Қысқамерзімді жоспар
№9-сабақ
Сабақтың тақырыбы: Мәтін есептерді шығару
|
Жазықтықтағы тікбұрышты координаталар жүйесі |
||||||
|
Педагогтің аты-жөні: |
|
|||||
|
Күні: |
|
|||||
|
Сыныбы:8 |
Қатысушылар саны: Қатыспағандар саны: |
|||||
|
Сабақтың тақырыбы: |
Мәтін есептерді шығару |
|||||
|
Оқу бағдарламасына сәйкес оқу мақсаты |
8.1.3.20 координаталармен берілген қарапайым есептерді шығару |
|||||
|
Сабақтың мақсаты: |
координаталармен берілген қарапайым есептерді шығаруды үйренеді |
|||||
|
Сабақтың барысы: |
||||||
|
Уақыты |
Кезең дері |
Педагогтің әрекеті |
Оқушының әрекеті |
Бағалау |
Ресурстар |
|
|
5 мин |
Ұйым дас тыру |
Сәлеметсіздерме! Бүгін, Тікбұрышты үшбұрыштың сүйір бұрыштарының тригонометриялық функциялары. Пифагор теоремасы тақырыптарын қарастырамыз Бүгінгі сабақта меңгеретініңіз: - координаталармен берілген қарапайым есептерді шығару ; |
Амандасады. Үй тапсырмасын айтады. І.Ұйымдастыру кезеңі. Психологиялық ахуал орнату. |
Оқушылардың белсенділігіне байланысты бағаланады. |
ДК экраны 8-сынып оқулығы. Жұмыс дәптерлері. Слайд.тация |
|
|
10 мин |
сабақтың басы |
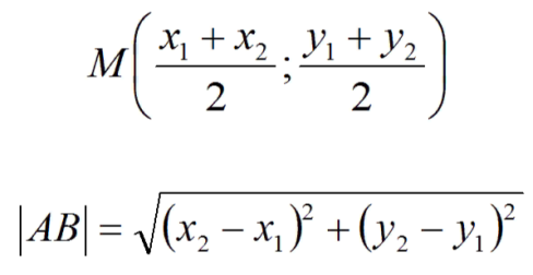
Өткен тақырыптарды қайталай отырып, осы берілген формулалалрға келетін мәтін есептерді шығартамын Өткенді қайталап өтейік 1)Екі нүктенің арақашықтығы
2) Кесіндіні берілген қатынаста бөлу. M(xM,
yM) нүктесінің
координаттары |
3)Кесінді ортасының координаталары
|
Оқушылардың белсенділігіне байланысты бағаланады. |
ДК экраны 8-сынып оқулығы. Жұмыс дәптерлері. Слайд.тация |
|
|
25минут |
Сабақтың ортасы |
1-тапсырма Мектеп алдында гүлзарлар геометриялық фигуралар түрінде жасалған. Соның бірі шеңбер тәрізді. Егер гүлзарды координаталық жазықтықта қарастырсақ, шеңбер координаталар басы арқылы өтсе және центрі С(6;4,5) нүктесі болса, сыртындағы декоротивті қоршаудың ұзындығын табыңдар. |
2-тапсырма «Елестету көрінісі» әдісі арқылы оқушылар мәтіннің басты мәнін, елестете отырып жұмыс істей алады. Суретте Астана қаласындағы «Бейбітшілік және келісім» сарайының бір қабырғасы координатадық жазықтықта берілген. 1 бірлікті 10 м деп алып осы үшбұрыштың дұрыстығын дәлелдендер.
|
Дескриптор: 1.Есеп мазмұнын түсінеді. 2.үшбұрыштың үш қабырғасын табады; 3. дұрыс үшбұрыш екенін көрсетеді |
ДК экраны 8-сынып оқулығы. Жұмыс дәптерлері. Слайд.тация |
|
|
|
|
3-тапсырма Астана қаласы мен Қарағанды қаласының ортасында жатқан Осакаровка кентінің орналасуы географиялық картада жазықтық координаталарына сәйкес берілген. Мына берілген мәліметтер бойынша Астана қаласының орналасу координаталарын табыңдар. Мұндағы: А(х; у), О ( 4,5; 5) , Қ ( 7; 0) |
|
Дескриптор: -Кесіндіні берілген қатынаста бөлу керектігін біледі; -ОҚ кесіндінің ұзындығын анықтайды; -Х-ті табады; -У-ті табады; -Астана қаласының орнын анықтайды |
ДК экраны 8-сынып оқулығы. Жұмыс дәптерлері. Слайд.тация |
|
|
|
|
4-тапсырма
|
5-тапсырма Координаталары А(-1;4), В(2;-3) болатын нүктелерінен өтетін АВ түзуінің теңдеуін жаз
|
Дескриптор: Жалпы - 3 балл 1.Есеп мазмұнын түсінеді. 2.Теңдеу жазады |
ДК экраны 8-сынып оқулығы. Жұмыс дәптерлері. Слайд.тация |
|
|
|
|
4.11. Төмендегі кестені дәптерлеріңе сызып, АВ кесіндісінің ортасы – С нүктесінің координаталарын есептейтін формуланы қолдана отырып, кестенің бос көздерін толтырыңдар |
|
Дескриптор: Жалпы - 3 балл 1.Есеп мазмұнын түсінеді. 2.Теңдеу жазады 3кестені толтырады |
ДК экраны 8-сынып оқулығы. Жұмыс дәптерлері Слайд.тация |
|
|
5минут |
Сабақтың соңы |
Рефлексия - нені білдім, нені үйрендім - нені толық түсінбедім - немен жұмысты жалғастыру қажет. Бағалау. |
Тақырыпты меңгергенін анықтау «Плюс» - оң
әсер еткен фактілерді, алған, білімдері жайлы жаза
алады; «Минус» - “қолымнан келмей жатыр” немесе “
түсініксіз болып тұр ” деген ойларын жазады. «Қызықты» - деген бағанға өздеріне не қызықты болды немесе жайында көбірек білгісі келетінін сұрақ түрінде де |
|
|
|
жүктеу мүмкіндігіне ие боласыз
Бұл материал сайт қолданушысы жариялаған. Материалдың ішінде жазылған барлық ақпаратқа жауапкершілікті жариялаған қолданушы жауап береді. Ұстаз тілегі тек ақпаратты таратуға қолдау көрсетеді. Егер материал сіздің авторлық құқығыңызды бұзған болса немесе басқа да себептермен сайттан өшіру керек деп ойласаңыз осында жазыңыз
Геометрия ҚМЖ
Геометрия ҚМЖ
Қысқамерзімді жоспар
№9-сабақ
Сабақтың тақырыбы: Мәтін есептерді шығару
|
Жазықтықтағы тікбұрышты координаталар жүйесі |
||||||
|
Педагогтің аты-жөні: |
|
|||||
|
Күні: |
|
|||||
|
Сыныбы:8 |
Қатысушылар саны: Қатыспағандар саны: |
|||||
|
Сабақтың тақырыбы: |
Мәтін есептерді шығару |
|||||
|
Оқу бағдарламасына сәйкес оқу мақсаты |
8.1.3.20 координаталармен берілген қарапайым есептерді шығару |
|||||
|
Сабақтың мақсаты: |
координаталармен берілген қарапайым есептерді шығаруды үйренеді |
|||||
|
Сабақтың барысы: |
||||||
|
Уақыты |
Кезең дері |
Педагогтің әрекеті |
Оқушының әрекеті |
Бағалау |
Ресурстар |
|
|
5 мин |
Ұйым дас тыру |
Сәлеметсіздерме! Бүгін, Тікбұрышты үшбұрыштың сүйір бұрыштарының тригонометриялық функциялары. Пифагор теоремасы тақырыптарын қарастырамыз Бүгінгі сабақта меңгеретініңіз: - координаталармен берілген қарапайым есептерді шығару ; |
Амандасады. Үй тапсырмасын айтады. І.Ұйымдастыру кезеңі. Психологиялық ахуал орнату. |
Оқушылардың белсенділігіне байланысты бағаланады. |
ДК экраны 8-сынып оқулығы. Жұмыс дәптерлері. Слайд.тация |
|
|
10 мин |
сабақтың басы |
Өткен тақырыптарды қайталай отырып, осы берілген формулалалрға келетін мәтін есептерді шығартамын Өткенді қайталап өтейік 1)Екі нүктенің арақашықтығы
2) Кесіндіні берілген қатынаста бөлу. M(xM,
yM) нүктесінің
координаттары |
3)Кесінді ортасының координаталары
|
Оқушылардың белсенділігіне байланысты бағаланады. |
ДК экраны 8-сынып оқулығы. Жұмыс дәптерлері. Слайд.тация |
|
|
25минут |
Сабақтың ортасы |
1-тапсырма Мектеп алдында гүлзарлар геометриялық фигуралар түрінде жасалған. Соның бірі шеңбер тәрізді. Егер гүлзарды координаталық жазықтықта қарастырсақ, шеңбер координаталар басы арқылы өтсе және центрі С(6;4,5) нүктесі болса, сыртындағы декоротивті қоршаудың ұзындығын табыңдар. |
2-тапсырма «Елестету көрінісі» әдісі арқылы оқушылар мәтіннің басты мәнін, елестете отырып жұмыс істей алады. Суретте Астана қаласындағы «Бейбітшілік және келісім» сарайының бір қабырғасы координатадық жазықтықта берілген. 1 бірлікті 10 м деп алып осы үшбұрыштың дұрыстығын дәлелдендер.
|
Дескриптор: 1.Есеп мазмұнын түсінеді. 2.үшбұрыштың үш қабырғасын табады; 3. дұрыс үшбұрыш екенін көрсетеді |
ДК экраны 8-сынып оқулығы. Жұмыс дәптерлері. Слайд.тация |
|
|
|
|
3-тапсырма Астана қаласы мен Қарағанды қаласының ортасында жатқан Осакаровка кентінің орналасуы географиялық картада жазықтық координаталарына сәйкес берілген. Мына берілген мәліметтер бойынша Астана қаласының орналасу координаталарын табыңдар. Мұндағы: А(х; у), О ( 4,5; 5) , Қ ( 7; 0) |
|
Дескриптор: -Кесіндіні берілген қатынаста бөлу керектігін біледі; -ОҚ кесіндінің ұзындығын анықтайды; -Х-ті табады; -У-ті табады; -Астана қаласының орнын анықтайды |
ДК экраны 8-сынып оқулығы. Жұмыс дәптерлері. Слайд.тация |
|
|
|
|
4-тапсырма
|
5-тапсырма Координаталары А(-1;4), В(2;-3) болатын нүктелерінен өтетін АВ түзуінің теңдеуін жаз
|
Дескриптор: Жалпы - 3 балл 1.Есеп мазмұнын түсінеді. 2.Теңдеу жазады |
ДК экраны 8-сынып оқулығы. Жұмыс дәптерлері. Слайд.тация |
|
|
|
|
4.11. Төмендегі кестені дәптерлеріңе сызып, АВ кесіндісінің ортасы – С нүктесінің координаталарын есептейтін формуланы қолдана отырып, кестенің бос көздерін толтырыңдар |
|
Дескриптор: Жалпы - 3 балл 1.Есеп мазмұнын түсінеді. 2.Теңдеу жазады 3кестені толтырады |
ДК экраны 8-сынып оқулығы. Жұмыс дәптерлері Слайд.тация |
|
|
5минут |
Сабақтың соңы |
Рефлексия - нені білдім, нені үйрендім - нені толық түсінбедім - немен жұмысты жалғастыру қажет. Бағалау. |
Тақырыпты меңгергенін анықтау «Плюс» - оң
әсер еткен фактілерді, алған, білімдері жайлы жаза
алады; «Минус» - “қолымнан келмей жатыр” немесе “
түсініксіз болып тұр ” деген ойларын жазады. «Қызықты» - деген бағанға өздеріне не қызықты болды немесе жайында көбірек білгісі келетінін сұрақ түрінде де |
|
|
|
шағым қалдыра аласыз




















