Алгебра пәнінін 2-тоқсанға жиынтақ бағалаудың тапсырмалары
9-<< >> Сынып оқушысы ________________________Мерзімі_____
I - НҰСҚА
;
2. Арифметикалық прогрессияның бірінщі мүшесі 4- ке тең айырмасы 6,7 – ке тең
а ) осы прогрессияның 16 шы мүшесін табыңыз
б ) осы прорессияның алғашғы 53 мүшесінің ғосындысын табыңз,
3. а ) Егер ( bn )геометриялық прогресстяда b2=25;,b3=30 болса онда 3,-ді табыңыз
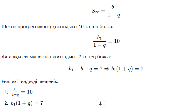
б ) Шексіз кемімелі прогрессияның қосындысы 10-ға , ал алғашы екі мүшемінің қосындысы 7 - ке тең болсы онда геометриялық прогрессияның ееліін табыыңыз
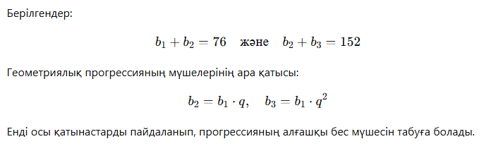
4. Геометрилық прогрессияда b1+b276; b2+b3=152 Прогрессияның алғашқы бес мүшесін табыңыз,
5, 14дан бастап 86 ге дейінді тақ сандардың қосындысын табығдар,
\
Алгебра пәнінін 2-тоқсанға жиынтақ бағалаудың тапсырмалары
9-<< >> Сынып оқушысы ________________________Мерзімі_____
II - НҰСҚА
;
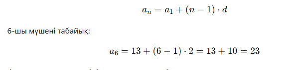
2. Арифметикалық прогрессияның бірінщі мүшесі 13- ке тең айырмасы 2 – ке тең
а ) осы прогрессияның 6 шы мүшесін табыңыз
б ) осы прорессияның алғашғы 42 мүшесінің ғосындысын табыңз,
3. а ) Егер ( bn )геометриялық прогресстяда b2=42;,b3=633 болса онда 3,-ді табыңыз
б ) Шексіз кемімелі прогрессияның қосындысы 10-ға , ал алғашы екі мүшемінің қосындысы 7 - ке тең болсы онда геометриялық прогрессияның ееліін табыыңыз
4. Геометрилық прогрессияда b1+b2=50; b2+b3=100 Прогрессияның алғашқы бес мүшесін табыңыз,
5, 26 дан бастап 108 ге дейінді жүп сандардың қосындысын табығдар,
І- НҰСҚА
1, Тізбектің n-ші мүшесінің формуласы:

Тізбектің жалпы көрінісін анықтау үшін, тізбек бойынша өзгерістерді бақылау қажет. Бұл жағдайда әрбір мүшенің числителі мен знаменателі бойынша бөлінген ұлғайту үлесі анықталады. Тізбек екі рет өсу және кему түрінде алмасады, бірақ нақты формуланы табу үшін қосымша ақпарат керек.
2, Арифметикалық прогрессия:
а) 16-шы мүшесін табу:

б)
Алғашқы 53 мүшесінің
қосындысы: 
-
Геометриялық прогрессия:

б) Шексіз кемімелі прогрессияның қосындысы 10-ға, ал алғашқы екі мүшелерінің қосындысы 7-ге тең. Геометриялық прогрессияның ортақ көбейткіші qqq-ні табу қажет.
Геометриялық прогрессияның қосындысы мына формуламен есептеледі:

Бірінші теңдеуден b1=10(1−q)b_1 = 10(1 - q)b1=10(1−q) болады. Бұл мәнді екінші теңдеуіне қойып, qqq-ді табамыз
4, Геометриялық прогрессияның алғашқы бес мүшесі:

5, 14-тан бастап 86-ға дейінгі тақ сандардың қосындысы:
Тақ сандар тізбегі 15, 17, 19, ..., 85 болып табылады. Бұл арифметикалық прогрессия:
-
Бірінші мүшесі a1=15a_1 = 15a1=15,
-
Айырмасы d=2d = 2d=2,
-
Соңғы мүшесі an=85a_n = 85an=85.
Алдымен, nnn-ды табайық:

5
II – НҰСҚА
Тізбектің n-ші мүшесінің
формуласы: 
-
26 2, Арифметикалық прогрессия:
а) 6-шы мүшені табу:
Арифметикалық прогрессияның бірінші мүшесі a1=13a_1 = 13a1=13 және айырмасы d=2d = 2d=2. 6-шы мүшені табу үшін формула қолданылады:

б) Алғашқы 42 мүшесінің қосындысын табу:
Арифметикалық прогрессияның алғашқы nnn-шы мүшелерінің қосындысы мына формуламен есептеледі:

3 ГГеометриялық
прогрессия: 

Геометриялық прогрессияның
алғашқы бес мүшесін табу:

жүктеу мүмкіндігіне ие боласыз
Бұл материал сайт қолданушысы жариялаған. Материалдың ішінде жазылған барлық ақпаратқа жауапкершілікті жариялаған қолданушы жауап береді. Ұстаз тілегі тек ақпаратты таратуға қолдау көрсетеді. Егер материал сіздің авторлық құқығыңызды бұзған болса немесе басқа да себептермен сайттан өшіру керек деп ойласаңыз осында жазыңыз
Алгебра пәнінін 2-тоқсанға жиынтақ бағалаудың тапсырмалары ( 2-нұсқа жауаптары мен )
Алгебра пәнінін 2-тоқсанға жиынтақ бағалаудың тапсырмалары
9-<< >> Сынып оқушысы ________________________Мерзімі_____
I - НҰСҚА
;
2. Арифметикалық прогрессияның бірінщі мүшесі 4- ке тең айырмасы 6,7 – ке тең
а ) осы прогрессияның 16 шы мүшесін табыңыз
б ) осы прорессияның алғашғы 53 мүшесінің ғосындысын табыңз,
3. а ) Егер ( bn )геометриялық прогресстяда b2=25;,b3=30 болса онда 3,-ді табыңыз
б ) Шексіз кемімелі прогрессияның қосындысы 10-ға , ал алғашы екі мүшемінің қосындысы 7 - ке тең болсы онда геометриялық прогрессияның ееліін табыыңыз
4. Геометрилық прогрессияда b1+b276; b2+b3=152 Прогрессияның алғашқы бес мүшесін табыңыз,
5, 14дан бастап 86 ге дейінді тақ сандардың қосындысын табығдар,
\
Алгебра пәнінін 2-тоқсанға жиынтақ бағалаудың тапсырмалары
9-<< >> Сынып оқушысы ________________________Мерзімі_____
II - НҰСҚА
;
2. Арифметикалық прогрессияның бірінщі мүшесі 13- ке тең айырмасы 2 – ке тең
а ) осы прогрессияның 6 шы мүшесін табыңыз
б ) осы прорессияның алғашғы 42 мүшесінің ғосындысын табыңз,
3. а ) Егер ( bn )геометриялық прогресстяда b2=42;,b3=633 болса онда 3,-ді табыңыз
б ) Шексіз кемімелі прогрессияның қосындысы 10-ға , ал алғашы екі мүшемінің қосындысы 7 - ке тең болсы онда геометриялық прогрессияның ееліін табыыңыз
4. Геометрилық прогрессияда b1+b2=50; b2+b3=100 Прогрессияның алғашқы бес мүшесін табыңыз,
5, 26 дан бастап 108 ге дейінді жүп сандардың қосындысын табығдар,
І- НҰСҚА
1, Тізбектің n-ші мүшесінің формуласы:

Тізбектің жалпы көрінісін анықтау үшін, тізбек бойынша өзгерістерді бақылау қажет. Бұл жағдайда әрбір мүшенің числителі мен знаменателі бойынша бөлінген ұлғайту үлесі анықталады. Тізбек екі рет өсу және кему түрінде алмасады, бірақ нақты формуланы табу үшін қосымша ақпарат керек.
2, Арифметикалық прогрессия:
а) 16-шы мүшесін табу:

б)
Алғашқы 53 мүшесінің
қосындысы: 
-
Геометриялық прогрессия:

б) Шексіз кемімелі прогрессияның қосындысы 10-ға, ал алғашқы екі мүшелерінің қосындысы 7-ге тең. Геометриялық прогрессияның ортақ көбейткіші qqq-ні табу қажет.
Геометриялық прогрессияның қосындысы мына формуламен есептеледі:

Бірінші теңдеуден b1=10(1−q)b_1 = 10(1 - q)b1=10(1−q) болады. Бұл мәнді екінші теңдеуіне қойып, qqq-ді табамыз
4, Геометриялық прогрессияның алғашқы бес мүшесі:

5, 14-тан бастап 86-ға дейінгі тақ сандардың қосындысы:
Тақ сандар тізбегі 15, 17, 19, ..., 85 болып табылады. Бұл арифметикалық прогрессия:
-
Бірінші мүшесі a1=15a_1 = 15a1=15,
-
Айырмасы d=2d = 2d=2,
-
Соңғы мүшесі an=85a_n = 85an=85.
Алдымен, nnn-ды табайық:

5
II – НҰСҚА
Тізбектің n-ші мүшесінің
формуласы: 
-
26 2, Арифметикалық прогрессия:
а) 6-шы мүшені табу:
Арифметикалық прогрессияның бірінші мүшесі a1=13a_1 = 13a1=13 және айырмасы d=2d = 2d=2. 6-шы мүшені табу үшін формула қолданылады:

б) Алғашқы 42 мүшесінің қосындысын табу:
Арифметикалық прогрессияның алғашқы nnn-шы мүшелерінің қосындысы мына формуламен есептеледі:

3 ГГеометриялық
прогрессия: 

Геометриялық прогрессияның
алғашқы бес мүшесін табу:

шағым қалдыра аласыз


