Сабақ жоспары
|
Бөлім: |
10.3А Көпмүшелер |
||||||||||||
|
Педагогтің Тегі, Аты,Әкесінің аты |
Хутпудинова Хеличям Османовна |
||||||||||||
|
Пән/Сынып: |
10 сынып, ЖМБ. Қатысқандары саны: Қатыспағандар саны: |
||||||||||||
|
Күні: |
09 01 2025ж |
||||||||||||
|
Сабақтың тақырыбы: |
Бірнеше айнымалысы бар көпмүшелер және олардың стандарт түрі. |
||||||||||||
|
Оқу бағдарламасына сәйкес оқыту мақсаты: |
10.2.1.1 - бірнеше айнымалысы бар көпмүшенінің анықтамасын білу және оны стандарт түрге келтіру, стандарт түрдегі көпмүшенің дәрежесін анықтау |
||||||||||||
|
Сабақтың мақсаты: |
|
||||||||||||
|
Құндылықтарды дарыту |
«Жалпыға бірдей еңбек қоғамы» құндылығына: топпен, жұппен жұмыс орындау барысында құрмет, серіктестік және жеке жұмыс орындау кезінде жауапкершілік, үздіксіз оқу құндылықтарын дарыту. |
||||||||||||
|
Сабақтың барысы: |
|||||||||||||
|
Уақыты |
Кезең дері |
Педагогтің әрекеті |
Оқушының әрекеті |
Бағалау |
Ресурстар |
||||||||
|
5 минут |
Ұйымдас тыру |
Сәлеметсіздерме! Бүгін, Бірнеше айнымалысы бар көпмүшелер және олардың стандарт түрі тақырыбын қарастырамыз. Бүгінгі сабақта меңгеретініңіз: - бірнеше айнымалысы бар көпмүшенінің анықтамасын білу және оны стандарт түрге келтіру, стандарт түрдегі көпмүшенің дәрежесін анықтау Ұйымдастыру. Үй жұмысын тексеру. |
Амандасады. Үй тапсырмасын айтады. |
|
Оқулық |
||||||||
|
10 мин |
Негізгі бөлім |
Тақырып: «Бірнеше айнымалысы бар көпмүшелер және олардың стандарт түрі» Анықтама. Бірмүшелердің қосындысы көпмүше деп аталады Анықтама. Көпмүшенің құрамына кіретін бірмүшелер көпмүшенің мүшелері д.а. Бірнеше айнымалы көпмүше n-ші дәрежелі біртектi көпмүше деп аталады, егер көпмүшенің әрбір мүшесінің дәреже көрсеткіштерінің қосындысы n-ге тең болса.
|
Қосымша ақпарат көздерін пайдалана отырып түсінеді
|
«Екі жұлдыз бір ұсыныс» |
Оқулық |
||||||||
|
25 мин |
Бекіту тапсырма лары |
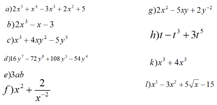
Тапсырмалар. Тапсырма№1 Өрнектерді қарап шығыңыз. Бір айнымалы көпмүшелердің қасына «˅» белгісін, бірнеше айнымалы көпмүше қасына «+» белгісін, көпмүше болып табылмайтын өрнектер қасына «–» белгісін қойыңыздар.
|
|
Дескриптор: - Бір айнымалы көпмүшелерді табады; - Бірнеше айнымалы көпмүшелерді біледі; -көпмүше болмайтын өрнектерді ажырата алады ҚБ: « бірін-бірі + немесе – әдісімен бағалайды |
Оқулық; оқу құралдары; тақта; бор; бағалау парағы. |
||||||||
|
|
|
2-тапсырма Көпмүшенің дәрежесі мен коэффициенттерін жазыңыз. Бас коэфициенттен бастаңыз. Көпмүшенің коэффициенттерінің қосындысын табыңыз.
Q(x) = 2x3 -x+4 F(x) = 2x4+5x2-1 Қосымша 2 бойынша жеке тапсырмаларды орындайды. Тапсырма №3 көпмүшені канондық түрде жазыңыз а) (х + 1)(х - 1)(х - 2); б) (х + 1)2(х - 2) - (х + 1)(х - 2)2, в) (2х + 1)(2х - I)2; г) (2х + 1)(2х - I)2 + (1 - 2х)3 Тапсырма №4
|
Есептер шығарады Берілген тапсырма бойынша өз ойларын ортаға салып, пікірлерін білдіріп, топтық талдау жасайды. Талқылау нәтижесінде өзара бір келісімге келіп есепті орындайды. Тапсырма №6 Өз бетімен жұмыс. №4. Көпмүшені стандарт түрде жазып, дәрежесін, үлкен мүшесін, үлкен коэффициентін және бос мүшесін көрсетіңіз. (a) f(a,b) = а(8a3b2 + 7a2b2 )+(1-2ab2 )(3а2b+1)= (b) f(x,y) = xy+9x-1 y5x3 +18x3y3 + x2y4= Тапсырма №7. Келесі мысалдарды көпмүшенің типіне қарай анықтап, жауабыңды негізде. |
Дескриптор: -теңдеу шешу формуласын пайдаланады; -шешімін жазады;
ҚБ «Екi жұлдыз бiр тiлек» әдiсi .Бiрiн-бiрi бағалау |
Интернет ресурстары Жалпы білім беретін мектептің 10–сыныбына арналған оқулық. Оқулық; оқу құралдары; тақта; бор; бағалау парағы. |
||||||||
|
|
Оқулықпен жұмыс. |
№30.1 Өрнекті стандарт түрдегі көпмүше түрінде жаз
|
№30.2 Көпмүшелердің дәрежесін тап, коэффициентін ата
|
Дескриптор: -өрнектерді стандарт түрдегі көпмүше түріне келтіреді ҚБ «Екi жұлдыз бiр тiлек» әдiсi .Бiрiн-бiрi бағалау |
Оқулық |
||||||||
|
5 минут |
|
Бүгінгі сабақта: - бірнеше айнымалысы бар көпмүшенінің анықтамасын білу және оны стандарт түрге келтіру, стандарт түрдегі көпмүшенің дәрежесін анықтау - симметриялы және біртекті көпмүшелерді танып білу Кері байланыс:
|
Тақырыпты меңгергенін анықтау Үйге тапсырма. №3. |
Кері байланыс |
|
||||||||
жүктеу мүмкіндігіне ие боласыз
Бұл материал сайт қолданушысы жариялаған. Материалдың ішінде жазылған барлық ақпаратқа жауапкершілікті жариялаған қолданушы жауап береді. Ұстаз тілегі тек ақпаратты таратуға қолдау көрсетеді. Егер материал сіздің авторлық құқығыңызды бұзған болса немесе басқа да себептермен сайттан өшіру керек деп ойласаңыз осында жазыңыз
Ашық сабақ Бірнеше айнымалысы бар көпмүшелер және олардың стандарт түрі.
Ашық сабақ Бірнеше айнымалысы бар көпмүшелер және олардың стандарт түрі.
Сабақ жоспары
|
Бөлім: |
10.3А Көпмүшелер |
||||||||||||
|
Педагогтің Тегі, Аты,Әкесінің аты |
Хутпудинова Хеличям Османовна |
||||||||||||
|
Пән/Сынып: |
10 сынып, ЖМБ. Қатысқандары саны: Қатыспағандар саны: |
||||||||||||
|
Күні: |
09 01 2025ж |
||||||||||||
|
Сабақтың тақырыбы: |
Бірнеше айнымалысы бар көпмүшелер және олардың стандарт түрі. |
||||||||||||
|
Оқу бағдарламасына сәйкес оқыту мақсаты: |
10.2.1.1 - бірнеше айнымалысы бар көпмүшенінің анықтамасын білу және оны стандарт түрге келтіру, стандарт түрдегі көпмүшенің дәрежесін анықтау |
||||||||||||
|
Сабақтың мақсаты: |
|
||||||||||||
|
Құндылықтарды дарыту |
«Жалпыға бірдей еңбек қоғамы» құндылығына: топпен, жұппен жұмыс орындау барысында құрмет, серіктестік және жеке жұмыс орындау кезінде жауапкершілік, үздіксіз оқу құндылықтарын дарыту. |
||||||||||||
|
Сабақтың барысы: |
|||||||||||||
|
Уақыты |
Кезең дері |
Педагогтің әрекеті |
Оқушының әрекеті |
Бағалау |
Ресурстар |
||||||||
|
5 минут |
Ұйымдас тыру |
Сәлеметсіздерме! Бүгін, Бірнеше айнымалысы бар көпмүшелер және олардың стандарт түрі тақырыбын қарастырамыз. Бүгінгі сабақта меңгеретініңіз: - бірнеше айнымалысы бар көпмүшенінің анықтамасын білу және оны стандарт түрге келтіру, стандарт түрдегі көпмүшенің дәрежесін анықтау Ұйымдастыру. Үй жұмысын тексеру. |
Амандасады. Үй тапсырмасын айтады. |
|
Оқулық |
||||||||
|
10 мин |
Негізгі бөлім |
Тақырып: «Бірнеше айнымалысы бар көпмүшелер және олардың стандарт түрі» Анықтама. Бірмүшелердің қосындысы көпмүше деп аталады Анықтама. Көпмүшенің құрамына кіретін бірмүшелер көпмүшенің мүшелері д.а. Бірнеше айнымалы көпмүше n-ші дәрежелі біртектi көпмүше деп аталады, егер көпмүшенің әрбір мүшесінің дәреже көрсеткіштерінің қосындысы n-ге тең болса.
|
Қосымша ақпарат көздерін пайдалана отырып түсінеді
|
«Екі жұлдыз бір ұсыныс» |
Оқулық |
||||||||
|
25 мин |
Бекіту тапсырма лары |
Тапсырмалар. Тапсырма№1 Өрнектерді қарап шығыңыз. Бір айнымалы көпмүшелердің қасына «˅» белгісін, бірнеше айнымалы көпмүше қасына «+» белгісін, көпмүше болып табылмайтын өрнектер қасына «–» белгісін қойыңыздар.
|
|
Дескриптор: - Бір айнымалы көпмүшелерді табады; - Бірнеше айнымалы көпмүшелерді біледі; -көпмүше болмайтын өрнектерді ажырата алады ҚБ: « бірін-бірі + немесе – әдісімен бағалайды |
Оқулық; оқу құралдары; тақта; бор; бағалау парағы. |
||||||||
|
|
|
2-тапсырма Көпмүшенің дәрежесі мен коэффициенттерін жазыңыз. Бас коэфициенттен бастаңыз. Көпмүшенің коэффициенттерінің қосындысын табыңыз.
Q(x) = 2x3 -x+4 F(x) = 2x4+5x2-1 Қосымша 2 бойынша жеке тапсырмаларды орындайды. Тапсырма №3 көпмүшені канондық түрде жазыңыз а) (х + 1)(х - 1)(х - 2); б) (х + 1)2(х - 2) - (х + 1)(х - 2)2, в) (2х + 1)(2х - I)2; г) (2х + 1)(2х - I)2 + (1 - 2х)3 Тапсырма №4
|
Есептер шығарады Берілген тапсырма бойынша өз ойларын ортаға салып, пікірлерін білдіріп, топтық талдау жасайды. Талқылау нәтижесінде өзара бір келісімге келіп есепті орындайды. Тапсырма №6 Өз бетімен жұмыс. №4. Көпмүшені стандарт түрде жазып, дәрежесін, үлкен мүшесін, үлкен коэффициентін және бос мүшесін көрсетіңіз. (a) f(a,b) = а(8a3b2 + 7a2b2 )+(1-2ab2 )(3а2b+1)= (b) f(x,y) = xy+9x-1 y5x3 +18x3y3 + x2y4= Тапсырма №7. Келесі мысалдарды көпмүшенің типіне қарай анықтап, жауабыңды негізде. |
Дескриптор: -теңдеу шешу формуласын пайдаланады; -шешімін жазады;
ҚБ «Екi жұлдыз бiр тiлек» әдiсi .Бiрiн-бiрi бағалау |
Интернет ресурстары Жалпы білім беретін мектептің 10–сыныбына арналған оқулық. Оқулық; оқу құралдары; тақта; бор; бағалау парағы. |
||||||||
|
|
Оқулықпен жұмыс. |
№30.1 Өрнекті стандарт түрдегі көпмүше түрінде жаз
|
№30.2 Көпмүшелердің дәрежесін тап, коэффициентін ата
|
Дескриптор: -өрнектерді стандарт түрдегі көпмүше түріне келтіреді ҚБ «Екi жұлдыз бiр тiлек» әдiсi .Бiрiн-бiрi бағалау |
Оқулық |
||||||||
|
5 минут |
|
Бүгінгі сабақта: - бірнеше айнымалысы бар көпмүшенінің анықтамасын білу және оны стандарт түрге келтіру, стандарт түрдегі көпмүшенің дәрежесін анықтау - симметриялы және біртекті көпмүшелерді танып білу Кері байланыс:
|
Тақырыпты меңгергенін анықтау Үйге тапсырма. №3. |
Кері байланыс |
|
||||||||
шағым қалдыра аласыз





көпмүшелері берілген. Кестеге дәреже көрсеткішін
толтырыңыздар


















