Қысқа мерзімді сабақ жоспары №2 Бекітемін:
Сабақтың тақырыбы: Жазықтықтағы координаталар әдісі
|
Бөлім: |
Жазықтықтағы тікбұрышты координаталар жүйесі |
|
Педагогтің аты-жөні: |
|
|
Күні: |
|
|
Сыныбы:8 |
Қатысушылар саны: Қатыспағандар саны: |
|
Сабақтың тақырыбы: |
Жазықтықтағы координаталар әдісі |
|
Оқу бағдарламасына сәйкес оқу мақсаты |
8.1.3.15 кесінді ортасының координаталарын табу; |
|
Сабақтың мақсаты: |
кесінді ортасының координаталарын табуді білу, алгоритімін білу |
Сабақтың барысы:
|
Сабақтың кезеңі\уақыт |
Педагогтың әрекеті |
Оқушының әрекеті |
Бағалау |
Ресурстар |
|
Ұйымдастыру кезеңі |
Сәлемдесу; түгелдеу; Сабақта жағымды ахуал туғызу мақсатында «Жүректен-жүрекке» әдісін қолданып бір-біріне тілек білдіру арқылы зейіндерін сабаққа шоғырландырамын. Оқушыларды оқу мақсаттары, сабақ мақсаттары және бағалау критерилерімен таныстыру. |
Сәлемдеседі Сабаққа дайындықты бастайды Сабақ мақсатымен танысады |
Оқушылар дың белсенділігіне байланысты бағаланады. |
Оқулық; Оқу Слайд Презентация |
|
Жаңа сабақты бекіту 15минут |
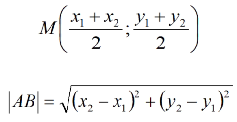
Жаңа тақырыпты қысқаша түсіндіру Тік бұрышты координаталар жүйесі. Ох және Оу сан өстерін О нүктесінде қиылысатындай етіп, бір-біріне перпендикуляр орналастырамыз. Осылай Оху тік бұрышты декарттық координаталар жүйесі салынады (4.1-сурет). Мұнда, Ох абсиссалар өсі, Оу ордина- талар өсі деп, ал О нүктесі координа- талар бас нүктесі деп аталады. Жазықтықтағы кесінді ортасының координаталары мен кесінді ұзындығы
|
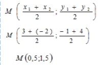
1-мысал АВ кесіндісінің ортасының координаталарын тап А (3;-1), В (-2;4)
|
|
Оқулық; Оқу Слайд Презентация |
|
Бекіту тапсырмаларын орындау 20мин |
Есеп 1 A(6, 8) және B(-2, 2) нүктелерін қосатын кесіндінің ортасының ординатасын табыңыз. Шешуі:
Ортанүктенің ординатасы ұштарының ординаталарының қосындысының жартысына тең.
у = 5. Жауабы: 5. Есеп 2 A(6, 8) және B(-2, 2) нүктелерін қосатын кесіндінің абсциссасының ординатасын табыңыз. Шешуі: Ортанүктенің абсциссасы ұштарының абсциссаларының қосындысының жартысына тең.
х = 2. Жауабы: 2. |
Дескриптор:
ҚБ: «Бір қадам алға» әдісі арқылы оқушылардың материалды қаншалықты меңгергенің анықтаймын. Есеп 3
Жауабы: |
ҚБ:Оқушылар дың белсенділігіне және тақтадағы шығарған есептеріне байланысты бағаланады. |
Оқулық; Оқу құралдары
Презентация Интернет ресурстары |
|
Сабақтың соңы 5минут |
Бүгінгі сабақта: - бұрыштың синусы, косинусы, тангенсі және котангенсінің тікбұрышты үшбұрыштың қабырғалары мен бұрыштарының қатыстары арқылы берілген анықтамаларын білді. Кері байланыс. «Плюс, минус, қызықты» Үйге тапсырма. Тікбұрышты үшбұрыштың сүйір бұрыштарының тригонометриялық функциялары. № |
Тақырыпты меңгергенін анықтау
«Плюс» -
оң
әсер
еткен фактілерді, алған, білімдері жайлы жаза
алады;
«Минус» - “қолымнан
келмей жатыр” немесе
“
түсініксіз
болып тұр
”
деген
ойларын
жазады. «Қызықты» - деген
бағанға өздеріне не
қызықты болды
немесе
жайында көбірек білгісі келетінін сұрақ
түрінде де |
Оқушылар дың белсенділігіне байланысты бағаланады. |
Оқулық; Презентация Интернет ресурстары |
жүктеу мүмкіндігіне ие боласыз
Бұл материал сайт қолданушысы жариялаған. Материалдың ішінде жазылған барлық ақпаратқа жауапкершілікті жариялаған қолданушы жауап береді. Ұстаз тілегі тек ақпаратты таратуға қолдау көрсетеді. Егер материал сіздің авторлық құқығыңызды бұзған болса немесе басқа да себептермен сайттан өшіру керек деп ойласаңыз осында жазыңыз
Геометрия ҚМЖ
Геометрия ҚМЖ
Қысқа мерзімді сабақ жоспары №2 Бекітемін:
Сабақтың тақырыбы: Жазықтықтағы координаталар әдісі
|
Бөлім: |
Жазықтықтағы тікбұрышты координаталар жүйесі |
|
Педагогтің аты-жөні: |
|
|
Күні: |
|
|
Сыныбы:8 |
Қатысушылар саны: Қатыспағандар саны: |
|
Сабақтың тақырыбы: |
Жазықтықтағы координаталар әдісі |
|
Оқу бағдарламасына сәйкес оқу мақсаты |
8.1.3.15 кесінді ортасының координаталарын табу; |
|
Сабақтың мақсаты: |
кесінді ортасының координаталарын табуді білу, алгоритімін білу |
Сабақтың барысы:
|
Сабақтың кезеңі\уақыт |
Педагогтың әрекеті |
Оқушының әрекеті |
Бағалау |
Ресурстар |
|
Ұйымдастыру кезеңі |
Сәлемдесу; түгелдеу; Сабақта жағымды ахуал туғызу мақсатында «Жүректен-жүрекке» әдісін қолданып бір-біріне тілек білдіру арқылы зейіндерін сабаққа шоғырландырамын. Оқушыларды оқу мақсаттары, сабақ мақсаттары және бағалау критерилерімен таныстыру. |
Сәлемдеседі Сабаққа дайындықты бастайды Сабақ мақсатымен танысады |
Оқушылар дың белсенділігіне байланысты бағаланады. |
Оқулық; Оқу Слайд Презентация |
|
Жаңа сабақты бекіту 15минут |
Жаңа тақырыпты қысқаша түсіндіру Тік бұрышты координаталар жүйесі. Ох және Оу сан өстерін О нүктесінде қиылысатындай етіп, бір-біріне перпендикуляр орналастырамыз. Осылай Оху тік бұрышты декарттық координаталар жүйесі салынады (4.1-сурет). Мұнда, Ох абсиссалар өсі, Оу ордина- талар өсі деп, ал О нүктесі координа- талар бас нүктесі деп аталады. Жазықтықтағы кесінді ортасының координаталары мен кесінді ұзындығы
|
1-мысал АВ кесіндісінің ортасының координаталарын тап А (3;-1), В (-2;4)
|
|
Оқулық; Оқу Слайд Презентация |
|
Бекіту тапсырмаларын орындау 20мин |
Есеп 1 A(6, 8) және B(-2, 2) нүктелерін қосатын кесіндінің ортасының ординатасын табыңыз. Шешуі:
Ортанүктенің ординатасы ұштарының ординаталарының қосындысының жартысына тең.
у = 5. Жауабы: 5. Есеп 2 A(6, 8) және B(-2, 2) нүктелерін қосатын кесіндінің абсциссасының ординатасын табыңыз. Шешуі: Ортанүктенің абсциссасы ұштарының абсциссаларының қосындысының жартысына тең.
х = 2. Жауабы: 2. |
Дескриптор:
ҚБ: «Бір қадам алға» әдісі арқылы оқушылардың материалды қаншалықты меңгергенің анықтаймын. Есеп 3
Жауабы: |
ҚБ:Оқушылар дың белсенділігіне және тақтадағы шығарған есептеріне байланысты бағаланады. |
Оқулық; Оқу құралдары
Презентация Интернет ресурстары |
|
Сабақтың соңы 5минут |
Бүгінгі сабақта: - бұрыштың синусы, косинусы, тангенсі және котангенсінің тікбұрышты үшбұрыштың қабырғалары мен бұрыштарының қатыстары арқылы берілген анықтамаларын білді. Кері байланыс. «Плюс, минус, қызықты» Үйге тапсырма. Тікбұрышты үшбұрыштың сүйір бұрыштарының тригонометриялық функциялары. № |
Тақырыпты меңгергенін анықтау
«Плюс» -
оң
әсер
еткен фактілерді, алған, білімдері жайлы жаза
алады;
«Минус» - “қолымнан
келмей жатыр” немесе
“
түсініксіз
болып тұр
”
деген
ойларын
жазады. «Қызықты» - деген
бағанға өздеріне не
қызықты болды
немесе
жайында көбірек білгісі келетінін сұрақ
түрінде де |
Оқушылар дың белсенділігіне байланысты бағаланады. |
Оқулық; Презентация Интернет ресурстары |
шағым қалдыра аласыз




















