Сабақ жоспары
Бекітемін:
|
Педагогің Аты, Тегі; Әкесінің аты (бар болған жағдайда): |
|
|||||||
|
Пән/Сынып: |
7 сынып. Қатысқандар саны: Қатыспағандар саны: |
|||||||
|
Күні: |
|
|||||||
|
Бөлім: |
Қысқаша көбейту формулалары |
|||||||
|
Сабақтың тақырыбы: |
Екі өрнектің қосындысы мен айырмасының квадраты (жаңа тақырып) |
|||||||
|
Оқу бағдарламасына сәйкес оқыту мақсаты: |
7.2.1.10 қысқаша көбейту формулаларын
біледі және қолданады; |
|||||||
|
Сабақтың мақсаттары: Құндылықтарды дарыту: |
-Қысқаша көбейту формулаларын біледі және қолдана аладу; - Қысқаша көбейту формулаларын шығару; - Қысқаша көбейту формулаларын өрнектерді көбейткіштерге жіктеу кезінде қолдана алу;
Талап бар жерде тәртіп бар |
|||||||
|
Сабақ барысы: |
||||||||
|
Уақыты |
Кезең дері |
Педагогтің әрекеті |
Оқушының әрекеті |
Бағалау |
Ресурстар |
|||
|
5 минут |
Ұйым дастыру |
Сәлеметсіздерме! Бүгін, Қысқаша көбейту формулалары тақырыбын қарастырамыз Бүгінгі сабақта меңгеретініңіз: - екі өрнектің қосындысының квадраты және айырмасының квадратының формулалары. - екі өрнектің қосындысының квадраты және айырмасының квадратының формулаларын қолдану. Үй тапсырмасын тексеру. Сұрақтар.
|
Амандасады, сабаққа дайындалады. Сұрақтарға жауап береді |
|
Жалпы білім беретін мектептің 7–сыныбына арналған оқулық. Тақта Бор Кітап Дәптер Интерактивті тақта Бағалау парақтары |
|||
|
10 мин |
Жаңа сабақ |
Видеотүсіндіру. (a ± b)2 = a2 ± 2ab + b2 қысқаша көбейту формулалары сандардың квадраттарын тез есептеуде көмектеседі. Мысалы: 522 = (50 + 2)2 = 502 + 2 ∙ 50 ∙ 2 + 22 = 2500 + 200 + 4 = 2704. 372 = (40 – 3)2 = 402 – 2 ∙ 40 ∙ 3 + 32 = 1600 – 240 + 9 = 1369. ⠀⠀ 1-мысал. (6s – 3)2 – (5 + 6s)2 өрнегін ықшамда. Шешуі. Екі өрнектің қосындысының квадраты және айырмасының квадратының формулаларын қолдан: (6s – 3)2 – (5 + 6s)2 = (6s)2 – 2 ∙ 6s ∙ 3 + 32 – (52 + 2 ∙ 5 ∙ 6s + (6s)2 ) = 36s2 – 36s + 9 – 25 – 60s –36s2 = –96s – 16. Жауабы: –96s – 16.
|
Тақырып бойынша ресурстарды қарап, танысады
|
«Бағдаршам» арқылы қалыптастыру шы бағалау
|
Жалпы білім беретін мектептің 7–сыныбына арналған оқулық. |
|||
|
15 минут |
Бекіту тапсырмасы |
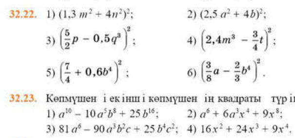
Тапсырма 1. Өрнекті ықшамдаңдар: а) ( 4а + 7)²; б) (6х – 5у)²; в) (у² -х³)².
2. Теңдік орындалатындай * орнына өрнектерді қойыңдар
а) (6а
б) ( 10 х
в) ( * - 8а 3. Қысқаша көбейту формуласы арқылы есептеңдер: 21², 31², 85². Келесі сызбаларды қолданып, екі өрнектің қосындысы мен айырмасының квадрат формулаларын қорытып шығарыңдар. Сызбаларды салып, формулалардың қорытындысын дәптерге жазыңдар.
1)
4. Оқулықтан №5.4, №5.8.
5. №1 көпмүше түрінде жазыңдар А)
B)
C)
D)
№2 Өрнекті ықшамдаңдар
№3 Теңдеуді шешіңдер: |
Оқушылар дескрипторға сәйкес тапсырмаларды орындайды. Жауаптары.
Оқулықтан есептерді шығарады.
|
Дескриптор: -Қысқаша көбейту формулаларын қолдана алады -Есептеулерде қысқаша көбейту формалаларын қолдана алады -Дәлелдеуді жүргізе алады. ҚБ:«Бас бармақ» әдісі Дескриптор: -Қысқаша көбейту формулаларын қолдана алады -Есептеулерде қысқаша көбейту формалаларын қолдана алады -Дәлелдеуді жүргізе алады |
Презентация Интернет ресурстары Жалпы білім беретін мектептің 7–сыныбына арналған оқулық. Жалпы білім беретін мектептің 7–сыныбына арналған оқулық. Тақта Бор Кітап Дәптер |
|||
|
10 мин |
Оқулықпен жұмыс |
|
Тапсырманы орындайды
|
|
Жалпы білім беретін мектептің 7–сыныбына арналған оқулық. Тақта Бор Кітап Дәптер Интерактивті тақта Бағалау парақтары |
|||
|
5 минут |
|
Бүгінгі сабақта: - қысқаша көбейту формулаларын ауызша тұжырымдай біледі; - ауызша тұжырымдалған қысқаша көбейту формулаларын жаза біледі; Сабақ соңында оқушылар рефлексия жүргізеді: Рефлексия: Оқушыларға кішігірім сауалнаманы толтыруға беру
Үйге тапсырма.№32.18, |
Тақырыпты меңгергенін анықтау |
Кері байланыс |
Жалпы білім беретін мектептің 7–сыныбына арналған оқулық. Тақта Бор Кітап Дәптер |
|||
жүктеу мүмкіндігіне ие боласыз
Бұл материал сайт қолданушысы жариялаған. Материалдың ішінде жазылған барлық ақпаратқа жауапкершілікті жариялаған қолданушы жауап береді. Ұстаз тілегі тек ақпаратты таратуға қолдау көрсетеді. Егер материал сіздің авторлық құқығыңызды бұзған болса немесе басқа да себептермен сайттан өшіру керек деп ойласаңыз осында жазыңыз
Екі өрнектің қосындысы мен айырмасының квадраты
Екі өрнектің қосындысы мен айырмасының квадраты
Сабақ жоспары
Бекітемін:
|
Педагогің Аты, Тегі; Әкесінің аты (бар болған жағдайда): |
|
|||||||
|
Пән/Сынып: |
7 сынып. Қатысқандар саны: Қатыспағандар саны: |
|||||||
|
Күні: |
|
|||||||
|
Бөлім: |
Қысқаша көбейту формулалары |
|||||||
|
Сабақтың тақырыбы: |
Екі өрнектің қосындысы мен айырмасының квадраты (жаңа тақырып) |
|||||||
|
Оқу бағдарламасына сәйкес оқыту мақсаты: |
7.2.1.10 қысқаша көбейту формулаларын
біледі және қолданады; |
|||||||
|
Сабақтың мақсаттары: Құндылықтарды дарыту: |
-Қысқаша көбейту формулаларын біледі және қолдана аладу; - Қысқаша көбейту формулаларын шығару; - Қысқаша көбейту формулаларын өрнектерді көбейткіштерге жіктеу кезінде қолдана алу;
Талап бар жерде тәртіп бар |
|||||||
|
Сабақ барысы: |
||||||||
|
Уақыты |
Кезең дері |
Педагогтің әрекеті |
Оқушының әрекеті |
Бағалау |
Ресурстар |
|||
|
5 минут |
Ұйым дастыру |
Сәлеметсіздерме! Бүгін, Қысқаша көбейту формулалары тақырыбын қарастырамыз Бүгінгі сабақта меңгеретініңіз: - екі өрнектің қосындысының квадраты және айырмасының квадратының формулалары. - екі өрнектің қосындысының квадраты және айырмасының квадратының формулаларын қолдану. Үй тапсырмасын тексеру. Сұрақтар.
|
Амандасады, сабаққа дайындалады. Сұрақтарға жауап береді |
|
Жалпы білім беретін мектептің 7–сыныбына арналған оқулық. Тақта Бор Кітап Дәптер Интерактивті тақта Бағалау парақтары |
|||
|
10 мин |
Жаңа сабақ |
Видеотүсіндіру. (a ± b)2 = a2 ± 2ab + b2 қысқаша көбейту формулалары сандардың квадраттарын тез есептеуде көмектеседі. Мысалы: 522 = (50 + 2)2 = 502 + 2 ∙ 50 ∙ 2 + 22 = 2500 + 200 + 4 = 2704. 372 = (40 – 3)2 = 402 – 2 ∙ 40 ∙ 3 + 32 = 1600 – 240 + 9 = 1369. ⠀⠀ 1-мысал. (6s – 3)2 – (5 + 6s)2 өрнегін ықшамда. Шешуі. Екі өрнектің қосындысының квадраты және айырмасының квадратының формулаларын қолдан: (6s – 3)2 – (5 + 6s)2 = (6s)2 – 2 ∙ 6s ∙ 3 + 32 – (52 + 2 ∙ 5 ∙ 6s + (6s)2 ) = 36s2 – 36s + 9 – 25 – 60s –36s2 = –96s – 16. Жауабы: –96s – 16.
|
Тақырып бойынша ресурстарды қарап, танысады
|
«Бағдаршам» арқылы қалыптастыру шы бағалау
|
Жалпы білім беретін мектептің 7–сыныбына арналған оқулық. |
|||
|
15 минут |
Бекіту тапсырмасы |
Тапсырма 1. Өрнекті ықшамдаңдар: а) ( 4а + 7)²; б) (6х – 5у)²; в) (у² -х³)².
2. Теңдік орындалатындай * орнына өрнектерді қойыңдар
а) (6а
б) ( 10 х
в) ( * - 8а 3. Қысқаша көбейту формуласы арқылы есептеңдер: 21², 31², 85². Келесі сызбаларды қолданып, екі өрнектің қосындысы мен айырмасының квадрат формулаларын қорытып шығарыңдар. Сызбаларды салып, формулалардың қорытындысын дәптерге жазыңдар.
1)
4. Оқулықтан №5.4, №5.8.
5. №1 көпмүше түрінде жазыңдар А)
B)
C)
D)
№2 Өрнекті ықшамдаңдар
№3 Теңдеуді шешіңдер: |
Оқушылар дескрипторға сәйкес тапсырмаларды орындайды. Жауаптары.
Оқулықтан есептерді шығарады.
|
Дескриптор: -Қысқаша көбейту формулаларын қолдана алады -Есептеулерде қысқаша көбейту формалаларын қолдана алады -Дәлелдеуді жүргізе алады. ҚБ:«Бас бармақ» әдісі Дескриптор: -Қысқаша көбейту формулаларын қолдана алады -Есептеулерде қысқаша көбейту формалаларын қолдана алады -Дәлелдеуді жүргізе алады |
Презентация Интернет ресурстары Жалпы білім беретін мектептің 7–сыныбына арналған оқулық. Жалпы білім беретін мектептің 7–сыныбына арналған оқулық. Тақта Бор Кітап Дәптер |
|||
|
10 мин |
Оқулықпен жұмыс |
|
Тапсырманы орындайды
|
|
Жалпы білім беретін мектептің 7–сыныбына арналған оқулық. Тақта Бор Кітап Дәптер Интерактивті тақта Бағалау парақтары |
|||
|
5 минут |
|
Бүгінгі сабақта: - қысқаша көбейту формулаларын ауызша тұжырымдай біледі; - ауызша тұжырымдалған қысқаша көбейту формулаларын жаза біледі; Сабақ соңында оқушылар рефлексия жүргізеді: Рефлексия: Оқушыларға кішігірім сауалнаманы толтыруға беру
Үйге тапсырма.№32.18, |
Тақырыпты меңгергенін анықтау |
Кері байланыс |
Жалпы білім беретін мектептің 7–сыныбына арналған оқулық. Тақта Бор Кітап Дәптер |
|||
шағым қалдыра аласыз
+ * ) = * + * + 25х²;
у
;

























