Қысқа мерзімді сабақ жоспары №1 Бекітемін:
Сабақтың тақырыбы: Жазықтықтағы координаталар әдісі
|
Бөлім: |
Жазықтықтағы тікбұрышты координаталар жүйесі |
|
Педагогтің аты-жөні: |
|
|
Күні: |
|
|
Сыныбы:8 |
Қатысушылар саны: Қатыспағандар саны: |
|
Сабақтың тақырыбы: |
Жазықтықтағы координаталар әдісі |
|
Оқу бағдарламасына сәйкес оқу мақсаты |
8.1.3.14жазықтықта координаталарымен берілген екі нүктенің арақашықтықтығын есептеу; |
|
Сабақтың мақсаты: |
Екі нүктенің арақашықтығын есептеудің геометриялық жолдарын қарастыру. |
Сабақтың барысы:
|
Сабақтың кезеңі\уақыт |
Педагогтың әрекеті |
Оқушының әрекеті |
Бағалау |
Ресурстар |
|
Ұйымдастыру кезеңі 5минут |
Сәлемдесу; түгелдеу; Сабақта жағымды ахуал туғызу мақсатында «Жүректен-жүрекке» әдісін қолданып бір-біріне тілек білдіру арқылы зейіндерін сабаққа шоғырландырамын. Оқушыларды оқу мақсаттары, сабақ мақсаттары және бағалау критерилерімен таныстыру. |
Сәлемдеседі Сабаққа дайындықты бастайды Сабақ мақсатымен танысады |
Оқушылар дың белсенділігіне байланысты бағаланады. |
Оқулық; Оқу Презентация |
|
Жаңа сабақты бекіту 15минут |
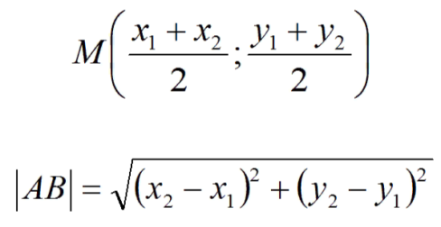
Жаңа тақырыпты қысқаша түсіндіру Тік бұрышты координаталар жүйесі. Ох және Оу сан өстерін О нүктесінде қиылысатындай етіп, бір-біріне перпендикуляр орналастырамыз. Осылай Оху тік бұрышты декарттық координаталар жүйесі салынады. Мұнда, Ох абсиссалар өсі, Оу ордина- талар өсі деп, ал О нүктесі координа- талар бас нүктесі деп аталады. Жазықтықтағы кесінді ортасының координаталары мен кесінді ұзындығы
|
4.1.2. Екі нүктенің арақашықтығы. Декарттық координа- талар жүйесінде А (х1; у1) және В (х2; у2) нүктелері берілсін. Осы А және В нүктелерінің арақашықтығын табу керек. Ол үшін А және В нүктелері арқылы координаталар өстеріне параллель түзулер жүргізейік (4.5-сурет). Сонда АВС тік бұрышты үшбұрышын аламыз. Ал А1 (х1;0), В1(х2; 0), А2 (0; у1), В2(0; у2) болғандықтан, А1 және В1 нүктелерінің арақашықтығы | х2 – x1 |-ге тең, ал А2 және В2 нүктелерінің арақашықтығы | y2 – y1 |-ге тең.
екі нүктенің
арақашықтығы |
Оқушылардың белсенділігіне байланысты Ауызша бағаланады. |
Оқулық; Оқу Слайд Презентация |
|
Бекіту тапсырмаларын орындау 20мин |
есеп 1 Берілгені. A(-2; 2) және B(1; -2) нүктелері. АВ кесінідісінің ұзындығын тап.
Жауабы: 5. Дескриптор:
|
2-тапсырма (-5,10) нүктесінен Ох осіне координаталар басына дейінгі қашықтықты табыңдар. Дескриптор:
ҚБ: «Бір қадам алға» әдісі арқылы оқушылардың материалды қаншалықты меңгергенің анықтаймын. |
қБ:Оқушылар дың белсенділігіне және тақтадағы шығарған есептеріне байланысты бағаланады. |
Оқулық Тақта, слайд, оқу құралдары; 8 сыныпқа арналған оқулық Слайд Сызғыш |
|
3-тапсырма Абциссасы 6-ға тең нүкте координаталар басынан 10-ға тең қашықтықта жатыр. Осы нүктенің ординатасын табыңдар. Дескриптор: Жалпы - 3 балл -Қашықтықты есептеу формуласын қолданады -Ординатасын табады -Жауабын жазады |
4-тапсырма
1 нұсқа А (3;-1), В (-2;4) 2 нұсқа А (3;4), В (2; -1)
|
Дескриптор: -Қашықтықты есептеу формуласын қолданады -АВ кесіндінің ұзындығын табады; табады -Жауабын жазады |
Тақта, слайд, оқу құралдары; 8 сыныпқа арналған оқулық
|
|
|
Сабақтың соңы 5минут |
Бүгінгі сабақта: - бұрыштың синусы, косинусы, тангенсі және котангенсінің тікбұрышты үшбұрыштың қабырғалары мен бұрыштарының қатыстары арқылы берілген анықтамаларын білді. Кері байланыс. «Плюс, минус, қызықты» Үйге тапсырма. Тікбұрышты үшбұрыштың сүйір бұрыштарының тригонометриялық функциялары. № |
Тақырыпты меңгергенін анықтау
«Плюс» -
оң
әсер
еткен фактілерді, алған, білімдері жайлы жаза
алады;
«Минус» - “қолымнан
келмей жатыр” немесе
“
түсініксіз
болып тұр
”
деген
ойларын
жазады. «Қызықты» - деген
бағанға өздеріне не
қызықты болды
немесе
жайында көбірек білгісі келетінін сұрақ
түрінде де |
Оқушылар дың белсенділігіне байланысты бағаланады. |
Оқулық; Презентация Интернет ресурстары |
жүктеу мүмкіндігіне ие боласыз
Бұл материал сайт қолданушысы жариялаған. Материалдың ішінде жазылған барлық ақпаратқа жауапкершілікті жариялаған қолданушы жауап береді. Ұстаз тілегі тек ақпаратты таратуға қолдау көрсетеді. Егер материал сіздің авторлық құқығыңызды бұзған болса немесе басқа да себептермен сайттан өшіру керек деп ойласаңыз осында жазыңыз
Геометрия
Геометрия
Қысқа мерзімді сабақ жоспары №1 Бекітемін:
Сабақтың тақырыбы: Жазықтықтағы координаталар әдісі
|
Бөлім: |
Жазықтықтағы тікбұрышты координаталар жүйесі |
|
Педагогтің аты-жөні: |
|
|
Күні: |
|
|
Сыныбы:8 |
Қатысушылар саны: Қатыспағандар саны: |
|
Сабақтың тақырыбы: |
Жазықтықтағы координаталар әдісі |
|
Оқу бағдарламасына сәйкес оқу мақсаты |
8.1.3.14жазықтықта координаталарымен берілген екі нүктенің арақашықтықтығын есептеу; |
|
Сабақтың мақсаты: |
Екі нүктенің арақашықтығын есептеудің геометриялық жолдарын қарастыру. |
Сабақтың барысы:
|
Сабақтың кезеңі\уақыт |
Педагогтың әрекеті |
Оқушының әрекеті |
Бағалау |
Ресурстар |
|
Ұйымдастыру кезеңі 5минут |
Сәлемдесу; түгелдеу; Сабақта жағымды ахуал туғызу мақсатында «Жүректен-жүрекке» әдісін қолданып бір-біріне тілек білдіру арқылы зейіндерін сабаққа шоғырландырамын. Оқушыларды оқу мақсаттары, сабақ мақсаттары және бағалау критерилерімен таныстыру. |
Сәлемдеседі Сабаққа дайындықты бастайды Сабақ мақсатымен танысады |
Оқушылар дың белсенділігіне байланысты бағаланады. |
Оқулық; Оқу Презентация |
|
Жаңа сабақты бекіту 15минут |
Жаңа тақырыпты қысқаша түсіндіру Тік бұрышты координаталар жүйесі. Ох және Оу сан өстерін О нүктесінде қиылысатындай етіп, бір-біріне перпендикуляр орналастырамыз. Осылай Оху тік бұрышты декарттық координаталар жүйесі салынады. Мұнда, Ох абсиссалар өсі, Оу ордина- талар өсі деп, ал О нүктесі координа- талар бас нүктесі деп аталады. Жазықтықтағы кесінді ортасының координаталары мен кесінді ұзындығы
|
4.1.2. Екі нүктенің арақашықтығы. Декарттық координа- талар жүйесінде А (х1; у1) және В (х2; у2) нүктелері берілсін. Осы А және В нүктелерінің арақашықтығын табу керек. Ол үшін А және В нүктелері арқылы координаталар өстеріне параллель түзулер жүргізейік (4.5-сурет). Сонда АВС тік бұрышты үшбұрышын аламыз. Ал А1 (х1;0), В1(х2; 0), А2 (0; у1), В2(0; у2) болғандықтан, А1 және В1 нүктелерінің арақашықтығы | х2 – x1 |-ге тең, ал А2 және В2 нүктелерінің арақашықтығы | y2 – y1 |-ге тең.
екі нүктенің
арақашықтығы |
Оқушылардың белсенділігіне байланысты Ауызша бағаланады. |
Оқулық; Оқу Слайд Презентация |
|
Бекіту тапсырмаларын орындау 20мин |
есеп 1 Берілгені. A(-2; 2) және B(1; -2) нүктелері. АВ кесінідісінің ұзындығын тап.
Жауабы: 5. Дескриптор:
|
2-тапсырма (-5,10) нүктесінен Ох осіне координаталар басына дейінгі қашықтықты табыңдар. Дескриптор:
ҚБ: «Бір қадам алға» әдісі арқылы оқушылардың материалды қаншалықты меңгергенің анықтаймын. |
қБ:Оқушылар дың белсенділігіне және тақтадағы шығарған есептеріне байланысты бағаланады. |
Оқулық Тақта, слайд, оқу құралдары; 8 сыныпқа арналған оқулық Слайд Сызғыш |
|
3-тапсырма Абциссасы 6-ға тең нүкте координаталар басынан 10-ға тең қашықтықта жатыр. Осы нүктенің ординатасын табыңдар. Дескриптор: Жалпы - 3 балл -Қашықтықты есептеу формуласын қолданады -Ординатасын табады -Жауабын жазады |
4-тапсырма
1 нұсқа А (3;-1), В (-2;4) 2 нұсқа А (3;4), В (2; -1)
|
Дескриптор: -Қашықтықты есептеу формуласын қолданады -АВ кесіндінің ұзындығын табады; табады -Жауабын жазады |
Тақта, слайд, оқу құралдары; 8 сыныпқа арналған оқулық
|
|
|
Сабақтың соңы 5минут |
Бүгінгі сабақта: - бұрыштың синусы, косинусы, тангенсі және котангенсінің тікбұрышты үшбұрыштың қабырғалары мен бұрыштарының қатыстары арқылы берілген анықтамаларын білді. Кері байланыс. «Плюс, минус, қызықты» Үйге тапсырма. Тікбұрышты үшбұрыштың сүйір бұрыштарының тригонометриялық функциялары. № |
Тақырыпты меңгергенін анықтау
«Плюс» -
оң
әсер
еткен фактілерді, алған, білімдері жайлы жаза
алады;
«Минус» - “қолымнан
келмей жатыр” немесе
“
түсініксіз
болып тұр
”
деген
ойларын
жазады. «Қызықты» - деген
бағанға өздеріне не
қызықты болды
немесе
жайында көбірек білгісі келетінін сұрақ
түрінде де |
Оқушылар дың белсенділігіне байланысты бағаланады. |
Оқулық; Презентация Интернет ресурстары |
шағым қалдыра аласыз















