдау. Оқушылардың тақырып бойынша есептерді шығару барысында айқындалған қателері мен олқылықтары талданады, оқушылардың оқу мақсаттары бойынша меңгерген білім білік дағдыларын өздері бағалауға мүмкіндік беріледі.
5. Рефлексия Оқушыларға сұрақтар:
|
|
|
|
Сабақтың соңы |
Үй жұмысы: Сабақ соңында рефлексия жүргіземіз. (3 минут) «Сөйлемді жалғастыр» (дәптерге жазады).
… мағанқызықболды? |
Оқушылар «теңгерім дөңгелегін»толтырады. Оқушылар жетістік критерийлері бойынша таңдау жасайды, неге ? деген сұраққа жауап береді. Үй тапсырмасы: В деңгей:а) y''-2y'-3y=0 в) y''-6y'+9y=0 с) y''+6y'+10y=0 С деңгей y'''-y''+y'-у=0 Шығарылу жолы: https://www.youtube.com/watch?v=S5W7B56D0YE |
Бағалау. Оқушылар бір-бірін ауызша критерий бойынша бағалайды. - Кейбір оқушыларға мұғалім тарапынан кері байланыс беріледі. |
|
Пән: Алгебра
Қысқа мерзімді жоспар №8-сабак
|
Ұзақ мерзімді жоспар бөлімі: VIIIтарау. Дифференциалдық теңдеулер |
Мектеп: |
|
Педагогтің аты-жөні: |
|
|
Күні: |
|
|
Сыныбы: 11 |
Қатысушылар саны: Қатыспағандар саны: |
|
Сабақтың тақырыбы: |
Екінші ретті тұрақты коэффициентті біртекті сызықтық дифференциалдық теңдеулер |
|
Оқу бағдарламасына сәйкес оқу мақсаты |
11.3.1.25- екінші ретті біртекті сызықтық дифференциалдық теңдеулерді шешу; 11.3.3.2-гармоникалық тербелістің теңдеуін құру және шешу; |
|
Сабақтың мақсаты: |
- екінші ретті біртекті сызықтық дифференциалдық теңдеулерді шешу; -гармоникалық тербелістің теңдеуін құру және шешу; |
Сабақтың барысы:
|
Сабақ кезеңі/Уақыты |
Оқулықпен жұмыс. |
Оқушының іс-әрекеті |
Бағалау |
Ресурстар |
||||||||||||
|
Сабақтың басы |
Оқушылардың сабаққа дайындығын нақтылайды Оқушылармен бірге оқу мақсаттарын, бағалау критерийлерін нақтылайды Оқушылардың сабақтың мақсатын, күтілетін нәтижелерін түсінгендігін нақтылайды Сабақтың тақырыбына қатысты жағдаяттар туындатады |
Мұғалім сұрақтарына жауап береді Мұғаліммен бірге оқу мақсаттарын, бағалау критерийлерін талқылайды Мұғалімнің айтқандарын дәптерлеріне жазып отырады |
Мұғалім ұйымдастыру кезеңінде белсенділік танытқан оқушыларды «Мадақтау сөз» әдісіарқылы бағалайды: «Жарайсың! Жақсы! Өте жақсы! Талпын!» |
Түрлі түсті қима қағаздар
|
||||||||||||
|
Сабақтың ортасы |
Оқушының іс-әрекеті:бір-біріменөзара ақылдаса отырып, тапсырманы орындау; I топ
Теңдеуді
шешіңіз:
Теңдеудің дербес шешімін
табыңыз: II топ Теңдеуді
шешіңіз:
Теңдеудің дербес шешімін
табыңыз: III топ Теңдеуді
шешіңіз:
Теңдеудің дербес шешімін
табыңыз: Сипаты:Мұғалім оқушыларға тақырыпты бекіту үшін берілген есептерді шешуді және тақтада шешімін көрсетуді ұсынады. Оқушылар топтарының жеке қабілеттерін ескере отырып, дифференциалдық тапсырмалар құрылады. Оқушылардың нәтижелі жұмыстануы үшін топтық дифференциация қолдануға болады. Бағалау:әрбір жұптың тапсырмасын мұғалім тексереді, талдайды, өзара кері байланыс жасайды. 4.Жұппен жұмыс Мақсаты: Оқушылардың екінші ретті тұрақты коэффициентті біртекті сызықтық дифференциалдық теңдеулер туралы білім дағдыларын саралау. Дағдылар:қолдану, саралау Теңдеудің дербес шешімін табыңыз:
Сипаты: оқушылар жұптаса отырып, ұсынылған тапсырмаларды орындайды. Бағалау:жұптар арасындаөзара бағалау 5. Өзіндік жұмыс. Мақсаты:Оқушылардың жаңа тақырып бойынша ұсынылған тапсырмалар арқылы игерген білім икемділіктерін саралау. Дағдылар: білу, қолдану Теңдеуді
шешіңіз: Теңдеудің дербес шешімін табыңыз: 1. 2.
Орындалуы: Оқушылар ұсынылған тапсырмаларды жеке орындайды. Бағалау: өзін-өзі бағалау дескриптор бойынша |
Мысал1.
у(t) функциясы берілген дифференциалдық теңдеудің шешімі болатындығын тексеріңіз:
Мысал2. Гармониялық тербелістің дифференциалдық теңдеуін жазыңыз
5.Есептер шығару. Тапсырма. Сипаттамалық теңдеуі
белгілі
Кері байланыс:дайыншешімдерібойыншатексеру. Бағалау: мұғалімнің ауызша бағалауы 5.Есептер шығару Мақсаты:теориялық білімдерін есептер шығаруда қолдану; Әдісі: есептер шығару Формасы: жеке жұмыс дәптерлерінде орындау №1.Дифференциалдық теңдеудің жалпы шешімін табыңыз:
№2. Теңдеуді
шешіңіз: Мұғалім іс әрекеті: оқушы жұмысын бақылауды, бағыттаушы сұрақтар қояды, кері байланыс береді Оқушы іс әрекеті: есепті шығарады, нәтижесін сыныптастарымен бөліседі. Бағалау: өзара бағалау Топтық жұмыс Мұғалімнің іс әрекеті: әр топқа жеке жұмыстану үшін бір карточкадан беріледі; оқушылардың жұмысын бақылайды, қажет болған жағдайда бағыт пен көмек береді. Оқушының іс әрекеті: берілген есепті топта талдай отырып шығарады, сосын шешу жолын басқа топтармен бөліседі. Тапсырма.Бөлшек қарапайым гармониялық қозғалыс жасайды. Бөлшектің тербеліс центрінен ауытқуы t секунд уақыт мезетінде x метрге тең. а)
x =
Acos10t +
Bsin10t келесі дифференциалдық
теңдеудің жалпы шешімі болатынын
көрсетіңіз: b) Дифференциалдық
теңдеудің
Берілген схема бойынша оқушылар өздері өз шешімін тексеруді ұсыныңыз. Бағалау:топтар жұмыстарын салыстыра отырып өзара бағалау орындайды Мұғалім іс әрекеті: дайын шешу жолын ұсынады, кері байланыс береді |
|
|
||||||||||||
|
Сабақтың соңы |
Үй жұмысы: Сабақ соңында рефлексия жүргіземіз. (3 минут) «Сөйлемді жалғастыр» (дәптерге жазады).
… мағанқызықболды? |
Оқушылар «теңгерім дөңгелегін»толтырады. Оқушылар жетістік критерийлері бойынша таңдау жасайды, неге ? деген сұраққа жауап береді. 6.Үйге тапсырма беру №1.
№2. y′′−6y′+9y=0 дифференциалдық теңдеуінің жалпы шешімін табыңыз. №3.
|
Бағалау. Оқушылар бір-бірін ауызша критерий бойынша бағалайды. - Кейбір оқушыларға мұғалім тарапынан кері байланыс беріледі.
|
|
Қысқа мерзімді жоспар №9-сабак
|
Ұзақ мерзімді жоспар бөлімі: 10-сыныптағы алгебра және анализ бастамалары курсын қайталау |
Мектеп: |
|
Педагогтің аты-жөні: |
|
|
Күні: |
|
|
Сыныбы: 11 |
Қатысушылар саны: Қатыспағандар саны: |
|
Сабақтың тақырыбы: |
10-11-сыныптағы алгебра және анализ бастамалары курсын қайталау Функцияның туындысы |
|
Оқу бағдарламасына сәйкес оқу мақсаты |
10.3.1.9 - функция туындысының анықтамасын білу білу және анықтама бойынша функцияның туындысын табу; 10.3.1.14 - күрделі функцияның анықтамасын білу және оның туындысын табу; 10.3.1.13 – тригонометриялықфункциялардың туындыларын табу; |
|
Сабақтың мақсаты: |
- функция туындысының анықтамасын біледі және анықтама бойынша функцияның туындысын табады; - күрделі функцияның анықтамасын біледі және оның туындысын табады; – тригонометриялықфункциялардың туындыларын табады; |
Сабақтың барысы:
|
Сабақ кезеңі/Уақыты |
Оқулықпен жұмыс. |
Оқушының іс-әрекеті |
Бағалау |
Ресурстар |
||||||||||||
|
Сабақтың басы |
№1 |
Қайталау сұрақтары y=cosx туындысы неге тең? x² туындысы неге тең? Кері тригонометриялық функцияларды ата. Тригонометриялық функцияларды ата. y=sіnx функциясының анықталу облысын айтып бер. y=tgx функциясының туындысы. tg²x+1=? cosx=a түріндегі теңдеудің шешімі. Тұрақты санның туындысы. х-тің туындысы Туындыларды есептеу ережелерініңформуласы. y=ctgx туындысы неге тең? y=cos3x туындысы неге тең? Күрделі функция туындысы неге тең? y=x³+sіnx функциясының туындысы неге тең? |
Мұғалім ұйымдастыру кезеңінде белсенділік танытқан оқушыларды «Мадақтау сөз» әдісіарқылы бағалайды: «Жарайсың! Жақсы! Өте жақсы! Талпын!» |
Түрлі түсті қима қағаздар
|
||||||||||||
|
Сабақтың ортасы |
Оқулықпен жұмыс. №1 а) f(x)=3ctgx-4x³ б) f(x)=4-1/4 tgx ә) f(x)=sіn2x+tgx в) f(x)=х² ctgx №2 f´(х)=0 а) f(x)=-sіnx-1 ә) f(x)= соs4х+1 №3а) f(x)= соsх (соsх-1) б) f(x)= sіnx(ctgx-1) ә) f(x)=tgx (соsх+2) в) f(x)= (4х-1)· sіnx |
Тест жұмысы Барлық оқушылардың білімін анықтауға мүмкіндік береді, және ойлау, есте сақтау қабілетін дамытады, тапқырлыққа дағдыландырады.
|
Дескриптор: -1-ші сұраққа жауап береді. 1-балл -2-ші сұраққа жауап береді. 1-балл -3-ші сұраққа жауап береді. 1-балл
Әрбір дұрыс жауапка 1 балл қойылады
|
ДК экраны
Сұрақтар топтамасы.
Оқулық 11-сынып.
|
||||||||||||
|
Сабақтың соңы |
Сабақты бекіту. Функциялардың туындысын табыңдар.
|
. Үйге тапсырма:дескриптор құрып есепті шешу сұралады. |
Бағалау. Оқушылар бір-бірін ауызша критерий бойынша бағалайды. - Кейбір оқушыларға мұғалім тарапынан кері байланыс беріледі.
|
|
Қысқа мерзімді жоспар №10-сабак
|
Ұзақ мерзімді жоспар бөлімі: 10-сыныптағы алгебра және анализ бастамалары курсын қайталау |
Мектеп: |
|
Педагогтің аты-жөні: |
|
|
Күні: |
|
|
Сыныбы: 11 |
Қатысушылар саны: Қатыспағандар саны: |
|
Сабақтың тақырыбы: |
10-11сыныптағы алгебра және анализ бастамалары курсын қайталау Есептеулер |
|
Оқу бағдарламасына сәйкес оқу мақсаты |
10.1.3.4 - құрамында кері тригонометриялық функциялары бар өрнектердің мәнін табу; 10.3.1.11 -дифференциалдаудың ережелерін білу және қолдану; 10.3.1.12 - функция графигіне жүргізілген жанаманың теңдеуін құрастыру; 10.3.1.19 - функцияның кесіндідегі ең үлкен және ең кіші мәндерін табу; |
|
Сабақтың мақсаты: |
- құрамында кері тригонометриялық функциялары бар өрнектердің мәнін табу; -дифференциалдаудың ережелерін білу және қолдану; - функция графигіне жүргізілген жанаманың теңдеуін құрастыру; - функцияның кесіндідегі ең үлкен және ең кіші мәндерін табу; |
Сабақтың барысы:
|
Сабақ кезеңі/Уақыты |
Оқулықпен жұмыс. |
Оқушының іс-әрекеті |
Бағалау |
Ресурстар |
|
Сабақтың басы |
Ұйымдастыру сәті Үй жұмысын тексеру Математикалық логикалық есептер беру арқылы «Миға шабуыл |
Қайталау сұрақтары
|
Мұғалім ұйымдастыру кезеңінде белсенділік танытқан оқушыларды «Мадақтау сөз» әдісіарқылы бағалайды: «Жарайсың! Жақсы! Өте жақсы! Талпын!» |
Түрлі түсті қима қағаздар
|
|
Сабақтың ортасы |
Функция үш тәсілмен берілуі
мүмкін: аналитикалық; графиктік;
кестелік; 1)Егер функция аналитикалық тәсілмен берілсе, онда
тәуелді айнымалы(функция) мен тәуелсіз айнымалының (аргументтің)
арасындағы тәуелділік формулалар арқылы өрнектеледі.
Мысалы, Егер функцяның графигі салынып көрсетілген болса, онда бұл функцяны графиктік тәсілмен берілген деп есептейміз.Функияның графиктік тәсілмен берілуін көрнекілік үшін немесе фукцияны аналитикалық жолмен анықтау мүмкін емес жағдайларды қолданады. f(x) функциясы белгілі бір мән қабылдайтын тәуелсіз айнымалының нақты мәндер жиынын функцияның анықталу облысы D(f(x)), ал анықталу облысынан алынған әрбір тәуелсіз айнымалыға сәйкес табылған функцияның мәндерін оның мәндер жиыны E(f(x)) деп атайды. Демек,Х жиыны функцияның анықталу облысы, Y жиыны функцияның мәндер жиныны болады. Функцияның жоғарыда берілген анықтамасынан сәйкес төмендегі үш жағдайды анықтай білу керек: 1) функияның D(f) анықталу облысын; 2) х пен у мәндері арасындағы ереже немесе заңдылықты; 3) функцияның Е(f) мәндер жиынын. Осыған мысалдар келтірейік. |
1 – мысал.
а) Шешуі: а)
ә)
б)
Жауабы: а) R; (-∞;-3)∩(3;+∞); [0,5;+∞). |
Дескриптор: -1-ші сұраққа жауап береді. 1-балл -2-ші сұраққа жауап береді. 1-балл -3-ші сұраққа жауап береді. 1-балл Әрбір дұрыс жауапка 1 балл қойылады
|
ДК экраны Сұрақтар топтамасы. Оқулық 11-сынып.
|
|
Сабақтың соңы |
2-мысал. y=2cosx-5 функциясының мәндер жиынын табайық. Шешуі. y=cosx функциясының мәндер жиыны [-1;1] кесіндісі екені белгілі. Берілген функцияның мәндер жиынын табу үшін костеңсіздікке көшеміз, яғни -1≤cosx≤1. Енді теңсіздіктің әрбір бөлігін 2-ге көбейтеміз. Сона 2≤2cosx≤2 шығады. Соңғы теңсіздіктің әрбір бөлігіне -5 санын қосамыз: 7≤2cosx-5≤-3. Демек, берілген функцияның мәндер жиыны [-7;-3] кесіндісі. Жауабы: [-7;-3] |
Тапсырмалар: №1 Функцияның анықталу облысын табыңдар:
№2 Функцияның графигін салыңдар: |
Бағалау. Оқушылар бір-бірін ауызша критерий бойынша бағалайды. - Кейбір оқушыларға мұғалім тарапынан кері байланыс беріледі. |
|
Қысқа мерзімді жоспар №11-сабак
|
Ұзақ мерзімді жоспар бөлімі: 10-сыныптағы алгебра және анализ бастамалары курсын қайталау |
Мектеп: |
|
Педагогтің аты-жөні: |
|
|
Күні: |
|
|
Сыныбы: 11 |
Қатысушылар саны: Қатыспағандар саны: |
|
Сабақтың тақырыбы: |
10-11 сыныптағы алгебра және анализ бастамалары курсын қайталау Функцияның шегі және туындысы |
|
Оқу бағдарламасына сәйкес оқу мақсаты |
10.3.1.15 - функцияның аралықта өсуінің (кемуінің)қажетті және жеткілікті шартынбілу және қолдану; 10.3.1.17 - функцияның кризистік нүктелері мен экстремум нүктелерін табу; 10.3.1.12 - функция графигіне жүргізілген жанаманың теңдеуін құрастыру; 10.3.1.18 - туындының көмегімен функция қасиеттерін зерттеу және оның графигін салу; 10.4.1.31. Функция графигінің иілу нүктесінің анықтамасын және функция графигінің аралықтағы дөңестігінің (ойыстығының) қажетті және жеткілікті шартын білу; 10.4.1.32. Функцияграфигініңдөңес (ойыс) аралықтарынтабабілу. |
|
Сабақтың мақсаты: |
- функцияның аралықта өсуінің (кемуінің)қажетті және жеткілікті шартынбілу және қолдану; - функцияның кризистік нүктелері мен экстремум нүктелерін табу; - функция графигіне жүргізілген жанаманың теңдеуін құрастыру; - туындының көмегімен функция қасиеттерін зерттеу және оның графигін салу; Функция графигінің иілу нүктесінің анықтамасын және функция графигінің аралықтағы дөңестігінің (ойыстығының) қажетті және жеткілікті шартын білу; Функцияграфигініңдөңес (ойыс) аралықтарынтабабілу. |
Сабақтың барысы:
|
Сабақ кезеңі/Уақыты |
Оқулықпен жұмыс. |
Оқушының іс-әрекеті |
Бағалау |
Ресурстар |
|
Сабақтың басы |
Оқушылар функцияның өсу және кему белгілеріне мынандай мысалды қарастырайық:
Ал енді келесі мысалға назар аударай |
|
Мұғалім ұйымдастыру кезеңінде белсенділік танытқан оқушыларды «Мадақтау сөз» әдісіарқылы бағалайды: «Жарайсың! Жақсы! Өте жақсы! Талпын!» |
Түрлі түсті қима қағаздар
|
|
Сабақтың ортасы |
Функцияның өсу мен кемуінің жеткілікті шартын берейік:
Ал енді функцияның өсуі мен кемуінің қажеттілік шартын берейік: |
|
Дескриптор: -1-ші сұраққа жауап береді. 1-балл -2-ші сұраққа жауап береді. 1-балл -3-ші сұраққа жауап береді. 1-балл Әрбір дұрыс жауапка 1 балл қойылады
|
ДК экраны Сұрақтар топтамасы. Оқулық 11-сынып.
|
|
Сабақтың соңы |
|
Сабақты аяқтау. Сонымен, оқушылар біз бүгінфункцияның аралықта өсуінің(кемуінің) қажетті және жеткілікті шартын білдік және оны қолдануды үйренедік. Осымен бүгінгі сабағымыз аяқталды, сау болыңыздар! |
Бағалау. Оқушылар бір-бірін ауызша критерий бойынша бағалайды. - Кейбір оқушыларға мұғалім тарапынан кері байланыс беріледі. |
|
Қысқа мерзімді жоспар №12-сабак
|
Ұзақ мерзімді жоспар бөлімі: 10-сыныптағы алгебра және анализ бастамалары курсын қайталау |
Мектеп: |
|
Педагогтің аты-жөні: |
|
|
Күні: |
|
|
Сыныбы: 11 |
Қатысушылар саны: Қатыспағандар саны: |
|
Сабақтың тақырыбы: |
10-11сыныптағы алгебра және анализ бастамалары курсын қайталау Функцияның шегі және туындысы |
|
Оқу бағдарламасына сәйкес оқу мақсаты |
10.3.1.15 - функцияның аралықта өсуінің (кемуінің)қажетті және жеткілікті шартынбілу және қолдану; 10.3.1.17 - функцияның кризистік нүктелері мен экстремум нүктелерін табу; 10.3.1.12 - функция графигіне жүргізілген жанаманың теңдеуін құрастыру; 10.3.1.18 - туындының көмегімен функция қасиеттерін зерттеу және оның графигін салу; 10.4.1.31. Функция графигінің иілу нүктесінің анықтамасын және функция графигінің аралықтағы дөңестігінің (ойыстығының) қажетті және жеткілікті шартын білу; 10.4.1.32. Функцияграфигініңдөңес (ойыс) аралықтарынтабабілу. |
|
Сабақтың мақсаты: |
- функцияның аралықта өсуінің (кемуінің)қажетті және жеткілікті шартынбілу және қолдану; - функцияның кризистік нүктелері мен экстремум нүктелерін табу; - функция графигіне жүргізілген жанаманың теңдеуін құрастыру; - туындының көмегімен функция қасиеттерін зерттеу және оның графигін салу; Функция графигінің иілу нүктесінің анықтамасын және функция графигінің аралықтағы дөңестігінің (ойыстығының) қажетті және жеткілікті шартын білу; Функцияграфигініңдөңес (ойыс) аралықтарынтабабілу. |
Сабақтың барысы:
|
Сабақ кезеңі/Уақыты |
Оқулықпен жұмыс. |
Оқушының іс-әрекеті |
Бағалау |
Ресурстар |
|
Сабақтың басы |
Кайталау сұрақтары:
|
Есептер шығару:
|
Мұғалім ұйымдастыру кезеңінде белсенділік танытқан оқушыларды «Мадақтау сөз» әдісіарқылы бағалайды: «Жарайсың! Жақсы! Өте жақсы! Талпын!» |
Түрлі түсті қима қағаздар
|
|
Сабақтың ортасы |
|
(
|
Дескриптор: -1-ші сұраққа жауап береді. 1-балл -2-ші сұраққа жауап береді. 1-балл -3-ші сұраққа жауап береді. 1-балл Әрбір дұрыс жауапка 1 балл қойылады
|
ДК экраны Сұрақтар топтамасы. Оқулық 11-сынып.
|
|
Сабақтың соңы |
Үй тапсырмасы: Функцияның туындысын табыңдар (Қатесін тап)
1.
2.
3.
4.
|
Сабақты аяқтау.
1.
Сонымен, оқушылар біз бүгінфункцияның аралықта өсуінің(кемуінің) қажетті және жеткілікті шартын білдік және оны қолдануды үйренедік. Осымен бүгінгі сабағымыз аяқталды, сау болыңыздар! |
Бағалау. Оқушылар бір-бірін ауызша критерий бойынша бағалайды. - Кейбір оқушыларға мұғалім тарапынан кері байланыс беріледі. |
|
Қысқа мерзімді жоспар №13-сабак
|
Ұзақ мерзімді жоспар бөлімі: І тарау. Алғашқы функция және интеграл |
Мектеп: |
|
Педагогтің аты-жөні: |
|
|
Күні: |
|
|
Сыныбы: 11 |
Қатысушылар саны: Қатыспағандар саны: |
|
Сабақтың тақырыбы: |
10-11сыныптағы алгебра және анализ бастамалары курсын қайталау Интеграл |
|
Оқу бағдарламасына сәйкес оқу мақсаты |
11.3.1.5 – бөліктеп интегралдау әдісімен интегралды есептеу; |
|
Сабақтың мақсаты: |
бөліктеп интегралдау әдісімен интегралды есептейді; |
Сабақтың барысы:
|
Сабақ кезеңі/Уақыты |
Оқулықпен жұмыс. |
Оқушының іс-әрекеті |
Бағалау |
Ресурстар |
||||||||||||
|
Сабақтың басы |
Тапсырма.Интегралды есептеңіз.
Дескриптор:
|
Тапсырма.Интегралды есептеңіз.
Дескриптор:
|
Мұғалім ұйымдастыру кезеңінде белсенділік танытқан оқушыларды «Мадақтау сөз» әдісіарқылы бағалайды: «Жарайсың! Жақсы! Өте жақсы! Талпын!» |
Түрлі түсті қима қағаздар
|
||||||||||||
|
Сабақтың ортасы |
Сын тұрғысынан ойлау техникасы «Сәйкестендіру» Тапсырма. Интегралдау туындыға кері амал ретінде негізгі анықталмаған интегралдарды жауаптарымен қосыңыз.
Сабақтың тақырыбына шығу Сабақтың мақсатын анықтау Тапсырма-1. Интегралды табыңыз:
1)
3)
6)
8) Дайын жауаптары арқылы тексеру жүргізеді. Деңгейлік тапсырма-2. Топтық жұмыс. А деңгей
В деңгей
С деңгей
Деңгейлік тапсырмаларды орындап болған соң, нәтижелерін бір-бірімен талқылауды ұсыныңыз.
|
Интегралды табыңыз:
1)
2)
3)
4)
5)
6)
7)
8)
9) Жауабы:
1)
2)
3)
4)
5)
6)
7)
8)
9)
Тақтадағы жауаптары бойынша бірін-бірі тексереді.
Интегралды есептеуді жеңілдету үшін жиі айнымалыны енгізуді қолдану тиімді болады. Анықталмаған интегралда интегралдау айнымалысы x тен жаңа айнымалы u –ға көшу
енгізуімен болатын тәсіл жаңа айнымалы енгізу тәсілі деп аталады және келесі түрде жазылады:
формулаларын қолдануды талқылау.
Тапсырма-3. Жұптық жұмыс. Интегралды табыңыз:
Дайын жауаптары арқылы тексеру жүргізеді. Тапсырмаларды оқушылар өз бетімен орындау барысында мұғалім олардың орындау қадамдарындағы қателерін түзетіп, күтілетін нәтижеге бағыттауы керек. |
Дескриптор: -1-ші сұраққа жауап береді. 1-балл -2-ші сұраққа жауап береді. 1-балл -3-ші сұраққа жауап береді. 1-балл
Әрбір дұрыс жауапка 1 балл қойылады
|
ДК экраны
Сұрақтар топтамасы.
Оқулық 11-сынып.
|
||||||||||||
|
Сабақтың соңы |
Рефлексия Сабақ соңында оқушылар сөйлемдерді аяқтап, өз ойын білдіреді:
“бүгінгі сабақтан білгендерім...”; “бүгінгі сабақтан үйренгенім...” “бүгінгі сабақта танысқаным...” “бүгінгі сабақта келесі анықтамалар мен тақырыптарды түсіндім...
|
Үй жұмысы. Интегралды есептеңіз.
2-тапсырма. |
Бағалау. Оқушылар бір-бірін ауызша критерий бойынша бағалайды. - Кейбір оқушыларға мұғалім тарапынан кері байланыс беріледі.
|
|
Қысқа мерзімді жоспар №14-сабак
|
Ұзақ мерзімді жоспар бөлімі: Дәрежелер мен түбірлер. Дәрежелік функция |
Мектеп: |
|
Педагогтің аты-жөні: |
|
|
Күні: |
|
|
Сыныбы: 11 |
Қатысушылар саны: Қатыспағандар саны: |
|
Сабақтың тақырыбы: |
10-11 сыныпты қайталау Иррационал теңдеулер мен олардың жүйелері |
|
Оқу бағдарламасына сәйкес оқу мақсаты |
11.2.2.1 – иррационал теңдеудің анықтамасын білу, оның ММЖ-сін анықтай алу; 11.2.2.2 – теңдеудің екі жағын бірдей n-ші дәрежеге шығару әдісі арқылы иррационал теңдеулерді шеше алу; 11.2.2.3 – айнымалыны алмастыру әдісі арқылы иррационал теңдеулерді шеше алу; 11.2.2.4 - иррационал теңдеулер жүйелерін шеше алу; |
|
Сабақтың мақсаты: |
– иррационал теңдеудің анықтамасын біледі, оның ММЖ-сін анықтай алады; – теңдеудің екі жағын бірдей n-ші дәрежеге шығару әдісі арқылы иррационал теңдеулерді шеше алады; – айнымалыны алмастыру әдісі арқылы иррационал теңдеулерді шеше алады; - иррационал теңдеулер жүйелерін шеше алады; |
Сабақтың барысы:
|
Сабақ кезеңі/Уақыты |
Педагогтың іс әрекеті |
Оқушының іс-әрекеті |
Бағалау |
Ресурстар |
|
Сабақтың басы |
Топтық жұмыс. Оқушыларды топтарға бөлу (4 адам). Мұғалім әр топқа тапсырмалар таратады. 1 топ – бұл топта үлгерімі төмендеу, 2 топ – бұл топта үлгерімі орта, 3 топ– бұл топта үлгерімі жоғары оқушылар.
1-топқа иррационал теңдеуді шешудің тәсілі көрсетілген, теңдеудің екі жағын да бірдей дәрежеге шығару тапсырмасы, 2-топқа жаңа айнымалы енгізу арқылы шешу тапсырмасы, ал 3-топқа теңдеудің берілуіндегі функциялардың ерекшеліктеріне назар аударатын тапсырма беріледі.
Оқушылар тапсырманы шешу жолын постерге орындап, тақтада қорғайды, ал басқа топтар шешімін дәптерге жазады.
Қорғау барысында мұғалім кемшіліктеріне назар аударып, түзетулер жасайды.Мұғалім әрекет етеді: оқушылардың өзін-өзі оқыту орындалу жағдайына. |
Ұйымдастыру: а) оқушылармен амандасу, түгендеу, сынып
бөлмесінің тазалығына көңіл
бөлу Өткен тақырыппен байланысты сұрақтар қою: 1) Х-тің қандай мәндерінде өрнектің мағынасы болады?
2) Квадрат түбірдіңанықтамасынқолданыптеңдеудішешіңдер.
3) Рационалкөрсеткіштідәрежеқасиетінқолданыптеңдеудішешіңдер
Қалыптастырушы бағалау.Жеке жұмыс. Оқушылардың тақырыпты білу және түсіну (Блум таксономиясы бойынша) қаншалықты түсінгенін анықтау мақсатында келесі активити жүргізіледі. Оқушыларға кіші тақталар (Ламинатталған А4 парақтары, whiteboard) таратылады. Мұғалім тұжырымды оқиды, ал оқушылар кіші тақталарға ақиқат болса «Т» әріпін жазады (True), ал жалған болса, «F» әріпін жазады (False) да жоғары көтеріп мұғалімге көрсетеді. Осы активити арқылы қай оқушының тақырыпты игеру деңгейін бақылайды. Мұғалім бес сөйлем оқиды. Критерийлер: Егер оқушы 4-5 сұраққа дұрыс жауап берсе оқушылар оқу мақсатын игергендігі анық. 1.Иррационал теңдеу – айнымалысы квадрат түбірдің астында болатын теңдеу. (ақиқат) 2.
3.
4. 5. Иррационал теңдеулерді шешу кезінде барлық табылған түбірлерді берілген теңдеуге қойып тексеру керек. (ақиқат) |
Мұғалім ұйымдастыру кезеңінде белсенділік танытқан оқушыларды «Мадақтау сөз» әдісіарқылы бағалайды: «Жарайсың! Жақсы! Өте жақсы! Талпын!» |
Түрлі түсті қима қағаздар
|
|
Сабақтың ортасы |
Есептер: 1) теңдеудің екі жағында алтыншы дәрежеге алайық:
Енді түбірлерді тексерейік. Шыққан сандарды х-тің орнына коямыз: Тексеру: х=1
болғанда x=6-ны
қойғанда 2)
Тексеру: түбірлерді х-тің орнына қоймай-ақ тексеруге болады, яғни теңдеудің он жағына назар аударсақ, х - 7 > 0 болу керек, яғни х > 7 орындалу керек (өйткені түбірдің дәрежесі жұп). Сондықтан, берілген теңдеудің түбірі х=11. 3)
Берілген теңдеудің екі жағында үшінші дәрежеге алдық. Кубтық теңдеу болғандықтан, үш түбір шықты. Дәреже тақ болғандықтан, тексеру керегі жоқ: өйткені теңдеудің екі жағын дәрежелегенде, берілген теңдеуге мәндес теңдеу шықты. Сонымен жауабы: х1=0; х2=2; х3=-1.
Құндылықтарды дарыту: бірін-бірі тындау, өз пікірін айта білу, жауапкершілік Теңдеулерді шешіңіз:
Бұл есептердің соңғы үшеуін дифференциация ретінде тезірек шығарғын оқушыларға беруге болады. Кейбір жұптарды тақтаға шығарып, оларды шығару жолдарын талдап беруге сұрауға болады. Кері байланыс: -қай теңдеу қиынырақ болды? - неліктен? - кім бірінші(басқа да) есептін шығару жолын айтып береді? - иррационал теңдеуді шығару үшін нені білу керек? - қандай айырмашылық бар: жұп дәрежелі немесе тақ дәрежелі түбірі бар теңдеулердің шығару жолында? Қосымша 1
Оқушыларға мұғалім тарапынан кері байланыс беріледі. |
А – деңгей.
1. Теңдеуді
шешіңіз:
2. Теңдеуді
шешіңіз:
3. Теңдеуді
шешіңіз: В – деңгей.
4.
А) [3;21); B) [3;21]; C) [0; 20]; D) (21;30); E) (-28;21).
5. Теңдеуді
шешіңіз:
6. Теңдеуді
шешіңіз: С – деңгей. 7. Теңдеудің үлкен түбірін табыңыз:
Келесі тапсырманың шешуін қарастырыңыз. Мысал 1.
Шешуі:
«Миға
шабуыл»стратегиясын қолданып, оқушыларға жұпта Бірінші тәсіл. Теңдеудің екі жағын кубқа шығару. Екінші тәсіл. Екі айнымалыны еңгізіп, бастапқы теңдеуді теңдеулер жүйесіне келтіру.
Теңдеуді
Теңдеуден теңдеулер
жүйесіне келтіріп, шешуге болады:
Жауабы:
Практикалық бөлім Есептер шығару Жұптық жұмыс
Тапсырма 1.
Тапсырма 2.
Тапсырма 3.
Тапсырма
4.
Қиындық келтірген есептер тақтада талданады Қосымша есептер |
Дескриптор: -1-ші сұраққа жауап береді. 1-балл -2-ші сұраққа жауап береді. 1-балл -3-ші сұраққа жауап береді. 1-балл Әрбір дұрыс жауапка 1 балл қойылады
|
ДК экраны Сұрақтар топтамасы. Оқулық 11-сынып.
|
|
Сабақтың соңы |
Үй жұмысы: Есептер қиықшаларда
беріледі) |
Сабақ соңында оқушылар рефлексия жүргізеді: - нені білдім, нені үйрендім - нені толық түсінбедім - немен жұмысты жалғастыру қажет Оқушылар өздерінің жұмысы мен сыныптастарының жұмысын белгілі бір критерийлер бойынша бағалай алады |
Бағалау. Оқушылар бір-бірін ауызша критерий бойынша бағалайды. - Кейбір оқушыларға мұғалім тарапынан кері байланыс беріледі. |
|
Қысқа мерзімді жоспар №15-сабак
|
Ұзақ мерзімді жоспар бөлімі: Дәрежелер мен түбірлер. Дәрежелік функция |
Мектеп: |
|
Педагогтің аты-жөні: |
Умбетова Меруерт Мирзамидиновна |
|
Күні: |
|
|
Сыныбы: 11 |
Қатысушылар саны: Қатыспағандар саны: |
|
Сабақтың тақырыбы: |
10-11сынып қайталау. Иррационал теңсіздіктер |
|
Оқу бағдарламасына сәйкес оқу мақсаты |
11.2.2.5 – иррационал теңсіздіктерді шеше алу; |
|
Сабақтың мақсаты: |
– иррационал теңсіздіктерді шеше алады; |
Сабақтың барысы:
|
Сабақ кезеңі/Уақыты |
Педагогтың іс әрекеті |
Оқушының іс-әрекеті |
Бағалау |
Ресурстар |
||||||
|
Сабақтың басы |
І. Ұйымдастыру
ІІ. Үй жүмысын тексеру. 1) 2) 3) |
|
Мұғалім ұйымдастыру кезеңінде белсенділік танытқан оқушыларды «Мадақтау сөз» әдісіарқылы бағалайды: «Жарайсың! Жақсы! Өте жақсы! Талпын!»
|
Түрлі түсті қима қағаздар
|
||||||
|
Сабақтың ортасы
|
. Теңсіздік шешу әдістерін қайталау. ІІ. Есеп шығару.
ж) ІІ. Оқулықпен жұмыс. (Шыныбеков А.Н.)
|
|
Дескриптор: -1-ші сұраққа жауап береді. 1-балл -2-ші сұраққа жауап береді. 1-балл -3-ші сұраққа жауап береді. 1-балл
Әрбір дұрыс жауапка 1 балл қойылады
|
ДК экраны
Сұрақтар топтамасы.
Оқулық 11-сынып.
|
||||||
|
Сабақтың соңы |
Рефлексия - нені білдім, нені үйрендім - нені толық түсінбедім - немен жұмысты жалғастыру қажет Үйге тапсырмасы. № 143 а)
б)
|
Жұптық жұмыс 1. Теңсіздіктің шешімін табыңыз: а)
2. Теңсіздіктің ең кіші
бүтін шешімін табыңыз:
Дескриптор:
|
Бағалау. Оқушылар бір-бірін ауызша критерий бойынша бағалайды. - Кейбір оқушыларға мұғалім тарапынан кері байланыс беріледі.
|
|
Қысқа мерзімді жоспар №16-сабак
|
Ұзақ мерзімді жоспар бөлімі: Көрсеткіштік және логарифмдік теңдеулер мен теңсіздіктер |
Мектеп: |
|
Педагогтің аты-жөні: |
|
|
Күні: |
|
|
Сыныбы: 11 |
Қатысушылар саны: Қатыспағандар саны: |
|
Сабақтың тақырыбы: |
10-11 сыныптарды қайталау. Көрсеткіштік теңдеулер және олардың жүйелері |
|
Оқу бағдарламасына сәйкес оқу мақсаты |
11.2.2.6-көрсеткіштік теңдеулерді шешу әдістерін білу және қолдану; 11.2.2.7-көрсеткіштік теңдеулер жүйелерін шеше білу; |
|
Сабақтың мақсаты: |
-көрсеткіштік теңдеулерді шешу әдістерін біледі және қолданады;-көрсеткіштік теңдеулер жүйелерін шеше біледі; |
Сабақтың барысы:
|
Сабақ кезеңі/Уақыты |
Мұғалімнің іс-әрекеті |
Оқушының іс-әрекеті |
Бағалау |
Ресурстар |
|
Сабақтың басы |
І. Ұйымдастыру кезеңі Сабақ басында: - оқушылардың зейінін шоғырландыруға - оқушылармен бірге сабақ мақсаттарын/ОМ анықтап алуға - оқушылардың «жақын даму аймағын», сабақ соңында күтілетін нәтижелерді анықтауға көңіл бөлу қажет |
|
Мұғалім ұйымдастыру кезеңінде белсенділік танытқан оқушыларды «Мадақтау сөз» әдісіарқылы бағалайды: «Жарайсың! Жақсы! Өте жақсы! Талпын!» |
Түрлі түсті қима қағаздар
|
|
Сабақтың ортасы |
|
|
Дескриптор: -1-ші сұраққа жауап береді. 1-балл -2-ші сұраққа жауап береді. 1-балл -3-ші сұраққа жауап береді. 1-балл Әрбір дұрыс жауапка 1 балл қойылады
|
ДК экраны Сұрақтар топтамасы. Оқулық 11-сынып.
|
|
Сабақтың соңы |
|
Құмырсқа» әдісі бойынша оқушылардың оқу мақсатына жету деңгейлері анықталады. Оқушылар стикерге бүгінгі сабақ бойынша түсініксіз болған бір сұрақты жазады. Егер оқушыларды қиындық туындаған сұрақтар болмаса, олар өз сыныптастарына сұрақтар қоюларына болады. Оқушылардың сұрақ жауаптарынан кейін мұғалім оқушыларға кері байланыс береді. Сабақ соңында оқушылар рефлексия жүргізеді: - ненібілдім, неніүйрендім - ненітолықтүсінбедім - немен жұмыстыжалғастыруқажет Үйтапсырмасытаратпа материал |
Бағалау. Оқушылар бір-бірін ауызша критерий бойынша бағалайды. - Кейбір оқушыларға мұғалім тарапынан кері байланыс беріледі. |
|
Қысқа мерзімді жоспар №17-сабак
|
Ұзақ мерзімді жоспар бөлімі: Көрсеткіштік және логарифмдік теңдеулер мен теңсіздіктер |
Мектеп: |
|
Педагогтің аты-жөні: |
Умбетова Меруерт Мирзамидиновна |
|
Күні: |
|
|
Сыныбы: 11 |
Қатысушылар саны: Қатыспағандар саны: |
|
Сабақтың тақырыбы: |
10-11 сыныптарды қайталау.Көрсеткіштік теңдеулер және олардың жүйелері |
|
Оқу бағдарламасына сәйкес оқу мақсаты |
11.2.2.6-көрсеткіштік теңдеулерді шешу әдістерін білу және қолдану; 11.2.2.7-көрсеткіштік теңдеулер жүйелерін шеше білу; |
|
Сабақтың мақсаты: |
-көрсеткіштік теңдеулерді шешу әдістерін біледі және қолданады;-көрсеткіштік теңдеулер жүйелерін шеше біледі; |
Сабақтың барысы:
|
Сабақ кезеңі/Уақыты |
Мұғалімнің іс-әрекеті |
Оқушының іс-әрекеті |
Бағалау |
Ресурстар |
|
Сабақтың басы |
|
|
Мұғалім ұйымдастыру кезеңінде белсенділік танытқан оқушыларды «Мадақтау сөз» әдісіарқылы бағалайды: «Жарайсың! Жақсы! Өте жақсы! Талпын!» |
Түрлі түсті қима қағаздар
|
|
Сабақтың ортасы |
|
|
Дескриптор: -1-ші сұраққа жауап береді. 1-балл -2-ші сұраққа жауап береді. 1-балл -3-ші сұраққа жауап береді. 1-балл Әрбір дұрыс жауапка 1 балл қойылады
|
ДК экраны Сұрақтар топтамасы. Оқулық 11-сынып.
|
|
Сабақтың соңы |
|
|
Бағалау. Оқушылар бір-бірін ауызша критерий бойынша бағалайды. - Кейбір оқушыларға мұғалім тарапынан кері байланыс беріледі. |
|
Қысқа мерзімді жоспар №18-сабак
|
Ұзақ мерзімді жоспар бөлімі: Көрсеткіштік және логарифмдік теңдеулер мен теңсіздіктер |
Мектеп: |
|
Педагогтің аты-жөні: |
Умбетова Меруерт Мирзамидиновна |
|
Күні: |
|
|
Сыныбы: 11 |
Қатысушылар саны: Қатыспағандар саны: |
|
Сабақтың тақырыбы: |
10-11 сыныптарды қайталау.Логарифмдік теңдеулер және олардың жүйелері |
|
Оқу бағдарламасына сәйкес оқу мақсаты |
11.2.2.8- логарифмдік теңдеулерді шешу әдістерін білу және қолдану; 11.2.2.9- логарифмдік теңдеулер жүйелерін шеше білу; |
|
Сабақтың мақсаты: |
- логарифмдік теңдеулерді шешу әдістерін біледі және қолданады; - логарифмдік теңдеулер жүйелерін шеше біледі; |
Сабақтың барысы:
Қысқа мерзімді жоспар №19-сабак
|
Ұзақ мерзімді жоспар бөлімі: Комплекс сандар |
Мектеп: |
|
Педагогтің аты-жөні: |
Умбетова Меруерт Мирзамидиновна |
|
Күні: |
|
|
Сыныбы: 11 |
Қатысушылар саны: Қатыспағандар саны: |
|
Сабақтың тақырыбы: |
10-11 сыныпты қайталау.Алгебралық түрдегі комплекс сандарға амалдар қолдану |
|
Оқу бағдарламасына сәйкес оқу мақсаты |
11.1.2.1- алгебралық түрде берілген комплекс сандарға арифметикалық амалдар қолдану; 11.1.2.2-алгебралық түрдегі комплекс санды түтін дәрежеге шығарғанда in мәнінің заңдылығын қолдану; 11.1.2.3-комплекс санның квадрат түбірін таба алу; |
|
Сабақтың мақсаты: |
- алгебралық түрде берілген комплекс сандарға арифметикалық амалдар қолданады;-алгебралық түрдегі комплекс санды түтін дәрежеге шығарғанда in мәнінің заңдылығын қолданады; 11.1.2.3-комплекс санның квадрат түбірін таба алады; |
Сабақтың барысы:
|
Сабақ кезеңі/Уақыты |
Оқулықпен жұмыс. |
Оқушының іс-әрекеті |
Бағалау |
Ресурстар |
||||||||||||
|
Сабақтың басы |
Мұғалім оқушыларға бейне ресурсты көруді ұсынады:https://www.youtube.com/watch?v=jUA3600ztTc&t=223s Мұғалім оқушыларға жаңа материалды түсіндіреді. Берілген комплекс саннан квадрат түбір табу үшін тізбектелген нұсқау жасайды. |
Оқушылар жұппен жұмыс
жасайды және
|
Мұғалім ұйымдастыру кезеңінде белсенділік танытқан оқушыларды «Мадақтау сөз» әдісіарқылы бағалайды: «Жарайсың! Жақсы! Өте жақсы! Талпын!» |
|||||||||||||
|
Сабақтың ортасы |
Жаңасабақтыигеру. Есеп
1. Шешуі.
Жүйеніңекі нақты шешімі
бар: Жауабы:
Есеп2.
Есептеңіз:
Шешуі. Бұл тек екікомплекс санныңнақтыжәнежорамалбөліктерібір-бірінетеңболғандағанамүмкін:
Жауабы: |
Тапсырма 3.Табыңыздар:
Тапсырма 4.Алгебралық түрде берілген комплекс саннан квадрат түбірді шығарыңыз:
Жауаптары:
c)
d)
f)
g)
1-ші қосымша Келесітапсырманың(27-36) мысалдарыншешіңіздер. Тапсырма. Комплекс сан түбірінің барлық мәндерін табыңыздар.
20)
24)
28)
32)
35) |
Дескриптор: -1-ші сұраққа жауап береді. 1-балл -2-ші сұраққа жауап береді. 1-балл -3-ші сұраққа жауап береді. 1-балл
Әрбір дұрыс жауапка 1 балл қойылады
|
ДК экраны
Сұрақтар топтамасы.
Оқулық 11-сынып.
|
||||||||||||
|
Сабақтың соңы |
Сабақтың басында қалыптасқан табыс критерийлерін талдай отырып, оқушылар өз жұмысының қорытындысын өз бетінше шығарады . Мұғалім оқушылар жұмысының белгілі бір сәттеріне назар аудара отырып, олардың қызметінің өнімділігіне, жұмысқа қабілеттілігін жақсарту бойынша ұсыныстарға өз бағасын береді. Рефлексия. Оқушылар оқылған материалдың күрделілік деңгейі, бекітуді талап ететін негізгі сәттер туралы пікір айтады . Сондай-ақ оқу сабағы соңында өз білімдерін бағалайды. |
Әрбіроқушышешудағдысынжетілдіруүшінтоптыңтізімібойыншаоныңреттікнөмірінесәйкескелетінмысалнөмірінжәнеекіеселенгеннөмірді (әрнөмірденекімысалдан) таңдайды. Мысалы:Кәрімовтізімбойынша 7-ші , онда1-шіқосымшаныңәрбірнөмірінен 7 және 14 мысалдыорындайды. Тапсырма 6.Комплекс сан түбірінің барлық мәндерін табыңыздар.
1)
|
Бағалау. Оқушылар бір-бірін ауызша критерий бойынша бағалайды. - Кейбір оқушыларға мұғалім тарапынан кері байланыс беріледі.
|
|
Қысқа мерзімді жоспар №20-сабак
|
Ұзақ мерзімді жоспар бөлімі: Комплекс сандар |
Мектеп: |
|
Педагогтің аты-жөні: |
|
|
Күні: |
|
|
Сыныбы: 11 |
Қатысушылар саны: Қатыспағандар саны: |
|
Сабақтың тақырыбы: |
10-11 сыныптарды қайталау.Алгебралық түрдегі комплекс сандарға амалдар қолдану |
|
Оқу бағдарламасына сәйкес оқу мақсаты |
11.1.2.1- алгебралық түрде берілген комплекс сандарға арифметикалық амалдар қолдану; 11.1.2.2-алгебралық түрдегі комплекс санды түтін дәрежеге шығарғанда in мәнінің заңдылығын қолдану; 11.1.2.3-комплекс санның квадрат түбірін таба алу; |
|
Сабақтың мақсаты: |
- алгебралық түрде берілген комплекс сандарға арифметикалық амалдар қолданады;-алгебралық түрдегі комплекс санды түтін дәрежеге шығарғанда in мәнінің заңдылығын қолданады; 11.1.2.3-комплекс санның квадрат түбірін таба алады; |
Сабақтың барысы:
|
Сабақ кезеңі/Уақыты |
Оқулықпен жұмыс. |
Оқушының іс-әрекеті |
Бағалау |
Ресурстар |
||||||||||||||||||||||||||||||||||||||
|
Сабақтың басы |
оқушылардың білімін бақылау және түзету, шешім тәсілін талқылау кезінде жіберілген қателіктерге байланысты сабақ барысы, кері байланыс ( ауызша- түсініктеме, жазбаша– тақтадағы немесе студенттің дәптеріне белгі қою ). |
Әрбір оқушы шешу дағдысын жетілдіру үшін топтың тізімі бойынша оның реттік нөміріне сәйкес келетін мысал нөмірін таңдайды.
|
Мұғалім ұйымдастыру кезеңінде белсенділік танытқан оқушыларды «Мадақтау сөз» әдісіарқылы бағалайды: «Жарайсың! Жақсы! Өте жақсы! Талпын!» |
Түрлі түсті қима қағаздар
|
||||||||||||||||||||||||||||||||||||||
|
Сабақтың ортасы |
Тапсырма 1. Комплекс сандарберілген:
Топтық жұмыс. оқушылардың білімін бақылау және түзету, шешім тәсілін талқылау кезінде жіберілген қателіктерге байланысты сабақ барысы, кері байланыс ( ауызша- түсініктеме, жазбаша– тақтадағы немесе студенттің дәптеріне белгі қою ). Қажетті әдістемелік көмек көрсетеді. Тапсырмалар шешімін ресімдеу үлгісін ұсынады. Тапсырма
3. Есептеңіздер. Шешуі. Дәлелденген түбірлер формуласын қолданайық. Мұнда
Жауабы:
Салдар.
Дәлелдеуі.
Тапсырма 4.
Есептеңіз:
Шешуі. Дәлелденген салдарды
қолданамыз:
Оқушылардың іс- әрекеті-оқушылар жеке жұмыс жасайды және Тапсырма 5. Квадрат түбірлерді есептеңіздер:
Тапсырма 6.
Егер Тапсырма 7. Теңдеулердің барлық шешімдерін табыңыздар:
|
Оқушылар 4 топқа бөлініп, әр топ бір есептен шығарады. «Галерея» әдісімен бірін-бірі тексереді, «Бағдаршам» тәсілімен бірін-бірі бағалайды. апсырма 2. Есептеңіздер:
-тің кез келген нақты мәні
үшін Теорема.
мұнда жақша ішіндегі квадрат түбірлер оң сандардан алынған арифметикалық квадрат түбірлер болады.
Дәлелдеуі. Комплекс саннан
бір-біріне қарама-қарсы болатындай екі түбір шығатыны
белгілі. немесе
Осы жүйенің әрбір теңдеуін квадраттайық:
Екінші теңдеуді біріншісіне қосайық:
Мұнда
Теңдеудің екі түбірі де оң
мәндер қабылдайды, өйткені
Енді түбірлердің алдындағы таңбаларды дұрыс таңдау қалды. (2) теңдіктерінен
|
Дескриптор: -1-ші сұраққа жауап береді. 1-балл -2-ші сұраққа жауап береді. 1-балл -3-ші сұраққа жауап береді. 1-балл
Әрбір дұрыс жауапка 1 балл қойылады
|
ДК экраны
Сұрақтар топтамасы.
Оқулық 11-сынып.
|
||||||||||||||||||||||||||||||||||||||
|
Сабақтың соңы |
Үйтапсырмасы. Таңдаған әдістердің көмегімен тапсырмаларды орындаңыздар. Тапсырма 8. Квадрат түбірлерді есептеңіздер:
Тапсырма 9. Теңдеулердің барлық шешімдерін табыңыздар:
|
Сабақтың басында қалыптасқан табыс критерийлерін талдай отырып, оқушылар өз жұмысының қорытындысын өз бетінше шығарады . Мұғалім оқушылар жұмысының белгілі бір сәттеріне назар аудара отырып, олардың қызметінің өнімділігіне, жұмысқа қабілеттілігін жақсарту бойынша ұсыныстарға өз бағасын береді. Рефлексия. Оқушылар оқылған материалдың күрделілік деңгейі, бекітуді талап ететін негізгі сәттер туралы пікір айтады . Сондай-ақ оқу сабағы соңында өз білімдерін бағалайды. |
Бағалау. Оқушылар бір-бірін ауызша критерий бойынша бағалайды. - Кейбір оқушыларға мұғалім тарапынан кері байланыс беріледі.
|
|
Қысқа мерзімді жоспар №21-сабак
|
Ұзақ мерзімді жоспар бөлімі: Комплекс сандар |
Мектеп: |
|
Педагогтің аты-жөні: |
|
|
Күні: |
|
|
Сыныбы: 11 |
Қатысушылар саны: Қатыспағандар саны: |
|
Сабақтың тақырыбы: |
10-11 сыныптарды қайталау.Квадрат теңдеулердің комплекс түбірлері |
|
Оқу бағдарламасына сәйкес оқу мақсаты |
11.1.2.4-квадрат теңдеулерді комплекс сандар жиынында шешу; |
|
Сабақтың мақсаты: |
-квадрат теңдеулерді комплекс сандар жиынында шешеді; |
Сабақтың барысы:
|
Сабақ кезеңі/Уақыты |
Оқулықпен жұмыс. |
Оқушының іс-әрекеті |
Бағалау |
Ресурстар |
|
Сабақтың басы |
Оқушылармен амандасып, сабақтыңтақырыбымен, мақсатымен және күтілетін нәтижелерімен таныстыру. Үйге берілген тапсырмаларды тексеру. Шолу сұрақтары: - алгебралық түрде ұсынылған комплекс санды квадрат түбірден қалай шығарамыз, ережесін айтыңыз және формуласын жазып көрсетіңіз. - мысал келтіріңіз, шығарылу жолын басқа оқушылардан сұрап көріңіз. |
|
Мұғалім ұйымдастыру кезеңінде белсенділік танытқан оқушыларды «Мадақтау сөз» әдісіарқылы бағалайды: «Жарайсың! Жақсы! Өте жақсы! Талпын!» |
Түрлі түсті қима қағаздар
|
|
Сабақтың ортасы |
|
Мысал 1:
Мысал 2:
Есептер шығару:
Есеп:
Жауабы : .
|
Дескриптор: -1-ші сұраққа жауап береді. 1-балл -2-ші сұраққа жауап береді. 1-балл -3-ші сұраққа жауап береді. 1-балл Әрбір дұрыс жауапка 1 балл қойылады
|
ДК экраны Сұрақтар топтамасы. Оқулық 11-сынып.
|
|
Сабақтың соңы |
|
Үйге тапсырма:
а)
б)
|
Бағалау. Оқушылар бір-бірін ауызша критерий бойынша бағалайды. - Кейбір оқушыларға мұғалім тарапынан кері байланыс беріледі. |
|
жүктеу мүмкіндігіне ие боласыз
Бұл материал сайт қолданушысы жариялаған. Материалдың ішінде жазылған барлық ақпаратқа жауапкершілікті жариялаған қолданушы жауап береді. Ұстаз тілегі тек ақпаратты таратуға қолдау көрсетеді. Егер материал сіздің авторлық құқығыңызды бұзған болса немесе басқа да себептермен сайттан өшіру керек деп ойласаңыз осында жазыңыз
алгебра 11 сынып жмб 4 тоқсан қмж толық 130 бұйрық.
алгебра 11 сынып жмб 4 тоқсан қмж толық 130 бұйрық.
Пән: Алгебра
Қысқа мерзімді жоспар №1-сабак
|
Ұзақ мерзімді жоспар бөлімі: VIIIтарау. Дифференциалдық теңдеулер |
Мектеп: |
|
Педагогтің аты-жөні: |
|
|
Күні: |
|
|
Сыныбы: 11 |
Қатысушылар саны: Қатыспағандар саны: |
|
Сабақтың тақырыбы: |
Дифференциалдық теңдеулер туралы жалпы мағлұмат |
|
Оқу бағдарламасына сәйкес оқу мақсаты |
11.3.1.22- дифференциалдық теңдеулер туралы негізгі ұғымдарды білу; 11.3.1.23- дифференциалдық теңдеулердің жалпы және дербес шешімдері анықтамаларын білу; |
|
Сабақтың мақсаты: |
дифференциалдық теңдеулер туралы негізгі ұғымдарды біледі; - дифференциалдық теңдеулердің жалпы және дербес шешімдері анықтамаларын біледі; |
Сабақтың барысы:
|
Сабақ кезеңі/Уақыты |
Оқулықпен жұмыс. |
Оқушының іс-әрекеті |
Бағалау |
Ресурстар |
||||||||||||||||
|
Сабақтың басы |
Оқушылардың сабаққа дайындығын нақтылайды Оқушылармен бірге оқу мақсаттарын, бағалау критерийлерін нақтылайды Оқушылардың сабақтың мақсатын, күтілетін нәтижелерін түсінгендігін нақтылайды Сабақтың тақырыбына қатысты жағдаяттар туындатады |
Мұғалім сұрақтарына жауап береді Мұғаліммен бірге оқу мақсаттарын, бағалау критерийлерін талқылайды Мұғалімнің айтқандарын дәптерлеріне жазып отырады |
Мұғалім ұйымдастыру кезеңінде белсенділік танытқан оқушыларды «Мадақтау сөз» әдісіарқылы бағалайды: «Жарайсың! Жақсы! Өте жақсы! Талпын!» |
Түрлі түсті қима қағаздар
|
||||||||||||||||
|
Сабақтың ортасы |
12.5.1.1 дифференциалдық теңдеулер туралы жалпы түсіну; Табиғат құбылыстарын зерттегенде, физика жəне техника, химия жəне биология мəселелерін шешкенде, эволюциялық процесті анықтайтын шамалар арасындағы тəуелділік, көбіне, шамалар мен олардың өзгеру жылдамдықтары арасындағы байланыс түрінде, яғни белгісіз функциялар мен туындыларын (дифференциалдарын) байланыстыратын теңдеу ретінде алынады. Белгісіз функция жəне оның туындыларын байланыстыратын мұндай теңдеулер дифференциалдық деп аталады. Ізделінді функция бір ғана айнымалыдан тəуелді болса, теңдеу кəдімгі дифференциалдық, ал бірнеше айнымалыдан тəуелді болса, дербес туындылы дифференциалдық деп аталады. Мысалы, ең қарапайым кəдімгі
дифференциалдық деп, Жалпы y = ∫ f(x)dx + C шешімдер жиынтығын береді. Сонымен, «Тәуелсіз айнымалы, белгісіз функция және оның туындыларын немесе кез келген ретті дифференциалдарды байланыстыратын теңдеу дифференциалдық теңдеу деп аталады»; Тапсырма.
Дифференциалдық теңдеудің дербес және жалпы шешімінің анықтамасын оқушылармен бірге құрыңыз. Дифференциалдық теңдеуді шешу
– бұл осы теңдеуді қанағаттандыратын барлық функциялардың жиынын
табу. Мұндай функциялардың жиыны С тұрақтысына әртүрлі мәндер қою арқылы дифференциалдық теңдеудің шексіз көп дербес шешімін алуға болады.
Бірінші ретті дифференциалдық
теңдеудің жалпы түрі: Дифференциалдық теңдеудің шешімі деп, теңдеуге қойғанда оны дұрыс теңдікке айналдыратын қандай да бір функцияны айтамыз. Дифференциалдық теңдеудің шешімінің графигі осы теңдеудің интегралдық қисығы деп аталады. Геометриялықтүрдежалпышешіминтегралдыққисықтаржиынтығынқұрайды.
Дифференциалдық теңдеулердің шешімдері жалпы және дербес шешімдер болып бөлінеді. Жалпы
шешім дегеніміз – нешінші ретті
теңдеу болса, сонша тұрақты шама бар деген сөз.
Яғни, Дифференциалдық теңдеудің жалпы шешімдеріндегі тұрақты шама С-ға белгілі бір сан мәнін беру арқылы алынатын шешімді дербес шешім деп атаймыз. Жалпы сыныптық жұмыс 1. 2. 3.Дифференциалданатын теңдеудің ретін анықтаңыз: 1)
2)
3)
4)
5)
4.
5. Берілген функция көрсетілген теңдеудің шешімі болатындай етіп, k-ның мәнін табыңыз.
Жауаптары: 1. 2.
3. 1) бірінші ретті; 2) екінші ретті; 3) үшінші ретті; 4) бірінші ретті; 5) екінші ретті. 4.
5.
|
Ізделінді функцияның ең жоғарғы туындысы (дифференциалы) теңдеудің реті деп аталады. Мысалы: Дифференциалдық теңдеулер мысалдарын қарастырайық. 1-мысал:
Халық санының өсімін зерттеу барысында оның өсу жылдамдығы
тұрғындар санына пропорционал болатындығы анықталған. Айталық, t
уақытында тұрғындар саны N(t) – ға тең болсын. Онда халықтың t
уақытындағы өсу жылдамдығы
2 -мысал: Радиоактивті ыдырау. Тәжірибе арқылы заттың радиоактивті ыдырау жылдамдығы оның бастапқы мөлшеріне пропорционал болатындығы анықталған. Осы заңдылыққа сүйене отырып, радиоактивті ыдырау жөніндегі көптеген есептерді шешуге болады. Айталық, m(t) өрнегімен t уақытындағы радиоактивті заттың мөлшерін (грамм) белгілейік. Онда mI(t)=-λ m(t) теңдігі орындалады. Мұнда λ>0 пропорционалдық коэффициент, «минус» таңбасы уақыт өтісімен радиоактивті зат мөлшерінің кемитіндігін білдіреді. 3.дифференциалдық теңдеулер көмегімен сипаттайтын жағдайларға мысалдар келтіріңіз:
12.5.1.2 дифференциалдық теңдеулердің дербес және жалпы шешімдерінің анықтамасын білу; Тақырыпты ашу үшін оқушылардансұраңыз: - Алгебралықтеңдеулердішешудегеніміз не? - Бұлтеңдеудіқанағаттандыратынсандардыңжиынын табу. - 5
саны - тексеруарқылы 5 саныныңалгебралықтеңдеудіңтүбіріболатындығынакөзжеткіземіз. Дифференциалдықтеңдеулер де осы секілді. Оқушыларғакелесітапсырманыорындаудыұсыныңыз Мысалдар:
Мысал –
1: ?
=
2?
функциясы
Шешуі:Егер
Жауабы:
Мысал –
2:
Шешуі: Берілген функцияға орындарына апырып қоямыз.
Жауабы:
Мысал
– 3:
Шешуі: Берілген функцияға орындарына апарып қоямыз.
Жауабы:
Мысал – 4: Берілген функция көрсетілген теңдеудің шешімі болатындай етіп, k-ның мәнін табыңыз.
Шешуі:
Жауабы:
Жұптық жұмыс 6. Берілген функция көрсетілген теңдеудің шешімі болатындай етіп, k-ның мәнін табыңыз.
7. Берілген функция көрсетілген теңдеудің шешімі болатындай етіп, k-ның мәнін табыңыз.
8.
9.
10. Жауаптары:
6.
7.
8.
9.
10.
|
|
http://www.mathprofi.ru/kompleksnye_chisla_dlya_chainikov.html
https://artofproblemsolving.com/wiki/index.php/Complex_number
|
||||||||||||||||
|
Сабақтың соңы |
Үй жұмысы: Сабақ соңында рефлексия жүргіземіз. (3 минут) «Сөйлемді жалғастыр» (дәптерге жазады).
… мағанқызықболды? |
Оқушылар «теңгерім дөңгелегін»толтырады. Оқушылар жетістік критерийлері бойынша таңдау жасайды, неге ? деген сұраққа жауап береді. |
Бағалау. Оқушылар бір-бірін ауызша критерий бойынша бағалайды. - Кейбір оқушыларға мұғалім тарапынан кері байланыс беріледі.
|
|
||||||||||||||||
Пән: Алгебра
Қысқа мерзімді жоспар №2-сабак
|
Ұзақ мерзімді жоспар бөлімі: VIIIтарау. Дифференциалдық теңдеулер |
Мектеп: |
|
Педагогтің аты-жөні: |
|
|
Күні: |
|
|
Сыныбы: 11 |
Қатысушылар саны: Қатыспағандар саны: |
|
Сабақтың тақырыбы: |
Дифференциалдық теңдеулер туралы жалпы мағлұмат |
|
Оқу бағдарламасына сәйкес оқу мақсаты |
11.3.1.22- дифференциалдық теңдеулер туралы негізгі ұғымдарды білу; 11.3.1.23- дифференциалдық теңдеулердің жалпы және дербес шешімдері анықтамаларын білу; |
|
Сабақтың мақсаты: |
дифференциалдық теңдеулер туралы негізгі ұғымдарды біледі; - дифференциалдық теңдеулердің жалпы және дербес шешімдері анықтамаларын біледі; |
Сабақтың барысы:
|
Сабақ кезеңі/Уақыты |
Оқулықпен жұмыс. |
Оқушының іс-әрекеті |
Бағалау |
Ресурстар |
||||||||||||||||||||
|
Сабақтың басы |
Оқушылардың сабаққа дайындығын нақтылайды Оқушылармен бірге оқу мақсаттарын, бағалау критерийлерін нақтылайды Оқушылардың сабақтың мақсатын, күтілетін нәтижелерін түсінгендігін нақтылайды Сабақтың тақырыбына қатысты жағдаяттар туындатады |
Мұғалім сұрақтарына жауап береді Мұғаліммен бірге оқу мақсаттарын, бағалау критерийлерін талқылайды Мұғалімнің айтқандарын дәптерлеріне жазып отырады |
Мұғалім ұйымдастыру кезеңінде белсенділік танытқан оқушыларды «Мадақтау сөз» әдісіарқылы бағалайды: «Жарайсың! Жақсы! Өте жақсы! Талпын!» |
Түрлі түсті қима қағаздар
|
||||||||||||||||||||
|
Сабақтың ортасы |
Қайталау:10 сыныпта оқушылар бірінші туындыны анықтауды үйренді және оның физикалық мағынасын түсінді. «Қалың және жіңішке сұрақтар» арқылы бетпе-бет сұрақтар қойыңыздар
Жеке жұмыс:10 сыныпта алған білімдердің өзектілігін қамтамасыз ету үшін оұушыларға келесі есепті шығаруды ұсыныңыз. Мысалы. Дене координатсы келесі заңдылықпен өзгереді: X = 5 - 3t + 2t2 (м). 2 секундта дененің жылдамдығын анықтаңыз. Шешімі:
Оқушылармен бірге екінші ретті туындыны табудың бірнеше мысалын талдаңыз.
Оқушыларға өзара бір-бірін тексерумен екінші ретті туындыны табу дағдыларын бекіту үшін тапсырмалар ұсыныңыз. Оқушылармен бірге екінші ретті туындыны қайталаңыз. Оларға үшінші, төртінші және т.с.с. n-ші ретті туындыны қалай табуға болатынын ойлануды ұсыныңыз. Талқылаудан кейін n-ші ретті туындының анықтамасын беруге болады: Айқын берілген функцияның жоғары ретті туындылары Анықтама:
Функцияның n-ші ретті туындысы
деп (n-1)-ші ретті туындыдан алынған
туындыны айтады және келесі түрде белгілейді:
Функцияның екінші ретті туындысының берілген нүктелердегі мәнін табыңдар:
Оқушыларға келесі түрдегі тапсырмаларды мини топтарда немесе жұптарда орындауды ұсыныңыз.
Мысал 1. Материалдық нүкте s(t)=2t3+3t заңымен қозғалады, мұндағы s –метрмен берілген арақашықтық, ал t –секундпен берілген уақыт. Үдеу 12 м/с2-қа тең болатындай t- ның мәнін табыңдар.
Мысал 2. Келесі заңдылықпен қозғалатын дененің үдеуін табыңдар: a) s(t) = 2t3 + 5t2 +4t , б) s(t) = t5 – 2t3 ( s –метрмен берілген арақашықтық, ал t –секундпен берілген уақыт ). t = 20 c болғандағы үдеудің мәнін табыңдар.
Мысал
3. Материалдық
нүкте
Мысал
4. Дене
Жеке тапсырмаларды орындау бекіту және қолдануды бағалау мақсатында жүргізіледі. Тапсырма: Төмендегі теңдеулердің қайсысы дифференциалдық теңдеулер және олардың ретін анықтаңыз.
2.Теңдеулердің дербес шешімін табыңыз.
Жеке жұмыс. Қалыптастырушы бағалау тапсырмасын орындайды. Уақыт болған соң мұғалім жинап алады. Келесі сабақта талдау жасалады. Теңдеудің дербес шешімін табыңыз:
|
. Білімді өзектендіру. Оқушыларға туындыны және интегралды орындауға тапсырмалар беріледі. Әр оқушы өзі орындайды. Сосын көршісімен жұмыстарын алмастырады. Слайдтағы жауап бойынша өзара тексеру жүргізеді. Ауызша орындалатын тапсырмалар. Өтілген материалды еске түсіру үшін, сұрақтарға жауап береді.
1.
2. Тәуелсіз айнымалының
дифференциалы қалай белгіленеді?
(
3. Дифференциал функцияның
формуласын атаңыз. ( 4. Кері дифференциалдау процесін атаңыз. (интегралдау)
5. Анықталмаған интегралдың геометриялық мағынасы
қалай қорытындыланады? (Анықталмаған интеграл – бұл интегралдар
қисығының үйірімі. 4.Жаңа тақырыпты игерту.
Анықтама
1. Тәуелсіз айнымалы x-ті,
белгісіз функция Анықтама 2. Дифференциалдық теңдеу реті дегеніміз- теңдеуге қатынасып тұрған белгісіз функцияның туындысының ең жоғарғы ретін айтамыз. Сұрақ: Дифференциалды теңдеуді шешу дегеніміз не? Жауабы: Дифференциалдық теңдеудегі белгісіз функция мен оның туындалырының орнына қойғанда бұл теңдеуді теңбе-теңдікке айналдыратын әрбір y(x)функциясын дифференциалдық теңдеудің шешімі деп атайды.
2.
Егер
Жауабы: 2-тапсырма:
Оқушылардан
өздігімен
Жауабы: Жауаптарыңды тексеріңдер және дұрыс емес жауаптарды талқылаңыздар.
Тақтаға
Жауабы: Оқушылардан барлық жауаптарын тыңдау және оны талқылау ұсынылады. Қорытынды жасау:
Анықтама: Дифференциалдық теңдеуді шешкенде оның
шешіміне С тұрақтысы енеді. Мұндай шешімдер дифференциалдық
теңдеудің жалпы
шешімі деп аталады. Ол Дифференциалдық теңдеулердің жалпы шешімдерімен бірге олардың дербес шешімдері де қарастырылады. Дифференциалдық теңдеудің жалпы шешіміндегі тұрақты шама С-ға белгілі сан мәнін беру арқылы алынатын шешімді осы теңдеудің дербес шешімі деп атайды. Мысалы: тақтада тапсырманы мұғалім көрсетеді.
Шешуі: Анықтама. Дифференциалдық теңдеу шешімінің графигі осы теңдеудің интегралдық қисығы деп аталады.
деп аталады.
Бірінші ретті теңдеулердің ең
қарапайымы
Есептер шығару: Оқушыларға жұптасып орындауға тапсырма беріледі. Тапсырманы орындап болған соң, басқа оқушылармен жауаптарын тексереді. Тексеріп болған соң, кері байланыс беріледі.
|
|
|
||||||||||||||||||||
|
Сабақтың соңы |
Үй жұмысы: Сабақ соңында рефлексия жүргіземіз. (3 минут) «Сөйлемді жалғастыр» (дәптерге жазады).
… мағанқызықболды? |
Оқушылар «теңгерім дөңгелегін»толтырады. Оқушылар жетістік критерийлері бойынша таңдау жасайды, неге ? деген сұраққа жауап береді. Үй тапсырмасы:
Жетістік критериіне қайта оралу. Оқушы «мен жеттім/жетпедім, себебі.... сондықтан маған ......қажет» деген сөйлемді аяқтау қажет
|
Бағалау. Оқушылар бір-бірін ауызша критерий бойынша бағалайды. - Кейбір оқушыларға мұғалім тарапынан кері байланыс беріледі.
|
|
||||||||||||||||||||
Пән: Алгебра
Қысқа мерзімді жоспар №3-сабак
|
Ұзақ мерзімді жоспар бөлімі: VIIIтарау. Дифференциалдық теңдеулер |
Мектеп: |
|
Педагогтің аты-жөні: |
|
|
Күні: |
|
|
Сыныбы: 11 |
Қатысушылар саны: Қатыспағандар саны: |
|
Сабақтың тақырыбы: |
Дифференциалдық теңдеулер туралы жалпы мағлұмат |
|
Оқу бағдарламасына сәйкес оқу мақсаты |
11.3.1.22- дифференциалдық теңдеулер туралы негізгі ұғымдарды білу; 11.3.1.23- дифференциалдық теңдеулердің жалпы және дербес шешімдері анықтамаларын білу; |
|
Сабақтың мақсаты: |
дифференциалдық теңдеулер туралы негізгі ұғымдарды біледі; - дифференциалдық теңдеулердің жалпы және дербес шешімдері анықтамаларын біледі; |
Сабақтың барысы:
|
Сабақ кезеңі/Уақыты |
Оқулықпен жұмыс. |
Оқушының іс-әрекеті |
Бағалау |
Ресурстар |
||||||||||||||||
|
Сабақтың басы |
Оқушылардың сабаққа дайындығын нақтылайды Оқушылармен бірге оқу мақсаттарын, бағалау критерийлерін нақтылайды Оқушылардың сабақтың мақсатын, күтілетін нәтижелерін түсінгендігін нақтылайды Сабақтың тақырыбына қатысты жағдаяттар туындатады |
Мұғалім сұрақтарына жауап береді Мұғаліммен бірге оқу мақсаттарын, бағалау критерийлерін талқылайды Мұғалімнің айтқандарын дәптерлеріне жазып отырады |
Мұғалім ұйымдастыру кезеңінде белсенділік танытқан оқушыларды «Мадақтау сөз» әдісіарқылы бағалайды: «Жарайсың! Жақсы! Өте жақсы! Талпын!» |
Түрлі түсті қима қағаздар
|
||||||||||||||||
|
Сабақтың ортасы |
Оқушыларға мәселелік жағдаят
туғызып, жеке Пайда болған шешімдерін оқушылармен талқылаңыз. Әрі қарай тағы
бір Біріншіреттідифференциалдықтеңдеулердіңкезкелгентүрлеріноқукезендеоқушыларғакестенітолтырудыұсыныңыз:
Оқушыларғабекітуүшінөз-өзінтексеругетапсырмаұсыныңыз:
дифференциалдық теңдеуі берілген. Егер y = 5 x = 0 тең болғанда, теңдеудің дербес шешімін табыңыз. Жауабын y = f(x) түріндежазыңыз. Балл қоюкестесі
|
№1
Шешуі: Бұл сызықтың теңдеу,
мұндағы
бұдан
Сонда
№2
put y = vx so
that = Note: Condone absence of c at this stage.
arctan( [11] Кері байланыс. Бағалау.
|
|
|
||||||||||||||||
|
Сабақтың соңы |
Үй жұмысы: Сабақ соңында рефлексия жүргіземіз. (3 минут) «Сөйлемді жалғастыр» (дәптерге жазады).
… мағанқызықболды? |
Оқушылар «теңгерім дөңгелегін»толтырады. Оқушылар жетістік критерийлері бойынша таңдау жасайды, неге ? деген сұраққа жауап береді. |
Бағалау. Оқушылар бір-бірін ауызша критерий бойынша бағалайды. - Кейбір оқушыларға мұғалім тарапынан кері байланыс беріледі.
|
|
Пән: Алгебра
Қысқа мерзімді жоспар №4-сабак
|
Ұзақ мерзімді жоспар бөлімі: VIIIтарау. Дифференциалдық теңдеулер |
Мектеп: |
|
Педагогтің аты-жөні: |
|
|
Күні: |
|
|
Сыныбы: 11 |
Қатысушылар саны: Қатыспағандар саны: |
|
Сабақтың тақырыбы: |
Айнымалылары ажыратылатын бірінші ретті дифференциалдық теңдеулер |
|
Оқу бағдарламасына сәйкес оқу мақсаты |
11.3.1.24- айнымалылары ажыратылатын дифференциалдық теңдеулерді шешу; 11.3.3.1-физикалық есептерді шығаруда дифференциалдық теңдеулерді қолдану; |
|
Сабақтың мақсаты: |
- айнымалылары ажыратылатын дифференциалдық теңдеулерді шешеді; -физикалық есептерді шығаруда дифференциалдық теңдеулерді қолданады; |
Сабақтың барысы:
|
Сабақ кезеңі/Уақыты |
Оқулықпен жұмыс. |
Оқушының іс-әрекеті |
Бағалау |
Ресурстар |
||||||||||||
|
Сабақтың басы |
Оқушылардың сабаққа дайындығын нақтылайды Оқушылармен бірге оқу мақсаттарын, бағалау критерийлерін нақтылайды Оқушылардың сабақтың мақсатын, күтілетін нәтижелерін түсінгендігін нақтылайды Сабақтың тақырыбына қатысты жағдаяттар туындатады |
Мұғалім сұрақтарына жауап береді Мұғаліммен бірге оқу мақсаттарын, бағалау критерийлерін талқылайды Мұғалімнің айтқандарын дәптерлеріне жазып отырады |
Мұғалім ұйымдастыру кезеңінде белсенділік танытқан оқушыларды «Мадақтау сөз» әдісіарқылы бағалайды: «Жарайсың! Жақсы! Өте жақсы! Талпын!» |
Түрлі түсті қима қағаздар
|
||||||||||||
|
Сабақтың ортасы |
.Мағынаны тану 4.1.Айнымалылары ажыратылаиын бірінші ретті дифференциалдық теңдеулер қарастырайық.
айнымалылары ажыратылған
(дифференциал түрiнде жазылған), мұндағы
түрінде болады. Мұндаrы
Айнымалыларыажыратылатын теңдеудеп
түріндегі теңдеуді атайды.
Мұндағы
дифференциалдық теңдеуін аламыз. Бұл теңдеудің жалпы шешімі тендеудің жалпы шешiмi
Ал
Айнымалылары ажыратылатын дифференциалдық теңдеуді шешу алгоритмі. 1.Айнымалыларды ажырату (шартқа сәйкес мүмкін болғанда); 2.Әр бөлікті интегралдау 3.Жалпы интегралдан алынған теңдеудің шешімі бола ма екенін анықтау; 4.Бастапқы шартты қанағаттандыратын дербес шешімін табыңыз. Мысал-1. Теңдеудің жалпы шешімін
табыңыз Шешімі.Айнымалыларын ажырату қажет.
Ол үшін берілген теңдеуді келесі түрде жазып
аламыз:
4.2. Бірінші ретті айнымалылары ажыратылатын дифференциалдық теңдеулерді тану бейне-жазба/уақыты: 5 минут/Қосымша №3 1-жұп:https://www.youtube.com/watch?v=mXVW1xWYWcg 2-жұп:https://www.youtube.com/watch?v=RInf_oK1Lgc 3-жұп:https://www.youtube.com/watch?v=YIpU_a1K4CI 4-жұп:https://www.youtube.com/watch?v=kLQ6hKZuc9Q 5-жұп:https://www.youtube.com/watch?v=znbdne1MCnk 6-жұп:https://www.youtube.com/watch?v=8xiJWTB26RE Жұмыс түрі:жұптық жұмыс Орындалу барысы:оқушылар ұсынылған бейне материалдарды пайдалана отырып мәселенің шешу кезеңдері мен жолдарын өзбеттерінше оқып, пайымдайды. Өз түсініктерін екінші жұп мүшелеріне түсіндіреді. Әдісі: түртіп алу Мұғалімнің қызметі: сұрақтар арқылы оқушыларға бағыт беру. Оқушының қызметі: өзбетінше қажетті материалды игеру, талдау. оқушылар жұптаса отырып, ұсынылған тапсырмаларды орындайды. Алынған нәтижелер дәптерлеріне жазылып, таныстырылым жасалады.. Бағалау: өзін-өзі бағалау Бағалау дескрипторы: -дифференциалдық теңдеулер анықтамасын біледі; -қажетті есептеулер қатесіз жүргізеді; - дифференциалдық теңдеудің шешу алгоритмін пайдалан отырып, жалпы және дербес шешімдерін табады. |
Білімді бекіту 5.1.Практикалық тасырма-1 Бірінші ретті айнымалылары ажыратылатын дифференциалдық теңдеулер/ Қосымша №4 Жұмыс түрі: топтық жұмыс Мақсаты: Жаңа білімді шыңдау.Оқушылардың білім дағдыларын дамыту. Дағдылар: қолдану, сыни ойлау Бағалау: мұғалімнің бағалауы Оқушыларға сабақ мақсатын бекіту үшін дифференциалданған тапсырмаларды орындауды ұсыныңыз. Тапсырмалар деңгейге байланысты біртіндеп күрделене берілген. Оқушылар өз еріктерімен шығара алатын есептерінен бастап шығаруға болады А-
деңгейлі: Бірінші ретті айнымалылары
ажыратылатын дифференциалдық
теңдеулер: Дифференциалдық теңдеудің
жалпы шешімдерін табыңыз: В-деңгейлі. : Дифференциалдық теңдеудің
жалпы шешімін табыңыз: және бастапқы y(0)=e шартын қанағаттандыратын дербес шешімін табыңыз. С-деңгейлі.:
түрінде берілген бірінші ретті айнымалылары ажыратылатын дифференциалдық теңдеу. Дифференциалдық теңдеудің
жалпы шешімін табыңыз: Тапсырманы орындаған
оқушыларға қосымша тапсырманы
ұсынуға
болады::
5.2.Практикалық тапсырма-2 Жұмыс түрі:жұптық /Қосымша №5
Әдісі: жұптас-ақылдас-жаз Мақсаты: бірінші ретті айнымалылары ажырытылатын дифференциалдық теңдеулер туралы оқушылардың білім икемділіктерін саралау; Орындалуы: оқушылар жұптаса отырып, ұсынылған тапсырмаларды орындайды.Алынған нәтижелер дәптерлеріне жазылып, таныстырылым жасалады. Дағдылар: білу, қолдану, саралау Бағалау: өз-өздерін бағалау/ онлайн Бағалау дескрипторы: -диффренциалдық теңдеуге қатысты ұғымдарды дұрыс қолдана біледі; -қажетті есептеулер қатесіз жүргізеді. - дифференциалдық теңдеудің шешу алгоритмін пайдалан отырып, жалпы және дербес шешімдерін табады.
5.3.Free Differential Equations Practice Tests Жұмыстың түрі:Өзіндік жұмыс /Қосымша №6https://www.varsitytutors.com/differential_equations-practice-tests#practice-tests-section Мақсаты:Оқушылардың жаңа тақырып бойынша ұсынылған тапсырмалар арқылы игерген білімикемділіктерін саралау. Орындалуы: Оқушылар онлайн-қалыпта ұсынылған тапсырмаларды жеке орындайды. Дағдылар: білу, қолдану Бағалау: онлайн-қалыпта нәтижені көру. Келесі теңдеулердің ішінен айнымалылары ажыратылатын дифференциалдық теңдеуді анықтаңыз. Түсіндіріңіз. 1)
2) Жауабы: Айнымалылары бөліктенетін дифференциалдық теңдеу. Жауабы: 1, 4, 6.
|
|
|
||||||||||||
|
Сабақтың соңы |
Үй жұмысы: Сабақ соңында рефлексия жүргіземіз. (3 минут) «Сөйлемді жалғастыр» (дәптерге жазады).
… мағанқызықболды? |
Оқушылар «теңгерім дөңгелегін»толтырады. Оқушылар жетістік критерийлері бойынша таңдау жасайды, неге ? деген сұраққа жауап береді. |
Бағалау. Оқушылар бір-бірін ауызша критерий бойынша бағалайды. - Кейбір оқушыларға мұғалім тарапынан кері байланыс беріледі.
|
|
Пән: Алгебра
Қысқа мерзімді жоспар №5-сабак
|
Ұзақ мерзімді жоспар бөлімі: VIIIтарау. Дифференциалдық теңдеулер |
Мектеп: |
|
Педагогтің аты-жөні: |
|
|
Күні: |
|
|
Сыныбы: 11 |
Қатысушылар саны: Қатыспағандар саны: |
|
Сабақтың тақырыбы: |
Айнымалылары ажыратылатын бірінші ретті дифференциалдық теңдеулер |
|
Оқу бағдарламасына сәйкес оқу мақсаты |
11.3.1.24- айнымалылары ажыратылатын дифференциалдық теңдеулерді шешу; 11.3.3.1-физикалық есептерді шығаруда дифференциалдық теңдеулерді қолдану; |
|
Сабақтың мақсаты: |
- айнымалылары ажыратылатын дифференциалдық теңдеулерді шешеді; -физикалық есептерді шығаруда дифференциалдық теңдеулерді қолданады; |
Сабақтың барысы:
|
Сабақ кезеңі/Уақыты |
Оқулықпен жұмыс. |
Оқушының іс-әрекеті |
Бағалау |
Ресурстар |
||||||||||||
|
Сабақтың басы |
Оқушылардың сабаққа дайындығын нақтылайды Оқушылармен бірге оқу мақсаттарын, бағалау критерийлерін нақтылайды Оқушылардың сабақтың мақсатын, күтілетін нәтижелерін түсінгендігін нақтылайды Сабақтың тақырыбына қатысты жағдаяттар туындатады |
Мұғалім сұрақтарына жауап береді Мұғаліммен бірге оқу мақсаттарын, бағалау критерийлерін талқылайды Мұғалімнің айтқандарын дәптерлеріне жазып отырады |
Мұғалім ұйымдастыру кезеңінде белсенділік танытқан оқушыларды «Мадақтау сөз» әдісіарқылы бағалайды: «Жарайсың! Жақсы! Өте жақсы! Талпын!» |
Түрлі түсті қима қағаздар
|
||||||||||||
|
Сабақтың ортасы |
1 топ «Салқындауға» берілген есептер Тапсырма (орындау уақыты 10 минут) 1. Презентацияның 5-6-7 слайдтарын тағы да мұқият оқып шығыңыз; 2. №1 есептің шығарылуын топта талқылаңыз; 3. №2 есепті шешіңіз; 4. №2 есептің шешімін сынып алдында түсіндіру үшін дайындалыңыз.
Есеп №1 «Дене 10 минуттатемпературасы 20о су ішінде 100о-тан 60о-қа дейінсалқындады. Егер Ньютон заңыбойыншасалқындаужылдамдығыденетемпературасы мен қоршаған орта температурасыныңайырмасына тура пропорционалболса, қаншауақыттадене 30о-қа дейінсалқындайды?» Берілгені: Шешуі:
x(t) –
денетемпературасы
t – салқындау
уақыты
x(0) =
1000;
x(10) = 600;
xқоршаған орта
= 200;
x(t0)= 300; Табу керек: t0. Берілгенібойынша:
Демек,
Олайболса, Жауабы: 30 мин.
Есеп №2 Қоршаған орта температурасы 20оС ортада дене 100оС -қа дейін қыздырылды. Егер алғашқы 20 минутта ол 60оС-қа дейін суыса, қанша уақытта 30оС дейін салқындайды? (Жауабы: x(t) = 80∙2–t/20x(tx) = 30 үшін tx= 60 мин).
2 топ «Бактериялардың көбеюіне» берілген есептер
Тапсырма (орындау уақыты 10 минут) 1. Презентацияның 5-6,8 слайдтарын тағы да мұқият оқып шығыңыз; 2. №1 есептің шығарылуын топта талқылаңыз; 3. №2 есепті шешіңіз; 4. №2 есептің шешімін сынып алдында түсіндіру үшін дайындалыңыз.
Есеп №1 Егер 3 сағатта бактериялар саны 100-ден 200-ге дейін көбейген болса, 9 сағатта олардың саны неше есе артатынын табыңыз. Берілгені: x(t) – бактериялар саны t – уақыт x(0) = 100 x(3) =200
Табу керек: Шешуі:
Онда, lnx=kt+lnC →x=Cеkt С жәнеk табамыз. 100=Cek∙0 →C=100→ x=100еkt x(3) =200қолданамыз: 200=100e3k→k=(ln2)/3
Сонда, х(t)=100 Ендіx(9)табамыз: x(9)=100∙23=800
Жауабы: 8 есе артады.
Есеп №2 Зерттеу басталғаннан 12 сағат өткеннен кейін бактериялар саны 3 есе артты. Зерттеу басталғаннан үш тәулік өткеннен кейін бактериялар саны қанша есе артады? Бактериялардың көбеюі олардың санына пропорционал болады. (Жауабы: e12k = 3, x(72) = Ne72k = N(e12k)6 = 36N = 729N 729 есе).
1 – есеп.
Шешуі. Бұл айнымалылары ажыратылған теңдеу, мұнда
Формулаларының алғашқысы
бойынша 2 –
есеп. Шешуі.
Бұл ІҮ. Игерілген материалды бекіту. Жеке жұмыс. Айнымалысы ажыратылатын дифференциалдық теңдеулердің жалпы шешімін табыңыз:
Оқушылар теңдеудің шешімін дескрипторлардың көмегімен өз-өзін бағалайды. |
3 топ «Жарық өткізгіштікке» берілген есептер
Тапсырма (орындау уақыты 10 минут) 1. Презентацияның 5-6,9 слайдтарын тағы да мұқият оқып шығыңыз; 2. №1 есептің шығарылуын топта талқылаңыз; 3. №2 есепті шешіңіз; 4. №2 есептің шешімін сынып алдында түсіндіру үшін дайындалыңыз.
Есеп №1 Су қабатында жұтылатын жарық мөлшері суға түсетін жарық санына пропорционал. Қалыңдығы 3 м суда алғашқы түскен жарықтың жартысы жұтылады. 60 м тереңдікке алғашқы түскен жарықтың қанша бөлігі жетеді?
Берілгені: Іжарық мөлшері, һсудың тереңдігі І(0) =І І(3) =0,5∙І
Табу
керек: Шешуі:
Онда, lnI=-kh+lnC →I=Ce-kh Сжәнеk табамыз: I=Ce-k∙0 →C=I→ I(h)=Ie-kh І(3) =0,5∙І қолданамыз: 0,5I=Ie-3k→k=(ln2)/3
Сонда,
I(h)=I∙ Енді I(60) табамыз:
I(60)=I∙
Одан,
Жауабы: I(60)/I(0) = 2–20.
Есеп №2 Жұқа су қабатында жұтылатын жарық мөлшері суға түсетін жарық саны мен қабаттың қалыңдығына пропорционал. 35 см су қабаты алғашқы түскен жарықтың жартысын жұтады. 2 м су қабаты алғашқы түскен жарықтың қанша бөлігін жұтады? (Жауабы: I(z) = I(0)∙2– z/35,1 – I(200)/I(0) 98,1%).
4 топ «Радиоактивтіыдырауға» берілген есептер
Тапсырма (орындау уақыты 10 минут) 1. Презентацияның 5-6,9 слайдтарын тағы да мұқият оқып шығыңыз; 2. №1 есептің шығарылуын топта талқылаңыз; 3. №2 есепті шешіңіз; 4. №2 есептің шешімін сынып алдында түсіндіру үшін дайындалыңыз.
Есеп №1 Радиоактивті заттың алғашқы санының екі есе азаю уақытын жартылай ыдырау периоды деп атайды. Жартылай ыдырау периоды 1 жыл болатын 10 г заттың 1 г-ы қалу үшін қанша уақыт өтеді? Берілгені: x(t) – заттың алғашқы саны (немесе массасы) t – уақыты x(0) = 10гр x(1) =5гр x(t) = 1гр Табу керек: t Шешуі:
Онда, lnx=-kt+lnC →x=Ce-kt Сжәнеk табамыз: 10=Ce-k∙0 →C=10→ x=10e-kt x(1) =5грқолданамыз: 5=10e-k→k=ln2 Сонда, х(t)=10e-ln2t=10∙2-t болады Енді x(t) = 1гр болғандағы t табамыз: 1=10∙2-t → t = 1/lg2 3,3
Жауабы: x(t) = 1 болғанда, t 3,3г.
Есеп №2 Радийдің ыдырау жылдамддығы оның бастапқы мөлшеріне пропорционал және оның жартылай ыдырау уақыты 1600 жыл. 100 жылда радийдің алғашқы мөлшерінің қанша пайызы ыдырайтынын анықтаңыз. (Жауабы: x(t) = Cekt; x(0) = a, x(1600) = a/2; k = -ln2/1600t = 100 ∙(x/a) = 2–1/16 0,958). Қалыптастырушыбағалау (орындау уақыты 10 минут)
Бағалаукритерийлері:
Әр деңгейден бір тапсырмадан таңдаңыз және орындаңыз.
А деңгейі Теңдеудің жалпы шешімін табыңыз. 1.(1-у)dx+(x+1)dy=0 Жауабы: y=1+C(x+1) 2. exdx+ey(1-ex)dy=0 Жауабы:ey=C+ln1-ex 3. 2xyy’=y2-1 Жауабы:y2-1=Cx 4. y’=e2x-4yЖауабы:e4y=2e2x+C
Вдеңгейі Бастапқышартынқанағаттандыратынтеңдеудіңшешімінтабыңыз.
1. (1+x3)y’=3x2y; y(0)=2. Жауабы:y=2(1+x3)
2. 3. y’ex=x; y(0)=1. Жауабы:y=ex(x+1)
4. y’+ysin2x=0; Сдеңгейі Есептердішығарыңыз.
1.Туристкафеге келіп, бір кесе кофеге тапсырыс берді. Бөлме температурасы 180С. Туристкофенің жағымды температурасы 50оС деп есептейді. Егер 2 минутта кофе 5оС-қа суыйтын болса, жаңа дайындалған кофенің турист үшін жағымды температураға дейін салқындауына қанша уақыт қажет екенін анықтаңыз. (Жауабы: x(t) = 10∙(77/82)t/2x(tx) = 50 үшін tx 30 мин).
2.100 бактериялар тобына қолайлы жағдайда көбею мүмкіндігі жасалды. 12 сағат өткеннен кейін олардың саны 500-ге жеткені анықталды. Зерттеу басталғаннан 2 тәулік өткеннен кейін қанша бактерия болады? (Жауабы: e12k = 5, x(48) = Ne48k = N(e12k)4 = 54N = 625N 625 есе).
3.Қалыңдығы 1 метр әйнектің қандай да бір түрі өзіне түскен жарықтың 0,25 бөлігін жұтады. Түскен жарықтың тек 1%-н жұту үшін осы әйнектің қалыңдығы қандай болу керек? (Жауабы: I(z) = I(0)∙0,75z, I(zх) = 0,99I(0), zх0.03494 м).
4.Тәжірибе бойынша 1 жылда радийдің әр грамынан 0,44мг ыдырайды. Неше жылдан кейін алғашқы радий мөлшерінің жартысы ыдырайды? (Жауабы: x(t) = x(0)∙(1 – 0,00044)tx(t) = ½ x(0) үшін t = ln0,5/ln(1-0,00044) 1600 жыл).
|
|
|
||||||||||||
|
Сабақтың соңы |
Үй жұмысы: Сабақ соңында рефлексия жүргіземіз. (3 минут) «Сөйлемді жалғастыр» (дәптерге жазады).
… мағанқызықболды? |
Оқушылар «теңгерім дөңгелегін»толтырады. Оқушылар жетістік критерийлері бойынша таңдау жасайды, неге ? деген сұраққа жауап береді. |
Бағалау. Оқушылар бір-бірін ауызша критерий бойынша бағалайды. - Кейбір оқушыларға мұғалім тарапынан кері байланыс беріледі.
|
|
Пән: Алгебра
Қысқа мерзімді жоспар №6-сабак
|
Ұзақ мерзімді жоспар бөлімі: VIIIтарау. Дифференциалдық теңдеулер |
Мектеп: |
|
Педагогтің аты-жөні: |
|
|
Күні: |
|
|
Сыныбы: 11 |
Қатысушылар саны: Қатыспағандар саны: |
|
Сабақтың тақырыбы: |
Айнымалылары ажыратылатын бірінші ретті дифференциалдық теңдеулер |
|
Оқу бағдарламасына сәйкес оқу мақсаты |
11.3.1.24- айнымалылары ажыратылатын дифференциалдық теңдеулерді шешу; 11.3.3.1-физикалық есептерді шығаруда дифференциалдық теңдеулерді қолдану; |
|
Сабақтың мақсаты: |
- айнымалылары ажыратылатын дифференциалдық теңдеулерді шешеді; -физикалық есептерді шығаруда дифференциалдық теңдеулерді қолданады; |
Сабақтың барысы:
|
Сабақ кезеңі/Уақыты |
Оқулықпен жұмыс. |
Оқушының іс-әрекеті |
Бағалау |
Ресурстар |
|||||||||||||||||||||||||||
|
Сабақтың басы |
Оқушылардың сабаққа дайындығын нақтылайды Оқушылармен бірге оқу мақсаттарын, бағалау критерийлерін нақтылайды Оқушылардың сабақтың мақсатын, күтілетін нәтижелерін түсінгендігін нақтылайды Сабақтың тақырыбына қатысты жағдаяттар туындатады |
Мұғалім сұрақтарына жауап береді Мұғаліммен бірге оқу мақсаттарын, бағалау критерийлерін талқылайды Мұғалімнің айтқандарын дәптерлеріне жазып отырады |
Мұғалім ұйымдастыру кезеңінде белсенділік танытқан оқушыларды «Мадақтау сөз» әдісіарқылы бағалайды: «Жарайсың! Жақсы! Өте жақсы! Талпын!» |
Түрлі түсті қима қағаздар
|
|||||||||||||||||||||||||||
|
Сабақтың ортасы |
Жаңа материалды меңгерту Мақсаты:жаңа білім меңгеру; 2.1 Ж :Қоспаға және сұйықтың ағып кетуіне берілген есептерді талдау; Оқушылар тапсырмаларды алдымен жеке талдайды, содан соң жұптасып бір біріне түсіндіреді. 2.2 Ұ:Радиоактивтік ыдырау ұғымын енгізу; Радиоактивтік ыдырау ұғымы туралы бейне-материалды қарау және талдау. 2.3 Ж: Радиоактивтік ыдырауға берілген есептерді талдау Оқушылар жұптасып радиоактивтік ыдырауға байланысты есепті шығарады. 3. Ж:Есептер шығару; Мақсаты: жаңа білімді бекіту; 1.Ыдыстағы 60 л ерітінді құрамында 10 кг тұз бар. Ыдысқа 4л/мин жылдамдықпен су құйылған кезде, ерітінді 2 л/мин жылдамдықпен ағып кетеді. 30 минуттан кейін ыдыста қанша тұз қалады? 2.Биіктігі 2 м және табан радиусы 1 м болатын цилиндр тәрізді ыдыстың түбінде радиусы 0,1 м дөңгелек тесік бар. Ыдысты толтыра құйылған су қанша уақытта ағып кетеді? 3.Егер 3 сағатта радиоактивті заттың 0,2 бөлігі ыдырайтын болса, осы радиоактивті заттың жартылай ыдырау периодын табыңыз. Бағалау:үлгі бойынша жұп өзін бағалайды; Оқушылар өздігімен тапсырма орындайды. Оқушылар сұрақ туындағанда көмек сұрауға болады. Мұғалім бақылау арқылы бағалау жүргізеді. 1
2
3
4
5
ІҮ. Қалыптастырушы бағалау тапсырмасы.
|
Оқушыларды жұпқа біріктіріңіз. Әр жұпқа дифференциалдық теңдеулер кестесін таратыңыз. Мысалы: 1)
4) 6)
8) 10)
12)
14)
Оқушыларға келесі түрге сәйкес келетін теңдеулердің номерін теріп жазуға ұсыныңыз: А. Айнымалылары бөліктенетін дифференциалдық теңдеу. Жауабы: 1, 6, 8, 10, 13. В. Біртекті дифференциалдық теңдеу. Жауабы: 2, 4, 7, 11, 14. С. Сызықтықдифференциалдықтеңдеу. Жауабы:3, 5, 9, 12, 15.
Әріқарайәржұпқаәртүрденекітеңдеуденшешугеұсыныңыз. Жауаптар: 1) 2) 3) 4) 5) 6) 7) 8) 9) 10) 11) 12) 13) 14) 15)
|
|
|
|||||||||||||||||||||||||||
|
Сабақтың соңы |
Үй жұмысы: Сабақ соңында рефлексия жүргіземіз. (3 минут) «Сөйлемді жалғастыр» (дәптерге жазады).
… мағанқызықболды? |
Оқушылар «теңгерім дөңгелегін»толтырады. Оқушылар жетістік критерийлері бойынша таңдау жасайды, неге ? деген сұраққа жауап береді. Үйге тапсырма: Дифференциалдық теңдеуді шешіңіз.
а)
|
Бағалау. Оқушылар бір-бірін ауызша критерий бойынша бағалайды. - Кейбір оқушыларға мұғалім тарапынан кері байланыс беріледі.
|
|
Пән: Алгебра
Қысқа мерзімді жоспар №7-сабак
|
Ұзақ мерзімді жоспар бөлімі: VIIIтарау. Дифференциалдық теңдеулер |
Мектеп: |
|
Педагогтің аты-жөні: |
|
|
Күні: |
|
|
Сыныбы: 11 |
Қатысушылар саны: Қатыспағандар саны: |
|
Сабақтың тақырыбы: |
Екінші ретті тұрақты коэффициентті біртекті сызықтық дифференциалдық теңдеулер |
|
Оқу бағдарламасына сәйкес оқу мақсаты |
11.3.1.25- екінші ретті біртекті сызықтық дифференциалдық теңдеулерді шешу; 11.3.3.2-гармоникалық тербелістің теңдеуін құру және шешу; |
|
Сабақтың мақсаты: |
- екінші ретті біртекті сызықтық дифференциалдық теңдеулерді шешу; -гармоникалық тербелістің теңдеуін құру және шешу; |
Сабақтың барысы:
|
Сабақ кезеңі/Уақыты |
Оқулықпен жұмыс. |
Оқушының іс-әрекеті |
Бағалау |
Ресурстар |
|
Сабақтың басы |
Оқушылардың сабаққа дайындығын нақтылайды Оқушылармен бірге оқу мақсаттарын, бағалау критерийлерін нақтылайды Оқушылардың сабақтың мақсатын, күтілетін нәтижелерін түсінгендігін нақтылайды Сабақтың тақырыбына қатысты жағдаяттар туындатады |
Мұғалім сұрақтарына жауап береді Мұғаліммен бірге оқу мақсаттарын, бағалау критерийлерін талқылайды Мұғалімнің айтқандарын дәптерлеріне жазып отырады |
Мұғалім ұйымдастыру кезеңінде белсенділік танытқан оқушыларды «Мадақтау сөз» әдісіарқылы бағалайды: «Жарайсың! Жақсы! Өте жақсы! Талпын!» |
Түрлі түсті қима қағаздар
|
|
Сабақтың ортасы |
Диференциалдық теңдеулерді біртекті және біртекті емес деп екі типке ажыратуға болады
Тұрақты коэффициентті
біртекті теңдеу деп мына түрдегі теңдеуді айтады: Практикалық бөлім
Мысал1
Шешуі: төмендегідей характеристикалық
теңдеу құрастырып, шешеміз:
Жауабы: жалпы
шешімі: Мысал 2
Шешуі: төмендегідей характеристикалық
теңдеу құрастырып, шешеміз:
Жауабы: жалпы
шешімі: :
Мысал
3
Алдымен бастапқы шартты
қарастырамыз
Жалпы
шешімнен
Теңдеулер жүйесін
шешеміз:
Табылған тұрақты
шамаларды
|
– оқушылар тақырып бойынша топта есептер шығарады «оқушы-оқушы», «оқушы-мұғалім» қарым қатынасында бір-бірімен топта жұмыстанады, бір-біріне көмектеседі, жауаптарымен тексеріседі. Мұғалім әр топтың жұмысын қадағалап, көмек көрсетеді. Бағалаукритериі:
Шешімі: төмендегідей
характеристикалық теңдеу құрастырып, шешеміз: Мысал 2
Дифференциальдық теңдеудің
жалпы шешімін табыңыз
Шешімі: төмендегідей
характеристикалық теңдеу құрастырып, шешеміз:
Мысал
3 Екінші
ретті біртекті дифференциялдық теңдеуді шешіңіз
Шешімі: төмендегідей
характеристикалық теңдеу құрастырып, шешеміз:
Жауап: жалпы
шешім:
Мысал 1
Екінші ретті біртекті
дифференциялдық теңдеуді шешіңіз:
Шешімі: төмендегідей
характеристикалық теңдеу құрастырып,
шешеміз:
Мысал 2
Дифференциалдық теңдеудің
дербес шешімін табыңыз және тексеріңіз,егер
бастапқы шарт
Шешімі: төмендегідей
характеристикалық теңдеу құрастырып,
шешеміз:
4. Талдау. Оқушылардың тақырып бойынша есептерді шығару барысында айқындалған қателері мен олқылықтары талданады, оқушылардың оқу мақсаттары бойынша меңгерген білім білік дағдыларын өздері бағалауға мүмкіндік беріледі.
5. Рефлексия Оқушыларға сұрақтар:
|
|
|
|
Сабақтың соңы |
Үй жұмысы: Сабақ соңында рефлексия жүргіземіз. (3 минут) «Сөйлемді жалғастыр» (дәптерге жазады).
… мағанқызықболды? |
Оқушылар «теңгерім дөңгелегін»толтырады. Оқушылар жетістік критерийлері бойынша таңдау жасайды, неге ? деген сұраққа жауап береді. Үй тапсырмасы: В деңгей:а) y''-2y'-3y=0 в) y''-6y'+9y=0 с) y''+6y'+10y=0 С деңгей y'''-y''+y'-у=0 Шығарылу жолы: https://www.youtube.com/watch?v=S5W7B56D0YE |
Бағалау. Оқушылар бір-бірін ауызша критерий бойынша бағалайды. - Кейбір оқушыларға мұғалім тарапынан кері байланыс беріледі. |
|
Пән: Алгебра
Қысқа мерзімді жоспар №8-сабак
|
Ұзақ мерзімді жоспар бөлімі: VIIIтарау. Дифференциалдық теңдеулер |
Мектеп: |
|
Педагогтің аты-жөні: |
|
|
Күні: |
|
|
Сыныбы: 11 |
Қатысушылар саны: Қатыспағандар саны: |
|
Сабақтың тақырыбы: |
Екінші ретті тұрақты коэффициентті біртекті сызықтық дифференциалдық теңдеулер |
|
Оқу бағдарламасына сәйкес оқу мақсаты |
11.3.1.25- екінші ретті біртекті сызықтық дифференциалдық теңдеулерді шешу; 11.3.3.2-гармоникалық тербелістің теңдеуін құру және шешу; |
|
Сабақтың мақсаты: |
- екінші ретті біртекті сызықтық дифференциалдық теңдеулерді шешу; -гармоникалық тербелістің теңдеуін құру және шешу; |
Сабақтың барысы:
|
Сабақ кезеңі/Уақыты |
Оқулықпен жұмыс. |
Оқушының іс-әрекеті |
Бағалау |
Ресурстар |
||||||||||||
|
Сабақтың басы |
Оқушылардың сабаққа дайындығын нақтылайды Оқушылармен бірге оқу мақсаттарын, бағалау критерийлерін нақтылайды Оқушылардың сабақтың мақсатын, күтілетін нәтижелерін түсінгендігін нақтылайды Сабақтың тақырыбына қатысты жағдаяттар туындатады |
Мұғалім сұрақтарына жауап береді Мұғаліммен бірге оқу мақсаттарын, бағалау критерийлерін талқылайды Мұғалімнің айтқандарын дәптерлеріне жазып отырады |
Мұғалім ұйымдастыру кезеңінде белсенділік танытқан оқушыларды «Мадақтау сөз» әдісіарқылы бағалайды: «Жарайсың! Жақсы! Өте жақсы! Талпын!» |
Түрлі түсті қима қағаздар
|
||||||||||||
|
Сабақтың ортасы |
Оқушының іс-әрекеті:бір-біріменөзара ақылдаса отырып, тапсырманы орындау; I топ
Теңдеуді
шешіңіз:
Теңдеудің дербес шешімін
табыңыз: II топ Теңдеуді
шешіңіз:
Теңдеудің дербес шешімін
табыңыз: III топ Теңдеуді
шешіңіз:
Теңдеудің дербес шешімін
табыңыз: Сипаты:Мұғалім оқушыларға тақырыпты бекіту үшін берілген есептерді шешуді және тақтада шешімін көрсетуді ұсынады. Оқушылар топтарының жеке қабілеттерін ескере отырып, дифференциалдық тапсырмалар құрылады. Оқушылардың нәтижелі жұмыстануы үшін топтық дифференциация қолдануға болады. Бағалау:әрбір жұптың тапсырмасын мұғалім тексереді, талдайды, өзара кері байланыс жасайды. 4.Жұппен жұмыс Мақсаты: Оқушылардың екінші ретті тұрақты коэффициентті біртекті сызықтық дифференциалдық теңдеулер туралы білім дағдыларын саралау. Дағдылар:қолдану, саралау Теңдеудің дербес шешімін табыңыз:
Сипаты: оқушылар жұптаса отырып, ұсынылған тапсырмаларды орындайды. Бағалау:жұптар арасындаөзара бағалау 5. Өзіндік жұмыс. Мақсаты:Оқушылардың жаңа тақырып бойынша ұсынылған тапсырмалар арқылы игерген білім икемділіктерін саралау. Дағдылар: білу, қолдану Теңдеуді
шешіңіз: Теңдеудің дербес шешімін табыңыз: 1. 2.
Орындалуы: Оқушылар ұсынылған тапсырмаларды жеке орындайды. Бағалау: өзін-өзі бағалау дескриптор бойынша |
Мысал1.
у(t) функциясы берілген дифференциалдық теңдеудің шешімі болатындығын тексеріңіз:
Мысал2. Гармониялық тербелістің дифференциалдық теңдеуін жазыңыз
5.Есептер шығару. Тапсырма. Сипаттамалық теңдеуі
белгілі
Кері байланыс:дайыншешімдерібойыншатексеру. Бағалау: мұғалімнің ауызша бағалауы 5.Есептер шығару Мақсаты:теориялық білімдерін есептер шығаруда қолдану; Әдісі: есептер шығару Формасы: жеке жұмыс дәптерлерінде орындау №1.Дифференциалдық теңдеудің жалпы шешімін табыңыз:
№2. Теңдеуді
шешіңіз: Мұғалім іс әрекеті: оқушы жұмысын бақылауды, бағыттаушы сұрақтар қояды, кері байланыс береді Оқушы іс әрекеті: есепті шығарады, нәтижесін сыныптастарымен бөліседі. Бағалау: өзара бағалау Топтық жұмыс Мұғалімнің іс әрекеті: әр топқа жеке жұмыстану үшін бір карточкадан беріледі; оқушылардың жұмысын бақылайды, қажет болған жағдайда бағыт пен көмек береді. Оқушының іс әрекеті: берілген есепті топта талдай отырып шығарады, сосын шешу жолын басқа топтармен бөліседі. Тапсырма.Бөлшек қарапайым гармониялық қозғалыс жасайды. Бөлшектің тербеліс центрінен ауытқуы t секунд уақыт мезетінде x метрге тең. а)
x =
Acos10t +
Bsin10t келесі дифференциалдық
теңдеудің жалпы шешімі болатынын
көрсетіңіз: b) Дифференциалдық
теңдеудің
Берілген схема бойынша оқушылар өздері өз шешімін тексеруді ұсыныңыз. Бағалау:топтар жұмыстарын салыстыра отырып өзара бағалау орындайды Мұғалім іс әрекеті: дайын шешу жолын ұсынады, кері байланыс береді |
|
|
||||||||||||
|
Сабақтың соңы |
Үй жұмысы: Сабақ соңында рефлексия жүргіземіз. (3 минут) «Сөйлемді жалғастыр» (дәптерге жазады).
… мағанқызықболды? |
Оқушылар «теңгерім дөңгелегін»толтырады. Оқушылар жетістік критерийлері бойынша таңдау жасайды, неге ? деген сұраққа жауап береді. 6.Үйге тапсырма беру №1.
№2. y′′−6y′+9y=0 дифференциалдық теңдеуінің жалпы шешімін табыңыз. №3.
|
Бағалау. Оқушылар бір-бірін ауызша критерий бойынша бағалайды. - Кейбір оқушыларға мұғалім тарапынан кері байланыс беріледі.
|
|
Қысқа мерзімді жоспар №9-сабак
|
Ұзақ мерзімді жоспар бөлімі: 10-сыныптағы алгебра және анализ бастамалары курсын қайталау |
Мектеп: |
|
Педагогтің аты-жөні: |
|
|
Күні: |
|
|
Сыныбы: 11 |
Қатысушылар саны: Қатыспағандар саны: |
|
Сабақтың тақырыбы: |
10-11-сыныптағы алгебра және анализ бастамалары курсын қайталау Функцияның туындысы |
|
Оқу бағдарламасына сәйкес оқу мақсаты |
10.3.1.9 - функция туындысының анықтамасын білу білу және анықтама бойынша функцияның туындысын табу; 10.3.1.14 - күрделі функцияның анықтамасын білу және оның туындысын табу; 10.3.1.13 – тригонометриялықфункциялардың туындыларын табу; |
|
Сабақтың мақсаты: |
- функция туындысының анықтамасын біледі және анықтама бойынша функцияның туындысын табады; - күрделі функцияның анықтамасын біледі және оның туындысын табады; – тригонометриялықфункциялардың туындыларын табады; |
Сабақтың барысы:
|
Сабақ кезеңі/Уақыты |
Оқулықпен жұмыс. |
Оқушының іс-әрекеті |
Бағалау |
Ресурстар |
||||||||||||
|
Сабақтың басы |
№1 |
Қайталау сұрақтары y=cosx туындысы неге тең? x² туындысы неге тең? Кері тригонометриялық функцияларды ата. Тригонометриялық функцияларды ата. y=sіnx функциясының анықталу облысын айтып бер. y=tgx функциясының туындысы. tg²x+1=? cosx=a түріндегі теңдеудің шешімі. Тұрақты санның туындысы. х-тің туындысы Туындыларды есептеу ережелерініңформуласы. y=ctgx туындысы неге тең? y=cos3x туындысы неге тең? Күрделі функция туындысы неге тең? y=x³+sіnx функциясының туындысы неге тең? |
Мұғалім ұйымдастыру кезеңінде белсенділік танытқан оқушыларды «Мадақтау сөз» әдісіарқылы бағалайды: «Жарайсың! Жақсы! Өте жақсы! Талпын!» |
Түрлі түсті қима қағаздар
|
||||||||||||
|
Сабақтың ортасы |
Оқулықпен жұмыс. №1 а) f(x)=3ctgx-4x³ б) f(x)=4-1/4 tgx ә) f(x)=sіn2x+tgx в) f(x)=х² ctgx №2 f´(х)=0 а) f(x)=-sіnx-1 ә) f(x)= соs4х+1 №3а) f(x)= соsх (соsх-1) б) f(x)= sіnx(ctgx-1) ә) f(x)=tgx (соsх+2) в) f(x)= (4х-1)· sіnx |
Тест жұмысы Барлық оқушылардың білімін анықтауға мүмкіндік береді, және ойлау, есте сақтау қабілетін дамытады, тапқырлыққа дағдыландырады.
|
Дескриптор: -1-ші сұраққа жауап береді. 1-балл -2-ші сұраққа жауап береді. 1-балл -3-ші сұраққа жауап береді. 1-балл
Әрбір дұрыс жауапка 1 балл қойылады
|
ДК экраны
Сұрақтар топтамасы.
Оқулық 11-сынып.
|
||||||||||||
|
Сабақтың соңы |
Сабақты бекіту. Функциялардың туындысын табыңдар.
|
. Үйге тапсырма:дескриптор құрып есепті шешу сұралады. |
Бағалау. Оқушылар бір-бірін ауызша критерий бойынша бағалайды. - Кейбір оқушыларға мұғалім тарапынан кері байланыс беріледі.
|
|
Қысқа мерзімді жоспар №10-сабак
|
Ұзақ мерзімді жоспар бөлімі: 10-сыныптағы алгебра және анализ бастамалары курсын қайталау |
Мектеп: |
|
Педагогтің аты-жөні: |
|
|
Күні: |
|
|
Сыныбы: 11 |
Қатысушылар саны: Қатыспағандар саны: |
|
Сабақтың тақырыбы: |
10-11сыныптағы алгебра және анализ бастамалары курсын қайталау Есептеулер |
|
Оқу бағдарламасына сәйкес оқу мақсаты |
10.1.3.4 - құрамында кері тригонометриялық функциялары бар өрнектердің мәнін табу; 10.3.1.11 -дифференциалдаудың ережелерін білу және қолдану; 10.3.1.12 - функция графигіне жүргізілген жанаманың теңдеуін құрастыру; 10.3.1.19 - функцияның кесіндідегі ең үлкен және ең кіші мәндерін табу; |
|
Сабақтың мақсаты: |
- құрамында кері тригонометриялық функциялары бар өрнектердің мәнін табу; -дифференциалдаудың ережелерін білу және қолдану; - функция графигіне жүргізілген жанаманың теңдеуін құрастыру; - функцияның кесіндідегі ең үлкен және ең кіші мәндерін табу; |
Сабақтың барысы:
|
Сабақ кезеңі/Уақыты |
Оқулықпен жұмыс. |
Оқушының іс-әрекеті |
Бағалау |
Ресурстар |
|
Сабақтың басы |
Ұйымдастыру сәті Үй жұмысын тексеру Математикалық логикалық есептер беру арқылы «Миға шабуыл |
Қайталау сұрақтары
|
Мұғалім ұйымдастыру кезеңінде белсенділік танытқан оқушыларды «Мадақтау сөз» әдісіарқылы бағалайды: «Жарайсың! Жақсы! Өте жақсы! Талпын!» |
Түрлі түсті қима қағаздар
|
|
Сабақтың ортасы |
Функция үш тәсілмен берілуі
мүмкін: аналитикалық; графиктік;
кестелік; 1)Егер функция аналитикалық тәсілмен берілсе, онда
тәуелді айнымалы(функция) мен тәуелсіз айнымалының (аргументтің)
арасындағы тәуелділік формулалар арқылы өрнектеледі.
Мысалы, Егер функцяның графигі салынып көрсетілген болса, онда бұл функцяны графиктік тәсілмен берілген деп есептейміз.Функияның графиктік тәсілмен берілуін көрнекілік үшін немесе фукцияны аналитикалық жолмен анықтау мүмкін емес жағдайларды қолданады. f(x) функциясы белгілі бір мән қабылдайтын тәуелсіз айнымалының нақты мәндер жиынын функцияның анықталу облысы D(f(x)), ал анықталу облысынан алынған әрбір тәуелсіз айнымалыға сәйкес табылған функцияның мәндерін оның мәндер жиыны E(f(x)) деп атайды. Демек,Х жиыны функцияның анықталу облысы, Y жиыны функцияның мәндер жиныны болады. Функцияның жоғарыда берілген анықтамасынан сәйкес төмендегі үш жағдайды анықтай білу керек: 1) функияның D(f) анықталу облысын; 2) х пен у мәндері арасындағы ереже немесе заңдылықты; 3) функцияның Е(f) мәндер жиынын. Осыған мысалдар келтірейік. |
1 – мысал.
а) Шешуі: а)
ә)
б)
Жауабы: а) R; (-∞;-3)∩(3;+∞); [0,5;+∞). |
Дескриптор: -1-ші сұраққа жауап береді. 1-балл -2-ші сұраққа жауап береді. 1-балл -3-ші сұраққа жауап береді. 1-балл Әрбір дұрыс жауапка 1 балл қойылады
|
ДК экраны Сұрақтар топтамасы. Оқулық 11-сынып.
|
|
Сабақтың соңы |
2-мысал. y=2cosx-5 функциясының мәндер жиынын табайық. Шешуі. y=cosx функциясының мәндер жиыны [-1;1] кесіндісі екені белгілі. Берілген функцияның мәндер жиынын табу үшін костеңсіздікке көшеміз, яғни -1≤cosx≤1. Енді теңсіздіктің әрбір бөлігін 2-ге көбейтеміз. Сона 2≤2cosx≤2 шығады. Соңғы теңсіздіктің әрбір бөлігіне -5 санын қосамыз: 7≤2cosx-5≤-3. Демек, берілген функцияның мәндер жиыны [-7;-3] кесіндісі. Жауабы: [-7;-3] |
Тапсырмалар: №1 Функцияның анықталу облысын табыңдар:
№2 Функцияның графигін салыңдар: |
Бағалау. Оқушылар бір-бірін ауызша критерий бойынша бағалайды. - Кейбір оқушыларға мұғалім тарапынан кері байланыс беріледі. |
|
Қысқа мерзімді жоспар №11-сабак
|
Ұзақ мерзімді жоспар бөлімі: 10-сыныптағы алгебра және анализ бастамалары курсын қайталау |
Мектеп: |
|
Педагогтің аты-жөні: |
|
|
Күні: |
|
|
Сыныбы: 11 |
Қатысушылар саны: Қатыспағандар саны: |
|
Сабақтың тақырыбы: |
10-11 сыныптағы алгебра және анализ бастамалары курсын қайталау Функцияның шегі және туындысы |
|
Оқу бағдарламасына сәйкес оқу мақсаты |
10.3.1.15 - функцияның аралықта өсуінің (кемуінің)қажетті және жеткілікті шартынбілу және қолдану; 10.3.1.17 - функцияның кризистік нүктелері мен экстремум нүктелерін табу; 10.3.1.12 - функция графигіне жүргізілген жанаманың теңдеуін құрастыру; 10.3.1.18 - туындының көмегімен функция қасиеттерін зерттеу және оның графигін салу; 10.4.1.31. Функция графигінің иілу нүктесінің анықтамасын және функция графигінің аралықтағы дөңестігінің (ойыстығының) қажетті және жеткілікті шартын білу; 10.4.1.32. Функцияграфигініңдөңес (ойыс) аралықтарынтабабілу. |
|
Сабақтың мақсаты: |
- функцияның аралықта өсуінің (кемуінің)қажетті және жеткілікті шартынбілу және қолдану; - функцияның кризистік нүктелері мен экстремум нүктелерін табу; - функция графигіне жүргізілген жанаманың теңдеуін құрастыру; - туындының көмегімен функция қасиеттерін зерттеу және оның графигін салу; Функция графигінің иілу нүктесінің анықтамасын және функция графигінің аралықтағы дөңестігінің (ойыстығының) қажетті және жеткілікті шартын білу; Функцияграфигініңдөңес (ойыс) аралықтарынтабабілу. |
Сабақтың барысы:
|
Сабақ кезеңі/Уақыты |
Оқулықпен жұмыс. |
Оқушының іс-әрекеті |
Бағалау |
Ресурстар |
|
Сабақтың басы |
Оқушылар функцияның өсу және кему белгілеріне мынандай мысалды қарастырайық:
Ал енді келесі мысалға назар аударай |
|
Мұғалім ұйымдастыру кезеңінде белсенділік танытқан оқушыларды «Мадақтау сөз» әдісіарқылы бағалайды: «Жарайсың! Жақсы! Өте жақсы! Талпын!» |
Түрлі түсті қима қағаздар
|
|
Сабақтың ортасы |
Функцияның өсу мен кемуінің жеткілікті шартын берейік:
Ал енді функцияның өсуі мен кемуінің қажеттілік шартын берейік: |
|
Дескриптор: -1-ші сұраққа жауап береді. 1-балл -2-ші сұраққа жауап береді. 1-балл -3-ші сұраққа жауап береді. 1-балл Әрбір дұрыс жауапка 1 балл қойылады
|
ДК экраны Сұрақтар топтамасы. Оқулық 11-сынып.
|
|
Сабақтың соңы |
|
Сабақты аяқтау. Сонымен, оқушылар біз бүгінфункцияның аралықта өсуінің(кемуінің) қажетті және жеткілікті шартын білдік және оны қолдануды үйренедік. Осымен бүгінгі сабағымыз аяқталды, сау болыңыздар! |
Бағалау. Оқушылар бір-бірін ауызша критерий бойынша бағалайды. - Кейбір оқушыларға мұғалім тарапынан кері байланыс беріледі. |
|
Қысқа мерзімді жоспар №12-сабак
|
Ұзақ мерзімді жоспар бөлімі: 10-сыныптағы алгебра және анализ бастамалары курсын қайталау |
Мектеп: |
|
Педагогтің аты-жөні: |
|
|
Күні: |
|
|
Сыныбы: 11 |
Қатысушылар саны: Қатыспағандар саны: |
|
Сабақтың тақырыбы: |
10-11сыныптағы алгебра және анализ бастамалары курсын қайталау Функцияның шегі және туындысы |
|
Оқу бағдарламасына сәйкес оқу мақсаты |
10.3.1.15 - функцияның аралықта өсуінің (кемуінің)қажетті және жеткілікті шартынбілу және қолдану; 10.3.1.17 - функцияның кризистік нүктелері мен экстремум нүктелерін табу; 10.3.1.12 - функция графигіне жүргізілген жанаманың теңдеуін құрастыру; 10.3.1.18 - туындының көмегімен функция қасиеттерін зерттеу және оның графигін салу; 10.4.1.31. Функция графигінің иілу нүктесінің анықтамасын және функция графигінің аралықтағы дөңестігінің (ойыстығының) қажетті және жеткілікті шартын білу; 10.4.1.32. Функцияграфигініңдөңес (ойыс) аралықтарынтабабілу. |
|
Сабақтың мақсаты: |
- функцияның аралықта өсуінің (кемуінің)қажетті және жеткілікті шартынбілу және қолдану; - функцияның кризистік нүктелері мен экстремум нүктелерін табу; - функция графигіне жүргізілген жанаманың теңдеуін құрастыру; - туындының көмегімен функция қасиеттерін зерттеу және оның графигін салу; Функция графигінің иілу нүктесінің анықтамасын және функция графигінің аралықтағы дөңестігінің (ойыстығының) қажетті және жеткілікті шартын білу; Функцияграфигініңдөңес (ойыс) аралықтарынтабабілу. |
Сабақтың барысы:
|
Сабақ кезеңі/Уақыты |
Оқулықпен жұмыс. |
Оқушының іс-әрекеті |
Бағалау |
Ресурстар |
|
Сабақтың басы |
Кайталау сұрақтары:
|
Есептер шығару:
|
Мұғалім ұйымдастыру кезеңінде белсенділік танытқан оқушыларды «Мадақтау сөз» әдісіарқылы бағалайды: «Жарайсың! Жақсы! Өте жақсы! Талпын!» |
Түрлі түсті қима қағаздар
|
|
Сабақтың ортасы |
|
(
|
Дескриптор: -1-ші сұраққа жауап береді. 1-балл -2-ші сұраққа жауап береді. 1-балл -3-ші сұраққа жауап береді. 1-балл Әрбір дұрыс жауапка 1 балл қойылады
|
ДК экраны Сұрақтар топтамасы. Оқулық 11-сынып.
|
|
Сабақтың соңы |
Үй тапсырмасы: Функцияның туындысын табыңдар (Қатесін тап)
1.
2.
3.
4.
|
Сабақты аяқтау.
1.
Сонымен, оқушылар біз бүгінфункцияның аралықта өсуінің(кемуінің) қажетті және жеткілікті шартын білдік және оны қолдануды үйренедік. Осымен бүгінгі сабағымыз аяқталды, сау болыңыздар! |
Бағалау. Оқушылар бір-бірін ауызша критерий бойынша бағалайды. - Кейбір оқушыларға мұғалім тарапынан кері байланыс беріледі. |
|
Қысқа мерзімді жоспар №13-сабак
|
Ұзақ мерзімді жоспар бөлімі: І тарау. Алғашқы функция және интеграл |
Мектеп: |
|
Педагогтің аты-жөні: |
|
|
Күні: |
|
|
Сыныбы: 11 |
Қатысушылар саны: Қатыспағандар саны: |
|
Сабақтың тақырыбы: |
10-11сыныптағы алгебра және анализ бастамалары курсын қайталау Интеграл |
|
Оқу бағдарламасына сәйкес оқу мақсаты |
11.3.1.5 – бөліктеп интегралдау әдісімен интегралды есептеу; |
|
Сабақтың мақсаты: |
бөліктеп интегралдау әдісімен интегралды есептейді; |
Сабақтың барысы:
|
Сабақ кезеңі/Уақыты |
Оқулықпен жұмыс. |
Оқушының іс-әрекеті |
Бағалау |
Ресурстар |
||||||||||||
|
Сабақтың басы |
Тапсырма.Интегралды есептеңіз.
Дескриптор:
|
Тапсырма.Интегралды есептеңіз.
Дескриптор:
|
Мұғалім ұйымдастыру кезеңінде белсенділік танытқан оқушыларды «Мадақтау сөз» әдісіарқылы бағалайды: «Жарайсың! Жақсы! Өте жақсы! Талпын!» |
Түрлі түсті қима қағаздар
|
||||||||||||
|
Сабақтың ортасы |
Сын тұрғысынан ойлау техникасы «Сәйкестендіру» Тапсырма. Интегралдау туындыға кері амал ретінде негізгі анықталмаған интегралдарды жауаптарымен қосыңыз.
Сабақтың тақырыбына шығу Сабақтың мақсатын анықтау Тапсырма-1. Интегралды табыңыз:
1)
3)
6)
8) Дайын жауаптары арқылы тексеру жүргізеді. Деңгейлік тапсырма-2. Топтық жұмыс. А деңгей
В деңгей
С деңгей
Деңгейлік тапсырмаларды орындап болған соң, нәтижелерін бір-бірімен талқылауды ұсыныңыз.
|
Интегралды табыңыз:
1)
2)
3)
4)
5)
6)
7)
8)
9) Жауабы:
1)
2)
3)
4)
5)
6)
7)
8)
9)
Тақтадағы жауаптары бойынша бірін-бірі тексереді.
Интегралды есептеуді жеңілдету үшін жиі айнымалыны енгізуді қолдану тиімді болады. Анықталмаған интегралда интегралдау айнымалысы x тен жаңа айнымалы u –ға көшу
енгізуімен болатын тәсіл жаңа айнымалы енгізу тәсілі деп аталады және келесі түрде жазылады:
формулаларын қолдануды талқылау.
Тапсырма-3. Жұптық жұмыс. Интегралды табыңыз:
Дайын жауаптары арқылы тексеру жүргізеді. Тапсырмаларды оқушылар өз бетімен орындау барысында мұғалім олардың орындау қадамдарындағы қателерін түзетіп, күтілетін нәтижеге бағыттауы керек. |
Дескриптор: -1-ші сұраққа жауап береді. 1-балл -2-ші сұраққа жауап береді. 1-балл -3-ші сұраққа жауап береді. 1-балл
Әрбір дұрыс жауапка 1 балл қойылады
|
ДК экраны
Сұрақтар топтамасы.
Оқулық 11-сынып.
|
||||||||||||
|
Сабақтың соңы |
Рефлексия Сабақ соңында оқушылар сөйлемдерді аяқтап, өз ойын білдіреді:
“бүгінгі сабақтан білгендерім...”; “бүгінгі сабақтан үйренгенім...” “бүгінгі сабақта танысқаным...” “бүгінгі сабақта келесі анықтамалар мен тақырыптарды түсіндім...
|
Үй жұмысы. Интегралды есептеңіз.
2-тапсырма. |
Бағалау. Оқушылар бір-бірін ауызша критерий бойынша бағалайды. - Кейбір оқушыларға мұғалім тарапынан кері байланыс беріледі.
|
|
Қысқа мерзімді жоспар №14-сабак
|
Ұзақ мерзімді жоспар бөлімі: Дәрежелер мен түбірлер. Дәрежелік функция |
Мектеп: |
|
Педагогтің аты-жөні: |
|
|
Күні: |
|
|
Сыныбы: 11 |
Қатысушылар саны: Қатыспағандар саны: |
|
Сабақтың тақырыбы: |
10-11 сыныпты қайталау Иррационал теңдеулер мен олардың жүйелері |
|
Оқу бағдарламасына сәйкес оқу мақсаты |
11.2.2.1 – иррационал теңдеудің анықтамасын білу, оның ММЖ-сін анықтай алу; 11.2.2.2 – теңдеудің екі жағын бірдей n-ші дәрежеге шығару әдісі арқылы иррационал теңдеулерді шеше алу; 11.2.2.3 – айнымалыны алмастыру әдісі арқылы иррационал теңдеулерді шеше алу; 11.2.2.4 - иррационал теңдеулер жүйелерін шеше алу; |
|
Сабақтың мақсаты: |
– иррационал теңдеудің анықтамасын біледі, оның ММЖ-сін анықтай алады; – теңдеудің екі жағын бірдей n-ші дәрежеге шығару әдісі арқылы иррационал теңдеулерді шеше алады; – айнымалыны алмастыру әдісі арқылы иррационал теңдеулерді шеше алады; - иррационал теңдеулер жүйелерін шеше алады; |
Сабақтың барысы:
|
Сабақ кезеңі/Уақыты |
Педагогтың іс әрекеті |
Оқушының іс-әрекеті |
Бағалау |
Ресурстар |
|
Сабақтың басы |
Топтық жұмыс. Оқушыларды топтарға бөлу (4 адам). Мұғалім әр топқа тапсырмалар таратады. 1 топ – бұл топта үлгерімі төмендеу, 2 топ – бұл топта үлгерімі орта, 3 топ– бұл топта үлгерімі жоғары оқушылар.
1-топқа иррационал теңдеуді шешудің тәсілі көрсетілген, теңдеудің екі жағын да бірдей дәрежеге шығару тапсырмасы, 2-топқа жаңа айнымалы енгізу арқылы шешу тапсырмасы, ал 3-топқа теңдеудің берілуіндегі функциялардың ерекшеліктеріне назар аударатын тапсырма беріледі.
Оқушылар тапсырманы шешу жолын постерге орындап, тақтада қорғайды, ал басқа топтар шешімін дәптерге жазады.
Қорғау барысында мұғалім кемшіліктеріне назар аударып, түзетулер жасайды.Мұғалім әрекет етеді: оқушылардың өзін-өзі оқыту орындалу жағдайына. |
Ұйымдастыру: а) оқушылармен амандасу, түгендеу, сынып
бөлмесінің тазалығына көңіл
бөлу Өткен тақырыппен байланысты сұрақтар қою: 1) Х-тің қандай мәндерінде өрнектің мағынасы болады?
2) Квадрат түбірдіңанықтамасынқолданыптеңдеудішешіңдер.
3) Рационалкөрсеткіштідәрежеқасиетінқолданыптеңдеудішешіңдер
Қалыптастырушы бағалау.Жеке жұмыс. Оқушылардың тақырыпты білу және түсіну (Блум таксономиясы бойынша) қаншалықты түсінгенін анықтау мақсатында келесі активити жүргізіледі. Оқушыларға кіші тақталар (Ламинатталған А4 парақтары, whiteboard) таратылады. Мұғалім тұжырымды оқиды, ал оқушылар кіші тақталарға ақиқат болса «Т» әріпін жазады (True), ал жалған болса, «F» әріпін жазады (False) да жоғары көтеріп мұғалімге көрсетеді. Осы активити арқылы қай оқушының тақырыпты игеру деңгейін бақылайды. Мұғалім бес сөйлем оқиды. Критерийлер: Егер оқушы 4-5 сұраққа дұрыс жауап берсе оқушылар оқу мақсатын игергендігі анық. 1.Иррационал теңдеу – айнымалысы квадрат түбірдің астында болатын теңдеу. (ақиқат) 2.
3.
4. 5. Иррационал теңдеулерді шешу кезінде барлық табылған түбірлерді берілген теңдеуге қойып тексеру керек. (ақиқат) |
Мұғалім ұйымдастыру кезеңінде белсенділік танытқан оқушыларды «Мадақтау сөз» әдісіарқылы бағалайды: «Жарайсың! Жақсы! Өте жақсы! Талпын!» |
Түрлі түсті қима қағаздар
|
|
Сабақтың ортасы |
Есептер: 1) теңдеудің екі жағында алтыншы дәрежеге алайық:
Енді түбірлерді тексерейік. Шыққан сандарды х-тің орнына коямыз: Тексеру: х=1
болғанда x=6-ны
қойғанда 2)
Тексеру: түбірлерді х-тің орнына қоймай-ақ тексеруге болады, яғни теңдеудің он жағына назар аударсақ, х - 7 > 0 болу керек, яғни х > 7 орындалу керек (өйткені түбірдің дәрежесі жұп). Сондықтан, берілген теңдеудің түбірі х=11. 3)
Берілген теңдеудің екі жағында үшінші дәрежеге алдық. Кубтық теңдеу болғандықтан, үш түбір шықты. Дәреже тақ болғандықтан, тексеру керегі жоқ: өйткені теңдеудің екі жағын дәрежелегенде, берілген теңдеуге мәндес теңдеу шықты. Сонымен жауабы: х1=0; х2=2; х3=-1.
Құндылықтарды дарыту: бірін-бірі тындау, өз пікірін айта білу, жауапкершілік Теңдеулерді шешіңіз:
Бұл есептердің соңғы үшеуін дифференциация ретінде тезірек шығарғын оқушыларға беруге болады. Кейбір жұптарды тақтаға шығарып, оларды шығару жолдарын талдап беруге сұрауға болады. Кері байланыс: -қай теңдеу қиынырақ болды? - неліктен? - кім бірінші(басқа да) есептін шығару жолын айтып береді? - иррационал теңдеуді шығару үшін нені білу керек? - қандай айырмашылық бар: жұп дәрежелі немесе тақ дәрежелі түбірі бар теңдеулердің шығару жолында? Қосымша 1
Оқушыларға мұғалім тарапынан кері байланыс беріледі. |
А – деңгей.
1. Теңдеуді
шешіңіз:
2. Теңдеуді
шешіңіз:
3. Теңдеуді
шешіңіз: В – деңгей.
4.
А) [3;21); B) [3;21]; C) [0; 20]; D) (21;30); E) (-28;21).
5. Теңдеуді
шешіңіз:
6. Теңдеуді
шешіңіз: С – деңгей. 7. Теңдеудің үлкен түбірін табыңыз:
Келесі тапсырманың шешуін қарастырыңыз. Мысал 1.
Шешуі:
«Миға
шабуыл»стратегиясын қолданып, оқушыларға жұпта Бірінші тәсіл. Теңдеудің екі жағын кубқа шығару. Екінші тәсіл. Екі айнымалыны еңгізіп, бастапқы теңдеуді теңдеулер жүйесіне келтіру.
Теңдеуді
Теңдеуден теңдеулер
жүйесіне келтіріп, шешуге болады:
Жауабы:
Практикалық бөлім Есептер шығару Жұптық жұмыс
Тапсырма 1.
Тапсырма 2.
Тапсырма 3.
Тапсырма
4.
Қиындық келтірген есептер тақтада талданады Қосымша есептер |
Дескриптор: -1-ші сұраққа жауап береді. 1-балл -2-ші сұраққа жауап береді. 1-балл -3-ші сұраққа жауап береді. 1-балл Әрбір дұрыс жауапка 1 балл қойылады
|
ДК экраны Сұрақтар топтамасы. Оқулық 11-сынып.
|
|
Сабақтың соңы |
Үй жұмысы: Есептер қиықшаларда
беріледі) |
Сабақ соңында оқушылар рефлексия жүргізеді: - нені білдім, нені үйрендім - нені толық түсінбедім - немен жұмысты жалғастыру қажет Оқушылар өздерінің жұмысы мен сыныптастарының жұмысын белгілі бір критерийлер бойынша бағалай алады |
Бағалау. Оқушылар бір-бірін ауызша критерий бойынша бағалайды. - Кейбір оқушыларға мұғалім тарапынан кері байланыс беріледі. |
|
Қысқа мерзімді жоспар №15-сабак
|
Ұзақ мерзімді жоспар бөлімі: Дәрежелер мен түбірлер. Дәрежелік функция |
Мектеп: |
|
Педагогтің аты-жөні: |
Умбетова Меруерт Мирзамидиновна |
|
Күні: |
|
|
Сыныбы: 11 |
Қатысушылар саны: Қатыспағандар саны: |
|
Сабақтың тақырыбы: |
10-11сынып қайталау. Иррационал теңсіздіктер |
|
Оқу бағдарламасына сәйкес оқу мақсаты |
11.2.2.5 – иррационал теңсіздіктерді шеше алу; |
|
Сабақтың мақсаты: |
– иррационал теңсіздіктерді шеше алады; |
Сабақтың барысы:
|
Сабақ кезеңі/Уақыты |
Педагогтың іс әрекеті |
Оқушының іс-әрекеті |
Бағалау |
Ресурстар |
||||||
|
Сабақтың басы |
І. Ұйымдастыру
ІІ. Үй жүмысын тексеру. 1) 2) 3) |
|
Мұғалім ұйымдастыру кезеңінде белсенділік танытқан оқушыларды «Мадақтау сөз» әдісіарқылы бағалайды: «Жарайсың! Жақсы! Өте жақсы! Талпын!»
|
Түрлі түсті қима қағаздар
|
||||||
|
Сабақтың ортасы
|
. Теңсіздік шешу әдістерін қайталау. ІІ. Есеп шығару.
ж) ІІ. Оқулықпен жұмыс. (Шыныбеков А.Н.)
|
|
Дескриптор: -1-ші сұраққа жауап береді. 1-балл -2-ші сұраққа жауап береді. 1-балл -3-ші сұраққа жауап береді. 1-балл
Әрбір дұрыс жауапка 1 балл қойылады
|
ДК экраны
Сұрақтар топтамасы.
Оқулық 11-сынып.
|
||||||
|
Сабақтың соңы |
Рефлексия - нені білдім, нені үйрендім - нені толық түсінбедім - немен жұмысты жалғастыру қажет Үйге тапсырмасы. № 143 а)
б)
|
Жұптық жұмыс 1. Теңсіздіктің шешімін табыңыз: а)
2. Теңсіздіктің ең кіші
бүтін шешімін табыңыз:
Дескриптор:
|
Бағалау. Оқушылар бір-бірін ауызша критерий бойынша бағалайды. - Кейбір оқушыларға мұғалім тарапынан кері байланыс беріледі.
|
|
Қысқа мерзімді жоспар №16-сабак
|
Ұзақ мерзімді жоспар бөлімі: Көрсеткіштік және логарифмдік теңдеулер мен теңсіздіктер |
Мектеп: |
|
Педагогтің аты-жөні: |
|
|
Күні: |
|
|
Сыныбы: 11 |
Қатысушылар саны: Қатыспағандар саны: |
|
Сабақтың тақырыбы: |
10-11 сыныптарды қайталау. Көрсеткіштік теңдеулер және олардың жүйелері |
|
Оқу бағдарламасына сәйкес оқу мақсаты |
11.2.2.6-көрсеткіштік теңдеулерді шешу әдістерін білу және қолдану; 11.2.2.7-көрсеткіштік теңдеулер жүйелерін шеше білу; |
|
Сабақтың мақсаты: |
-көрсеткіштік теңдеулерді шешу әдістерін біледі және қолданады;-көрсеткіштік теңдеулер жүйелерін шеше біледі; |
Сабақтың барысы:
|
Сабақ кезеңі/Уақыты |
Мұғалімнің іс-әрекеті |
Оқушының іс-әрекеті |
Бағалау |
Ресурстар |
|
Сабақтың басы |
І. Ұйымдастыру кезеңі Сабақ басында: - оқушылардың зейінін шоғырландыруға - оқушылармен бірге сабақ мақсаттарын/ОМ анықтап алуға - оқушылардың «жақын даму аймағын», сабақ соңында күтілетін нәтижелерді анықтауға көңіл бөлу қажет |
|
Мұғалім ұйымдастыру кезеңінде белсенділік танытқан оқушыларды «Мадақтау сөз» әдісіарқылы бағалайды: «Жарайсың! Жақсы! Өте жақсы! Талпын!» |
Түрлі түсті қима қағаздар
|
|
Сабақтың ортасы |
|
|
Дескриптор: -1-ші сұраққа жауап береді. 1-балл -2-ші сұраққа жауап береді. 1-балл -3-ші сұраққа жауап береді. 1-балл Әрбір дұрыс жауапка 1 балл қойылады
|
ДК экраны Сұрақтар топтамасы. Оқулық 11-сынып.
|
|
Сабақтың соңы |
|
Құмырсқа» әдісі бойынша оқушылардың оқу мақсатына жету деңгейлері анықталады. Оқушылар стикерге бүгінгі сабақ бойынша түсініксіз болған бір сұрақты жазады. Егер оқушыларды қиындық туындаған сұрақтар болмаса, олар өз сыныптастарына сұрақтар қоюларына болады. Оқушылардың сұрақ жауаптарынан кейін мұғалім оқушыларға кері байланыс береді. Сабақ соңында оқушылар рефлексия жүргізеді: - ненібілдім, неніүйрендім - ненітолықтүсінбедім - немен жұмыстыжалғастыруқажет Үйтапсырмасытаратпа материал |
Бағалау. Оқушылар бір-бірін ауызша критерий бойынша бағалайды. - Кейбір оқушыларға мұғалім тарапынан кері байланыс беріледі. |
|
Қысқа мерзімді жоспар №17-сабак
|
Ұзақ мерзімді жоспар бөлімі: Көрсеткіштік және логарифмдік теңдеулер мен теңсіздіктер |
Мектеп: |
|
Педагогтің аты-жөні: |
Умбетова Меруерт Мирзамидиновна |
|
Күні: |
|
|
Сыныбы: 11 |
Қатысушылар саны: Қатыспағандар саны: |
|
Сабақтың тақырыбы: |
10-11 сыныптарды қайталау.Көрсеткіштік теңдеулер және олардың жүйелері |
|
Оқу бағдарламасына сәйкес оқу мақсаты |
11.2.2.6-көрсеткіштік теңдеулерді шешу әдістерін білу және қолдану; 11.2.2.7-көрсеткіштік теңдеулер жүйелерін шеше білу; |
|
Сабақтың мақсаты: |
-көрсеткіштік теңдеулерді шешу әдістерін біледі және қолданады;-көрсеткіштік теңдеулер жүйелерін шеше біледі; |
Сабақтың барысы:
|
Сабақ кезеңі/Уақыты |
Мұғалімнің іс-әрекеті |
Оқушының іс-әрекеті |
Бағалау |
Ресурстар |
|
Сабақтың басы |
|
|
Мұғалім ұйымдастыру кезеңінде белсенділік танытқан оқушыларды «Мадақтау сөз» әдісіарқылы бағалайды: «Жарайсың! Жақсы! Өте жақсы! Талпын!» |
Түрлі түсті қима қағаздар
|
|
Сабақтың ортасы |
|
|
Дескриптор: -1-ші сұраққа жауап береді. 1-балл -2-ші сұраққа жауап береді. 1-балл -3-ші сұраққа жауап береді. 1-балл Әрбір дұрыс жауапка 1 балл қойылады
|
ДК экраны Сұрақтар топтамасы. Оқулық 11-сынып.
|
|
Сабақтың соңы |
|
|
Бағалау. Оқушылар бір-бірін ауызша критерий бойынша бағалайды. - Кейбір оқушыларға мұғалім тарапынан кері байланыс беріледі. |
|
Қысқа мерзімді жоспар №18-сабак
|
Ұзақ мерзімді жоспар бөлімі: Көрсеткіштік және логарифмдік теңдеулер мен теңсіздіктер |
Мектеп: |
|
Педагогтің аты-жөні: |
Умбетова Меруерт Мирзамидиновна |
|
Күні: |
|
|
Сыныбы: 11 |
Қатысушылар саны: Қатыспағандар саны: |
|
Сабақтың тақырыбы: |
10-11 сыныптарды қайталау.Логарифмдік теңдеулер және олардың жүйелері |
|
Оқу бағдарламасына сәйкес оқу мақсаты |
11.2.2.8- логарифмдік теңдеулерді шешу әдістерін білу және қолдану; 11.2.2.9- логарифмдік теңдеулер жүйелерін шеше білу; |
|
Сабақтың мақсаты: |
- логарифмдік теңдеулерді шешу әдістерін біледі және қолданады; - логарифмдік теңдеулер жүйелерін шеше біледі; |
Сабақтың барысы:
Қысқа мерзімді жоспар №19-сабак
|
Ұзақ мерзімді жоспар бөлімі: Комплекс сандар |
Мектеп: |
|
Педагогтің аты-жөні: |
Умбетова Меруерт Мирзамидиновна |
|
Күні: |
|
|
Сыныбы: 11 |
Қатысушылар саны: Қатыспағандар саны: |
|
Сабақтың тақырыбы: |
10-11 сыныпты қайталау.Алгебралық түрдегі комплекс сандарға амалдар қолдану |
|
Оқу бағдарламасына сәйкес оқу мақсаты |
11.1.2.1- алгебралық түрде берілген комплекс сандарға арифметикалық амалдар қолдану; 11.1.2.2-алгебралық түрдегі комплекс санды түтін дәрежеге шығарғанда in мәнінің заңдылығын қолдану; 11.1.2.3-комплекс санның квадрат түбірін таба алу; |
|
Сабақтың мақсаты: |
- алгебралық түрде берілген комплекс сандарға арифметикалық амалдар қолданады;-алгебралық түрдегі комплекс санды түтін дәрежеге шығарғанда in мәнінің заңдылығын қолданады; 11.1.2.3-комплекс санның квадрат түбірін таба алады; |
Сабақтың барысы:
|
Сабақ кезеңі/Уақыты |
Оқулықпен жұмыс. |
Оқушының іс-әрекеті |
Бағалау |
Ресурстар |
||||||||||||
|
Сабақтың басы |
Мұғалім оқушыларға бейне ресурсты көруді ұсынады:https://www.youtube.com/watch?v=jUA3600ztTc&t=223s Мұғалім оқушыларға жаңа материалды түсіндіреді. Берілген комплекс саннан квадрат түбір табу үшін тізбектелген нұсқау жасайды. |
Оқушылар жұппен жұмыс
жасайды және
|
Мұғалім ұйымдастыру кезеңінде белсенділік танытқан оқушыларды «Мадақтау сөз» әдісіарқылы бағалайды: «Жарайсың! Жақсы! Өте жақсы! Талпын!» |
|||||||||||||
|
Сабақтың ортасы |
Жаңасабақтыигеру. Есеп
1. Шешуі.
Жүйеніңекі нақты шешімі
бар: Жауабы:
Есеп2.
Есептеңіз:
Шешуі. Бұл тек екікомплекс санныңнақтыжәнежорамалбөліктерібір-бірінетеңболғандағанамүмкін:
Жауабы: |
Тапсырма 3.Табыңыздар:
Тапсырма 4.Алгебралық түрде берілген комплекс саннан квадрат түбірді шығарыңыз:
Жауаптары:
c)
d)
f)
g)
1-ші қосымша Келесітапсырманың(27-36) мысалдарыншешіңіздер. Тапсырма. Комплекс сан түбірінің барлық мәндерін табыңыздар.
20)
24)
28)
32)
35) |
Дескриптор: -1-ші сұраққа жауап береді. 1-балл -2-ші сұраққа жауап береді. 1-балл -3-ші сұраққа жауап береді. 1-балл
Әрбір дұрыс жауапка 1 балл қойылады
|
ДК экраны
Сұрақтар топтамасы.
Оқулық 11-сынып.
|
||||||||||||
|
Сабақтың соңы |
Сабақтың басында қалыптасқан табыс критерийлерін талдай отырып, оқушылар өз жұмысының қорытындысын өз бетінше шығарады . Мұғалім оқушылар жұмысының белгілі бір сәттеріне назар аудара отырып, олардың қызметінің өнімділігіне, жұмысқа қабілеттілігін жақсарту бойынша ұсыныстарға өз бағасын береді. Рефлексия. Оқушылар оқылған материалдың күрделілік деңгейі, бекітуді талап ететін негізгі сәттер туралы пікір айтады . Сондай-ақ оқу сабағы соңында өз білімдерін бағалайды. |
Әрбіроқушышешудағдысынжетілдіруүшінтоптыңтізімібойыншаоныңреттікнөмірінесәйкескелетінмысалнөмірінжәнеекіеселенгеннөмірді (әрнөмірденекімысалдан) таңдайды. Мысалы:Кәрімовтізімбойынша 7-ші , онда1-шіқосымшаныңәрбірнөмірінен 7 және 14 мысалдыорындайды. Тапсырма 6.Комплекс сан түбірінің барлық мәндерін табыңыздар.
1)
|
Бағалау. Оқушылар бір-бірін ауызша критерий бойынша бағалайды. - Кейбір оқушыларға мұғалім тарапынан кері байланыс беріледі.
|
|
Қысқа мерзімді жоспар №20-сабак
|
Ұзақ мерзімді жоспар бөлімі: Комплекс сандар |
Мектеп: |
|
Педагогтің аты-жөні: |
|
|
Күні: |
|
|
Сыныбы: 11 |
Қатысушылар саны: Қатыспағандар саны: |
|
Сабақтың тақырыбы: |
10-11 сыныптарды қайталау.Алгебралық түрдегі комплекс сандарға амалдар қолдану |
|
Оқу бағдарламасына сәйкес оқу мақсаты |
11.1.2.1- алгебралық түрде берілген комплекс сандарға арифметикалық амалдар қолдану; 11.1.2.2-алгебралық түрдегі комплекс санды түтін дәрежеге шығарғанда in мәнінің заңдылығын қолдану; 11.1.2.3-комплекс санның квадрат түбірін таба алу; |
|
Сабақтың мақсаты: |
- алгебралық түрде берілген комплекс сандарға арифметикалық амалдар қолданады;-алгебралық түрдегі комплекс санды түтін дәрежеге шығарғанда in мәнінің заңдылығын қолданады; 11.1.2.3-комплекс санның квадрат түбірін таба алады; |
Сабақтың барысы:
|
Сабақ кезеңі/Уақыты |
Оқулықпен жұмыс. |
Оқушының іс-әрекеті |
Бағалау |
Ресурстар |
||||||||||||||||||||||||||||||||||||||
|
Сабақтың басы |
оқушылардың білімін бақылау және түзету, шешім тәсілін талқылау кезінде жіберілген қателіктерге байланысты сабақ барысы, кері байланыс ( ауызша- түсініктеме, жазбаша– тақтадағы немесе студенттің дәптеріне белгі қою ). |
Әрбір оқушы шешу дағдысын жетілдіру үшін топтың тізімі бойынша оның реттік нөміріне сәйкес келетін мысал нөмірін таңдайды.
|
Мұғалім ұйымдастыру кезеңінде белсенділік танытқан оқушыларды «Мадақтау сөз» әдісіарқылы бағалайды: «Жарайсың! Жақсы! Өте жақсы! Талпын!» |
Түрлі түсті қима қағаздар
|
||||||||||||||||||||||||||||||||||||||
|
Сабақтың ортасы |
Тапсырма 1. Комплекс сандарберілген:
Топтық жұмыс. оқушылардың білімін бақылау және түзету, шешім тәсілін талқылау кезінде жіберілген қателіктерге байланысты сабақ барысы, кері байланыс ( ауызша- түсініктеме, жазбаша– тақтадағы немесе студенттің дәптеріне белгі қою ). Қажетті әдістемелік көмек көрсетеді. Тапсырмалар шешімін ресімдеу үлгісін ұсынады. Тапсырма
3. Есептеңіздер. Шешуі. Дәлелденген түбірлер формуласын қолданайық. Мұнда
Жауабы:
Салдар.
Дәлелдеуі.
Тапсырма 4.
Есептеңіз:
Шешуі. Дәлелденген салдарды
қолданамыз:
Оқушылардың іс- әрекеті-оқушылар жеке жұмыс жасайды және Тапсырма 5. Квадрат түбірлерді есептеңіздер:
Тапсырма 6.
Егер Тапсырма 7. Теңдеулердің барлық шешімдерін табыңыздар:
|
Оқушылар 4 топқа бөлініп, әр топ бір есептен шығарады. «Галерея» әдісімен бірін-бірі тексереді, «Бағдаршам» тәсілімен бірін-бірі бағалайды. апсырма 2. Есептеңіздер:
-тің кез келген нақты мәні
үшін Теорема.
мұнда жақша ішіндегі квадрат түбірлер оң сандардан алынған арифметикалық квадрат түбірлер болады.
Дәлелдеуі. Комплекс саннан
бір-біріне қарама-қарсы болатындай екі түбір шығатыны
белгілі. немесе
Осы жүйенің әрбір теңдеуін квадраттайық:
Екінші теңдеуді біріншісіне қосайық:
Мұнда
Теңдеудің екі түбірі де оң
мәндер қабылдайды, өйткені
Енді түбірлердің алдындағы таңбаларды дұрыс таңдау қалды. (2) теңдіктерінен
|
Дескриптор: -1-ші сұраққа жауап береді. 1-балл -2-ші сұраққа жауап береді. 1-балл -3-ші сұраққа жауап береді. 1-балл
Әрбір дұрыс жауапка 1 балл қойылады
|
ДК экраны
Сұрақтар топтамасы.
Оқулық 11-сынып.
|
||||||||||||||||||||||||||||||||||||||
|
Сабақтың соңы |
Үйтапсырмасы. Таңдаған әдістердің көмегімен тапсырмаларды орындаңыздар. Тапсырма 8. Квадрат түбірлерді есептеңіздер:
Тапсырма 9. Теңдеулердің барлық шешімдерін табыңыздар:
|
Сабақтың басында қалыптасқан табыс критерийлерін талдай отырып, оқушылар өз жұмысының қорытындысын өз бетінше шығарады . Мұғалім оқушылар жұмысының белгілі бір сәттеріне назар аудара отырып, олардың қызметінің өнімділігіне, жұмысқа қабілеттілігін жақсарту бойынша ұсыныстарға өз бағасын береді. Рефлексия. Оқушылар оқылған материалдың күрделілік деңгейі, бекітуді талап ететін негізгі сәттер туралы пікір айтады . Сондай-ақ оқу сабағы соңында өз білімдерін бағалайды. |
Бағалау. Оқушылар бір-бірін ауызша критерий бойынша бағалайды. - Кейбір оқушыларға мұғалім тарапынан кері байланыс беріледі.
|
|
Қысқа мерзімді жоспар №21-сабак
|
Ұзақ мерзімді жоспар бөлімі: Комплекс сандар |
Мектеп: |
|
Педагогтің аты-жөні: |
|
|
Күні: |
|
|
Сыныбы: 11 |
Қатысушылар саны: Қатыспағандар саны: |
|
Сабақтың тақырыбы: |
10-11 сыныптарды қайталау.Квадрат теңдеулердің комплекс түбірлері |
|
Оқу бағдарламасына сәйкес оқу мақсаты |
11.1.2.4-квадрат теңдеулерді комплекс сандар жиынында шешу; |
|
Сабақтың мақсаты: |
-квадрат теңдеулерді комплекс сандар жиынында шешеді; |
Сабақтың барысы:
|
Сабақ кезеңі/Уақыты |
Оқулықпен жұмыс. |
Оқушының іс-әрекеті |
Бағалау |
Ресурстар |
|
Сабақтың басы |
Оқушылармен амандасып, сабақтыңтақырыбымен, мақсатымен және күтілетін нәтижелерімен таныстыру. Үйге берілген тапсырмаларды тексеру. Шолу сұрақтары: - алгебралық түрде ұсынылған комплекс санды квадрат түбірден қалай шығарамыз, ережесін айтыңыз және формуласын жазып көрсетіңіз. - мысал келтіріңіз, шығарылу жолын басқа оқушылардан сұрап көріңіз. |
|
Мұғалім ұйымдастыру кезеңінде белсенділік танытқан оқушыларды «Мадақтау сөз» әдісіарқылы бағалайды: «Жарайсың! Жақсы! Өте жақсы! Талпын!» |
Түрлі түсті қима қағаздар
|
|
Сабақтың ортасы |
|
Мысал 1:
Мысал 2:
Есептер шығару:
Есеп:
Жауабы : .
|
Дескриптор: -1-ші сұраққа жауап береді. 1-балл -2-ші сұраққа жауап береді. 1-балл -3-ші сұраққа жауап береді. 1-балл Әрбір дұрыс жауапка 1 балл қойылады
|
ДК экраны Сұрақтар топтамасы. Оқулық 11-сынып.
|
|
Сабақтың соңы |
|
Үйге тапсырма:
а)
б)
|
Бағалау. Оқушылар бір-бірін ауызша критерий бойынша бағалайды. - Кейбір оқушыларға мұғалім тарапынан кері байланыс беріледі. |
|
шағым қалдыра аласыз
дифференциалдықтеңдеуіберілген.










теңдеуінің түбірі бола алады
ма?

.

.




.


















түрінде болады.





























– суу жылдамдығы;

;
, где
;
.
.
.
бактериялардыңкөбейюжылдамдығыжәнебұлшамаоңболады,
себебі










жылдамдығыжәнебұлшаматерісболады,себебі
Жауабы:
Жауабы:



,
,

,


или 


,

.




























































































–нақтысандар). Онда
.
.
.






















.
.




. 
.


.
.
.
.
































