Бекмурзина Шынар Халиловна
Әдістемелік нұсқаулық
«Жаңартылған білім мазмұны негізінде информатика пәнінен оқушыларға Phyton бағдарламасын оқытудың тиімді әдіс-тәсілдері»
Алматы
ББК 74.202
Бекмурзина Шынар Халиловна
«Жаңартылған білім мазмұны негізінде информатика пәнінен оқушыларға Phyton бағдарламасын оқытудың тиімді әдіс-тәсілдері»
Пікір жазған:
М. Х. Дулати атындағы Тараз өңірлік университеті, филология ғылымдарының кандидаты, қауымдастырылған профессоры Н.Б.Есенова
С.С Жанибекова Қызылорда қаласы Болашақ университетінің «Арнайы педагогика және психология» кафедрасының аға оқытушысы, п.ғ.к., Облыстық білім басқармасының балалар оңалту орталығының түзету маманы, РЖА профессоры
Педагогика тарих ғылымдарының магистрі Абиева Ұ.Б.,
Халықаралық ғылым мен білімді қолдау орталығы «Жарқын ұстаз» әдістемелік кеңес мәжілісінде талқыланып, 2025 ж. «15» ақпан №003/098 хаттамасымен мақұлданған және баспаға ұсынылған.
Бекмурзина Шынар Халиловна
«Жаңартылған білім мазмұны негізінде информатика пәнінен оқушыларға Phyton бағдарламасын оқытудың тиімді әдіс-тәсілдері»
Алматы: 2025 (Zharkyn ustaz baspasy)100 бет. Қазақ тілінде
Аңдатпа
Аталған авторлық жұмыс оқу бағдарламасына негізделе үлгілік бағдарламамен сабақтастықты ескере отырып құрастырылған. Білім –тәрбие беру кезеңінде саналы, дұрыс, комуникативті оқу дағдыларын жетілдіру, логикалық қабылдауды дамыту, функционалдық сауаттылықтарын арттыру пәнге деген қызығушылықты, зерттеушілік қабілетті дамытып қалыптастыруға бағытталған авторлық жұмыс білім беру стандартының пәндік тақырыптарының мазмұнын, оқу сағаттарын курс бөлімдері арасында бөлуді, сонымен қатар пәнаралық байланыстарды ескере отырып, пәндер мен пән бөлімдерін зерделеудің ұсынылатын тәртібіне негізделе отырып құрастырылған.
Аннотация
Данная авторская работа составлена с учетом преемственности с типовой программой, основанной на учебном плане. В период обучения авторская работа направлена на развитие и формирование интереса к предмету, исследовательской способности, содержания предметных тем образовательного стандарта, распределения учебных часов между разделами курса, а также межпредметных связей с учетом, исходя из рекомендуемого порядка изучения предметов и предметных разделов.
Abstract
This author's work is compiled taking into account continuity with the standard program based on the curriculum. During the training period, the author's work is aimed at developing and shaping interest in the subject, research ability, the content of subject topics of the educational standard, the distribution of teaching hours between sections of the course, as well as interdisciplinary connections, taking into account, based on the recommended order of studying subjects and subject sections.
© Бекмурзина Ш.Х.
Адамдар үшін бағдарламалау - қиын болып көрінеді, бірақ шындығында керісінше - көптеген адамдар шағын кірпіштерден қабырға салатындай бөтен бағдарламаларды пайдаланатын бағдарламаларды жасайды.
Дональд Кнут
Автор сөзі
Жалпы, Python – әртүрлі мақсаттарда қолданылатын, заманауи әрі кең таралған бағдарламалау тілі. Бұл тілді меңгеру барысында, сіз бағдарламалаудың ең негізгі принциптерімен танысасыз және курсты бітіргеннен соң, компьютерлік ғылымдар әлемінде әрі қарай өз дамуыңызды жалғастыра аласыз. Бүгінгі таңда, көптеген жұмыс берушілер Python тілін меңгерген мамандарды талап етеді және бұл сферадағы мамандарға үлкен жалақы беріледі. Курс барысында сіз енгізу мен шығару, айнымалылар, түсініктемелер, дерек типтері, операторлар, тармақталу, цикл, функциялар және т.б. бағдарламалаудың негізгі түсініктерімен танысасыз. Мен барлықтарыңызды, әсіресе жас ұрпақты бұл тілді меңгеруге шақырамын! Себебі болашақ Қазақстанның дамуында компьютерлік ғылымдардың рөлі өте зор және бұл сферадағы мамандар жетіспеушілік мәселесін шешу қажет.
Кіріспе
«Python»— ең жаңа, заманауи бағдарламаллау тіліне жатады. Бұл тілді ең алғашында Гвидо Ван Россум атты нидерландық адам ойлап тапқан .
Python — жоғары дәрежедегі бағдарламаллау тілі. Python тілі қазіргі кезде ең көп таралған бағдарламаллау тілі болып саналады.
Бұл тілде жасалған ең атақты бағдарлама ол бәріміз білетін Instagram əлеуметтік желісі.
Python-ды қолданатын Компания-ларға Google, Facebook, Yahoo, NASA, Red Hat, IBM, Instagram, Dropbox, Pinterest, Quora, Яндекс, Mail.Ru т.б келтіре аламыз.
Python тілінің тарихы. Ең алғаш рет Ван Руссом Python тілін жасауды 1898-жылдың желтоқсан айында қолға алды. Алғашында Python тілі Ameoba операциялық жүйесімен әрекет етуге қабілетті ABC бағдарламаллау тілінің ұрпағы ретінде алынған. Кеиінірек Python дамып,ең басты және маңызды бағдарламаллау тіліне айналды.Ең алғаш жаңарту Python 2.0 жаңа нұсқасы жарық көрді. Біл жаңа нұсқада көптеген функциялар мен жаңа алгоритмдер түрін көрсетті. Жаңартудан кейін Python тілінің қолданушылары арта түседі. Алайда бұл тілдің жаңарту бұнымен біткен жоқ. 2008 жылдың 3 желтоқсанында Python 3.0 жарық көреді.
Python-ның басқа бағдарламалау тілінен ерекшелігі. Жоғарыда айтып өткендей Python тілі ABC тіліне ұқсас болып келеді. Қазіргі таңда көптеген бағдарламаллау тілдерінде бірнеше алгоритмды бир функцияның ішіне салу үшін жақша({}) қойылады. Ал Python тілінде функциядан кеиін қос нүкте қойылып, алгоритмдер келесі қатардан бірнеше бос орын қалдырылып жазылады. Сонымен қатар басқа бағдарламалау тілдерінен басты ерекшелігі Python тілінде ақпарат түрлерінің(типы данных) үлкен орын алады. Сол себепті int , double секілді ақпарат түрлеріне үлкен мәнді сандар сия алады.
|
Практикалық жұмыстар методолгиясы Лекция/Теория |
|
Тақырыбы: Python бағдарламалау тілінің негізгі түсініктерімен оңай тілде таныстыру Мақсаты – бағдарламалау бойынша қазақ тіліндегі контентті кеңейту және сіздерді Python бағдарламалау тілінің негізгі түсініктерімен оңай тілде таныстыру. Жалпы, Python – әртүрлі мақсаттарда қолданылатын, заманауи әрі кең таралған бағдарламалау тілі. Бұл тілді меңгеру барысында, сіз бағдарламалаудың ең негізгі принциптерімен танысасыз және курсты бітіргеннен соң, компьютерлік ғылымдар әлемінде әрі қарай өз дамуыңызды жалғастыра аласыз. Бүгінгі таңда, көптеген жұмыс берушілер Python тілін меңгерген мамандарды талап етеді және бұл сферадағы мамандарға үлкен жалақы беріледі. Курс барысында сіз енгізу мен шығару, айнымалылар, түсініктемелер, дерек типтері, операторлар, тармақталу, цикл, функциялар және т.б. бағдарламалаудың негізгі түсініктерімен танысасыз. Мен барлықтарыңызды, әсіресе жас ұрпақты бұл тілді меңгеруге шақырамын! Себебі болашақ Қазақстанның дамуында компьютерлік ғылымдардың рөлі өте зор және бұл сферадағы мамандар жетіспеушілік мәселесін шешу қажет. Ендеше, оқуымызды бастайық! Python-ды түсіну үшін кемінде ағылшын тілін білу қажет. Есептеу техникасы қауымдастығының зерттеуі бойынша, Python көптеген американдық колледждердің алғашқы бағдарламалау тілі ретінде жетекші орынға ие. Құрама Штаттарда 39 IT-факультетінің сауалнамасына сәйкес, ол Java-ны ауыстырып, жаңа бағдарламашылар назар аударатын алғашқы жалпыға арналған бағдарламалау тілі болды. 10 IT-факультетінің 8-і (80%) және 39-дан (69%) 27-і мамандықты оқудың бірінші сатысында Python тұр. Тілдің өзі 23 жыл бұрын құрылған, бірақ жаңадан келгендерді бағдарламалауға үйрететін тамаша құрал ретінде ол жақында ғана ашылды. Raspberry Pi компаниясы Python-ға әсер етті, бірақ Python әлемнің жетекші компаниялары, атап айтқанда, Google, Yahoo және NASA пайдаланатындығын ұмытпау керек.Қазіргі уақытта Python 2008 жылдан бастап ең танымал бағдарламалау тілдері арасында тұрақты позицияға ие. |
|
Тақырыбы: Python-ды орнату Мақсаты: Python-ды орнатып Windows, Mac, Linux, және Ubuntu операциялық жүйелерінде жұмыс жасауды меңгеру Python бағдарламалау тілін қолданбас бұрын, оны жүктеп, компьютерге орнату қажет. Python3 тегін және оны орнату оңай. Windows, Mac, Linux, және Ubuntu операциялық жүйелерінде жұмыс жасайды. Windows-тегі Python3 1. Python-ның веб-сайтына кіреміз (http://www.python.org) 2. Windows-қа арналған Python-ның үшінші нұсқасынан бастап, тізімнің жоғары бөлігінде болатын соңғы нұсқасына басыңыз. 3. Орнату автоматты түрде жүктеледі, одан соң жүктеу файлын ашып, төмендегі галочкаларды басып, "Install Now" батырмасын басу қажет. 4. Енді программаның дұрыс орнатылғанына көз жеткізіңіз. Менюді ашып, "IDLE" сөзін теріңіз. Одан "IDLE" ішкі топтамаларын шертіңіз.
Mac-қа арналған Python3 1. Python-ның веб-сайтына кіреміз (http://www.python.org) 2. Сіздің Mac-та қандай операциялық жүйе екенін тексеріңіз және қолайлы Python3 нұсқасына басыңыз. Сізге .dmg файлын жүктеп алуды ұсынады. Оны жұмыс үстелінде сақтаңыз. 3. .dmg файлын екі рет шертіңіз. Бірнеше файлдардан тұратын терезе ашылады, оның арасында орнатушы "Python.mpkg" файлы болады. Орнатуды іске қосу үшін оны екі рет шертіңіз. 4. Орнату кезінде "Next" батырмасын басыңыз. Орнатқан соң Mac-та "Applications/Қосымшалар" дестесін ашыңыз, одан соң Python3-ті таңдаңыз. Орнатылымның дұрыстығын тексеру үшңн IDLE таңбашасын екі рет шертіңіз.
Ubuntu-дағы Python3 Егер сіз Linux негізіндегі Ubuntu операциялық жүйесін қолдансаңыз, Python3 программасын браузерді қолданбай-ақ, нұсқауларды қайталаңыз. Егер Linux-тің басқа нұсқасы болса, компьютер иесінен рұқсат сұраңыз. 1. Ubuntu Software Center-ге кіріңіз 2. Іздестіру жүйесіне "Python" сөзін еңгізіңіз 3. Іздестіру терезесінен IDLE (using Python-3) нұсқасын таңдап, "Install/Орнату" батырмасын басыңыз 4. Орнатылу аяқталған соң, оң жоғарғы бұрыштағы "Dash" таңбашасын басыңыз 5. Іздестіру жолына "IDLE" сөзін енгізіңіз және "IDLE" таңбашасын екі рет шертіңіз
|
|
Тақырыбы: IDE-ні орнату Мақсаты: Интеграцияланған өңдеу ортасы (ағылш. Integrated Development Environment) - бағдарламалық қамтамасыз етуді әзірлеу Интеграцияланған өңдеу ортасы (ағылш. Integrated Development Environment) - бағдарламалық қамтамасыз етуді әзірлеу үшін бағдарламашылар пайдаланатын бағдарламалық құралдар жүйесі. Бұл бағдарлама арқылы сіз бағдарламалаумен ыңғайлы түрде айналысып, жаңа мүмкіндіктерге ие боласыз. Python тіліне арналған көптеген сапалы IDE-лер бар. Бірақ мен сіздерге "PyCharm" программасын ұсынамын. Бұл IDE қолданыста ыңғайлы әрі тиімді болып табылады. PyCharm-ды орнату үшін, bit.ly/2W7hVGg нұсқауына өтіп, "Community" сөзінің астындағы "Download" батырмасын шертіңіз. Сонда программа автоматты түрде жүктеледі. PyCharm-нің Community нұсқасы тегін болып табылады.
PyCharm-да код жазуды бастау үшін, "Create New Project" батырмасын шертіп, проектке ат беріңіз. Одан кейін тінтуірдің он батырмасын шертіп, New -> Python File батырмаларын басыңыз. Python файлына ат беріп, "OK" батырмасын басыңыз. Міне, енді сіз PyCharm-да кодты тере аласыз! Жазылған кодты жүзеге асыру үшін, үстіндегі жасыл үшбұрышты шертіңіз. |
|
Тақырыбы: print() функциясы Мақсаты: Жалпы, Python тілінде print() функциясын меңгеру Бұл сабақ print() функциясы жайында болады. Жалпы, Python тілінде print() функциясы арқылы экранға енгізілген объектілер шығарылады. Мысалға, print("Salem!") кодын терсек, экранға "Сәлем" сөзі шығарылады. Бұл үшін, PyCharm программасын ашып, бұл команданы теріп көріңіз. Python тілінде мәтінді жолдар мен символдар дара немесе қос тырнақшалар арқылы жазылады. Ал сандарды шығару үшін, print() функциясында тырнақшаларды қолданбай, сандарды теру қажет. Мысалы, print(150) командасын терсек, экранға 150 саны шығарылады. Одан басқа, print() функциясы арқылы арифметикалық операцияларды жүзеге асыруға болады (бұл тақырып жайында келесі тарауларда толығырақ ақпарат болады). PyCharm бағдарламасын ашып, төмендегі кодтарды теріп көріңіз және нәтижені көру үшін, үстіндегі жасыл үшбұрышты басыңыз (Run батырмасы):
|
|
Тақырыбы: Айнымалылар Мақсаты: Айнымалыны құруды меңгеру Бағдарламалауда біз айнымалыны қорапша ретінде қарастыра аламыз. Бұл қорапшаның ішіне біз әртүрлі мәндерді енгізе аламыз. Мәндер ретінде бүтін немесе бөлшек сандар, мәтінді жолдар, символдар және т.б. объектілер бола алады (деректер типі келесі сабақта қарастырылады). Яғни, айнымалылар программадағы ақпараттың орналасу орнын анықтау үшін қолданылады. Айнымалыны құру үшін, ең алдымен оның атын жазу керек. Одан кейін, тең белгісін қойып, айнымалыға мән беру қажет. Айнымалының мәні ретінде сандар, әріптер, сөздер және т.б. объектілер бола алады. Егер айнымалының мәні "None" сөзі болса, айнымалы бос болып есептелінеді. Айнымалының аты тек қана сандардан, әріптерден және сызық таңбаларынан тұра алады. Және де, айнымалының аты сандардан бастала алмайды. Дұрыс айнымалыларға мысал келтірсек: a = 5, string = "hello", num = 10, boolean = True, mans_name = "Alex". Бұрыс айнымалыларға мысал келтірсек: 333num = 3, $money = 1000, discount% = 10. Айнымалының мәнін экранға шығару үшін, print(айнымалының аты) командасын теру қажет. Төмендегі суретте айнымалылардың қолдану мысалдары көрсетілген. Суреттегі boolean айнымалысының типі логикалық болып табылады, себебі оның мәні True болып табылады (келесі сабақта толығырақ қарастырылады).
Бірақ, айнымалыға дұрыс емес ат қойып, бағдарламаны жүзеге асырсақ, қате шығып, бағдарлама жұмыс істемей қалады.
Айнымалының мәнін өзгерту үшін оған жаңа мән беру жеткілікті. Төмендегі мысалда "gifts" айнымалысының мәні 2. Жаңа мән ретінде і саны болады. Енді бұл айнымалының мәні 2-ден 3-ке өзгерді.
"=" белгісі арқылы бір айнымалының мәнін екінші айнымалыға телуге болады. Мысалы, "rabbits" айнымалысының мәні 5 болса, оны "hats" айнымалы мәніне телуге болады, сонда "hats" айнымалысының мәні де 5 болады. Екі айнымалының мәндерін бірге шығару үшін, үтір таңбасын қолдану қажет. Сонда, үтір арқылы екі айнымалы аралық арқылы шығарылады.
|
|
Тақырыбы: Деректер типі Мақсаты: Python-да деректердің әр типін қарастыру Python-да деректердің бірнеше типі бар. Біз әр типті бөлек қарастырамыз. Бірақ, көп жағдайда бір түрмен жұмыс істеу жеткіліксіз, себебі күрделі жобаларда деректердің бір түрінен басқаларына ауысу қажеттілігі пайда болады. Ең алдымен, сандарды қарастырайық. Python-да сандардың екі типі бар: “Integer” – бүтін сан, және “Float” – бөлшек сандар (нүктемен жазылады). Бүтін сандар арқылы, мысалы адам санын белгілеуге болады, ал бөлшек сандар арқылы, салмақты белгілеуге болады. Бүтін сандарға мысалдар келтірсек: people = 150, num = 1, population = 2000000. Бөлшек сандарға мысалдар келтірсек: weight = 50.5, float_num = 1.5, gpa = 4.9 . Келесі тип – мәтінді жолдар. Python-да дара немесе қос тырнақшаға алынған кез-келген мәтін үзіндісі мәтінді жол болып табылады. Мәтінді жолдар әріптерден, символдардан, цифрлардан, бос орындардан, нүкте және үтір белгілерінен тұра алады. Мәтінді жолдарға мысалдар келтірсек: a = “Coding is fun!”, string = ‘String’, letters = ‘abc’, nums = ‘123’, symbol = ‘a’. Осындай айнымалыларды құрғанда, мәтінді жолдарды әрқашан тырнақшаларға алуға ұмытпаңыз! Келесі деректер типі – логикалық деректер типі немесе Буль айнымалылары. Осы айнымалылардың мәндері әрқашан не ақиқат (True), не жалған (False) болады. Екі сөз де бас әріппен жазылады. Деректер типін анықтау үшін type() функциясы қолданылады. Мысалы, print(type(24)) командасын терсек, экранға мәні шығады (int – integer, яғни 24 – бүтін сан). Осы функция арқылы басқа деректердің типтерін анықтап көріңіздер. Python-да деректердің әртүрлі типтерін бірге араластыруға да болады. Егер біз код жазуда әртүрлі деректер типтерін түрлендірмей, бірге қолдансақ, қате пайда болады. Мысалы, мәтінді жол мен бүтін санды араластырып көрейік. Apple = ‘3’ және num = 1 айнымалыларын алайық. Оларды бірге араластыру үшін келесі команданы жазу керек: print(int(Apple) + num). Яғни, бұл жағдайда біз int() функциясы арқылы ‘3’ мәтінді жолын 3 санына айналдырдық. Ал, сандарды мәтінді жолдарға айналдыру үшін, str() функциясын қолдану қажет. Мысалы, print(str(1) + ‘2’). Бұл жағдайда, экранға 12 мәні шығады, себебі мәтінді жолдар бір-біріне сандар сияқты қосылмай, оңай тілмен айтқанда, бір-біріне кілейленеді. Яғни, бұл жағдайда, ‘1’ мен ‘2’ бір-біріне әріптер сияқты қосылып кетті. Одан басқа, Python-да float() (бөлшек сандарға айналдыру үшін) және bool() (сандарды True немесе False айнымалыларына айналдыру үшін, 0 – False, 1 мен қалған сандар – True) функциялары бар.
|
|
Тақырыбы: Математикалық операциялар Мақсаты: Python-да әртүрлі математикалық операцияларды қарастыру Python-да әртүрлі математикалық операциялар бар.
Бұл сабақта біз ең негізгі амалдарды қарастырамыз (қосу, азайту,
көбейту және бөлу). |
|
Тақырыбы: Мәтінді жолдар Мақсаты: Python-дағы мәтінді жолдарды меңгеру Python-да мәтінді жолдар үлкен
қолданыс табады. Мысалы, әртүрлі жолдарды бір-бірімен біріктіруге
болады немесе олардың жеке бөліктерін шығаруға болады. |
|
Тақырыбы: input() функциясы және print() функциясының қосымша мүмкіндіктері Мақсаты: input() функциясы және print() функциясын қолдану Бағдарламалау арқылы программа пайдаланушыдан әртүрлі ақпаратты сұрай алады. Пайдаланушы пернетақта арқылы ақпаратты енгізгінде, программа бұл ақпаратты шығару кезінде қолдана алады. Программаға ақпарат енгізу үшін, input() функциясы қолданылады. Осы функция белгілі бір айнымалының ішінде болуы қажет. Мысалы, name = input(“What is your name? “). Яғни бұл жағдайда, программа сізден тырнақшадағы сөздермен ақпарат сұрайды. Осыдан кейін, енгізілген ақпаратты экранға шығаруға болады. Бұл үшін, мысалға, print(“Hello,”, name) деп жазуға болады, бұл жағдайда программа “Hello” сөзімен бірге сіз енгізген есімді экранға шығарады: name = input(“What is your name? “) print(“Hello,”, name) What is your name? Alikhan Hello, Alikhan Осыған қоса, егер сіз пайдаланушыдан сандарды сұрағыңыз келсе, input() функциясымен бірге int() немесе float() функцияларын қолдану керек. Жай ғана input() функциясын тергенде де, сіз сандарды енгізе аласыз, бірақ int() немесе float() функцияларымен бірге сіз сәйкесінше тек қана бүтін немесе бөлшек сандарды енгізе аласыз: number = int(input()) print(number) 1 1 -------------------------------------------------------------------------------------------------------------------------------------- Егер біз санның орнына мысалы, жолды енгізсек қате шығады: floatNum = float(input(“Enter a float number: “)) print(floatNum) Enter a float number: abc Traceback (most recent call last): File "", line 1, in floatNum = float(input(“Enter a float number: “)) ValueError: could not convert string to float: 'abc' - Бұл қате жайындағы хабарлама Енгізу жайында біз негізгі ақпаратты қарастырдық, ендеше print() функциясының қосымша мүмкіндіктеріне көшейік. Осы уақытқа дейін біз ақпаратты + және үтір белгілері арқылы шығаруға үйрендік. Осы сабақта ақпаратты тасымалдаудың тағы екі әдісін қарастырайық: >>> x = “David” >>> y = “is” >>> z = 15 >>> print(x, y, z, sep=”-“) David-is-15 “sep=” командасы арқылы біз әр сөзді немесе санды әртүрлі символдармен бөле аламыз. Жоғарыда келтірілген мысалда біз айнымалылар мәндерін бір-бірінен дефис арқылы бөлектедік. Бұл командаға қатысты тағы мысал қарастырайық: >>> print(x, y, z, sep="\n") David Is 15 Бұл мысалда біз “\n” командасын қолдандық. Бұл команда әр мәнді жаңа жолға тасымалдайды, яғни әр мән жаңа жолдан шығарылады. Тағы Python-да “\t” (tab) командасы бар. Бұл команда әр мәнді бір-бірінен үлкен бос орындармен бөледі. Енді, шығаруды тоқтату әдісін қарастырайық. Python-да “end=” командасы арқылы әртүрлі символдарды нәтиже ретінде шығаруға болады. Мысалы, print(“Hello”, ‘.’) командасында нүкте жол ретінде берілген. Ал біз print(“Hello”, end=’.’) деп жазсақ, нүкте нәтиже ретінде шығады. Тағы мысал қарастырайық: >>> print("How are you?", end=' ') How are you? - сөйлемнің соңында бос орын шығады, бірақ ол көрінбейді. >>> print("Alikhan", end="\n\n\n\n") Alikhan Бұл мысалда “Alikhan” атынан кейін төрт жаңа жол шығарылды. |
|
Тақырыбы: Түсініктемелер Мақсаты: Бағдарламалауда жазылған код жайында түсініктемелерді меңгеру Бағдарламалауда жазылған код жайында түсініктемелер жазу өте маңызды. Себебі жұмыс кезінде басқа бағдарламашылар сіздің кодыңыздың мағынасын түсіну керек. Яғни түсініктемелер арқылы сіз кез келген заттарды жаза аласыз және олар кодқа әсер етпейді. Python-да бір жолды түсініктемені құру үшін (тек бір жолға жазылатын қысқа түсініктемелер үшін), # символын қолдану қажет. Мысалы: print("String") # this code prints a string Бұл мысалда, біз қысқа түсініктеме арқылы осы команданың қолдану мағынасын түсіндірдік. Ол кодқа әсер етпеді. Тағы біз көп жолды түсініктемелерді құра аламыз. Егер сіз ұзақ түсініктеме жазғыңыз келсе, бұл түрді қолдану керек. Көп жолды түсініктеме құру үшін, сіз алты тырнақша (жұп немесе дара) қолдану керексіз. Мысалы: ''' Hello! How are you? Can you check my code please? ''' print("String") |
|
Тақырыбы: Логикалық операторлар Мақсаты: Логикалық операторлар арқылы біз айнымалыларды, сандарды, жолдарды салыстыру Логикалық операторлар арқылы біз айнымалыларды, сандарды, жолдарды салыстыра аламыз. Нәтижесінде не ақиқат (True) не жалған (False) болады. == - "тең" операторы != - "тең емес" операторы < - "кем" операторы > - "артық" операторы <= - "кем не тең" операторы >= - "артық не тең" операторы Мысалы: >>> dogs = 5 >>> print(dogs == 1) False >>> print(dogs >= 5) True >>> print(dogs < 2) False >>> print(dogs != 7) True |
|
Тақырыбы: Тармақталу Мақсаты: Python-да тәуелді түрде программаның орындалуы үшін және белгілі бір шарттарды орнату үшін, тармақталуды қолдану Python-да тәуелді түрде программаның орындалуы үшін және белгілі бір шарттарды орнату үшін, тармақталу қолданылады. “if” командасы арқылы егер қойылған шарт ақиқат болса, онда программа командалар блогын орындайды. Ал керісінше шарт жалған болса, программа ішіндегі командалар блогын өткізіп, келесі шартқа көшеді. Одан басқа, шарттар жиынтығының соңында, “else” (әйтпесе) командасы болуы керек. Бұл командада шарт жоқ, яғни барлық шарттар орындалмаған жағдайда, программа “else” командасының командалар блогын шығарады. Егер шарттар бірнеше болса, “if” командасынан кейін “elif” (әйтпесе егер) командасын қолдану қажет. Мысалы: a = int(input(“Are you teenager? ”)) if a == “Yes”: print(“Congrats!”) elif a == “No”: print(“Ok, you can be an adult or kid.”) else: print("Answer Yes or No") |
|
Тақырыбы: Циклдер Мақсаты: Кодтың қайталанатын жолдарынан тұратын программаларды жазу кезінде цифрларды пайдалануды меңгеру Кодтың қайталанатын жолдарынан тұратын программаларды жазу көп уақыт алады және оларды түсіну қиын. Осындай жағдайларда циклдерді қолдану жеңіл әрі үнемді. Python-да циклдің екі түрі бар: for және while. Олар қолданыс жағынан бірдей, бірақ кейбір жағдайларда бір түрін, ал кейбір жағдайларда екінші түрін қолдану ыңғайлы. Ең алдымен, “for” циклін қарастырайық. Бұл цикл түрі қысқартылған болып табылады, сондықтан қолдануда ыңғайлы. range() функциясымен бірге командалар блогын бірнеше рет қайталауға болады. Мысалы: string = input(“Enter a string: “) for i in range(4): print(string) Enter a string: Hooray! Hooray! Hooray! Hooray! Hooray! Бұл цикл жолды төрт рет қайталап шығарады. Сізге командалар блогының неше рет қайталану қажеттілігі белгілі болса, “for” циклін пайдалану жөн. Бірақ, кейде нақты сан белгілі емес болса, “while” циклін қолдануға болады. Мысалы: answer = input("Will you study well? ") while answer != "yes": answer = input("yes or no? ") print(“Cool!”) |
|
Тақырыбы: Тізімдер Мақсаты: Деректерді бір жерге сақтау кезінде тізімдерді қолдану Егер көп деректерді бір жерге сақтау қажет болса, деректер құрылымдарын қолдану керек. Олардың бірі - тізімдер. Тізімдер сандардың, жолдардың, басқа тізімдердің немесе олардың барлығының комбинациясынан тұра алады. Жалпы, тізім дегеніміз - белгілі бір ретпен берілген элементтердің жиынтығы. Тізімдегі әр элементтің өз индексі бар (1-ші элемент 0-ден басталатынын қарастырдық). Тізімдегі элементтерді кез келген уақытта өзгертуге, жоюға немесе жаңа элементтерді енгізуге болады. Мысал қарастырайық: >>> animals = ["dog", "cat", "cow", "horse", "lion", "sheep"] Қазір ғана біз тізімді құрастырдық. Бұл тізім жануар аттарын өзінде элементтер ретінде сақтайды және бұл элементтерді біз кез келген уақытта өзгерте аламыз. Тізімдерді біз кәдімгідей экранға шығара аламыз: >>> print(animals) ['dog', 'cat', 'cow', 'horse', 'lion', 'sheep'] Тізім элементтерін бөлек шығару үшін, олардың индекстерін қолдану керек: >>> print(animals[0]) 'dog' >>> print(animals[1][2] 't' - Бұл мысалда біз тізімнің екінші элементінің үшінші әріпін шығардық, себебі айтылғандай, элемент индексі оның шын орналасуынан бірге кем болып табылады. |
|
Тақырыбы: Кортеждер Мақсаты: Кортеждер немесе сөздіктерді қолдануды меңгеру Әдетте, тізімдерді деректерді реттеу үшін қолданады, ал оларды сақтау үшін кортеждерді немесе сөздіктерді қолданады. Бұл сабақта біз кортеждерді қарастырамыз. Бағдарламалауда көп элементтері бар деректер типі контейнер деп аталады. Жалпы, кортеж дегеніміз - аздап тізімдерге ұқсас, дөңгелек жақшаларға алынатын және өзгермейтін элементтерді сақтайтын деректер құрылымы. Яғни, кортежде орналасқан элементтерді өзгертуге болмайды, өзгертіп көрсеңіз, қате шығады. Мысал қарастырайық: >>> person = ("Bob", 20, 183) >>> print(person) ('Bob', 20, 183) Бұл мысалда біз адам жайындағы ақпаратты сақтайтын кортежді құрдық және элементтерді экранға шығардық. Кортеждің элементтерін де индекс арқылы экранға шығаруға болады (мысалы, print(person[1]) -> 20). Егер біз кортеж элементтерін өзгертіп көрсек программа қатені шығарады: >>> person[2] = 175 >>> print(person) Traceback (most recent call last): File "pyshell#9", line 1, in module person[2] = 175 TypeError: 'tuple' object does not support item assignment |
|
Тақырыбы: Сөздіктер Мақсаты: Сөздіктегі әрбір элементтер мәні және кілттерді меңгеру Сөздіктер кортеждерге ұқсас, бірақ оларда кілт индекстер және мәндер болады. Яғни сөздіктегі әрбір элементтің мәні және кілті бар. Сөздікте элементтердің ретпен орналасуы қажет емес және олардың мазмұны өзгертілуі мүмкін. Мысал қарастырайық: >>> mark = {"Alikhan" : "A", "Sanzhar" : "A", "Arman" : "C"} >>> print(mark) {'Alikhan': 'A', 'Sanzhar': 'A', 'Arman': 'C'} Сөздіктің мәндерін шығару үшін, олардың кілттерінің аттарын жазу керек: >>> print(mark["Alikhan"] 'A' Және де, біз кілттердің мәндерін өзгерте аламыз немесе оларды жоя аламыз: >>> mark['Arman'] = "A" >>> print(mark) {'Alikhan': 'A', 'Sanzhar': 'A', 'Arman': 'A'} >>> del mark["Sanzhar"] >>> print(mark) {'Alikhan': 'A', 'Arman': 'A'} - Бұл мысалда, біз "del" командасы арқылы 'Sanzhar' кілтін жойдық. |
|
Тақырыбы: Функциялар Мақсаты: Python-дағы функцияларды меңгеру Функция дегеніміз - программаның кез келген жерінен хабарласуға болатын код фрагменті. Python-да функцияны "def" командасы арқылы құру керек. Одан кейін, функцияға ат беріп, ішіне кез келген командаларды теруге болады. Одан кейін, осы функцияны аты арқылы программада шақырып, ішіндегі фрагменттің нәтижесін экранға шығаруға болады. Python-да "print()", "input()" секілді көптеген орнатылған функциялар бар, яғни біз "def" командасы арқылы өз функциямызды құра аламыз және біздің функциямыз орнатылған функциялар сияқты белгілі бір әрекетті орындайды. Мысал қарастырайық: def add_two_nums(a, b): c = a + b print(c) add_two_nums(3, 5) 8 Жоғарыдағы мысалда a мен b функция аргументтері болып табылады. Аргументтер дегеніміз - функцияға берілетін деректер, яғни осы аргументтер арқылы функциядағы әрекет жүзеге асты. Бұл функция a мен b сандарын бір біріне қосады. Біз соңында функцияны шақырғанда, a мен b аргументтеріне 3 пен 5 мәндерін бердік, сондықтан нәтижесінде 8 шықты. |
|
Ақпараттық- әдістемелік бөлім Тәжірибе/зертханалық жұмыс Мақсаты: Компьютерде әр түрлі әрекеттердің алгоритмін жүзеге асыру дағдыларын, соның ішінде Python бағдарламалау тілімен тәжірибелік жұмыс дағыдаларын меңгеру |
|
|
|
Зертханалық жұмыс №1. Блок-сұлбалар Жұмыстың мақсаты:
блок-сұлбаларды құрастыру және қолдану дағыдаларын
қалыптастыру. Нұсқа бойынша блок-сұлбаларды
жүзеге асыру, тапсырмалар үшін қолданылатын алогритмнің түрін
белгілеу: 1 нұсқа. 1) a=(x1, y1, z1), b=(x2, y2, z2) векторлары берілген. c=a+b векторының координаталарын табу, векторлардың скаляр көбейтінділерін есептеу. 2) Алматы қаласының троллейбус маршрутының кестесі берілген (маршрут нөмірі және км-мен 7 дейін кездейсоқ санмен берілетін қашықтық). Экранға қашықтығы қандай да бір а санынан үлкен маршрут нөмірін шығары. 3) Файлда бірнеше сөзден тұратын қатар жазылған. «А» әрпі неше рет кездесетіндігін табу. 2 нұсқа. 1) S айнымалыда – Асқардың жасы, М – Мараттың жасы, N – Елдостың жасы. Жасты салыстыру бойынша хабарламаны шығару. 2) Кездейсоқ түрде қалыптастырған n элементтен тұратын массивті (-50; 20) аралығында белгілі бір қолданушы анықтаған ретке келтіру (пернетақтадан 1 (кему бойынша сұрыптау) немесе 2 (өсуі бойынша сұрыптау) саны енгізіледі). 3) Бірнеше қатардан тұратын файл берілген. Функция файлдағы барлық қатарды көшіреді. Егер функция қандай –да бір қатарда санды тапса, онда оның орнына шығыс қатарына реттік санға сәйкес келетін сөзді алғашқы қатардан көшіреді. 3 нұсқа. 1) b16, b20 біле отырып, b24 геометриялық прогрессияның табу. 2) А(m) және B(m) массивтері пернетақтадан енгізіледі. Оларды сәйкесінше элемент бойынша салыстыру керек. Бірдей сандар аяқталатын массив элементінің нөмірін шығару. 3) 3 сөйлем енгізу, оларды бір қатарға біріктіру, оны экранға шығару, сөздердің санын есептеу. 4 нұсқа. 1) А, В, С айнымалылардың мәндерін алмастыру. Мысалы ауыстырғанға дейін: А=1, В=2, С=3, алмастырғаннан кейін: А=3, В=1, С=2. 2) Екі өлшемді сандардың массиві берілген. Бұл массивті лексика кескіндік ретпен сұрыптау (алдымен санның бірінші цифрлары бойынша, бірдей мән болған кезде осы сандардың екінші цифрлары салыстырылады). 3) Пернетақтадан файлға жазылатын 2 сөз енгізіледі. Бірінші сөзден екінші сөзде кездесетін әріптерді жою. Нәтижені экранға шығару. 5 нұсқа. 1) a және b негіздерімен және бұрышымен а негізі үлкен болғанда тең бүйірлі трапецияның ауданын есептеу. 2) Өлшемділігі k, (-10;255) кесіндіден кездейсоқ алынған А және В кездейсоқ сандардың 2 массиві берілген. Екі массивтен де (a(1)* b(k); a(2)* b (k-1); ...)) қарама-қарсы алынған элементтердің мәндерін жұптап көбейту. Көбейтіндісі ең үлкен болатын жұпты белгілеңіз. Осы жұптың мәнін және сәйкес индектстерін шығару. 3) 5 сөзден тұратын файл берілген. Егер сөзде қандай да бір орыс әрпі болса сөзді файлдан тұтастай жою. 6 нұсқа. 1) Шеңбердің және оның ішіне салынған шаршының аудандарының қосындысын табу. 2) К – массив өлшемі, G, сонымен қатар (-80, 15) аралықта алынған массивтің элементтері де кездейсоқ беріледі. Егер G элементінің индексі 4 бөлінгіш болса, онда элемент нөлденеді. G массивін сұрыптау. 3) Мәтіндік файлдың ең ұзын қатарында әр түрлі әріптің санын табу. 7 нұсқа. 1) Егер өзара жұп X, Y, Z әр түрлі сандардың қосындысы бірден кіші болса, онда осы сандардың ең кішісін басқа екеуінің қосындысының жартысымен алмастыру. 2) [-9;8] кесіндіден алынған өлшемділігі k кездейсоқ А және В сандардың массивін беру. Егер массивтерде 4 немесе 5 сандары кездессе, онда одан кейінгі элементті алдыңғы екі элементтің қосындысымен алмастыру. 3) Мәтіндік файлда барлық 8 жолда «+», «-» барлық белгілерді жою. Әр қатарда қанша жою болғандығын санау. 8 нұсқа. 1) Х, Y берілген. Егер екеуі де теріс болса, онда оны модульмен алмастыру; егер біреуі ғана теріс болса, онда екі мәнді де 0,5 көбейту. 2) Кездейсоқ түрде қалыптастырған n элементтен тұратын массивті (- 50; 20) аралығында белгілі бір қолданушы анықтаған ретке келтіру (пернетақтадан 1 (кему бойынша сұрыптау) немесе 2 (өсуі бойынша сұрыптау) саны енгізіледі). 3) Файлда мәтін берілген. 4 қатардан барлық қосарланған, үштік және т.б. таңбаларды жою. 9 нұсқа. 1) a және b катет ұзындықтары бойынша тікбұрышты үшбұрыштың периметрін және ауданын есептеу. Катет ұзындықтарының мәні пернетақтадан енгізіледі. 2) n адамнан тұратын топтың жасы жазылған массив берілген. Массивті кемуі және өсуі бойынша бастапқы массивтің 5-ші және 7–ші орнында тұрған элементтерін алып тастап сұрыптау. 3) Файлда «А», «а» таңбаларының әр қатарына енгізілетін мәліметтің жалпы санын анықтау. 10 нұсқа. 1) A,B,C,D нақты сандар берілген. Егер A<=B<=C<=D, онда әр санды олардың ішіндегі ең үлкенімен алмастыру; егер A>B>C>D, онда сандарды өзгеріссіз қалдыру керек; олай болмаған жағдайда барлық сандар квадратпен алмастырылады. 2) Массивтің берілген мәндері бойынша элементтерді кездейсоқ түрде беру. Жеке сұрыптау а) индекстері жұп және индексінде 1 саны бар элементтерді; б) мәні 3 бөлінгіш, d санынан үлкен емес элементтерді. 3) Файлда 6 қатардан тұратын мәтін берілген. Әр қатарда сандары ең көп сөздерді шығару және әр сөздегі сандардың санын шығару. 11 нұсқа. 1) Диаметрі d және биіктігі h цилиндрдің көлемін және бетінің ауданын есептеу. 2) n натурал саны, nx9 өлшемінің нақты матрицасы берілген. Нөмірі жұп болатын әр бағанның арифметикалық ортасын табу. 3) Компоненттері теріс сан болып табылатын файл құрастыру. Файлда жазылған және файлдың барлық компоненттерінің туындыларының мәндерінің қосындысын табу. 12 нұсқа. 1) Ұштары A(x1,y1), B(x2,y2) кесіндіні k-ға қатысты бөлетін C(x,y) нүктесінің координаталарын есептеу. 2) Кездейсоқ шамалармен толтырылған (-5, 15) өлшемі nxm нақты матрица берілген. b1, …, bn г реттілігін алу, ол жерде bk – бұл модулі [1; 10] кесіндісіне жататын k-ші қатарының элементтерінің квадраттарының туындысы. 3) Файлда 8 қатардан тұратын мәтін берліген. Экранға көршілері бірдей, яғни сол жағындағы да оң жағындағы да таңбалары бірдей сөздерді шығару. 13 нұсқа. 1) a, b, c сандары берілген. ax 2 +bx+c=0 квадраттық теңдеуді зерттеу. 2) Бүтін сандық квадраттық матрица берілген. Осы массив негізгі диагональға симметриялы ма екендігін анықтау. 3) Компоненті екіден кем емес F таңбалық файл қалыптастыру. Файлдың бірінші екі таңбасы цифр ма екендігін анықтау. Егер солай болса, онда осы цифрлардан құралған сан жұп па екендігін анықтау. 14 нұсқа. 1) y=k1x+b1 және y=k2x+b2 екі түзудің арасындағы бұрышты есептеу. 2) Берілген n*n реттегі нақты квадрат матрицада мәндері ең кіші элемент орналасқан қатардың қосындысын табу. 3) Санағанда файлдан мәтін «о» әріптері «а» әрпіна алмастырылады және алынған мәтінді файлға жазу. 15 нұсқа. 1) Пернетақтадан енгізілген төрт санының ең үлкен және ең кішісінің туындысын есептеу. 2) n реттегі бүтін сандық квадрат матрицасы берілген. Тек қана жұп элементтерді жазу және сұрыптау. 3) 20-дан 200-ге дейінгі аралықтағы кездейсоқ 100 сандардан тұратын файл құрастыру. Файлда қарапайым: 23, 31 сандарының болуын тексеру. 16 нұсқа. 1) X, Y, Z нақты оң сандары берілген. Егер үшбұрыштың X, Y, Z жақтары болса, онда ол үшкір бұрышты болады ма. 2) Бүтін санды n квадрат матрицасы берілген. Элементтері кемитін реттілікті құрастыратын қатар бойынша матрица элементтерін сұрыптау. 3) 20 бүтін саннан тұратын файл құрастыру. Файлда пернетақтадан енгізілген сан бар ма екендігін анықтау. 17 нұсқа. 1) A, B, C, D оң сандар берілген. Жақтары A, B тікбұрышты жақтары C, D болатын тікбұрышқа орналастыруға бола ма екендігін анықтау керек бірақ бір тікбұрыштың әр жақтары екінші тікбұрыштың әр жағына параллель болатындай. 2) Берілген кездейсоқ матрицаның A(N, N) негізгі диагоналінің элементтерінің арасында қандай да бір тақ элемент бар ма екендігін анықтау. 3) Сұрыптау бағдарламасын файлда сөз ұзындығы бойынша қатармен жазу және нәтижелерді жеке файлға шығару. 18 нұсқа. 1) X1, X2, X3, Y1, Y2, Y3 сандары берілген. Координата басының шындары (X1,Y1), (X2,Y2), (X3,Y3) үшбұрышқа жатады ма екендігін анықтау. 2) Берілген A(N, N) кездейсоқ массивте санының мәні бойынша сәйкес келетін кем дегенде бір жұп бар ма екендігін анықтау. 3) 5 қатардан тұратын әр мәтіндік файлдан әр қатардағы дауысты дыбыстардың санын табу. 19 нұсқа. 1) Шеңбердің 2 радиусы берілген: ішкі және сыртқы. Шеңбердің ауданын табу. 2) Өлшемі 4х6 берілген матрицада мәні ең жоғары элементі бар қатар мәні ең төмен қатармен орнын ауыстыру. Элементтер жалғыз деген болжам жасалады. 3) Файлдың барлық 10 қатары бойынша ең ұзын сөзді анықтайтын бағдарламаны жазу. Бір сөз басқа сөзден бос орынмен анықталады. 20 нұсқа. 1) a=(x1, y1, z1), b=(x2, y2, z2) векторлары берілген. d=b-a векторының координаталарын анықтау. 2) nxm өлшемді нақты матрица берілген. Оның қатар элементтерінің ең үлкен мәндерінің қосындысын табу. 3) 10 қатардан тұратын файл берілген. Әр қатарда ұзындығы ең аз сөзді табу және жою кейін файлдың соңына мәтінде кездесетін барлық цифрларды көшіру. 21 нұсқа. 1) 0-ден 24-ке дейінгі сан жасырылады. 6 сұрақ қойып қай сан екендігін табу. 2) 12 реттіліктегі нақты квадрат матрица берілген. Негізгі диагональда және одан жоғары орналасқан барлық элементтерді нөлмен алмастыру. Массивтің ең үлкен элементін және оның нөмірін табу. 3) Файлда 4 қатардан тұратын мәтін берліген. Егер қатарда «*» таңбасы болмаса, онда бұл қатарды өзгертусіз қалдыру, олай болмаса, «*» таңбасының алдында тұрған кіші латын әріпті цифрмен алмастыру.
Блок-сұлба – бұл әрекеттердің бағытын көрсететін, сызықтармен өзара байланысқан, әртүрлі пішіндегі блоктар түрінде бейнеленетін алгоритмдерді сипаттайтын сызбалардың кең таралған түрі. Төмендегі белгілеулер ең көп кездеседі:
Сызықтыз, тармақталған және циклды түрлері болады сонымен қатар аралас түрі ол алгоритмнің әр түрі араласқан сызықтардың түрі болады. 1 суретте алгоритмнің барлық түрлері көрсетілген: 1а – сызықтық, 1б – циклдік, 1в – тармақталған.
1 сурет – Алгоритмінің әр түрлерінің көрінісі |
|
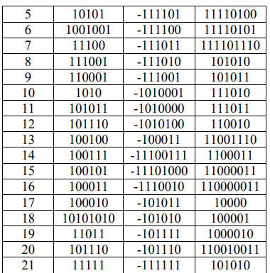
Зертханалық жұмыс №2. Python. Санау жүйесі Жұмыстың мақсаты: санау жүйесінде алмастыру дағдыларын қалыптастыру. Жұмыстың тапсырмасы 1. 10-дық санау жүйесіндегі сан енгізіледі. Бұл санның 2-лік, 8-дік, 16- лық санау жүйесіндегі мәнін анықтау (1 кесте). 1 кесте – Нұсқа бойынша ондық сандарды ауыстыруға тапсырма
2. Екілік санау жүйесінде сан енгізіледі. 8-дік, ондық және 16- лық баламаларын шығару (2 кесте) 2 кесте – Екілік сандарды нұсқа бойынша алмастыруға тапсырма
3. 8-дік санау жүйесінде a
және b сандары енгізіледі. Ондық санау жүйесінде олардың (a+b)
қосындысын және (a-b) айырмасын табу (3
кесте).
1. Python бөлшек сандарды ауыстырмайды, тек оның бүтін бөліктерін ғана ауыстырады, олай болмаса қателіктер шығады (2 сурет).
2 сурет – Бүтін емес сандарлы ауыстырған кездегі қателік Санның бүтін бөлігін ондық санау жүйесінен bin операторының көмегімен екілік санау жүйесіне, oct көмегімен – 8-дік, hex көмегімен – 16-лық санау жүйесіне алмастыруға болады (мысалдар 3 суретте көрсетілген).
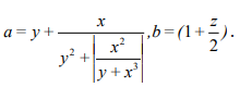
3 сурет – 10-дық санау жүйесінен сандарды ауыстыру 2. Айнымалының мәні берілген кезде, ол келісілген түрде ондық түрде қарастырылады, егер оны басқа санау жүйесінде беру қажет болса, мәнді берген кезде басқа формат қолданылады (мысалдар 4 суретте көрсетілген).
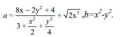
3. Мысалы түрінде түсіндіру: сегіздік санау жүйесінде a8=300, b8= -177 сандары берілген. Есептелетін (a+b) қосындысы және (a-b) айырмашылықтары және ондық жүйедегі жауап 5 суретте көрсетілген
5 сурет – Сандардың қосындысын және айырымын есептеу |
|
Зертханалық жұмыс №3. Python. Сызықтық және тармақталған түрдегі тапсырмаларды жүзеге асыру Жұмыстың мақсаты: қарапайым құрылымды тапсырмаларды бағдарламалау дағдысын қалыптастыру. Жұмыстың тапсырмасы Python бағдарламасында нұсқа бойынша бес тапсырманы шешу. 1 нұсқа. 1) Бір-біріне қарама-қарсы бірдей үдеумен қозғалып келе жатқан денелердің бастапқы жылдамдығы және ара қашықтығы белгілі болса, ол екеуі қанша уақыттан кейін кездесетіндігін анықтау. 2) а1, d, n бойынша арифметикалық прогрессияның қосындысын табу. 3) 6 сан берілген. Қосындылары 9-ға тең болатын үш санды табу. Егер ондай сандар болмаса, хабарлау. 4) a, b, c сандары берілген. Оларды (-1)3 *сан формуласы бойынша түрлендіру. Нәтижені шығару. Егер алынған мәндер 0-ден кіші болса, оларды өз модульдерімен алмастыру. Олардың қосындысын есептеу. 5) 5 сан және оларға сәйкес (n1,…,n5) түбір дәрежелері берілген. Әр санды түбір астынан шығару және салыстыру. 2 нұсқа. 1) Негізі а үлкен болғанда негіздері a, b және бұрышы α теңбүйірлі трапецияның ауданын табу. 2) Үшбұрыш өзінің жақтарының ұзындығымен берілген. Биіктігінің, медиананың, биссектрисаларының ұзындықтарын табу. 3) 3 сан берілген. Осы сандар тікбұрышты үшбұрыштың жақтары бола ма екендігін тексеру. 4) a, b, c, d, e сандары берілген. Олардың факториалдарын есептеу және экранға факториалы f санынан үлкен болатын сандарды ғана шығару. 5) Координатты түрде 5 нүкте берілген. Ара қашықтықты жұппен есептеу. Алынған ара қашықтықтарды салыстыру, координат нүктелерін шығару, ең аз қашықтықты анықтау.
1) Екі x1, y1, x2, y2 нүктелердің арасындағы қашықтықты есептеу. 2) Кез келген бес нүктенің орташа арифметикалық және орташа геометриялық қосындысын табу. 3) 4 сан берілген. Олардың ішінен қосындысы 12-ге тең болатын үш санды табу. Егер ондай сандар болмаса, хабарлау. 4) 4 сан берілген – жылқылардың шабу уақыты. Орташа уақытты есептеу және қай жылқының шабу уақыты орташа уақыттан аспайтындығын анықтау. Шабыстың жеңімпазын анықтау. 5) Парабола теңдеуі берілген. Берілген нүкте теңдеуге жатады ма, соны анықтау. 4 нұсқа. 1) Шеңбердің ішкі және сыртқы радиустары берілген. Шеңбердің ауданын табу. 2) Үшбұрыш шыңдарының координаталарымен берілген. Үшбұрыштың периметрін және ауданын табу. 3) Параллелепипедтің жақтарының ұзындықтары берілген. Көлемін және оның барлық диагональдарын табу, оларды салыстыру және диагональдың ең қысқа ұзындығын шығару. 4) Үшбұрыштың ауданын белгілі үш жағы бойынша табу. Ең ұзын биіктікті шығару. 5) Өзара 4 санды салыстыру. 5 нұсқа. 1) n, b2, b5 бойынша геометриялық прогрессияның қосындысын табу. 2) Үшбұрыштың координаталары берілген. Симметрия нүктесінің координаталарын табу. 3) Қандай да бір сан жасырылған. Ол ойша үшке көбейтіледі, 4 азайтылады және 2-ге бөлінеді. Жауаптың бүтін бөлігі айтылады. Оң сан анықталды ма екендігін анықтау. 4) 2 сан берілген. Олардың модульдерінің арифметикалық және геометриялық орташасын табу. Нәтижелерді салыстыру. 5) 6 сан берілген. Олардың ішінен қосындысы 8-ге тең болатын екі санды табу. Егер ондай сандар болмаса, хабарлау. 6 нұсқа. 1) Егер барлық жақтары және 2 бұрышы белгілі болса, төртбұрыштың ауданын табу. 2) Параллель жалғанған 4 кедергі берілген. Байланыс кедергісін табу. 3) 5 жүгірушінің реттік нөмірлері берілген (мысалы 2, 7, 10, 11, 20). Осы жүргірушілердің жылдамдықтарының орта мәні берілген. Жеңімпаздың және жеңілген жүгірушінің реттік нөмірін табу. 4) Шеңбердің ішкі және сыртқы радиустары белгілі. Нүкте шеңбердің ішкі аумағында немесе оның шекарасында болатындығын анықтау. 5) Үшбұрыш оның ішіне сызылған шеңбердің радиусымен және бұрыштарымен берілген. Үшбұрыштың жақтарын және ең ұзын жағының ұзындығын табу. 7 нұсқа. 1) Берілген 4 координата нүктесі бойынша олардың арасындағы қашықтықты табу. 2) 2 катет берілген. Гипотенузаны және бұрышты табу. 3) ax 2 -(3-c)x-c=0 теңдеуінің үлкен түбірін табу. 4) Үшбұрыш өзінің жақтарының ұзындықтарымен берілген. Биіктіктерінің ұзындықтарын, медианаларының ұзындығын, биссектрисаларының ұзындықтарын табу. Ең кіші мәндерін шығару. 5) Координаталы түрде берілген 3 нүктенің арасындағы қашықтықты есептеу. Ара қашықтықтары ең үлкен нүктелердің координаталарын шығару. 8 нұсқа. 1) Үшбұрыштың шыңдарының координаталары бойынша биссектрисаларының ұзындықтарының қосындысын табу. 2) Шаршы берілген. Оның сыртына және ішіне сызылған шеңберлердің ауданын табу. 3) 6 сан берілген. Олардың ішінен қосындысы 11-ге тең болатын екі санды табу. Егер ондай сандар болмаса, хабарлау. 4) Катет және гипотенуза берілген. Екінші катетті және қай катеттің биіктігі төмен екендігін табу. 5) Үшбұрыш өзінің шыңдарының координаталарымен берілген. Үшбұрыштың периметрін және ауданын табу. Үлкен жағын анықтау. 9 нұсқа. 1) Дұрыс n-бұрыштықтың ауданын табу. 2) Радиусы =13,7, ал доғасында радиан φ берілген саны бар сектордың ауданын табу. 3) Кездейсоқ енгізілген 4 санды өзара салыстыру. Ең үлкен және ең кіші элементті шығару. 4) a1,...,a10 нақты сандары берілген. max(a1+a10,a2+a9,...,a5+a6) есептеу. 5) 6 сан берілген. Олардың ішінен қосындысы 5 тең болатын үш санды табыңыз. Егер ондай сандар болмаса, ол жөнінде хабарлау. 10 нұсқа. 1) Тізбектей жалғанған 3 кедергінің мәндері берілген. Байланыстың кедергісін табыңыз. 2) Үшбұрыштың жақтары берілген. Оның ішіне және сыртына сызылған шеңбердің ауданын табыңыз. 3) n(n<10) мүшелерден тұратын арифметикалық прогрессия берілген, a1 және d белгілі. Осы прогрессияның барлық жұп мүшелерінің қосындысын табу. 4) Машинаның берілген ара қашықтықтары және жылдамдығы бойынша әр машинаның жүріс жолындағы уақытын анықтау. Оларды салыстыру. 5) 5 санның арифметикалық және геометриялық орташа мәнін есептеу. Салыстыру. 11 нұсқа. 1) Есептеу:
2) Кез келген 6 санның арифметикалық ортасын табу. 3) ax2+bx+c=0 теңдеулерінің түбірін табу. D<0, =0 жағдайды ескеру. Түбірлерін салыстыру. 4) b1, n (n<8), q берілген. Прогрессияның ең үлкен және ең кіші мүшесін табу. 5) Фибоначчидің ретті 7 саны берілген. Жеті саннан мүмкін болатын барлық комбинацияның ең үлкен туындысын табу. 12 нұсқа. 1) Есептеу:
2) Гипотенуза және катет бойынша үшбұрыштың ауданын, сыртына сызылған шеңбердің ауданын табу. 3) 5 саннан мүмкін болатын барлық 2 санның комбинациясының ең үлкен туындысын шығару. 4) 6 саннан жұптастырып арифметикалық ортасын шығару. Салыстыру. 5) Тексеру: координатасы берілген нүкте қандай да бір тікбұрыш аумаққа енеді ма екендігін. 13 нұсқа. 1) Фибоначчидің бірінші 4 санының қосындысын табу. 2) Екі шеңбердің радиустары берілген. Осы шеңберлермен шектелген шеңбердің ауданын табу. 3) 2-ден 25-ке дейінгі сан жасырылады. 6 сұрақтың ішінде қай сан жасырылғандығын табу. 4) 4 сан берілген (олардың кейбіреулері теріс). Сандардың түбірін табу. 5) Түзудің теңдеуі берілген. 2 нүкте осы түзуге жатадындығын немесе жатпайтындығын анықтау. 14 нұсқа. 1) a, b, c, d, e, f – екі үшбұрыштың жақтары берілген. Үшбұрыштың аудандарының айырмашылығын табу. 2) Шеңбердің ауданының және оның ішіне сызылған шаршының ауданының қосындысын табу. 3) (a-с)x2 +(b-а)x+c=0 теңдеуінің түбірін табу. D<0, =0 жағдайын ескеру. Түбірлерін салыстыру. 4) Координатасы берілген нүкте шеңбердің ішкі аумағында жататындығын анықтау. 5) Шыңдарының координатасы белгілі үшбұрыш берілген. Үшбұрыштағы ең үлкен биіктікті анықтау. 15 нұсқа. 1) Табу:
2) Үш санның геометриялық ортасын табу. 3) Егер шаршының шығбарының координаталары берілсе, берілген нүкте шаршының ішкі аумағына немесе оның шекарасына түсетіндігін анықтау. 4) Координаталық түрде берілген 4 нүктенің аарсындағы қашықтықты есептеу. Салыстыру. 5) Адамның бойы және салмағы берілген. Берліген бойға оның салмағының сәйкестігін есептеу. 16 нұсқа. 1) Жақтарының ұзындықтарын біле отырып, жақтары бірдей үшбұрыштың ауданын табу. 2) Шеңбердің ұзындығы белгілі. Осы шеңбермен шектелген дөңгелектің ауданын табу. 3) Сандар берілген: a, b, c – негіздері, d, e, f – санның дәрежелері. Қандай сан басқа сандармен бірдей дәрежеде қаншалықты дәрежеде үлкен екендігін анықтау. 4) 5 сан берілген. Олардың ішінен қосындысы 7-ге тең үш санды табу. Егер ондай сандар болмаса, ол жөнінде хабарлау. 5) Координаталы түрде берілген нүкте үшбұрыштың аумағында жататындығын анықтау. 17 нұсқа. 1) Текшенің қабырғасының ұзындығы берілген. Текшенің көлемін және оның бүйір бетінің ауданын табу. 2) Ұзындығы l маятниктің тербеліс периодын есептеу 3) Анықтау:
4) n, b6, b12 біле отырып, геометриялық прогрессияның қосындысын табу. 5) 2 сан берілген. Олардың модульдерінің арифметикалық және геометриялық ортасын табу. 18 нұсқа. 1) Катеттер берілген. Гипотенузаның және үшбұрыштың ауданын табу. 2) Радиусы r шеңбердің айналасына сызылған дұрыс n-бұрыштықтың периметрін табу. 3) Көлемі v1 литр температурасы t1 су температурасы t2 және көлемі v2 литр тура сол сумен араластырылған. Қоспаның көлемін және температурасын табу. 4) h биіктіктен жер бетіне тастың құлау уақытын анықтау. 5) Параллель жалғанған 3 кедергінің мәндері берілген. Байланыстың кедергісін табу. 19 нұсқа. 1) Үшбұрыштың барлық жақтарын біле отырып, медианаларының қосындысын табу. 2) Бір бірінен r қашықтықтағы массалары m1 және m2 екі дененің арасындағы F тартылыс күшін анықтау. 3) Катет және гипотенуза берілген. Екінші катетті және үшбұрыштың ішіне сызылған шеңбердің радиусын табу. 4) Шеңбердің ұзындығы берілген. Осы шеңбермен шектелген дөңгелектің ауданын табу. 5) Есептеу:
20 нұсқа. 1) Үшбұрыштың бұрыштарының шамалары және оның ішіне сызылған шеңбердің радиусы берілген. Үшбұрыштың жақтарын табу. 2) Есептеу:
3) n, b1, b3 бойынша геоометиялық прогрессияның қосындысын табу. 4) Ішкі радиусы =20 және сыртқы радиусы берілген сақинаның ауданын табу. 5) Сандар қатары берілген, олардың саны n (n<7). Қатарды сұрыптау. 21 нұсқа. 1) 4 сан берілген. Оларды сұрыптау. 2) Қандай да бір сан жасырылған. Ойша одан 5-ті аламыз, 4-ке көбейтіледі, 3-ке қосылады және 8-ге бөлінеді. Жауап ретінде бүтін сан айтылады. Теріс сан жасырылған ба екендігін анықтау. 3) Шыңдарының координаталары белгілі үшбұрыш берілген. Үшбұрыштағы ең кіші биіктікті анықтау. 4) Фиббоначчи сандарының алғашқы бесеуінің қосындысын табу. 5) 6 сан берілген. Олардың ішінен қосындысы 9-ға тең болатын үш санды табыңыз. Егер ондай сандар болмаса, ол жөнінде хабарлау.
Мысалы ретінде екі тапсырманы алайық: үш санның арифметикалық ортасын есептеу; екі айнымалыны салыстыру. Python нәтижелердің листингі 6а суретте, принскрин 6б суретте көрсетілген
6 сурет – Сызықтық түрдегі және тармақталған тапсырмаларды жүзеге асыру |
|
Зертханалық жұмыс №4. Python. Циклдер және массивтер Жұмыстың мақсаты: циклдармен және массивтермен жұмыс істеу дағдыларын қалыптастыру. Жұмыстың тапсырмасы Python бағдарламасында нұсқа бойынша бес тапсырманы шешу. 1 нұсқа. 1) a1,...,a20 сандарының бір өлшемді массиві берілген. Оны кездейсоқ түрде толтыру және сұрыптау. 2) 1 саны – дүйсенбі екені белгілі, олай болса айдың n-саны аптаның қай күні болады. 3) Айдағы күндердің саны берілген. Мүмкін болатын айды анықтау. 4) Квадратты матрица берілген. Оған кері матрицаны алу. 5) k*k массив берілген. Негізгі диагональдің элементтерін қосымша диагональдің элементтеріне алмастыру. 2 нұсқа. 1) Ұзындығы n бірөлшемді массивтің кездейсоқ түрде берілген барлық элементтерінің орта мәнін анықтау. 2) Ұзындығы k бірөлшемді массив берілген. Массивтің ең үлкен элементін табу. 3) Квадрат матрица түрінде Фибоначчи сандар қатарының бірінші 16 элементінен сандар массивін шығару.
қанша оң элементі болатындығын анықтау 3 нұсқа. 1) а элементтен тұратын кездейсоқ сандардың массиві берілген. Индекстері үшке еселі массив элементтерін ғана экранға шығару. 2) Егер айдың екінші күні – бейсенбі болса, онда айдың n-күні аптаның қай күні болады. 3) Кездейсоқ түрде толтырылған сандардың массиві берілген. Индекстері k кіші және n үлкен емес массив элементтерін шығару. 4) Қолданушы n*n элементтердің массив санын енгізеді. Матрицаны кері түрде жазу (соңынан бастап). 5) Бірінші элементтері 3 және 5, ал келесі элементтері алдыңғы екеуінің қосындысын екіге бөлгеннен құралатын екі өлшемді n*m массивті шығару. 4 нұсқа
2) n элементтердің кездейсоқ сандардың массиві берілген. Симметриялы түрде орындарын ауыстыру (біріншісін соңғысымен, соңғысын екіншімен және т.с.с.). 3) n элементтен кездейсоқ сандардың массиві берілген. Индексінде 2 саны бар сандарды шығару. 4) n*n матрицасы енгізіледі. k қатарынан жоғары тұрғанды нөлдендіру, төмен тұрған элементтерді кемуі бойынша сұрыптау. 5) n саны, 4*4 матрица берілген. Негізгі диагональдың геометриялық орташасын табу және онымен жанама диагональдың ең үлкен элементін алмастыру, матрицаның оң элементтерін нөлдендіру, қалғандарын өзгерту. 5 нұсқа 1) Массивтің кездейсоқ енгізілген барлық элементтерін өсуі бойынша сұрыптау (n-массив элементтерінің саны). 2) n элементтерден қолданушы енгізген сандардың массиві берілген. Индексінде 2 саны бар сандардан массив құрастыру. Алынған массивтегі барлық сандарды кемуі бойынша сұрыптау. 3) Ұзындығы n кедейсоқ берілген бір өлшемді массивтің барлық элементтерінің геометриялық ортасын табу. 4) Квадратты матрица берілген. Оған кері транспонирленгенге көбейтілген матрица алу. 5) m*m кездейсоқ сандар массивінде бірінші n қатардың элементтерін 1-ге алмастыру, келесі 2 қатардың элементтерін симметриялы түрде жол бойынша ауыстыру (біріншісін соңғысымен және т.б.), қалғандарын нөлдендіру. 6 нұсқа. 1) Қолмен n элементтерден енгізілген массивтің 3-ке бөлінетін барлық тақ элементтерін шығару. 2) Фибоначчи сандар қатарының бірінші 25 элементінен сандар массивін шығару. 3) n элементтерден тұратын кездейсоқ сандар массиві берілген. Индексінде бір немесе екі бар сандардан жаңа массив құрастыру. Алынған массивті кемуі бойынша сұрыптау. 4) Нөмірлері k, n, h матрица берілген. Осы нөмірдегі қатардың элементтерін өзара орнын ауыстыру. 5) А кездейсоқ сандар матрицасынан келесі матрицаларды шығару: В – матрицаның жоғарғы диагональ элементтері, С – төменгі элементтер матрицасы. 7 нұсқа. 1) Егер айдың 2-күні сенбі болса, онда айдың n-дүйсенбісі айдың қай күні болады. 2) n элементтерден кездейсоқ сандардың массиві берілген, көрші элементтерді ауыстыру (1-ші элементті 2-шімен, 2-шіні 3-шімен, ..., соңғыны 1-шімен)
4) А квадратты матрица берілген. А 3 алу керек. 5) 5*6 матрицасы, индекстері тақ элементтерді осы элементтің алдында тұрған қатардың қосындысына алмастыру. 8 нұсқа. 1) n элементтерден тұратын қолмен енгізілген 4-ке бөлінетін массивтің барлық жұп элементтерін шығару. 2) Ұзындығы n кездейсоқ сандардың қандай да бір реттілігі берілген. Тізімді k (k(k<4) бөліктерге бөліп әр бөлімін сұрыптау. Нәтижені шығару 3) Ұзындығы n сандардың тізімі берілген. Тағы 2 сандар ретін алу: біріншісі – сәйкес элементтердің квадраттарынан, ал екіншісі тақ элементтердің кубынан тұратын. 4) а1, …, аn нақты сандары берілген. n*m алу, мұнда m қатары сәйкес ai элементтің m дәрежесі, m=1, …, 5. 5) Матрицаны тігінен бірдей бөліктерге бөлу. 9 нұсқа. 1) k сандардан барлық мүмкін болатын 2 санның комбинациялардың ең үлкен туындысын шығару. 2) Екі таңбалы 10 сан берілген. Көрші элементтердің қатынасынан ең үлкенін анықтау. 3) Координатты түрде берілген k нүктелердің арасындағы қашықтықты есептеу. Салыстыру. 4) Тікбұрышты А матрица берілген. Транспонирлы матрицаны алу. 5) А-квадратты матрица. А* - транспонирленген. АА* -ны алу. 10 нұсқа. 1) Бір айдағы күндер саны берілген. Мүмкін болатын уақыт мезгілін анықтау. 2) Ұзындығы n кездейсоқ сандардың массиві берілген. Массивті сұрыптау және ең үлкен және ең кіші элементтердің арасындағы арифметикалық ортаны анықтау, жаңа массив түрінде жазу. 3) Екі таңбалы 10 сан берілген. Массивті кемуі бойынша сұрыптау. 4) Фибоначчи сандар қатарының бірінші 15 элементін тікбұрышты матрица түрінде шығару. 5) Бірінші элементтері 1 және 2, ал келесі элементтері алдыңғы екі санды қосып оны 2-ге бөлу арқылы қалыптасатын n*m екі өлшемді массивті шығару. 11 нұсқа. 1) n натуралды сан берілген. Бірінші n көбейткіштерінің *... 7 6 * 5 6 * 5 4 * 3 4 * 3 2 туындыларын есептеу. 2) Ұзындығы n тізбегі берілген. Қандай саннан кейін k саны қайталанатындығын есептеу. 3) Реті n А және В квадрат матрицалары берілген. АВ+ВА-А матрицаларын алу. 4) Өлшемділіктері бірдей кездейсоқ сандардан құралған А және В матрицалары берілген. А және В матрицаларының негізінде С матрицасы А және В матрицаларының сәйкес элементтерінің қосындысынан тұратындай С, D матрицаларын шығару. D=А·А*-В·С. А* - транспонирленген. 5) n ретті кездейсоқ элементтермен толтырылған квадратты матрица берілген. Негізгі диагональдан жоғары тұрған элементтерге бірден жоғары мән беру, басты диагональді нөлдендіру. Ал қалған элементтердің мәнін n санына көбейту. 12 нұсқа. 1) 2 күнді көрсететін (күн, ай, жыл) a1, b1, c1, a2, b2, c2 натуралды сандар берілген. Осы екі күн арасындағы өткен күннің санын және жылдың бүтін санын анықтау. 2) Кездейсоқ түрде берілген әрқайсында n элементтен тұратын 2 сандар массиві берілген. Екі массивтердің сәйкес элементтерін көбейту және кемуі бойынша сұрыптау. 3) k элементтерден тұратын кездейсоқ сандардың 6 массиві берілген. Әр массивтің арифметикалық ортасын табу және оны арифметикалық ортасы басқаларына қарағанда ең аз массивтің индексімен шығару. 4) Кездейсоқ сандардың тікбұрышты матрицасы берілген. Барлық тақ сандарды нөлмен алмастыру, ал жұп сандарды 3-ке көбейту. 5) 4*5 матрицасы берілген. Индекстері тақ барлық элементтерді 15 санына алмастыру, ал индекстері жұп элементтерді нөлмен алмастыру. 13 нұсқа. 1) Қандай да бір сандардың қатары белгілі. Қатарды өсуі бойынша сұрыптау. 2) Берілген қашықтықтар және n машинаның жылдамдығы бойынша әр машинаның жүрген уақытын анықтау. Орташа жылдамдықты V есептеу және V асатын машианалардың индексін шығару. 3) k сандары берілген. Қосындылары а-ға тең болатын үш санды табу. Егер ондай сандар болмаса, хабарлау. 4) n натурал сандар берілген, өлшемі n*9 нақты матрица. Әр бағанның арифметикалық ортасын анықтау. 5) Қатар бойынша элементтердің және кездейсоқ сандар массивінің n*n баған бойынша орташа мәнін табу. 14 нұсқа. 1) Ондық сандардың массиві берілген. n-ға ең жақын санды табу. 2) Ұзындығы n кездейсоқ сандардың қандай да бір реті берілген. Тізбекте көршілес (қатар тұратын) екі оң сандарды; үш теріс сандардың көлемін кезекпен анықтау. 3) Нақты х саны берілген. Есептеу
4) Реті 3 А және В квадратты екі матрица берілген. С = (А*В)*А матрицасын табу. 5) 4*6 матрицасы берілген. 2 саны бар сандардың мөлшерін анықтау. 15 нұсқа. 1) а1, а2..., аm нақты сандары берілген. а1>0, және а2,..,аn арасында – қандай да біреу де болсын теріс сан бар екендігі белгілі. а1,а2..,аn – бірінші теріс санның алдында тұратын осы реттіліктің мүшелері болсын (n-алдын ала белгілі). а1,...,аn геометриялық ортасын алу.
3) m, a1, a2,...a20 бүтін сандар берілген. Олардың ішінде әрқайсысы 20- дан аспайтын i, j, k үш натурал санды табу, олар ai+aj+ak=m шартына сәйкес келу керек. Егер ондай сандар жоқ болса, ол жөнінде хабарлау. 4) Өлшемі n*9 матрица берілген. 4 нөмірі бар әр бағанның арифметикалық ортасын табу. 5) Өлшемі n*m, барлық элементтері нөлге тең болмайтын квадратты матрица берілген. Осы матрицаның барлық элементтерін нөмірі бойынша ең үлкен элементке бөлу арқылы алынған жаңа матрицаны алу. 16 нұсқа. Ұзындығы n кездейсоқ сандардың реті берілген. Қатардан мәндері a және b тең элементтерді алып тастау. Алынғанды шығару, одан кейін оны шамаларының өсу реті бойынша сұрыптау. 2) m және n натурал сандар берілген. Ортақ бөлгіші жоқ p/q=m/n болатындай p және q натуралдарды табу. 3) 10 элементтен әр қайсысында 4 элементтен болатын барлық комбинацияларды алу. 4) n натурал сан берілген. 1·2+2·3·4+....n(n+1)....2n есептеу. 5) Егер аij=cos(i2 +n) болса, |аij|i,j=1…n, матрицасының қанша оң элементі болатындығын анықтау. 6) Кездейсоқ сандардың екі өлшемді массиві берліген. Осы массивтің барлық оң элементтерін (-2) санына алмастыру, нөлдерді өзгерусіз қалдыру, ал теріс элементтерін массивтің ең үлкен элементіне бөлу. 17 нұсқа. 1) Кездейсоқ алынған 10 элементтен тұратын 4 массив берілген. Үш массивтің сәйкес элементтерін қосу және 4-ші массивтің сәйкес элементіне бөлу, оны 5-ші массивке жазу және кемуі бойынша сұрыптау. 2) n, a1,a2,...an бүтін берілген. x1,y1;x2y2;...xkyk алу, мұнда x1,x2,...xm - a1,a2,...an қатардың реттілікпен алынған жұп мүшелері, ал y1,y2,...yl – тақ мүшелері, k=min(m,l). 3) Бағдарлама кездейсоқ сандар датчиктің көмегімен сандары әр түрлі төрт таңбалы санды таңдайды. Осы санды табу. Әр қадамда ойнаушы төрт таңбалы санды енгізеді, ал бағдарлама неше сан табылғанын (бұқалар) және неше табылғаны орнында тұрғандығын (сиырлар) хабарлайды. 4) n элементтерден тұратын кездейсоқ сандардың екі өлшемді массиві берілген. Құрылымын өзгертпей, экранға индекстері үшке еселі элементтерді ғана шығару, қалғандарын нөлдендіру. 5) n саны берілген. Егер аij=sin(i+j/2) болса, |аij|i,j=1,…n неше оң элементтердің болатындығын анықтау. 18 нұсқа. 1) Натуралды сан берілген. Барлық натуралды бөлгіштерді алу.
3) а1, а2..., аm нақты сандар берілген. а1>0 және а2,..,аn – сандарының арасында қандай да біреу де болса теріс сан бар екендігі белгілі. а1,а2..,аn – бірінші теріс мүшенің алдында тұратын осы қатардың мүшелері болсын (nалдын ала белгілі). max(a1,a1*a2,...,a1*a2...an) алу. 4) n*k екіөлшемді массив. Массивтің ең үлкен элементін табу, оның индексін анықтау. 5) n*k элементтерден тұратын кездейсоқ сандардың массиві берілген. Элементтерді симметриялы қатарлы түрде орындарын ауыстыру (бірінші элементті сол қатардағы соңғы элементпен және т.с.с.). 19 нұсқа. 1) а1, … а10 натуралды сандар берілген. а1+а22+…+а1010 есептеу. 2) А (m*m) матрицасы, n саны. Е+А+А2 +…+Аn матрицасын алу, бұл жерде Е –m реттегі бірлік матрица. 3) Кездейсоқ сандардың 9*3 матрицасы берілген. Оны 3 тең бөлікке бөлу, қатар бойынша шығару және сұрыптау. 4) Квадрат матрицаның ізі деп негізгі диагональда орналасқан элементтердің қосындысы айтылады. m реттегі квадрат матрица және n натуралды сан берілген. А, А2 , …, Аn матрицаларының ізін есептеу. 5) n*m массиві берілген. Индексте үші бар элементтерді нөлдендіру, қалғандарын өзгеріссіз қалдыру. 20 нұсқа. 1) 3 реттегі А және В матрицалары берілген. Матрицаны = А*В табу. 2) Қатарлар нөмірі k және n матрица берілген. Көрсетілген қатардың элементтерін өзара орындарын ауыстыру. 3) Кездейсоқ сандардың А матрицасы берілген. басты диагональда тұрған, элементтерден тұратын сандар қатарының және А матрицасының негізінде В, С матрицаларын шығару: матрица В – матрицаның жоғарғы диагоналінің элементтері, матрица С – матрицаның төменгі диагоналінің элементтері. 4) А квадратты матрица берілген. А 2 алу. 5) Элементтері
есептелетін матрицаны алу. 21 нұсқа. 1) n реттегі А және В матрицалары берілген. АВ-ВА матрицасын алу. 2) n реттегі А, В және С квадратты матрицалары берілген. (А+В)С матрицасын алу. 3) Матрицаны 3 бөлікке тігінен және көлденең бөлу мысалдарын көрсету.
5) n реттегі квадратты матрица берілген. Элементтері
формуласы бойынша анықталатын В матрицасын алу.
Тапсырмаларды алайық элементтен тұратын кездейсоқ сандар массивінде
элементтерді симметриялы түрде орындарын алмастыру: бірінші элементті
соңғымен, соңғының алдындағыны екінші элементпен және т.с.с.; екі
өлшемді массивті қатар бойынша өсуі бойынша сұрыптау. Python
бағдарламасындағы нәтижелердің принскрині 7а суретте, листингі 7б суретте
көрсетілген.
|
|
Зертханалық жұмыс №5. Python. Қатармен, файлдармен жұмыс Жұмыстың мақсаты: қатарлы мәліметтермен жұмыс істеу, оларды көрсету және форматтар дағдысын қалыптастыру, файлдық құрылымдармен жұмыс істеу дағдыларын меңгеру. Жұмыстың
тапсырмасы 1 нұсқа. 1) Қатар енгізіледі, «u» әрпінің қайталану көлемін табу. 2) Қатар берілген, ондағы айырманың бәрін қосындымен алмастырып реттілікті түрлендіру. 3) Файлда мәтін берілген. Әр жолақтың басына оның нөмірін және жолақтағы таңба санын жазу. 2 нұсқа. 1) Компоненттері бүтін сан болып табылатын файл берілген. Файлдың компоненттерінің қосындысын табу. 2) Файл қатарындағы бас әріптердің пайыздық және сандық мөлшерін анықтау. 3) Компоненттері бүтін сан болып табылатын файл берілген. Екінші файлға бірінші файлдағы барлық жұп сандарды кері ретпен жазу. 3 нұсқа. 1) Компоненттері нақты сан болып табылатын файл берілген. Компоненттердің ең үлкен мәнін анықтау. 2) Қатардағы ең қысқа сөздің ұзындығын анықтау. 3) Әр қатардың басында файлда сәйкес қатардағы сөздің санын жазу. 4 нұсқа. 1) Файлда ең кіші санды табу. 2) Файлда таңбалардың тізбегі берілген. Барлық сұрақ белгілерін нөлмен алмастырып, файлды түрлендіру. 3) Компоненттері бүтін сан болып табылатын файл берілген. Екінші файлға жұп сандардың нақты квадраттары болып табылатын сандарды жазу. 5 нұсқа. 1) Компоненттері бүтін сан болып табылатын файл берілген. Екінші файлға 5-ке бөлінетін барлық жұп сандарды жазу. 2) Айырмадан кейін тұратын таңбаларды «-7» сандарымен алмастырып, қатарды түрлендіру. 3)s1, …, sn таңбалар, қатар берілген. Таңбалардың арасында кем дегенде бір нүкте бар екендігі белгілі. Осы тізбекте нүктенің бірінші нөмірін табу. 6 нұсқа. 1) Нүктелерден тұратын тізбекті қатардағы барлық таңбалардың нөмірлерін табу 2) Қатарда s1, …, sn таңбалары берілген. Екі бос орындардың санын анықтау. 3) Компоненттері нақты сан болып табылатын файл берілген. Файлдың бірінші және соңғы компонентінің айырмашылығын табу. 7 нұсқа. 1) Файлда ең ұзын сөзді қосынды таңбасымен алмастыру. 2) Компоненттері бүтін сан болып табылатын файл берілген. Компоненттердің арасындағы жұп және тақ сандардың санын табу. 3) Компоненттері бүтін сан болып табылатын f файл берілген. f файлдан түрленген әріптердің бірдей реттілігі алынып тасталған g файлын алу. 8 нұсқа. 1)s1, …, sn таңбалары берілген. «Пора» сөзінің құрамындағы әріптердің барлығы қатарда бар ма екендігін анықтау. 2) Компоненттері бүтін сан болып табылатын файл берілген. Компоненттердің арасынан үшке еселі тақ сандардық санын анықтау. 3) Таңбалық файл берілген. Оның мазмұнын алдын ала ол файлдан барлық -и / таңбаларын өшіріп қайтадан басқа файлға жазу. 9 нұсқа. 1) Файлдағы барлық дөңгелек жақшаларды тік жақшаға алмастыру. 2) Қатар берілген, алдымен үтір, одан кейін нүкте болатындығын анықтау. 3) Компоненттері нақты сан болып табылатын файл берілген. Компоненттері ең үлкен және ең кіші мәндерінің арифметикалық ортасын табу. 10 нұсқа. 1) Қатар берілген, «?» таңбасы кездесетін элементтің барлық нөмірлерін алу. 2) Компоненттері бүтін сан болып табылатын файл берілген. Компоненттер арасында тақ сандардың квадраттарының санын анықтау. 3) n натуралды сан, арасында бірнеше / бар s1, …, sn, таңба қатары берілген. Қатарда / таңбасы неше рет кездесетіндігін анықтау және екінші / кейін тұратын элементтерден құралған екінші қатарды алу. 11 нұсқа. 1) f таңбалық файл берілген. Оның мазмұнын * / - + таңбаларын 1 цифрына алмастырып g файлына көшіріп жазу. 2) Файл берілген. Барлық орысша әріптерді өшіру. 3)s1, …, sn қатарда таңбалар берілген. Бос орындардың санын анықтау. 12 нұсқа. 1) Қатардағы ең ұзын сөздегі «k» әрпін «j» әрпіне, «v» әрпін «z» әрпіне алмастыру. 2) Қатар берілген, таңбалардың арасында үтір бар ма және ол неше рет кездесетіндігін анықтау. 3) Таңбалық файл берілген. Файлдың мазмұнын алдын ала * және + таңбаларын өшіріп басқа файлға көшіріп жазу. 13 нұсқа. 1) Компоненттері бүтін сан болып табылатын файл берілген. Екінші файлда бірінші файлдағы барлық тақ сандарды жазу. 2) n натуралды сандар, s1, …, sn таңбалары берілген. Қатарда fd әріптер тобының қанша рет кездесетіндігін анықтау. 3) 2 файл берліген. Үшінші файлға бірінші файлдың, одан кейін екінші файлдағы мәліметтерді соңынан басына қарай жазу. 14 нұсқа. 1) Қатар берілген. Барлық тыныс белгілерін және сандарды өшіру. 2) Файлда stu әріптер тобын student –ке алмастыру. 3) Компоненттері бүтін сан болып табылатын файл берілген. Екінші файлға барлық жұп сандарды жазу, ал үшінші файлға бірінші файлдағы барлық тақ сандарды жазу. Сандардың ретін сақтап қалу керек. 15 нұсқа. 1) Қатар берілген, онда қатарынан 4 рет тұратын «-» таңбасы бар ма екендігін анықтау. 2) 2 таңбалық файл берілген. Үшінші файлдың көмегімен бірінші файлды екіншіге, ал екіншісін біріншіге көшіріп жазу. 3) Тік жақшалардың арасындағы барлығын нөлмен алмастыру. 16 нұсқа. 1) f таңбалық файл берілген. Бас әріптердің барлығын кішкентай әріптерге алмастырып f файлынан g файлын алу. 2) Файлда барлық сандардың қосындысын есептеу. 3) Тізбекті қатардағы әріптерінің және тыныс белгілерінің санын анықтау. 17 нұсқа. 1) Компоненттері бүтін сан болып табылатын файл берілген. Екінші файлға кері реттілікте тақ сандардың кубы болып табылатын сандарды жазу. 2) Файлдағы төртінші сөзді табу және оның екінші әрпін «k» әрпіна алмастыру. 3) Қатарда «slv» әріп тобының неше рет кездесетіндігін анықтау. 18 нұсқа. 1) Файл берілген. Оны «-» белгілерінің арасындағы таңбаларды ғана қалдырып қайтадан жазу. Таңбалары өшірілмеуі керек. 2) Компоненттері бүтін сан болып табылатын файл берілген. Компоненттердің арасынан қосарланған тақ сандарды табу. 3) Қатардағы ең қысқа сөзді табу. 19 нұсқа. 1) Қатар берілген, тізбектің ішінде «біз» және «сіз» қатар тұрған жұбы бар ма екендігін анықтау. 2) Файлда бірнеше қатар тұрған бос орынды бір бос орынмен алмастыру. 3) Файлдағы сандарды кемуі бойынша сұрыптау. 20 нұсқа. 32 1) Қатар енгізіледі, файлға жазылады. Әр «v» әріптен кейін «k» қойып түрлендіру керек. 2) Қолданушы енгізген қатардағы сөздердің ұзындығының кемуі бойынша сұрыптау. 3) 4 қатардан тұратын файлдағы мәтін берілген. Егер қатарда «*» белгісі болмаса, онда қатарды өзгеріссіз қалдыру, болмаған жағдайда үлкен латын әріптерін цифрға алмастыру. 21 нұсқа. 1) Тұтынушы енгізген қатардан барлық сандарды өшіру, қалғандарын файлға жазу. 2) Қатарда таңбалар берілген. «Мир» сөзінің құрамындағы барлық әріптер бар ма екендігін анықтау. 3) n натуралды сан, s1, …, sn таңбалары берілген. Әр таңбаны өшіріп – және – басқа таңбаны қайталап тізбекті түрлендіру
Екі тапсырманы қарастырайық, біріншісі: көп қатарлы файл бар деп қарастырайық және қолданушымен енгізілетін қатар, тексеруіміз керек файлда қатар барма нақты v қатар фрагменті құрамында бар; екіншісі: тұтынушы қатарға енгізген бас әріптердің санын пайыздық қатынаста санау. 8 суретте сол жақта листинг, оң жақта оның орындалу нәтижесі, мазмұны келтірілген.
8 сурет – Қатармен және файлмен тапсырмалардың листингі және шешілуі |
|
Зертханалық жұмыс №6. Python, PythonXY. Графикамен жұмыс Жұмыстың мақсаты: қосымшада графикамен жұмыс істеу дағыдаларын қалыптастыру. Жұмыстың тапсырмасы Python және PythonXY бағдарламаларында нұсқа бойынша үш тапсырманы шешу. 1 нұсқа. 1) y=2+(9-x 2 )/(6-x) функциясының графигін тұрғызу. 2) iPhone бір жылға сатылған мәліметтері бойынша дөңгелек диаграмма сызу. 3) Смайлик салу. 2 нұсқа. 1) y=(sinx)/(x+2) функциясының графигін тұрғызу. 2) y=x 3 -7 салу. 3) Қазақстанның туын салу. 3 нұсқа. 1) y=5/x функциясының графигін салу. 2) Центріндегі нүктелері (4,8) екі концентрлік шеңбер сызу. 3) Үй салу. 4 нұсқа. 1) y=x/(2x2 +3x-1) функциясының графигін салу. 2) 4*4 шахмат тақтасын салу. 3) Көбелек салу. 5 нұсқа. 1) y=2/(x-5) функциясының графигін салу. 2) Дұрыс 5-бұрыш салу және оны бояу. 3) Ананас салу. 6 нұсқа. 1) y=(4x-2)/(8x3 -3x) функциясының графигін салу.. 2) шаршы салу және оны қызыл түспен бояу. Шаршының әр жағындағы ортасын табу, шаршының барлық орталарын қосу. Алынған бөлікті жасыл түспен бояу. 3) Алманы салу. 7 нұсқа. 1) y=(5-x)*(6+2x)/(x-1)2 функциясының графигін салу. 2) Шеңбер салу, бояу. Оның ішіне дұрыс үшбұрыш салу. Бояу. 3) Қоршау салу. 8 нұсқа. 1) y=x/(4x2 +2x-1) функциясының графигін салу. 2) шеңбер сызу, оны 6 секторға бөліп, әр секторды әр түрлі түске бояу. 3) Балықты салу. 9 нұсқа. 1) y=(2-x)/(3+x) функциясының графигін салу. 2) Шеңбер сызу. Оны көк түспен бояу. Оның ішіне сары түсті шаршы сызу. 3) Паровоз салу. 10 нұсқа. 1) y=(2x+1)/х функциясының графигін салу. 2) Экранда координаталары келесі теңсіздікті қанағаттандыратын көптеген нүктелерді салу: x 2 +y2 ≤81. 3) Кеме салу. 11 нұсқа. 1) y=(x+4)/(x-1) функциясының графигін салу. 2) Ваннаның кез келген бір затын және оның айнадағы көрінісін салу. 3) Пианино салу. 12 нұсқа. 1) y=2x2 +3x функциясының графигін салу. 2) Жақтары а, төменгі координатасы (-3,-2) шаршы тұрғызу. 3) Итті салу. 13 нұсқа. 1) y=cos(1-x)/2 функциясының графигін салу. 2) Жақтары а, а+1, а+2 үшбұрыш сызу. 3) Құстың суретін салу. 14 нұсқа. 1) y=3x2 -12 функциясының графигін салу. 2) Екі түрлі ағаштың суретін салу. 3) Мысықтың суретін салу. 15 нұсқа. 1) y=5/x + 4 функциясының графигін салу. 2) Экранда координаталары келесі теңсіздікті қанағаттандыратын көптеген нүктелерді салу: x 2 +y2 ≤2(x+y). 3) Жарқанаттың суретін салу. 16 нұсқа. 1) y=-x 2 +25 функциясының графигін салу. 2) Ас үйдегі бір заттың және оның айналық бейнесінің суретін салу. 3) Машинаның суретін салу. 17 нұсқа. 1) y=8x2 -x+2 функциясының графигін салу. 2) Шеңбер сызу, оны бояу. Оған 2 дұрыс үшбұрыш сыз. Әр түрлі түстермен бояу. 3) Автобустың суретін салу. 18 нұсқа. 1) y=(8-2cosx)/(3-x) функциясының графигін салу. 2) Шеңбер сызу, оны бояу. Шеңбердің ішіне дұрыс жеті бұрыш сызу, бояу. Жетібұрыштың жақтарының орталарын жалғау, фигураны бояу. 3) Кірпінің суретін салу. 19 нұсқа. 1) y=x 2 -x 3 функциясының графигін салу. 2) Екі әр түрлі үшбұрыш сызу, олардың симметрия нүктелерін қосу. 3) АЭжБУ ғимаратының суретін салу. 20 нұсқа. 1) y=x 3 /3 – 1 функциясының графигін салу. 2) Асханадағы бір заттың және оның айналық бейнесінің суретін салу. 3) Велосипедтің суретін салу. 21 нұсқа. 1) y=2x2 /7 +2х-4 функциясының графигін салу. 2) Сіздің отбасыңыздың қаржысының шығындарының мәліметтері бойынша дөңгелек диаграмма тұрғызу. 3) Компьютердің суретін салу.
1. Python XY бағдарламасында листинг және дөңгелек диаграмма түрінде жүзеге асыру нәтижесі 9 суретте көрсетілген.
2. Қызыл түсті шеңбер сызу, оның ішіне дұрыс үшбұрыш сызу. Python XY бағдарламасында листинг және жүзеге асыру нәтижесі 10 суретте көрсетілген.
3. Тышқанның суретін салу. Python XY бағдарламасында листинг және жүзеге асыру нәтижесі 11 суретте көрсетілген.
4. y=(x3 +1)/5 функциясының графигін тұрғызу. Python XY бағдарламасында листинг және жүзеге асыру нәтижесі 12 суретте көрсетілген
|
|
Зертханалық жұмыс №7. Python. Алгоритм жұмысының жылдамдығын бағалау Жұмыстың мақсаты: іске қосуды есептеуді және бағдарламаның жұмысының жылдамдығын басқаруды меңгеру. Жұмыстың тапсырмасы Python бағдарламасында №3 немесе №4 зертханалық жұмыстардағы өз нұсқауыңнан екі тапсырманың жұмысын бағалауды жүргізу. Тәжірибе үшін таймерді қосу мүмкіндігі – 5 реттен кем емес. Талдау. Бағдарлама жұмысының уақытының өзгерісінің мүмкін болатын себептерін ойластыру.
Қандай да бір бағдарламалық кодтың орындалу жылдамдығын бағалау кей жағдайда қажет болады. Әсіресе бұл жоғарғы деңгей тілдеріне қатысты болып табылады. Сол сияқты Python тілінде де бағалау қажет болады. жұмысты көрнекі көрсету үшін мысалды қарастырамыз: қандай да бір сандар аралығының қосынды функциясын тексерейік (13 сурет).
Іске қосқан кезде орындалу уақыты әр кезде әр түрлі болатындығына көңіл бөліңіз, ол көбеюі немесе азаюы мүмкін. Оның себептерінің бірі: машинада белгілі бір уақытта жадты қолдануға әсер ететін белгілі бір үрдістер орындалады. |
|
Зертханалық жұмыс №8. Python. Шифрлаудың қарапайым әдістері: Цезарь әдісі, Полибиан шаршысы, Вижинер әдісі Жұмыстың мақсаты: қарапайым шифрлаудың үш әдісі бойынша дағдыларды меңгеру Жұмыстың тапсырмасы Кодтау және декодтау бағдарламаларын жүзеге асыру: 1. Цезарь әдісімен (кілт = топ тізімі бойынша студенттің реттік нөмірі, шифрлауға арналған сөз = кез келген сөз тіркесі); 2. Полибиан шаршысымен (басында студенттің тегі және аты жазылады, шифрлау үшін сөз = кез келген сөз тіркесі); 3. Вижинер әдісімен (кілт = студенттің тегі және аты, шифрлау үшін сөз = кез келген сөз тіркесі).
1. Цезарь әдісі. Мысалда 14 суретте = -1 кілтімен «криптография, бұл ғылым» сөзінің кодтау нәтижесі көрсетілген. Декодтау бағдарламасын жазу керек (оқытушы декодтау сөзін береді; шифрланған кілтті, сөзді анықтау).
2. Полибиан шаршысы (тікбұрыш). 15а суретте өлшемі 7*5 абстрактты матрицада бағдарлама жұмысының листингі және нәтижесі көрсетілген; студентке тапсырманы орындау барысында өзіне ыңғайлы ету және кестенің басына өзінің тегі және атындағы әріптерді қайталаусыз жазу керек, 1 кестеде көрсетліген сияқты өзгерту керек. Одан кейін матрицадан кодтау кезінде алынған барлық цифрларды жақшасыз және «,» таңбасынсыз жазу керек (қосымша листингпен принскрин 15б суретте көрсетілген). Одан кейін барлық сандарды бір қатарға – мысалы түрінде жалғастыру нәтижесі 15в суретте көрсетілген. Бұл Полибий шаршысының көмегімен кодталған сөз болып табылады. 1 кесте – Полибий шаршысының көмегімен кодтау мысалы
Декодтау. Қандай да бір сандар қатары беріледі (15в суреттің мәліметтері сияқты) және мәндер матрицасын біле отырып (1 кестеге ұқсас) қандай сөз жасырылғандығын анықтау керек. Барлық сандар бір цифрдан тұратындығын ескере отырып, декодтау кері процедурасы (жұп бойынша бөлу бір мәнді болады). Декодтау жұмысының мысалы 16 суретте көрсетілген
Вижинер шифры. Кілт ретінде студенттің тегі және аты (әріптерін қайталамай) болып келеді; сөйлемге кілт қойылады, егер кілттің ұзындығы кішкентай болса, онда кілт көшіріледі. 17 суретте 10-дық кілт («ЗуеваЕкатерина») бойынша Вижинер әдісімен әріптерді қайталамай шифрлаудың листингі көрсетілген: «зуевактрин». 18 суретте 17 суреттен листинг бойынша шифрлауды жүзеге асырудың принскрині келтірілген
|
Әдебиеттер тізімі
-
Ахметова, Г. (2020). Информатика пәнін оқытудың әдістемелік негіздері. Алматы: Мектеп.
-
Жұмабаев, С. (2019). Python бағдарламалау тілі және оның қолдану аясы. Алматы: Технология.
-
Бегалиев, Р. (2018). Информатика бойынша жаңартылған оқу бағдарламасы: теория мен практика. Астана: Елорда.
-
Тұрғынбаев, Н. (2017). Python бағдарламалау тілін оқыту әдістері. Алматы: ҚазҰУ.
-
Сәрсенов, Н. (2021). Python тілін мектепте оқыту әдістемесі. Шымкент: Қайнар.
-
Әлімқұлова, Б. (2020). Жаңартылған білім мазмұны негізінде бағдарламалау тілдерін оқытудың тиімді әдіс-тәсілдері. Астана: Республикалық баспа.
-
Каримова, Л. (2019). Python бағдарламасының негіздері және бағдарламалау шеберлігін дамыту. Алматы: Жазушы.
-
Әуезова, С. (2021). Информатика пәнін оқытудың заманауи әдістемелері. Астана: Мектеп.
-
Байматова, М. (2020). Жаңартылған білім мазмұны негізінде ақпараттық технологияларды оқыту әдіснамасы. Алматы: Санат.
-
Қаженова, Г. (2018). Python тілінің білім беру саласындағы қолданылуы. Алматы: Экономика.
-
Абдуллина, Л. (2021). Информатика пәнінде Python тілін қолдану: тәжірибе мен тиімділік. Астана: Әдістемелік орталық.
-
Сүлейменова, З. (2019). Python бағдарламалау тілі арқылы шығармашылық қабілеттерді дамыту. Алматы: Білім.
-
Махмудова, Д. (2020). Оқушыларға Python тілін оқытуда қолданылатын интерактивті әдістер. Алматы: Атамұра.
-
Қалиев, Т. (2021). Python тілін оқытудағы заманауи әдіс-тәсілдер мен құралдар. Алматы: Ғылым.
-
Ғалиева, Н. (2018). Python бағдарламалау тілін мектепте оқыту: әдістемелік нұсқаулар. Астана: Сана.
-
Ермекова, Ш. (2020). Жаңартылған білім мазмұны аясында Python тілімен таныстыру әдістері. Алматы: Қайнар.
-
Бекбаева, Г. (2019). Информатика пәнінде Python тілін қолданудың тиімді әдістері. Алматы: Педагогика.
-
Момынбекова, М. (2020). Python тілін оқытуда оқушылардың танымдық қабілеттерін дамыту. Шымкент: Мектеп.
-
Досмұхамедова, Н. (2021). Python бағдарламалау тілі мен оның білім беру саласындағы рөлі. Алматы: Технология.
-
Құдайбергенова, Л. (2019). Python бағдарламалау тілін оқыту әдістемесі және оның тиімділігі. Астана: Арман.
жүктеу мүмкіндігіне ие боласыз
Бұл материал сайт қолданушысы жариялаған. Материалдың ішінде жазылған барлық ақпаратқа жауапкершілікті жариялаған қолданушы жауап береді. Ұстаз тілегі тек ақпаратты таратуға қолдау көрсетеді. Егер материал сіздің авторлық құқығыңызды бұзған болса немесе басқа да себептермен сайттан өшіру керек деп ойласаңыз осында жазыңыз
«Жаңартылған білім мазмұны негізінде информатика пәнінен оқушыларға Phyton бағдарламасын оқытудың тиімді әдіс-тәсілдері» әдістемелік құрал
Бекмурзина Шынар Халиловна
Әдістемелік нұсқаулық
«Жаңартылған білім мазмұны негізінде информатика пәнінен оқушыларға Phyton бағдарламасын оқытудың тиімді әдіс-тәсілдері»
Алматы
ББК 74.202
Бекмурзина Шынар Халиловна
«Жаңартылған білім мазмұны негізінде информатика пәнінен оқушыларға Phyton бағдарламасын оқытудың тиімді әдіс-тәсілдері»
Пікір жазған:
М. Х. Дулати атындағы Тараз өңірлік университеті, филология ғылымдарының кандидаты, қауымдастырылған профессоры Н.Б.Есенова
С.С Жанибекова Қызылорда қаласы Болашақ университетінің «Арнайы педагогика және психология» кафедрасының аға оқытушысы, п.ғ.к., Облыстық білім басқармасының балалар оңалту орталығының түзету маманы, РЖА профессоры
Педагогика тарих ғылымдарының магистрі Абиева Ұ.Б.,
Халықаралық ғылым мен білімді қолдау орталығы «Жарқын ұстаз» әдістемелік кеңес мәжілісінде талқыланып, 2025 ж. «15» ақпан №003/098 хаттамасымен мақұлданған және баспаға ұсынылған.
Бекмурзина Шынар Халиловна
«Жаңартылған білім мазмұны негізінде информатика пәнінен оқушыларға Phyton бағдарламасын оқытудың тиімді әдіс-тәсілдері»
Алматы: 2025 (Zharkyn ustaz baspasy)100 бет. Қазақ тілінде
Аңдатпа
Аталған авторлық жұмыс оқу бағдарламасына негізделе үлгілік бағдарламамен сабақтастықты ескере отырып құрастырылған. Білім –тәрбие беру кезеңінде саналы, дұрыс, комуникативті оқу дағдыларын жетілдіру, логикалық қабылдауды дамыту, функционалдық сауаттылықтарын арттыру пәнге деген қызығушылықты, зерттеушілік қабілетті дамытып қалыптастыруға бағытталған авторлық жұмыс білім беру стандартының пәндік тақырыптарының мазмұнын, оқу сағаттарын курс бөлімдері арасында бөлуді, сонымен қатар пәнаралық байланыстарды ескере отырып, пәндер мен пән бөлімдерін зерделеудің ұсынылатын тәртібіне негізделе отырып құрастырылған.
Аннотация
Данная авторская работа составлена с учетом преемственности с типовой программой, основанной на учебном плане. В период обучения авторская работа направлена на развитие и формирование интереса к предмету, исследовательской способности, содержания предметных тем образовательного стандарта, распределения учебных часов между разделами курса, а также межпредметных связей с учетом, исходя из рекомендуемого порядка изучения предметов и предметных разделов.
Abstract
This author's work is compiled taking into account continuity with the standard program based on the curriculum. During the training period, the author's work is aimed at developing and shaping interest in the subject, research ability, the content of subject topics of the educational standard, the distribution of teaching hours between sections of the course, as well as interdisciplinary connections, taking into account, based on the recommended order of studying subjects and subject sections.
© Бекмурзина Ш.Х.
Адамдар үшін бағдарламалау - қиын болып көрінеді, бірақ шындығында керісінше - көптеген адамдар шағын кірпіштерден қабырға салатындай бөтен бағдарламаларды пайдаланатын бағдарламаларды жасайды.
Дональд Кнут
Автор сөзі
Жалпы, Python – әртүрлі мақсаттарда қолданылатын, заманауи әрі кең таралған бағдарламалау тілі. Бұл тілді меңгеру барысында, сіз бағдарламалаудың ең негізгі принциптерімен танысасыз және курсты бітіргеннен соң, компьютерлік ғылымдар әлемінде әрі қарай өз дамуыңызды жалғастыра аласыз. Бүгінгі таңда, көптеген жұмыс берушілер Python тілін меңгерген мамандарды талап етеді және бұл сферадағы мамандарға үлкен жалақы беріледі. Курс барысында сіз енгізу мен шығару, айнымалылар, түсініктемелер, дерек типтері, операторлар, тармақталу, цикл, функциялар және т.б. бағдарламалаудың негізгі түсініктерімен танысасыз. Мен барлықтарыңызды, әсіресе жас ұрпақты бұл тілді меңгеруге шақырамын! Себебі болашақ Қазақстанның дамуында компьютерлік ғылымдардың рөлі өте зор және бұл сферадағы мамандар жетіспеушілік мәселесін шешу қажет.
Кіріспе
«Python»— ең жаңа, заманауи бағдарламаллау тіліне жатады. Бұл тілді ең алғашында Гвидо Ван Россум атты нидерландық адам ойлап тапқан .
Python — жоғары дәрежедегі бағдарламаллау тілі. Python тілі қазіргі кезде ең көп таралған бағдарламаллау тілі болып саналады.
Бұл тілде жасалған ең атақты бағдарлама ол бәріміз білетін Instagram əлеуметтік желісі.
Python-ды қолданатын Компания-ларға Google, Facebook, Yahoo, NASA, Red Hat, IBM, Instagram, Dropbox, Pinterest, Quora, Яндекс, Mail.Ru т.б келтіре аламыз.
Python тілінің тарихы. Ең алғаш рет Ван Руссом Python тілін жасауды 1898-жылдың желтоқсан айында қолға алды. Алғашында Python тілі Ameoba операциялық жүйесімен әрекет етуге қабілетті ABC бағдарламаллау тілінің ұрпағы ретінде алынған. Кеиінірек Python дамып,ең басты және маңызды бағдарламаллау тіліне айналды.Ең алғаш жаңарту Python 2.0 жаңа нұсқасы жарық көрді. Біл жаңа нұсқада көптеген функциялар мен жаңа алгоритмдер түрін көрсетті. Жаңартудан кейін Python тілінің қолданушылары арта түседі. Алайда бұл тілдің жаңарту бұнымен біткен жоқ. 2008 жылдың 3 желтоқсанында Python 3.0 жарық көреді.
Python-ның басқа бағдарламалау тілінен ерекшелігі. Жоғарыда айтып өткендей Python тілі ABC тіліне ұқсас болып келеді. Қазіргі таңда көптеген бағдарламаллау тілдерінде бірнеше алгоритмды бир функцияның ішіне салу үшін жақша({}) қойылады. Ал Python тілінде функциядан кеиін қос нүкте қойылып, алгоритмдер келесі қатардан бірнеше бос орын қалдырылып жазылады. Сонымен қатар басқа бағдарламалау тілдерінен басты ерекшелігі Python тілінде ақпарат түрлерінің(типы данных) үлкен орын алады. Сол себепті int , double секілді ақпарат түрлеріне үлкен мәнді сандар сия алады.
|
Практикалық жұмыстар методолгиясы Лекция/Теория |
|
Тақырыбы: Python бағдарламалау тілінің негізгі түсініктерімен оңай тілде таныстыру Мақсаты – бағдарламалау бойынша қазақ тіліндегі контентті кеңейту және сіздерді Python бағдарламалау тілінің негізгі түсініктерімен оңай тілде таныстыру. Жалпы, Python – әртүрлі мақсаттарда қолданылатын, заманауи әрі кең таралған бағдарламалау тілі. Бұл тілді меңгеру барысында, сіз бағдарламалаудың ең негізгі принциптерімен танысасыз және курсты бітіргеннен соң, компьютерлік ғылымдар әлемінде әрі қарай өз дамуыңызды жалғастыра аласыз. Бүгінгі таңда, көптеген жұмыс берушілер Python тілін меңгерген мамандарды талап етеді және бұл сферадағы мамандарға үлкен жалақы беріледі. Курс барысында сіз енгізу мен шығару, айнымалылар, түсініктемелер, дерек типтері, операторлар, тармақталу, цикл, функциялар және т.б. бағдарламалаудың негізгі түсініктерімен танысасыз. Мен барлықтарыңызды, әсіресе жас ұрпақты бұл тілді меңгеруге шақырамын! Себебі болашақ Қазақстанның дамуында компьютерлік ғылымдардың рөлі өте зор және бұл сферадағы мамандар жетіспеушілік мәселесін шешу қажет. Ендеше, оқуымызды бастайық! Python-ды түсіну үшін кемінде ағылшын тілін білу қажет. Есептеу техникасы қауымдастығының зерттеуі бойынша, Python көптеген американдық колледждердің алғашқы бағдарламалау тілі ретінде жетекші орынға ие. Құрама Штаттарда 39 IT-факультетінің сауалнамасына сәйкес, ол Java-ны ауыстырып, жаңа бағдарламашылар назар аударатын алғашқы жалпыға арналған бағдарламалау тілі болды. 10 IT-факультетінің 8-і (80%) және 39-дан (69%) 27-і мамандықты оқудың бірінші сатысында Python тұр. Тілдің өзі 23 жыл бұрын құрылған, бірақ жаңадан келгендерді бағдарламалауға үйрететін тамаша құрал ретінде ол жақында ғана ашылды. Raspberry Pi компаниясы Python-ға әсер етті, бірақ Python әлемнің жетекші компаниялары, атап айтқанда, Google, Yahoo және NASA пайдаланатындығын ұмытпау керек.Қазіргі уақытта Python 2008 жылдан бастап ең танымал бағдарламалау тілдері арасында тұрақты позицияға ие. |
|
Тақырыбы: Python-ды орнату Мақсаты: Python-ды орнатып Windows, Mac, Linux, және Ubuntu операциялық жүйелерінде жұмыс жасауды меңгеру Python бағдарламалау тілін қолданбас бұрын, оны жүктеп, компьютерге орнату қажет. Python3 тегін және оны орнату оңай. Windows, Mac, Linux, және Ubuntu операциялық жүйелерінде жұмыс жасайды. Windows-тегі Python3 1. Python-ның веб-сайтына кіреміз (http://www.python.org) 2. Windows-қа арналған Python-ның үшінші нұсқасынан бастап, тізімнің жоғары бөлігінде болатын соңғы нұсқасына басыңыз. 3. Орнату автоматты түрде жүктеледі, одан соң жүктеу файлын ашып, төмендегі галочкаларды басып, "Install Now" батырмасын басу қажет. 4. Енді программаның дұрыс орнатылғанына көз жеткізіңіз. Менюді ашып, "IDLE" сөзін теріңіз. Одан "IDLE" ішкі топтамаларын шертіңіз.
Mac-қа арналған Python3 1. Python-ның веб-сайтына кіреміз (http://www.python.org) 2. Сіздің Mac-та қандай операциялық жүйе екенін тексеріңіз және қолайлы Python3 нұсқасына басыңыз. Сізге .dmg файлын жүктеп алуды ұсынады. Оны жұмыс үстелінде сақтаңыз. 3. .dmg файлын екі рет шертіңіз. Бірнеше файлдардан тұратын терезе ашылады, оның арасында орнатушы "Python.mpkg" файлы болады. Орнатуды іске қосу үшін оны екі рет шертіңіз. 4. Орнату кезінде "Next" батырмасын басыңыз. Орнатқан соң Mac-та "Applications/Қосымшалар" дестесін ашыңыз, одан соң Python3-ті таңдаңыз. Орнатылымның дұрыстығын тексеру үшңн IDLE таңбашасын екі рет шертіңіз.
Ubuntu-дағы Python3 Егер сіз Linux негізіндегі Ubuntu операциялық жүйесін қолдансаңыз, Python3 программасын браузерді қолданбай-ақ, нұсқауларды қайталаңыз. Егер Linux-тің басқа нұсқасы болса, компьютер иесінен рұқсат сұраңыз. 1. Ubuntu Software Center-ге кіріңіз 2. Іздестіру жүйесіне "Python" сөзін еңгізіңіз 3. Іздестіру терезесінен IDLE (using Python-3) нұсқасын таңдап, "Install/Орнату" батырмасын басыңыз 4. Орнатылу аяқталған соң, оң жоғарғы бұрыштағы "Dash" таңбашасын басыңыз 5. Іздестіру жолына "IDLE" сөзін енгізіңіз және "IDLE" таңбашасын екі рет шертіңіз
|
|
Тақырыбы: IDE-ні орнату Мақсаты: Интеграцияланған өңдеу ортасы (ағылш. Integrated Development Environment) - бағдарламалық қамтамасыз етуді әзірлеу Интеграцияланған өңдеу ортасы (ағылш. Integrated Development Environment) - бағдарламалық қамтамасыз етуді әзірлеу үшін бағдарламашылар пайдаланатын бағдарламалық құралдар жүйесі. Бұл бағдарлама арқылы сіз бағдарламалаумен ыңғайлы түрде айналысып, жаңа мүмкіндіктерге ие боласыз. Python тіліне арналған көптеген сапалы IDE-лер бар. Бірақ мен сіздерге "PyCharm" программасын ұсынамын. Бұл IDE қолданыста ыңғайлы әрі тиімді болып табылады. PyCharm-ды орнату үшін, bit.ly/2W7hVGg нұсқауына өтіп, "Community" сөзінің астындағы "Download" батырмасын шертіңіз. Сонда программа автоматты түрде жүктеледі. PyCharm-нің Community нұсқасы тегін болып табылады.
PyCharm-да код жазуды бастау үшін, "Create New Project" батырмасын шертіп, проектке ат беріңіз. Одан кейін тінтуірдің он батырмасын шертіп, New -> Python File батырмаларын басыңыз. Python файлына ат беріп, "OK" батырмасын басыңыз. Міне, енді сіз PyCharm-да кодты тере аласыз! Жазылған кодты жүзеге асыру үшін, үстіндегі жасыл үшбұрышты шертіңіз. |
|
Тақырыбы: print() функциясы Мақсаты: Жалпы, Python тілінде print() функциясын меңгеру Бұл сабақ print() функциясы жайында болады. Жалпы, Python тілінде print() функциясы арқылы экранға енгізілген объектілер шығарылады. Мысалға, print("Salem!") кодын терсек, экранға "Сәлем" сөзі шығарылады. Бұл үшін, PyCharm программасын ашып, бұл команданы теріп көріңіз. Python тілінде мәтінді жолдар мен символдар дара немесе қос тырнақшалар арқылы жазылады. Ал сандарды шығару үшін, print() функциясында тырнақшаларды қолданбай, сандарды теру қажет. Мысалы, print(150) командасын терсек, экранға 150 саны шығарылады. Одан басқа, print() функциясы арқылы арифметикалық операцияларды жүзеге асыруға болады (бұл тақырып жайында келесі тарауларда толығырақ ақпарат болады). PyCharm бағдарламасын ашып, төмендегі кодтарды теріп көріңіз және нәтижені көру үшін, үстіндегі жасыл үшбұрышты басыңыз (Run батырмасы):
|
|
Тақырыбы: Айнымалылар Мақсаты: Айнымалыны құруды меңгеру Бағдарламалауда біз айнымалыны қорапша ретінде қарастыра аламыз. Бұл қорапшаның ішіне біз әртүрлі мәндерді енгізе аламыз. Мәндер ретінде бүтін немесе бөлшек сандар, мәтінді жолдар, символдар және т.б. объектілер бола алады (деректер типі келесі сабақта қарастырылады). Яғни, айнымалылар программадағы ақпараттың орналасу орнын анықтау үшін қолданылады. Айнымалыны құру үшін, ең алдымен оның атын жазу керек. Одан кейін, тең белгісін қойып, айнымалыға мән беру қажет. Айнымалының мәні ретінде сандар, әріптер, сөздер және т.б. объектілер бола алады. Егер айнымалының мәні "None" сөзі болса, айнымалы бос болып есептелінеді. Айнымалының аты тек қана сандардан, әріптерден және сызық таңбаларынан тұра алады. Және де, айнымалының аты сандардан бастала алмайды. Дұрыс айнымалыларға мысал келтірсек: a = 5, string = "hello", num = 10, boolean = True, mans_name = "Alex". Бұрыс айнымалыларға мысал келтірсек: 333num = 3, $money = 1000, discount% = 10. Айнымалының мәнін экранға шығару үшін, print(айнымалының аты) командасын теру қажет. Төмендегі суретте айнымалылардың қолдану мысалдары көрсетілген. Суреттегі boolean айнымалысының типі логикалық болып табылады, себебі оның мәні True болып табылады (келесі сабақта толығырақ қарастырылады).
Бірақ, айнымалыға дұрыс емес ат қойып, бағдарламаны жүзеге асырсақ, қате шығып, бағдарлама жұмыс істемей қалады.
Айнымалының мәнін өзгерту үшін оған жаңа мән беру жеткілікті. Төмендегі мысалда "gifts" айнымалысының мәні 2. Жаңа мән ретінде і саны болады. Енді бұл айнымалының мәні 2-ден 3-ке өзгерді.
"=" белгісі арқылы бір айнымалының мәнін екінші айнымалыға телуге болады. Мысалы, "rabbits" айнымалысының мәні 5 болса, оны "hats" айнымалы мәніне телуге болады, сонда "hats" айнымалысының мәні де 5 болады. Екі айнымалының мәндерін бірге шығару үшін, үтір таңбасын қолдану қажет. Сонда, үтір арқылы екі айнымалы аралық арқылы шығарылады.
|
|
Тақырыбы: Деректер типі Мақсаты: Python-да деректердің әр типін қарастыру Python-да деректердің бірнеше типі бар. Біз әр типті бөлек қарастырамыз. Бірақ, көп жағдайда бір түрмен жұмыс істеу жеткіліксіз, себебі күрделі жобаларда деректердің бір түрінен басқаларына ауысу қажеттілігі пайда болады. Ең алдымен, сандарды қарастырайық. Python-да сандардың екі типі бар: “Integer” – бүтін сан, және “Float” – бөлшек сандар (нүктемен жазылады). Бүтін сандар арқылы, мысалы адам санын белгілеуге болады, ал бөлшек сандар арқылы, салмақты белгілеуге болады. Бүтін сандарға мысалдар келтірсек: people = 150, num = 1, population = 2000000. Бөлшек сандарға мысалдар келтірсек: weight = 50.5, float_num = 1.5, gpa = 4.9 . Келесі тип – мәтінді жолдар. Python-да дара немесе қос тырнақшаға алынған кез-келген мәтін үзіндісі мәтінді жол болып табылады. Мәтінді жолдар әріптерден, символдардан, цифрлардан, бос орындардан, нүкте және үтір белгілерінен тұра алады. Мәтінді жолдарға мысалдар келтірсек: a = “Coding is fun!”, string = ‘String’, letters = ‘abc’, nums = ‘123’, symbol = ‘a’. Осындай айнымалыларды құрғанда, мәтінді жолдарды әрқашан тырнақшаларға алуға ұмытпаңыз! Келесі деректер типі – логикалық деректер типі немесе Буль айнымалылары. Осы айнымалылардың мәндері әрқашан не ақиқат (True), не жалған (False) болады. Екі сөз де бас әріппен жазылады. Деректер типін анықтау үшін type() функциясы қолданылады. Мысалы, print(type(24)) командасын терсек, экранға мәні шығады (int – integer, яғни 24 – бүтін сан). Осы функция арқылы басқа деректердің типтерін анықтап көріңіздер. Python-да деректердің әртүрлі типтерін бірге араластыруға да болады. Егер біз код жазуда әртүрлі деректер типтерін түрлендірмей, бірге қолдансақ, қате пайда болады. Мысалы, мәтінді жол мен бүтін санды араластырып көрейік. Apple = ‘3’ және num = 1 айнымалыларын алайық. Оларды бірге араластыру үшін келесі команданы жазу керек: print(int(Apple) + num). Яғни, бұл жағдайда біз int() функциясы арқылы ‘3’ мәтінді жолын 3 санына айналдырдық. Ал, сандарды мәтінді жолдарға айналдыру үшін, str() функциясын қолдану қажет. Мысалы, print(str(1) + ‘2’). Бұл жағдайда, экранға 12 мәні шығады, себебі мәтінді жолдар бір-біріне сандар сияқты қосылмай, оңай тілмен айтқанда, бір-біріне кілейленеді. Яғни, бұл жағдайда, ‘1’ мен ‘2’ бір-біріне әріптер сияқты қосылып кетті. Одан басқа, Python-да float() (бөлшек сандарға айналдыру үшін) және bool() (сандарды True немесе False айнымалыларына айналдыру үшін, 0 – False, 1 мен қалған сандар – True) функциялары бар.
|
|
Тақырыбы: Математикалық операциялар Мақсаты: Python-да әртүрлі математикалық операцияларды қарастыру Python-да әртүрлі математикалық операциялар бар.
Бұл сабақта біз ең негізгі амалдарды қарастырамыз (қосу, азайту,
көбейту және бөлу). |
|
Тақырыбы: Мәтінді жолдар Мақсаты: Python-дағы мәтінді жолдарды меңгеру Python-да мәтінді жолдар үлкен
қолданыс табады. Мысалы, әртүрлі жолдарды бір-бірімен біріктіруге
болады немесе олардың жеке бөліктерін шығаруға болады. |
|
Тақырыбы: input() функциясы және print() функциясының қосымша мүмкіндіктері Мақсаты: input() функциясы және print() функциясын қолдану Бағдарламалау арқылы программа пайдаланушыдан әртүрлі ақпаратты сұрай алады. Пайдаланушы пернетақта арқылы ақпаратты енгізгінде, программа бұл ақпаратты шығару кезінде қолдана алады. Программаға ақпарат енгізу үшін, input() функциясы қолданылады. Осы функция белгілі бір айнымалының ішінде болуы қажет. Мысалы, name = input(“What is your name? “). Яғни бұл жағдайда, программа сізден тырнақшадағы сөздермен ақпарат сұрайды. Осыдан кейін, енгізілген ақпаратты экранға шығаруға болады. Бұл үшін, мысалға, print(“Hello,”, name) деп жазуға болады, бұл жағдайда программа “Hello” сөзімен бірге сіз енгізген есімді экранға шығарады: name = input(“What is your name? “) print(“Hello,”, name) What is your name? Alikhan Hello, Alikhan Осыған қоса, егер сіз пайдаланушыдан сандарды сұрағыңыз келсе, input() функциясымен бірге int() немесе float() функцияларын қолдану керек. Жай ғана input() функциясын тергенде де, сіз сандарды енгізе аласыз, бірақ int() немесе float() функцияларымен бірге сіз сәйкесінше тек қана бүтін немесе бөлшек сандарды енгізе аласыз: number = int(input()) print(number) 1 1 -------------------------------------------------------------------------------------------------------------------------------------- Егер біз санның орнына мысалы, жолды енгізсек қате шығады: floatNum = float(input(“Enter a float number: “)) print(floatNum) Enter a float number: abc Traceback (most recent call last): File "", line 1, in floatNum = float(input(“Enter a float number: “)) ValueError: could not convert string to float: 'abc' - Бұл қате жайындағы хабарлама Енгізу жайында біз негізгі ақпаратты қарастырдық, ендеше print() функциясының қосымша мүмкіндіктеріне көшейік. Осы уақытқа дейін біз ақпаратты + және үтір белгілері арқылы шығаруға үйрендік. Осы сабақта ақпаратты тасымалдаудың тағы екі әдісін қарастырайық: >>> x = “David” >>> y = “is” >>> z = 15 >>> print(x, y, z, sep=”-“) David-is-15 “sep=” командасы арқылы біз әр сөзді немесе санды әртүрлі символдармен бөле аламыз. Жоғарыда келтірілген мысалда біз айнымалылар мәндерін бір-бірінен дефис арқылы бөлектедік. Бұл командаға қатысты тағы мысал қарастырайық: >>> print(x, y, z, sep="\n") David Is 15 Бұл мысалда біз “\n” командасын қолдандық. Бұл команда әр мәнді жаңа жолға тасымалдайды, яғни әр мән жаңа жолдан шығарылады. Тағы Python-да “\t” (tab) командасы бар. Бұл команда әр мәнді бір-бірінен үлкен бос орындармен бөледі. Енді, шығаруды тоқтату әдісін қарастырайық. Python-да “end=” командасы арқылы әртүрлі символдарды нәтиже ретінде шығаруға болады. Мысалы, print(“Hello”, ‘.’) командасында нүкте жол ретінде берілген. Ал біз print(“Hello”, end=’.’) деп жазсақ, нүкте нәтиже ретінде шығады. Тағы мысал қарастырайық: >>> print("How are you?", end=' ') How are you? - сөйлемнің соңында бос орын шығады, бірақ ол көрінбейді. >>> print("Alikhan", end="\n\n\n\n") Alikhan Бұл мысалда “Alikhan” атынан кейін төрт жаңа жол шығарылды. |
|
Тақырыбы: Түсініктемелер Мақсаты: Бағдарламалауда жазылған код жайында түсініктемелерді меңгеру Бағдарламалауда жазылған код жайында түсініктемелер жазу өте маңызды. Себебі жұмыс кезінде басқа бағдарламашылар сіздің кодыңыздың мағынасын түсіну керек. Яғни түсініктемелер арқылы сіз кез келген заттарды жаза аласыз және олар кодқа әсер етпейді. Python-да бір жолды түсініктемені құру үшін (тек бір жолға жазылатын қысқа түсініктемелер үшін), # символын қолдану қажет. Мысалы: print("String") # this code prints a string Бұл мысалда, біз қысқа түсініктеме арқылы осы команданың қолдану мағынасын түсіндірдік. Ол кодқа әсер етпеді. Тағы біз көп жолды түсініктемелерді құра аламыз. Егер сіз ұзақ түсініктеме жазғыңыз келсе, бұл түрді қолдану керек. Көп жолды түсініктеме құру үшін, сіз алты тырнақша (жұп немесе дара) қолдану керексіз. Мысалы: ''' Hello! How are you? Can you check my code please? ''' print("String") |
|
Тақырыбы: Логикалық операторлар Мақсаты: Логикалық операторлар арқылы біз айнымалыларды, сандарды, жолдарды салыстыру Логикалық операторлар арқылы біз айнымалыларды, сандарды, жолдарды салыстыра аламыз. Нәтижесінде не ақиқат (True) не жалған (False) болады. == - "тең" операторы != - "тең емес" операторы < - "кем" операторы > - "артық" операторы <= - "кем не тең" операторы >= - "артық не тең" операторы Мысалы: >>> dogs = 5 >>> print(dogs == 1) False >>> print(dogs >= 5) True >>> print(dogs < 2) False >>> print(dogs != 7) True |
|
Тақырыбы: Тармақталу Мақсаты: Python-да тәуелді түрде программаның орындалуы үшін және белгілі бір шарттарды орнату үшін, тармақталуды қолдану Python-да тәуелді түрде программаның орындалуы үшін және белгілі бір шарттарды орнату үшін, тармақталу қолданылады. “if” командасы арқылы егер қойылған шарт ақиқат болса, онда программа командалар блогын орындайды. Ал керісінше шарт жалған болса, программа ішіндегі командалар блогын өткізіп, келесі шартқа көшеді. Одан басқа, шарттар жиынтығының соңында, “else” (әйтпесе) командасы болуы керек. Бұл командада шарт жоқ, яғни барлық шарттар орындалмаған жағдайда, программа “else” командасының командалар блогын шығарады. Егер шарттар бірнеше болса, “if” командасынан кейін “elif” (әйтпесе егер) командасын қолдану қажет. Мысалы: a = int(input(“Are you teenager? ”)) if a == “Yes”: print(“Congrats!”) elif a == “No”: print(“Ok, you can be an adult or kid.”) else: print("Answer Yes or No") |
|
Тақырыбы: Циклдер Мақсаты: Кодтың қайталанатын жолдарынан тұратын программаларды жазу кезінде цифрларды пайдалануды меңгеру Кодтың қайталанатын жолдарынан тұратын программаларды жазу көп уақыт алады және оларды түсіну қиын. Осындай жағдайларда циклдерді қолдану жеңіл әрі үнемді. Python-да циклдің екі түрі бар: for және while. Олар қолданыс жағынан бірдей, бірақ кейбір жағдайларда бір түрін, ал кейбір жағдайларда екінші түрін қолдану ыңғайлы. Ең алдымен, “for” циклін қарастырайық. Бұл цикл түрі қысқартылған болып табылады, сондықтан қолдануда ыңғайлы. range() функциясымен бірге командалар блогын бірнеше рет қайталауға болады. Мысалы: string = input(“Enter a string: “) for i in range(4): print(string) Enter a string: Hooray! Hooray! Hooray! Hooray! Hooray! Бұл цикл жолды төрт рет қайталап шығарады. Сізге командалар блогының неше рет қайталану қажеттілігі белгілі болса, “for” циклін пайдалану жөн. Бірақ, кейде нақты сан белгілі емес болса, “while” циклін қолдануға болады. Мысалы: answer = input("Will you study well? ") while answer != "yes": answer = input("yes or no? ") print(“Cool!”) |
|
Тақырыбы: Тізімдер Мақсаты: Деректерді бір жерге сақтау кезінде тізімдерді қолдану Егер көп деректерді бір жерге сақтау қажет болса, деректер құрылымдарын қолдану керек. Олардың бірі - тізімдер. Тізімдер сандардың, жолдардың, басқа тізімдердің немесе олардың барлығының комбинациясынан тұра алады. Жалпы, тізім дегеніміз - белгілі бір ретпен берілген элементтердің жиынтығы. Тізімдегі әр элементтің өз индексі бар (1-ші элемент 0-ден басталатынын қарастырдық). Тізімдегі элементтерді кез келген уақытта өзгертуге, жоюға немесе жаңа элементтерді енгізуге болады. Мысал қарастырайық: >>> animals = ["dog", "cat", "cow", "horse", "lion", "sheep"] Қазір ғана біз тізімді құрастырдық. Бұл тізім жануар аттарын өзінде элементтер ретінде сақтайды және бұл элементтерді біз кез келген уақытта өзгерте аламыз. Тізімдерді біз кәдімгідей экранға шығара аламыз: >>> print(animals) ['dog', 'cat', 'cow', 'horse', 'lion', 'sheep'] Тізім элементтерін бөлек шығару үшін, олардың индекстерін қолдану керек: >>> print(animals[0]) 'dog' >>> print(animals[1][2] 't' - Бұл мысалда біз тізімнің екінші элементінің үшінші әріпін шығардық, себебі айтылғандай, элемент индексі оның шын орналасуынан бірге кем болып табылады. |
|
Тақырыбы: Кортеждер Мақсаты: Кортеждер немесе сөздіктерді қолдануды меңгеру Әдетте, тізімдерді деректерді реттеу үшін қолданады, ал оларды сақтау үшін кортеждерді немесе сөздіктерді қолданады. Бұл сабақта біз кортеждерді қарастырамыз. Бағдарламалауда көп элементтері бар деректер типі контейнер деп аталады. Жалпы, кортеж дегеніміз - аздап тізімдерге ұқсас, дөңгелек жақшаларға алынатын және өзгермейтін элементтерді сақтайтын деректер құрылымы. Яғни, кортежде орналасқан элементтерді өзгертуге болмайды, өзгертіп көрсеңіз, қате шығады. Мысал қарастырайық: >>> person = ("Bob", 20, 183) >>> print(person) ('Bob', 20, 183) Бұл мысалда біз адам жайындағы ақпаратты сақтайтын кортежді құрдық және элементтерді экранға шығардық. Кортеждің элементтерін де индекс арқылы экранға шығаруға болады (мысалы, print(person[1]) -> 20). Егер біз кортеж элементтерін өзгертіп көрсек программа қатені шығарады: >>> person[2] = 175 >>> print(person) Traceback (most recent call last): File "pyshell#9", line 1, in module person[2] = 175 TypeError: 'tuple' object does not support item assignment |
|
Тақырыбы: Сөздіктер Мақсаты: Сөздіктегі әрбір элементтер мәні және кілттерді меңгеру Сөздіктер кортеждерге ұқсас, бірақ оларда кілт индекстер және мәндер болады. Яғни сөздіктегі әрбір элементтің мәні және кілті бар. Сөздікте элементтердің ретпен орналасуы қажет емес және олардың мазмұны өзгертілуі мүмкін. Мысал қарастырайық: >>> mark = {"Alikhan" : "A", "Sanzhar" : "A", "Arman" : "C"} >>> print(mark) {'Alikhan': 'A', 'Sanzhar': 'A', 'Arman': 'C'} Сөздіктің мәндерін шығару үшін, олардың кілттерінің аттарын жазу керек: >>> print(mark["Alikhan"] 'A' Және де, біз кілттердің мәндерін өзгерте аламыз немесе оларды жоя аламыз: >>> mark['Arman'] = "A" >>> print(mark) {'Alikhan': 'A', 'Sanzhar': 'A', 'Arman': 'A'} >>> del mark["Sanzhar"] >>> print(mark) {'Alikhan': 'A', 'Arman': 'A'} - Бұл мысалда, біз "del" командасы арқылы 'Sanzhar' кілтін жойдық. |
|
Тақырыбы: Функциялар Мақсаты: Python-дағы функцияларды меңгеру Функция дегеніміз - программаның кез келген жерінен хабарласуға болатын код фрагменті. Python-да функцияны "def" командасы арқылы құру керек. Одан кейін, функцияға ат беріп, ішіне кез келген командаларды теруге болады. Одан кейін, осы функцияны аты арқылы программада шақырып, ішіндегі фрагменттің нәтижесін экранға шығаруға болады. Python-да "print()", "input()" секілді көптеген орнатылған функциялар бар, яғни біз "def" командасы арқылы өз функциямызды құра аламыз және біздің функциямыз орнатылған функциялар сияқты белгілі бір әрекетті орындайды. Мысал қарастырайық: def add_two_nums(a, b): c = a + b print(c) add_two_nums(3, 5) 8 Жоғарыдағы мысалда a мен b функция аргументтері болып табылады. Аргументтер дегеніміз - функцияға берілетін деректер, яғни осы аргументтер арқылы функциядағы әрекет жүзеге асты. Бұл функция a мен b сандарын бір біріне қосады. Біз соңында функцияны шақырғанда, a мен b аргументтеріне 3 пен 5 мәндерін бердік, сондықтан нәтижесінде 8 шықты. |
|
Ақпараттық- әдістемелік бөлім Тәжірибе/зертханалық жұмыс Мақсаты: Компьютерде әр түрлі әрекеттердің алгоритмін жүзеге асыру дағдыларын, соның ішінде Python бағдарламалау тілімен тәжірибелік жұмыс дағыдаларын меңгеру |
|
|
|
Зертханалық жұмыс №1. Блок-сұлбалар Жұмыстың мақсаты:
блок-сұлбаларды құрастыру және қолдану дағыдаларын
қалыптастыру. Нұсқа бойынша блок-сұлбаларды
жүзеге асыру, тапсырмалар үшін қолданылатын алогритмнің түрін
белгілеу: 1 нұсқа. 1) a=(x1, y1, z1), b=(x2, y2, z2) векторлары берілген. c=a+b векторының координаталарын табу, векторлардың скаляр көбейтінділерін есептеу. 2) Алматы қаласының троллейбус маршрутының кестесі берілген (маршрут нөмірі және км-мен 7 дейін кездейсоқ санмен берілетін қашықтық). Экранға қашықтығы қандай да бір а санынан үлкен маршрут нөмірін шығары. 3) Файлда бірнеше сөзден тұратын қатар жазылған. «А» әрпі неше рет кездесетіндігін табу. 2 нұсқа. 1) S айнымалыда – Асқардың жасы, М – Мараттың жасы, N – Елдостың жасы. Жасты салыстыру бойынша хабарламаны шығару. 2) Кездейсоқ түрде қалыптастырған n элементтен тұратын массивті (-50; 20) аралығында белгілі бір қолданушы анықтаған ретке келтіру (пернетақтадан 1 (кему бойынша сұрыптау) немесе 2 (өсуі бойынша сұрыптау) саны енгізіледі). 3) Бірнеше қатардан тұратын файл берілген. Функция файлдағы барлық қатарды көшіреді. Егер функция қандай –да бір қатарда санды тапса, онда оның орнына шығыс қатарына реттік санға сәйкес келетін сөзді алғашқы қатардан көшіреді. 3 нұсқа. 1) b16, b20 біле отырып, b24 геометриялық прогрессияның табу. 2) А(m) және B(m) массивтері пернетақтадан енгізіледі. Оларды сәйкесінше элемент бойынша салыстыру керек. Бірдей сандар аяқталатын массив элементінің нөмірін шығару. 3) 3 сөйлем енгізу, оларды бір қатарға біріктіру, оны экранға шығару, сөздердің санын есептеу. 4 нұсқа. 1) А, В, С айнымалылардың мәндерін алмастыру. Мысалы ауыстырғанға дейін: А=1, В=2, С=3, алмастырғаннан кейін: А=3, В=1, С=2. 2) Екі өлшемді сандардың массиві берілген. Бұл массивті лексика кескіндік ретпен сұрыптау (алдымен санның бірінші цифрлары бойынша, бірдей мән болған кезде осы сандардың екінші цифрлары салыстырылады). 3) Пернетақтадан файлға жазылатын 2 сөз енгізіледі. Бірінші сөзден екінші сөзде кездесетін әріптерді жою. Нәтижені экранға шығару. 5 нұсқа. 1) a және b негіздерімен және бұрышымен а негізі үлкен болғанда тең бүйірлі трапецияның ауданын есептеу. 2) Өлшемділігі k, (-10;255) кесіндіден кездейсоқ алынған А және В кездейсоқ сандардың 2 массиві берілген. Екі массивтен де (a(1)* b(k); a(2)* b (k-1); ...)) қарама-қарсы алынған элементтердің мәндерін жұптап көбейту. Көбейтіндісі ең үлкен болатын жұпты белгілеңіз. Осы жұптың мәнін және сәйкес индектстерін шығару. 3) 5 сөзден тұратын файл берілген. Егер сөзде қандай да бір орыс әрпі болса сөзді файлдан тұтастай жою. 6 нұсқа. 1) Шеңбердің және оның ішіне салынған шаршының аудандарының қосындысын табу. 2) К – массив өлшемі, G, сонымен қатар (-80, 15) аралықта алынған массивтің элементтері де кездейсоқ беріледі. Егер G элементінің индексі 4 бөлінгіш болса, онда элемент нөлденеді. G массивін сұрыптау. 3) Мәтіндік файлдың ең ұзын қатарында әр түрлі әріптің санын табу. 7 нұсқа. 1) Егер өзара жұп X, Y, Z әр түрлі сандардың қосындысы бірден кіші болса, онда осы сандардың ең кішісін басқа екеуінің қосындысының жартысымен алмастыру. 2) [-9;8] кесіндіден алынған өлшемділігі k кездейсоқ А және В сандардың массивін беру. Егер массивтерде 4 немесе 5 сандары кездессе, онда одан кейінгі элементті алдыңғы екі элементтің қосындысымен алмастыру. 3) Мәтіндік файлда барлық 8 жолда «+», «-» барлық белгілерді жою. Әр қатарда қанша жою болғандығын санау. 8 нұсқа. 1) Х, Y берілген. Егер екеуі де теріс болса, онда оны модульмен алмастыру; егер біреуі ғана теріс болса, онда екі мәнді де 0,5 көбейту. 2) Кездейсоқ түрде қалыптастырған n элементтен тұратын массивті (- 50; 20) аралығында белгілі бір қолданушы анықтаған ретке келтіру (пернетақтадан 1 (кему бойынша сұрыптау) немесе 2 (өсуі бойынша сұрыптау) саны енгізіледі). 3) Файлда мәтін берілген. 4 қатардан барлық қосарланған, үштік және т.б. таңбаларды жою. 9 нұсқа. 1) a және b катет ұзындықтары бойынша тікбұрышты үшбұрыштың периметрін және ауданын есептеу. Катет ұзындықтарының мәні пернетақтадан енгізіледі. 2) n адамнан тұратын топтың жасы жазылған массив берілген. Массивті кемуі және өсуі бойынша бастапқы массивтің 5-ші және 7–ші орнында тұрған элементтерін алып тастап сұрыптау. 3) Файлда «А», «а» таңбаларының әр қатарына енгізілетін мәліметтің жалпы санын анықтау. 10 нұсқа. 1) A,B,C,D нақты сандар берілген. Егер A<=B<=C<=D, онда әр санды олардың ішіндегі ең үлкенімен алмастыру; егер A>B>C>D, онда сандарды өзгеріссіз қалдыру керек; олай болмаған жағдайда барлық сандар квадратпен алмастырылады. 2) Массивтің берілген мәндері бойынша элементтерді кездейсоқ түрде беру. Жеке сұрыптау а) индекстері жұп және индексінде 1 саны бар элементтерді; б) мәні 3 бөлінгіш, d санынан үлкен емес элементтерді. 3) Файлда 6 қатардан тұратын мәтін берілген. Әр қатарда сандары ең көп сөздерді шығару және әр сөздегі сандардың санын шығару. 11 нұсқа. 1) Диаметрі d және биіктігі h цилиндрдің көлемін және бетінің ауданын есептеу. 2) n натурал саны, nx9 өлшемінің нақты матрицасы берілген. Нөмірі жұп болатын әр бағанның арифметикалық ортасын табу. 3) Компоненттері теріс сан болып табылатын файл құрастыру. Файлда жазылған және файлдың барлық компоненттерінің туындыларының мәндерінің қосындысын табу. 12 нұсқа. 1) Ұштары A(x1,y1), B(x2,y2) кесіндіні k-ға қатысты бөлетін C(x,y) нүктесінің координаталарын есептеу. 2) Кездейсоқ шамалармен толтырылған (-5, 15) өлшемі nxm нақты матрица берілген. b1, …, bn г реттілігін алу, ол жерде bk – бұл модулі [1; 10] кесіндісіне жататын k-ші қатарының элементтерінің квадраттарының туындысы. 3) Файлда 8 қатардан тұратын мәтін берліген. Экранға көршілері бірдей, яғни сол жағындағы да оң жағындағы да таңбалары бірдей сөздерді шығару. 13 нұсқа. 1) a, b, c сандары берілген. ax 2 +bx+c=0 квадраттық теңдеуді зерттеу. 2) Бүтін сандық квадраттық матрица берілген. Осы массив негізгі диагональға симметриялы ма екендігін анықтау. 3) Компоненті екіден кем емес F таңбалық файл қалыптастыру. Файлдың бірінші екі таңбасы цифр ма екендігін анықтау. Егер солай болса, онда осы цифрлардан құралған сан жұп па екендігін анықтау. 14 нұсқа. 1) y=k1x+b1 және y=k2x+b2 екі түзудің арасындағы бұрышты есептеу. 2) Берілген n*n реттегі нақты квадрат матрицада мәндері ең кіші элемент орналасқан қатардың қосындысын табу. 3) Санағанда файлдан мәтін «о» әріптері «а» әрпіна алмастырылады және алынған мәтінді файлға жазу. 15 нұсқа. 1) Пернетақтадан енгізілген төрт санының ең үлкен және ең кішісінің туындысын есептеу. 2) n реттегі бүтін сандық квадрат матрицасы берілген. Тек қана жұп элементтерді жазу және сұрыптау. 3) 20-дан 200-ге дейінгі аралықтағы кездейсоқ 100 сандардан тұратын файл құрастыру. Файлда қарапайым: 23, 31 сандарының болуын тексеру. 16 нұсқа. 1) X, Y, Z нақты оң сандары берілген. Егер үшбұрыштың X, Y, Z жақтары болса, онда ол үшкір бұрышты болады ма. 2) Бүтін санды n квадрат матрицасы берілген. Элементтері кемитін реттілікті құрастыратын қатар бойынша матрица элементтерін сұрыптау. 3) 20 бүтін саннан тұратын файл құрастыру. Файлда пернетақтадан енгізілген сан бар ма екендігін анықтау. 17 нұсқа. 1) A, B, C, D оң сандар берілген. Жақтары A, B тікбұрышты жақтары C, D болатын тікбұрышқа орналастыруға бола ма екендігін анықтау керек бірақ бір тікбұрыштың әр жақтары екінші тікбұрыштың әр жағына параллель болатындай. 2) Берілген кездейсоқ матрицаның A(N, N) негізгі диагоналінің элементтерінің арасында қандай да бір тақ элемент бар ма екендігін анықтау. 3) Сұрыптау бағдарламасын файлда сөз ұзындығы бойынша қатармен жазу және нәтижелерді жеке файлға шығару. 18 нұсқа. 1) X1, X2, X3, Y1, Y2, Y3 сандары берілген. Координата басының шындары (X1,Y1), (X2,Y2), (X3,Y3) үшбұрышқа жатады ма екендігін анықтау. 2) Берілген A(N, N) кездейсоқ массивте санының мәні бойынша сәйкес келетін кем дегенде бір жұп бар ма екендігін анықтау. 3) 5 қатардан тұратын әр мәтіндік файлдан әр қатардағы дауысты дыбыстардың санын табу. 19 нұсқа. 1) Шеңбердің 2 радиусы берілген: ішкі және сыртқы. Шеңбердің ауданын табу. 2) Өлшемі 4х6 берілген матрицада мәні ең жоғары элементі бар қатар мәні ең төмен қатармен орнын ауыстыру. Элементтер жалғыз деген болжам жасалады. 3) Файлдың барлық 10 қатары бойынша ең ұзын сөзді анықтайтын бағдарламаны жазу. Бір сөз басқа сөзден бос орынмен анықталады. 20 нұсқа. 1) a=(x1, y1, z1), b=(x2, y2, z2) векторлары берілген. d=b-a векторының координаталарын анықтау. 2) nxm өлшемді нақты матрица берілген. Оның қатар элементтерінің ең үлкен мәндерінің қосындысын табу. 3) 10 қатардан тұратын файл берілген. Әр қатарда ұзындығы ең аз сөзді табу және жою кейін файлдың соңына мәтінде кездесетін барлық цифрларды көшіру. 21 нұсқа. 1) 0-ден 24-ке дейінгі сан жасырылады. 6 сұрақ қойып қай сан екендігін табу. 2) 12 реттіліктегі нақты квадрат матрица берілген. Негізгі диагональда және одан жоғары орналасқан барлық элементтерді нөлмен алмастыру. Массивтің ең үлкен элементін және оның нөмірін табу. 3) Файлда 4 қатардан тұратын мәтін берліген. Егер қатарда «*» таңбасы болмаса, онда бұл қатарды өзгертусіз қалдыру, олай болмаса, «*» таңбасының алдында тұрған кіші латын әріпті цифрмен алмастыру.
Блок-сұлба – бұл әрекеттердің бағытын көрсететін, сызықтармен өзара байланысқан, әртүрлі пішіндегі блоктар түрінде бейнеленетін алгоритмдерді сипаттайтын сызбалардың кең таралған түрі. Төмендегі белгілеулер ең көп кездеседі:
Сызықтыз, тармақталған және циклды түрлері болады сонымен қатар аралас түрі ол алгоритмнің әр түрі араласқан сызықтардың түрі болады. 1 суретте алгоритмнің барлық түрлері көрсетілген: 1а – сызықтық, 1б – циклдік, 1в – тармақталған.
1 сурет – Алгоритмінің әр түрлерінің көрінісі |
|
Зертханалық жұмыс №2. Python. Санау жүйесі Жұмыстың мақсаты: санау жүйесінде алмастыру дағдыларын қалыптастыру. Жұмыстың тапсырмасы 1. 10-дық санау жүйесіндегі сан енгізіледі. Бұл санның 2-лік, 8-дік, 16- лық санау жүйесіндегі мәнін анықтау (1 кесте). 1 кесте – Нұсқа бойынша ондық сандарды ауыстыруға тапсырма
2. Екілік санау жүйесінде сан енгізіледі. 8-дік, ондық және 16- лық баламаларын шығару (2 кесте) 2 кесте – Екілік сандарды нұсқа бойынша алмастыруға тапсырма
3. 8-дік санау жүйесінде a
және b сандары енгізіледі. Ондық санау жүйесінде олардың (a+b)
қосындысын және (a-b) айырмасын табу (3
кесте).
1. Python бөлшек сандарды ауыстырмайды, тек оның бүтін бөліктерін ғана ауыстырады, олай болмаса қателіктер шығады (2 сурет).
2 сурет – Бүтін емес сандарлы ауыстырған кездегі қателік Санның бүтін бөлігін ондық санау жүйесінен bin операторының көмегімен екілік санау жүйесіне, oct көмегімен – 8-дік, hex көмегімен – 16-лық санау жүйесіне алмастыруға болады (мысалдар 3 суретте көрсетілген).
3 сурет – 10-дық санау жүйесінен сандарды ауыстыру 2. Айнымалының мәні берілген кезде, ол келісілген түрде ондық түрде қарастырылады, егер оны басқа санау жүйесінде беру қажет болса, мәнді берген кезде басқа формат қолданылады (мысалдар 4 суретте көрсетілген).
3. Мысалы түрінде түсіндіру: сегіздік санау жүйесінде a8=300, b8= -177 сандары берілген. Есептелетін (a+b) қосындысы және (a-b) айырмашылықтары және ондық жүйедегі жауап 5 суретте көрсетілген
5 сурет – Сандардың қосындысын және айырымын есептеу |
|
Зертханалық жұмыс №3. Python. Сызықтық және тармақталған түрдегі тапсырмаларды жүзеге асыру Жұмыстың мақсаты: қарапайым құрылымды тапсырмаларды бағдарламалау дағдысын қалыптастыру. Жұмыстың тапсырмасы Python бағдарламасында нұсқа бойынша бес тапсырманы шешу. 1 нұсқа. 1) Бір-біріне қарама-қарсы бірдей үдеумен қозғалып келе жатқан денелердің бастапқы жылдамдығы және ара қашықтығы белгілі болса, ол екеуі қанша уақыттан кейін кездесетіндігін анықтау. 2) а1, d, n бойынша арифметикалық прогрессияның қосындысын табу. 3) 6 сан берілген. Қосындылары 9-ға тең болатын үш санды табу. Егер ондай сандар болмаса, хабарлау. 4) a, b, c сандары берілген. Оларды (-1)3 *сан формуласы бойынша түрлендіру. Нәтижені шығару. Егер алынған мәндер 0-ден кіші болса, оларды өз модульдерімен алмастыру. Олардың қосындысын есептеу. 5) 5 сан және оларға сәйкес (n1,…,n5) түбір дәрежелері берілген. Әр санды түбір астынан шығару және салыстыру. 2 нұсқа. 1) Негізі а үлкен болғанда негіздері a, b және бұрышы α теңбүйірлі трапецияның ауданын табу. 2) Үшбұрыш өзінің жақтарының ұзындығымен берілген. Биіктігінің, медиананың, биссектрисаларының ұзындықтарын табу. 3) 3 сан берілген. Осы сандар тікбұрышты үшбұрыштың жақтары бола ма екендігін тексеру. 4) a, b, c, d, e сандары берілген. Олардың факториалдарын есептеу және экранға факториалы f санынан үлкен болатын сандарды ғана шығару. 5) Координатты түрде 5 нүкте берілген. Ара қашықтықты жұппен есептеу. Алынған ара қашықтықтарды салыстыру, координат нүктелерін шығару, ең аз қашықтықты анықтау.
1) Екі x1, y1, x2, y2 нүктелердің арасындағы қашықтықты есептеу. 2) Кез келген бес нүктенің орташа арифметикалық және орташа геометриялық қосындысын табу. 3) 4 сан берілген. Олардың ішінен қосындысы 12-ге тең болатын үш санды табу. Егер ондай сандар болмаса, хабарлау. 4) 4 сан берілген – жылқылардың шабу уақыты. Орташа уақытты есептеу және қай жылқының шабу уақыты орташа уақыттан аспайтындығын анықтау. Шабыстың жеңімпазын анықтау. 5) Парабола теңдеуі берілген. Берілген нүкте теңдеуге жатады ма, соны анықтау. 4 нұсқа. 1) Шеңбердің ішкі және сыртқы радиустары берілген. Шеңбердің ауданын табу. 2) Үшбұрыш шыңдарының координаталарымен берілген. Үшбұрыштың периметрін және ауданын табу. 3) Параллелепипедтің жақтарының ұзындықтары берілген. Көлемін және оның барлық диагональдарын табу, оларды салыстыру және диагональдың ең қысқа ұзындығын шығару. 4) Үшбұрыштың ауданын белгілі үш жағы бойынша табу. Ең ұзын биіктікті шығару. 5) Өзара 4 санды салыстыру. 5 нұсқа. 1) n, b2, b5 бойынша геометриялық прогрессияның қосындысын табу. 2) Үшбұрыштың координаталары берілген. Симметрия нүктесінің координаталарын табу. 3) Қандай да бір сан жасырылған. Ол ойша үшке көбейтіледі, 4 азайтылады және 2-ге бөлінеді. Жауаптың бүтін бөлігі айтылады. Оң сан анықталды ма екендігін анықтау. 4) 2 сан берілген. Олардың модульдерінің арифметикалық және геометриялық орташасын табу. Нәтижелерді салыстыру. 5) 6 сан берілген. Олардың ішінен қосындысы 8-ге тең болатын екі санды табу. Егер ондай сандар болмаса, хабарлау. 6 нұсқа. 1) Егер барлық жақтары және 2 бұрышы белгілі болса, төртбұрыштың ауданын табу. 2) Параллель жалғанған 4 кедергі берілген. Байланыс кедергісін табу. 3) 5 жүгірушінің реттік нөмірлері берілген (мысалы 2, 7, 10, 11, 20). Осы жүргірушілердің жылдамдықтарының орта мәні берілген. Жеңімпаздың және жеңілген жүгірушінің реттік нөмірін табу. 4) Шеңбердің ішкі және сыртқы радиустары белгілі. Нүкте шеңбердің ішкі аумағында немесе оның шекарасында болатындығын анықтау. 5) Үшбұрыш оның ішіне сызылған шеңбердің радиусымен және бұрыштарымен берілген. Үшбұрыштың жақтарын және ең ұзын жағының ұзындығын табу. 7 нұсқа. 1) Берілген 4 координата нүктесі бойынша олардың арасындағы қашықтықты табу. 2) 2 катет берілген. Гипотенузаны және бұрышты табу. 3) ax 2 -(3-c)x-c=0 теңдеуінің үлкен түбірін табу. 4) Үшбұрыш өзінің жақтарының ұзындықтарымен берілген. Биіктіктерінің ұзындықтарын, медианаларының ұзындығын, биссектрисаларының ұзындықтарын табу. Ең кіші мәндерін шығару. 5) Координаталы түрде берілген 3 нүктенің арасындағы қашықтықты есептеу. Ара қашықтықтары ең үлкен нүктелердің координаталарын шығару. 8 нұсқа. 1) Үшбұрыштың шыңдарының координаталары бойынша биссектрисаларының ұзындықтарының қосындысын табу. 2) Шаршы берілген. Оның сыртына және ішіне сызылған шеңберлердің ауданын табу. 3) 6 сан берілген. Олардың ішінен қосындысы 11-ге тең болатын екі санды табу. Егер ондай сандар болмаса, хабарлау. 4) Катет және гипотенуза берілген. Екінші катетті және қай катеттің биіктігі төмен екендігін табу. 5) Үшбұрыш өзінің шыңдарының координаталарымен берілген. Үшбұрыштың периметрін және ауданын табу. Үлкен жағын анықтау. 9 нұсқа. 1) Дұрыс n-бұрыштықтың ауданын табу. 2) Радиусы =13,7, ал доғасында радиан φ берілген саны бар сектордың ауданын табу. 3) Кездейсоқ енгізілген 4 санды өзара салыстыру. Ең үлкен және ең кіші элементті шығару. 4) a1,...,a10 нақты сандары берілген. max(a1+a10,a2+a9,...,a5+a6) есептеу. 5) 6 сан берілген. Олардың ішінен қосындысы 5 тең болатын үш санды табыңыз. Егер ондай сандар болмаса, ол жөнінде хабарлау. 10 нұсқа. 1) Тізбектей жалғанған 3 кедергінің мәндері берілген. Байланыстың кедергісін табыңыз. 2) Үшбұрыштың жақтары берілген. Оның ішіне және сыртына сызылған шеңбердің ауданын табыңыз. 3) n(n<10) мүшелерден тұратын арифметикалық прогрессия берілген, a1 және d белгілі. Осы прогрессияның барлық жұп мүшелерінің қосындысын табу. 4) Машинаның берілген ара қашықтықтары және жылдамдығы бойынша әр машинаның жүріс жолындағы уақытын анықтау. Оларды салыстыру. 5) 5 санның арифметикалық және геометриялық орташа мәнін есептеу. Салыстыру. 11 нұсқа. 1) Есептеу:
2) Кез келген 6 санның арифметикалық ортасын табу. 3) ax2+bx+c=0 теңдеулерінің түбірін табу. D<0, =0 жағдайды ескеру. Түбірлерін салыстыру. 4) b1, n (n<8), q берілген. Прогрессияның ең үлкен және ең кіші мүшесін табу. 5) Фибоначчидің ретті 7 саны берілген. Жеті саннан мүмкін болатын барлық комбинацияның ең үлкен туындысын табу. 12 нұсқа. 1) Есептеу:
2) Гипотенуза және катет бойынша үшбұрыштың ауданын, сыртына сызылған шеңбердің ауданын табу. 3) 5 саннан мүмкін болатын барлық 2 санның комбинациясының ең үлкен туындысын шығару. 4) 6 саннан жұптастырып арифметикалық ортасын шығару. Салыстыру. 5) Тексеру: координатасы берілген нүкте қандай да бір тікбұрыш аумаққа енеді ма екендігін. 13 нұсқа. 1) Фибоначчидің бірінші 4 санының қосындысын табу. 2) Екі шеңбердің радиустары берілген. Осы шеңберлермен шектелген шеңбердің ауданын табу. 3) 2-ден 25-ке дейінгі сан жасырылады. 6 сұрақтың ішінде қай сан жасырылғандығын табу. 4) 4 сан берілген (олардың кейбіреулері теріс). Сандардың түбірін табу. 5) Түзудің теңдеуі берілген. 2 нүкте осы түзуге жатадындығын немесе жатпайтындығын анықтау. 14 нұсқа. 1) a, b, c, d, e, f – екі үшбұрыштың жақтары берілген. Үшбұрыштың аудандарының айырмашылығын табу. 2) Шеңбердің ауданының және оның ішіне сызылған шаршының ауданының қосындысын табу. 3) (a-с)x2 +(b-а)x+c=0 теңдеуінің түбірін табу. D<0, =0 жағдайын ескеру. Түбірлерін салыстыру. 4) Координатасы берілген нүкте шеңбердің ішкі аумағында жататындығын анықтау. 5) Шыңдарының координатасы белгілі үшбұрыш берілген. Үшбұрыштағы ең үлкен биіктікті анықтау. 15 нұсқа. 1) Табу:
2) Үш санның геометриялық ортасын табу. 3) Егер шаршының шығбарының координаталары берілсе, берілген нүкте шаршының ішкі аумағына немесе оның шекарасына түсетіндігін анықтау. 4) Координаталық түрде берілген 4 нүктенің аарсындағы қашықтықты есептеу. Салыстыру. 5) Адамның бойы және салмағы берілген. Берліген бойға оның салмағының сәйкестігін есептеу. 16 нұсқа. 1) Жақтарының ұзындықтарын біле отырып, жақтары бірдей үшбұрыштың ауданын табу. 2) Шеңбердің ұзындығы белгілі. Осы шеңбермен шектелген дөңгелектің ауданын табу. 3) Сандар берілген: a, b, c – негіздері, d, e, f – санның дәрежелері. Қандай сан басқа сандармен бірдей дәрежеде қаншалықты дәрежеде үлкен екендігін анықтау. 4) 5 сан берілген. Олардың ішінен қосындысы 7-ге тең үш санды табу. Егер ондай сандар болмаса, ол жөнінде хабарлау. 5) Координаталы түрде берілген нүкте үшбұрыштың аумағында жататындығын анықтау. 17 нұсқа. 1) Текшенің қабырғасының ұзындығы берілген. Текшенің көлемін және оның бүйір бетінің ауданын табу. 2) Ұзындығы l маятниктің тербеліс периодын есептеу 3) Анықтау:
4) n, b6, b12 біле отырып, геометриялық прогрессияның қосындысын табу. 5) 2 сан берілген. Олардың модульдерінің арифметикалық және геометриялық ортасын табу. 18 нұсқа. 1) Катеттер берілген. Гипотенузаның және үшбұрыштың ауданын табу. 2) Радиусы r шеңбердің айналасына сызылған дұрыс n-бұрыштықтың периметрін табу. 3) Көлемі v1 литр температурасы t1 су температурасы t2 және көлемі v2 литр тура сол сумен араластырылған. Қоспаның көлемін және температурасын табу. 4) h биіктіктен жер бетіне тастың құлау уақытын анықтау. 5) Параллель жалғанған 3 кедергінің мәндері берілген. Байланыстың кедергісін табу. 19 нұсқа. 1) Үшбұрыштың барлық жақтарын біле отырып, медианаларының қосындысын табу. 2) Бір бірінен r қашықтықтағы массалары m1 және m2 екі дененің арасындағы F тартылыс күшін анықтау. 3) Катет және гипотенуза берілген. Екінші катетті және үшбұрыштың ішіне сызылған шеңбердің радиусын табу. 4) Шеңбердің ұзындығы берілген. Осы шеңбермен шектелген дөңгелектің ауданын табу. 5) Есептеу:
20 нұсқа. 1) Үшбұрыштың бұрыштарының шамалары және оның ішіне сызылған шеңбердің радиусы берілген. Үшбұрыштың жақтарын табу. 2) Есептеу:
3) n, b1, b3 бойынша геоометиялық прогрессияның қосындысын табу. 4) Ішкі радиусы =20 және сыртқы радиусы берілген сақинаның ауданын табу. 5) Сандар қатары берілген, олардың саны n (n<7). Қатарды сұрыптау. 21 нұсқа. 1) 4 сан берілген. Оларды сұрыптау. 2) Қандай да бір сан жасырылған. Ойша одан 5-ті аламыз, 4-ке көбейтіледі, 3-ке қосылады және 8-ге бөлінеді. Жауап ретінде бүтін сан айтылады. Теріс сан жасырылған ба екендігін анықтау. 3) Шыңдарының координаталары белгілі үшбұрыш берілген. Үшбұрыштағы ең кіші биіктікті анықтау. 4) Фиббоначчи сандарының алғашқы бесеуінің қосындысын табу. 5) 6 сан берілген. Олардың ішінен қосындысы 9-ға тең болатын үш санды табыңыз. Егер ондай сандар болмаса, ол жөнінде хабарлау.
Мысалы ретінде екі тапсырманы алайық: үш санның арифметикалық ортасын есептеу; екі айнымалыны салыстыру. Python нәтижелердің листингі 6а суретте, принскрин 6б суретте көрсетілген
6 сурет – Сызықтық түрдегі және тармақталған тапсырмаларды жүзеге асыру |
|
Зертханалық жұмыс №4. Python. Циклдер және массивтер Жұмыстың мақсаты: циклдармен және массивтермен жұмыс істеу дағдыларын қалыптастыру. Жұмыстың тапсырмасы Python бағдарламасында нұсқа бойынша бес тапсырманы шешу. 1 нұсқа. 1) a1,...,a20 сандарының бір өлшемді массиві берілген. Оны кездейсоқ түрде толтыру және сұрыптау. 2) 1 саны – дүйсенбі екені белгілі, олай болса айдың n-саны аптаның қай күні болады. 3) Айдағы күндердің саны берілген. Мүмкін болатын айды анықтау. 4) Квадратты матрица берілген. Оған кері матрицаны алу. 5) k*k массив берілген. Негізгі диагональдің элементтерін қосымша диагональдің элементтеріне алмастыру. 2 нұсқа. 1) Ұзындығы n бірөлшемді массивтің кездейсоқ түрде берілген барлық элементтерінің орта мәнін анықтау. 2) Ұзындығы k бірөлшемді массив берілген. Массивтің ең үлкен элементін табу. 3) Квадрат матрица түрінде Фибоначчи сандар қатарының бірінші 16 элементінен сандар массивін шығару.
қанша оң элементі болатындығын анықтау 3 нұсқа. 1) а элементтен тұратын кездейсоқ сандардың массиві берілген. Индекстері үшке еселі массив элементтерін ғана экранға шығару. 2) Егер айдың екінші күні – бейсенбі болса, онда айдың n-күні аптаның қай күні болады. 3) Кездейсоқ түрде толтырылған сандардың массиві берілген. Индекстері k кіші және n үлкен емес массив элементтерін шығару. 4) Қолданушы n*n элементтердің массив санын енгізеді. Матрицаны кері түрде жазу (соңынан бастап). 5) Бірінші элементтері 3 және 5, ал келесі элементтері алдыңғы екеуінің қосындысын екіге бөлгеннен құралатын екі өлшемді n*m массивті шығару. 4 нұсқа
2) n элементтердің кездейсоқ сандардың массиві берілген. Симметриялы түрде орындарын ауыстыру (біріншісін соңғысымен, соңғысын екіншімен және т.с.с.). 3) n элементтен кездейсоқ сандардың массиві берілген. Индексінде 2 саны бар сандарды шығару. 4) n*n матрицасы енгізіледі. k қатарынан жоғары тұрғанды нөлдендіру, төмен тұрған элементтерді кемуі бойынша сұрыптау. 5) n саны, 4*4 матрица берілген. Негізгі диагональдың геометриялық орташасын табу және онымен жанама диагональдың ең үлкен элементін алмастыру, матрицаның оң элементтерін нөлдендіру, қалғандарын өзгерту. 5 нұсқа 1) Массивтің кездейсоқ енгізілген барлық элементтерін өсуі бойынша сұрыптау (n-массив элементтерінің саны). 2) n элементтерден қолданушы енгізген сандардың массиві берілген. Индексінде 2 саны бар сандардан массив құрастыру. Алынған массивтегі барлық сандарды кемуі бойынша сұрыптау. 3) Ұзындығы n кедейсоқ берілген бір өлшемді массивтің барлық элементтерінің геометриялық ортасын табу. 4) Квадратты матрица берілген. Оған кері транспонирленгенге көбейтілген матрица алу. 5) m*m кездейсоқ сандар массивінде бірінші n қатардың элементтерін 1-ге алмастыру, келесі 2 қатардың элементтерін симметриялы түрде жол бойынша ауыстыру (біріншісін соңғысымен және т.б.), қалғандарын нөлдендіру. 6 нұсқа. 1) Қолмен n элементтерден енгізілген массивтің 3-ке бөлінетін барлық тақ элементтерін шығару. 2) Фибоначчи сандар қатарының бірінші 25 элементінен сандар массивін шығару. 3) n элементтерден тұратын кездейсоқ сандар массиві берілген. Индексінде бір немесе екі бар сандардан жаңа массив құрастыру. Алынған массивті кемуі бойынша сұрыптау. 4) Нөмірлері k, n, h матрица берілген. Осы нөмірдегі қатардың элементтерін өзара орнын ауыстыру. 5) А кездейсоқ сандар матрицасынан келесі матрицаларды шығару: В – матрицаның жоғарғы диагональ элементтері, С – төменгі элементтер матрицасы. 7 нұсқа. 1) Егер айдың 2-күні сенбі болса, онда айдың n-дүйсенбісі айдың қай күні болады. 2) n элементтерден кездейсоқ сандардың массиві берілген, көрші элементтерді ауыстыру (1-ші элементті 2-шімен, 2-шіні 3-шімен, ..., соңғыны 1-шімен)
4) А квадратты матрица берілген. А 3 алу керек. 5) 5*6 матрицасы, индекстері тақ элементтерді осы элементтің алдында тұрған қатардың қосындысына алмастыру. 8 нұсқа. 1) n элементтерден тұратын қолмен енгізілген 4-ке бөлінетін массивтің барлық жұп элементтерін шығару. 2) Ұзындығы n кездейсоқ сандардың қандай да бір реттілігі берілген. Тізімді k (k(k<4) бөліктерге бөліп әр бөлімін сұрыптау. Нәтижені шығару 3) Ұзындығы n сандардың тізімі берілген. Тағы 2 сандар ретін алу: біріншісі – сәйкес элементтердің квадраттарынан, ал екіншісі тақ элементтердің кубынан тұратын. 4) а1, …, аn нақты сандары берілген. n*m алу, мұнда m қатары сәйкес ai элементтің m дәрежесі, m=1, …, 5. 5) Матрицаны тігінен бірдей бөліктерге бөлу. 9 нұсқа. 1) k сандардан барлық мүмкін болатын 2 санның комбинациялардың ең үлкен туындысын шығару. 2) Екі таңбалы 10 сан берілген. Көрші элементтердің қатынасынан ең үлкенін анықтау. 3) Координатты түрде берілген k нүктелердің арасындағы қашықтықты есептеу. Салыстыру. 4) Тікбұрышты А матрица берілген. Транспонирлы матрицаны алу. 5) А-квадратты матрица. А* - транспонирленген. АА* -ны алу. 10 нұсқа. 1) Бір айдағы күндер саны берілген. Мүмкін болатын уақыт мезгілін анықтау. 2) Ұзындығы n кездейсоқ сандардың массиві берілген. Массивті сұрыптау және ең үлкен және ең кіші элементтердің арасындағы арифметикалық ортаны анықтау, жаңа массив түрінде жазу. 3) Екі таңбалы 10 сан берілген. Массивті кемуі бойынша сұрыптау. 4) Фибоначчи сандар қатарының бірінші 15 элементін тікбұрышты матрица түрінде шығару. 5) Бірінші элементтері 1 және 2, ал келесі элементтері алдыңғы екі санды қосып оны 2-ге бөлу арқылы қалыптасатын n*m екі өлшемді массивті шығару. 11 нұсқа. 1) n натуралды сан берілген. Бірінші n көбейткіштерінің *... 7 6 * 5 6 * 5 4 * 3 4 * 3 2 туындыларын есептеу. 2) Ұзындығы n тізбегі берілген. Қандай саннан кейін k саны қайталанатындығын есептеу. 3) Реті n А және В квадрат матрицалары берілген. АВ+ВА-А матрицаларын алу. 4) Өлшемділіктері бірдей кездейсоқ сандардан құралған А және В матрицалары берілген. А және В матрицаларының негізінде С матрицасы А және В матрицаларының сәйкес элементтерінің қосындысынан тұратындай С, D матрицаларын шығару. D=А·А*-В·С. А* - транспонирленген. 5) n ретті кездейсоқ элементтермен толтырылған квадратты матрица берілген. Негізгі диагональдан жоғары тұрған элементтерге бірден жоғары мән беру, басты диагональді нөлдендіру. Ал қалған элементтердің мәнін n санына көбейту. 12 нұсқа. 1) 2 күнді көрсететін (күн, ай, жыл) a1, b1, c1, a2, b2, c2 натуралды сандар берілген. Осы екі күн арасындағы өткен күннің санын және жылдың бүтін санын анықтау. 2) Кездейсоқ түрде берілген әрқайсында n элементтен тұратын 2 сандар массиві берілген. Екі массивтердің сәйкес элементтерін көбейту және кемуі бойынша сұрыптау. 3) k элементтерден тұратын кездейсоқ сандардың 6 массиві берілген. Әр массивтің арифметикалық ортасын табу және оны арифметикалық ортасы басқаларына қарағанда ең аз массивтің индексімен шығару. 4) Кездейсоқ сандардың тікбұрышты матрицасы берілген. Барлық тақ сандарды нөлмен алмастыру, ал жұп сандарды 3-ке көбейту. 5) 4*5 матрицасы берілген. Индекстері тақ барлық элементтерді 15 санына алмастыру, ал индекстері жұп элементтерді нөлмен алмастыру. 13 нұсқа. 1) Қандай да бір сандардың қатары белгілі. Қатарды өсуі бойынша сұрыптау. 2) Берілген қашықтықтар және n машинаның жылдамдығы бойынша әр машинаның жүрген уақытын анықтау. Орташа жылдамдықты V есептеу және V асатын машианалардың индексін шығару. 3) k сандары берілген. Қосындылары а-ға тең болатын үш санды табу. Егер ондай сандар болмаса, хабарлау. 4) n натурал сандар берілген, өлшемі n*9 нақты матрица. Әр бағанның арифметикалық ортасын анықтау. 5) Қатар бойынша элементтердің және кездейсоқ сандар массивінің n*n баған бойынша орташа мәнін табу. 14 нұсқа. 1) Ондық сандардың массиві берілген. n-ға ең жақын санды табу. 2) Ұзындығы n кездейсоқ сандардың қандай да бір реті берілген. Тізбекте көршілес (қатар тұратын) екі оң сандарды; үш теріс сандардың көлемін кезекпен анықтау. 3) Нақты х саны берілген. Есептеу
4) Реті 3 А және В квадратты екі матрица берілген. С = (А*В)*А матрицасын табу. 5) 4*6 матрицасы берілген. 2 саны бар сандардың мөлшерін анықтау. 15 нұсқа. 1) а1, а2..., аm нақты сандары берілген. а1>0, және а2,..,аn арасында – қандай да біреу де болсын теріс сан бар екендігі белгілі. а1,а2..,аn – бірінші теріс санның алдында тұратын осы реттіліктің мүшелері болсын (n-алдын ала белгілі). а1,...,аn геометриялық ортасын алу.
3) m, a1, a2,...a20 бүтін сандар берілген. Олардың ішінде әрқайсысы 20- дан аспайтын i, j, k үш натурал санды табу, олар ai+aj+ak=m шартына сәйкес келу керек. Егер ондай сандар жоқ болса, ол жөнінде хабарлау. 4) Өлшемі n*9 матрица берілген. 4 нөмірі бар әр бағанның арифметикалық ортасын табу. 5) Өлшемі n*m, барлық элементтері нөлге тең болмайтын квадратты матрица берілген. Осы матрицаның барлық элементтерін нөмірі бойынша ең үлкен элементке бөлу арқылы алынған жаңа матрицаны алу. 16 нұсқа. Ұзындығы n кездейсоқ сандардың реті берілген. Қатардан мәндері a және b тең элементтерді алып тастау. Алынғанды шығару, одан кейін оны шамаларының өсу реті бойынша сұрыптау. 2) m және n натурал сандар берілген. Ортақ бөлгіші жоқ p/q=m/n болатындай p және q натуралдарды табу. 3) 10 элементтен әр қайсысында 4 элементтен болатын барлық комбинацияларды алу. 4) n натурал сан берілген. 1·2+2·3·4+....n(n+1)....2n есептеу. 5) Егер аij=cos(i2 +n) болса, |аij|i,j=1…n, матрицасының қанша оң элементі болатындығын анықтау. 6) Кездейсоқ сандардың екі өлшемді массиві берліген. Осы массивтің барлық оң элементтерін (-2) санына алмастыру, нөлдерді өзгерусіз қалдыру, ал теріс элементтерін массивтің ең үлкен элементіне бөлу. 17 нұсқа. 1) Кездейсоқ алынған 10 элементтен тұратын 4 массив берілген. Үш массивтің сәйкес элементтерін қосу және 4-ші массивтің сәйкес элементіне бөлу, оны 5-ші массивке жазу және кемуі бойынша сұрыптау. 2) n, a1,a2,...an бүтін берілген. x1,y1;x2y2;...xkyk алу, мұнда x1,x2,...xm - a1,a2,...an қатардың реттілікпен алынған жұп мүшелері, ал y1,y2,...yl – тақ мүшелері, k=min(m,l). 3) Бағдарлама кездейсоқ сандар датчиктің көмегімен сандары әр түрлі төрт таңбалы санды таңдайды. Осы санды табу. Әр қадамда ойнаушы төрт таңбалы санды енгізеді, ал бағдарлама неше сан табылғанын (бұқалар) және неше табылғаны орнында тұрғандығын (сиырлар) хабарлайды. 4) n элементтерден тұратын кездейсоқ сандардың екі өлшемді массиві берілген. Құрылымын өзгертпей, экранға индекстері үшке еселі элементтерді ғана шығару, қалғандарын нөлдендіру. 5) n саны берілген. Егер аij=sin(i+j/2) болса, |аij|i,j=1,…n неше оң элементтердің болатындығын анықтау. 18 нұсқа. 1) Натуралды сан берілген. Барлық натуралды бөлгіштерді алу.
3) а1, а2..., аm нақты сандар берілген. а1>0 және а2,..,аn – сандарының арасында қандай да біреу де болса теріс сан бар екендігі белгілі. а1,а2..,аn – бірінші теріс мүшенің алдында тұратын осы қатардың мүшелері болсын (nалдын ала белгілі). max(a1,a1*a2,...,a1*a2...an) алу. 4) n*k екіөлшемді массив. Массивтің ең үлкен элементін табу, оның индексін анықтау. 5) n*k элементтерден тұратын кездейсоқ сандардың массиві берілген. Элементтерді симметриялы қатарлы түрде орындарын ауыстыру (бірінші элементті сол қатардағы соңғы элементпен және т.с.с.). 19 нұсқа. 1) а1, … а10 натуралды сандар берілген. а1+а22+…+а1010 есептеу. 2) А (m*m) матрицасы, n саны. Е+А+А2 +…+Аn матрицасын алу, бұл жерде Е –m реттегі бірлік матрица. 3) Кездейсоқ сандардың 9*3 матрицасы берілген. Оны 3 тең бөлікке бөлу, қатар бойынша шығару және сұрыптау. 4) Квадрат матрицаның ізі деп негізгі диагональда орналасқан элементтердің қосындысы айтылады. m реттегі квадрат матрица және n натуралды сан берілген. А, А2 , …, Аn матрицаларының ізін есептеу. 5) n*m массиві берілген. Индексте үші бар элементтерді нөлдендіру, қалғандарын өзгеріссіз қалдыру. 20 нұсқа. 1) 3 реттегі А және В матрицалары берілген. Матрицаны = А*В табу. 2) Қатарлар нөмірі k және n матрица берілген. Көрсетілген қатардың элементтерін өзара орындарын ауыстыру. 3) Кездейсоқ сандардың А матрицасы берілген. басты диагональда тұрған, элементтерден тұратын сандар қатарының және А матрицасының негізінде В, С матрицаларын шығару: матрица В – матрицаның жоғарғы диагоналінің элементтері, матрица С – матрицаның төменгі диагоналінің элементтері. 4) А квадратты матрица берілген. А 2 алу. 5) Элементтері
есептелетін матрицаны алу. 21 нұсқа. 1) n реттегі А және В матрицалары берілген. АВ-ВА матрицасын алу. 2) n реттегі А, В және С квадратты матрицалары берілген. (А+В)С матрицасын алу. 3) Матрицаны 3 бөлікке тігінен және көлденең бөлу мысалдарын көрсету.
5) n реттегі квадратты матрица берілген. Элементтері
формуласы бойынша анықталатын В матрицасын алу.
Тапсырмаларды алайық элементтен тұратын кездейсоқ сандар массивінде
элементтерді симметриялы түрде орындарын алмастыру: бірінші элементті
соңғымен, соңғының алдындағыны екінші элементпен және т.с.с.; екі
өлшемді массивті қатар бойынша өсуі бойынша сұрыптау. Python
бағдарламасындағы нәтижелердің принскрині 7а суретте, листингі 7б суретте
көрсетілген.
|
|
Зертханалық жұмыс №5. Python. Қатармен, файлдармен жұмыс Жұмыстың мақсаты: қатарлы мәліметтермен жұмыс істеу, оларды көрсету және форматтар дағдысын қалыптастыру, файлдық құрылымдармен жұмыс істеу дағдыларын меңгеру. Жұмыстың
тапсырмасы 1 нұсқа. 1) Қатар енгізіледі, «u» әрпінің қайталану көлемін табу. 2) Қатар берілген, ондағы айырманың бәрін қосындымен алмастырып реттілікті түрлендіру. 3) Файлда мәтін берілген. Әр жолақтың басына оның нөмірін және жолақтағы таңба санын жазу. 2 нұсқа. 1) Компоненттері бүтін сан болып табылатын файл берілген. Файлдың компоненттерінің қосындысын табу. 2) Файл қатарындағы бас әріптердің пайыздық және сандық мөлшерін анықтау. 3) Компоненттері бүтін сан болып табылатын файл берілген. Екінші файлға бірінші файлдағы барлық жұп сандарды кері ретпен жазу. 3 нұсқа. 1) Компоненттері нақты сан болып табылатын файл берілген. Компоненттердің ең үлкен мәнін анықтау. 2) Қатардағы ең қысқа сөздің ұзындығын анықтау. 3) Әр қатардың басында файлда сәйкес қатардағы сөздің санын жазу. 4 нұсқа. 1) Файлда ең кіші санды табу. 2) Файлда таңбалардың тізбегі берілген. Барлық сұрақ белгілерін нөлмен алмастырып, файлды түрлендіру. 3) Компоненттері бүтін сан болып табылатын файл берілген. Екінші файлға жұп сандардың нақты квадраттары болып табылатын сандарды жазу. 5 нұсқа. 1) Компоненттері бүтін сан болып табылатын файл берілген. Екінші файлға 5-ке бөлінетін барлық жұп сандарды жазу. 2) Айырмадан кейін тұратын таңбаларды «-7» сандарымен алмастырып, қатарды түрлендіру. 3)s1, …, sn таңбалар, қатар берілген. Таңбалардың арасында кем дегенде бір нүкте бар екендігі белгілі. Осы тізбекте нүктенің бірінші нөмірін табу. 6 нұсқа. 1) Нүктелерден тұратын тізбекті қатардағы барлық таңбалардың нөмірлерін табу 2) Қатарда s1, …, sn таңбалары берілген. Екі бос орындардың санын анықтау. 3) Компоненттері нақты сан болып табылатын файл берілген. Файлдың бірінші және соңғы компонентінің айырмашылығын табу. 7 нұсқа. 1) Файлда ең ұзын сөзді қосынды таңбасымен алмастыру. 2) Компоненттері бүтін сан болып табылатын файл берілген. Компоненттердің арасындағы жұп және тақ сандардың санын табу. 3) Компоненттері бүтін сан болып табылатын f файл берілген. f файлдан түрленген әріптердің бірдей реттілігі алынып тасталған g файлын алу. 8 нұсқа. 1)s1, …, sn таңбалары берілген. «Пора» сөзінің құрамындағы әріптердің барлығы қатарда бар ма екендігін анықтау. 2) Компоненттері бүтін сан болып табылатын файл берілген. Компоненттердің арасынан үшке еселі тақ сандардық санын анықтау. 3) Таңбалық файл берілген. Оның мазмұнын алдын ала ол файлдан барлық -и / таңбаларын өшіріп қайтадан басқа файлға жазу. 9 нұсқа. 1) Файлдағы барлық дөңгелек жақшаларды тік жақшаға алмастыру. 2) Қатар берілген, алдымен үтір, одан кейін нүкте болатындығын анықтау. 3) Компоненттері нақты сан болып табылатын файл берілген. Компоненттері ең үлкен және ең кіші мәндерінің арифметикалық ортасын табу. 10 нұсқа. 1) Қатар берілген, «?» таңбасы кездесетін элементтің барлық нөмірлерін алу. 2) Компоненттері бүтін сан болып табылатын файл берілген. Компоненттер арасында тақ сандардың квадраттарының санын анықтау. 3) n натуралды сан, арасында бірнеше / бар s1, …, sn, таңба қатары берілген. Қатарда / таңбасы неше рет кездесетіндігін анықтау және екінші / кейін тұратын элементтерден құралған екінші қатарды алу. 11 нұсқа. 1) f таңбалық файл берілген. Оның мазмұнын * / - + таңбаларын 1 цифрына алмастырып g файлына көшіріп жазу. 2) Файл берілген. Барлық орысша әріптерді өшіру. 3)s1, …, sn қатарда таңбалар берілген. Бос орындардың санын анықтау. 12 нұсқа. 1) Қатардағы ең ұзын сөздегі «k» әрпін «j» әрпіне, «v» әрпін «z» әрпіне алмастыру. 2) Қатар берілген, таңбалардың арасында үтір бар ма және ол неше рет кездесетіндігін анықтау. 3) Таңбалық файл берілген. Файлдың мазмұнын алдын ала * және + таңбаларын өшіріп басқа файлға көшіріп жазу. 13 нұсқа. 1) Компоненттері бүтін сан болып табылатын файл берілген. Екінші файлда бірінші файлдағы барлық тақ сандарды жазу. 2) n натуралды сандар, s1, …, sn таңбалары берілген. Қатарда fd әріптер тобының қанша рет кездесетіндігін анықтау. 3) 2 файл берліген. Үшінші файлға бірінші файлдың, одан кейін екінші файлдағы мәліметтерді соңынан басына қарай жазу. 14 нұсқа. 1) Қатар берілген. Барлық тыныс белгілерін және сандарды өшіру. 2) Файлда stu әріптер тобын student –ке алмастыру. 3) Компоненттері бүтін сан болып табылатын файл берілген. Екінші файлға барлық жұп сандарды жазу, ал үшінші файлға бірінші файлдағы барлық тақ сандарды жазу. Сандардың ретін сақтап қалу керек. 15 нұсқа. 1) Қатар берілген, онда қатарынан 4 рет тұратын «-» таңбасы бар ма екендігін анықтау. 2) 2 таңбалық файл берілген. Үшінші файлдың көмегімен бірінші файлды екіншіге, ал екіншісін біріншіге көшіріп жазу. 3) Тік жақшалардың арасындағы барлығын нөлмен алмастыру. 16 нұсқа. 1) f таңбалық файл берілген. Бас әріптердің барлығын кішкентай әріптерге алмастырып f файлынан g файлын алу. 2) Файлда барлық сандардың қосындысын есептеу. 3) Тізбекті қатардағы әріптерінің және тыныс белгілерінің санын анықтау. 17 нұсқа. 1) Компоненттері бүтін сан болып табылатын файл берілген. Екінші файлға кері реттілікте тақ сандардың кубы болып табылатын сандарды жазу. 2) Файлдағы төртінші сөзді табу және оның екінші әрпін «k» әрпіна алмастыру. 3) Қатарда «slv» әріп тобының неше рет кездесетіндігін анықтау. 18 нұсқа. 1) Файл берілген. Оны «-» белгілерінің арасындағы таңбаларды ғана қалдырып қайтадан жазу. Таңбалары өшірілмеуі керек. 2) Компоненттері бүтін сан болып табылатын файл берілген. Компоненттердің арасынан қосарланған тақ сандарды табу. 3) Қатардағы ең қысқа сөзді табу. 19 нұсқа. 1) Қатар берілген, тізбектің ішінде «біз» және «сіз» қатар тұрған жұбы бар ма екендігін анықтау. 2) Файлда бірнеше қатар тұрған бос орынды бір бос орынмен алмастыру. 3) Файлдағы сандарды кемуі бойынша сұрыптау. 20 нұсқа. 32 1) Қатар енгізіледі, файлға жазылады. Әр «v» әріптен кейін «k» қойып түрлендіру керек. 2) Қолданушы енгізген қатардағы сөздердің ұзындығының кемуі бойынша сұрыптау. 3) 4 қатардан тұратын файлдағы мәтін берілген. Егер қатарда «*» белгісі болмаса, онда қатарды өзгеріссіз қалдыру, болмаған жағдайда үлкен латын әріптерін цифрға алмастыру. 21 нұсқа. 1) Тұтынушы енгізген қатардан барлық сандарды өшіру, қалғандарын файлға жазу. 2) Қатарда таңбалар берілген. «Мир» сөзінің құрамындағы барлық әріптер бар ма екендігін анықтау. 3) n натуралды сан, s1, …, sn таңбалары берілген. Әр таңбаны өшіріп – және – басқа таңбаны қайталап тізбекті түрлендіру
Екі тапсырманы қарастырайық, біріншісі: көп қатарлы файл бар деп қарастырайық және қолданушымен енгізілетін қатар, тексеруіміз керек файлда қатар барма нақты v қатар фрагменті құрамында бар; екіншісі: тұтынушы қатарға енгізген бас әріптердің санын пайыздық қатынаста санау. 8 суретте сол жақта листинг, оң жақта оның орындалу нәтижесі, мазмұны келтірілген.
8 сурет – Қатармен және файлмен тапсырмалардың листингі және шешілуі |
|
Зертханалық жұмыс №6. Python, PythonXY. Графикамен жұмыс Жұмыстың мақсаты: қосымшада графикамен жұмыс істеу дағыдаларын қалыптастыру. Жұмыстың тапсырмасы Python және PythonXY бағдарламаларында нұсқа бойынша үш тапсырманы шешу. 1 нұсқа. 1) y=2+(9-x 2 )/(6-x) функциясының графигін тұрғызу. 2) iPhone бір жылға сатылған мәліметтері бойынша дөңгелек диаграмма сызу. 3) Смайлик салу. 2 нұсқа. 1) y=(sinx)/(x+2) функциясының графигін тұрғызу. 2) y=x 3 -7 салу. 3) Қазақстанның туын салу. 3 нұсқа. 1) y=5/x функциясының графигін салу. 2) Центріндегі нүктелері (4,8) екі концентрлік шеңбер сызу. 3) Үй салу. 4 нұсқа. 1) y=x/(2x2 +3x-1) функциясының графигін салу. 2) 4*4 шахмат тақтасын салу. 3) Көбелек салу. 5 нұсқа. 1) y=2/(x-5) функциясының графигін салу. 2) Дұрыс 5-бұрыш салу және оны бояу. 3) Ананас салу. 6 нұсқа. 1) y=(4x-2)/(8x3 -3x) функциясының графигін салу.. 2) шаршы салу және оны қызыл түспен бояу. Шаршының әр жағындағы ортасын табу, шаршының барлық орталарын қосу. Алынған бөлікті жасыл түспен бояу. 3) Алманы салу. 7 нұсқа. 1) y=(5-x)*(6+2x)/(x-1)2 функциясының графигін салу. 2) Шеңбер салу, бояу. Оның ішіне дұрыс үшбұрыш салу. Бояу. 3) Қоршау салу. 8 нұсқа. 1) y=x/(4x2 +2x-1) функциясының графигін салу. 2) шеңбер сызу, оны 6 секторға бөліп, әр секторды әр түрлі түске бояу. 3) Балықты салу. 9 нұсқа. 1) y=(2-x)/(3+x) функциясының графигін салу. 2) Шеңбер сызу. Оны көк түспен бояу. Оның ішіне сары түсті шаршы сызу. 3) Паровоз салу. 10 нұсқа. 1) y=(2x+1)/х функциясының графигін салу. 2) Экранда координаталары келесі теңсіздікті қанағаттандыратын көптеген нүктелерді салу: x 2 +y2 ≤81. 3) Кеме салу. 11 нұсқа. 1) y=(x+4)/(x-1) функциясының графигін салу. 2) Ваннаның кез келген бір затын және оның айнадағы көрінісін салу. 3) Пианино салу. 12 нұсқа. 1) y=2x2 +3x функциясының графигін салу. 2) Жақтары а, төменгі координатасы (-3,-2) шаршы тұрғызу. 3) Итті салу. 13 нұсқа. 1) y=cos(1-x)/2 функциясының графигін салу. 2) Жақтары а, а+1, а+2 үшбұрыш сызу. 3) Құстың суретін салу. 14 нұсқа. 1) y=3x2 -12 функциясының графигін салу. 2) Екі түрлі ағаштың суретін салу. 3) Мысықтың суретін салу. 15 нұсқа. 1) y=5/x + 4 функциясының графигін салу. 2) Экранда координаталары келесі теңсіздікті қанағаттандыратын көптеген нүктелерді салу: x 2 +y2 ≤2(x+y). 3) Жарқанаттың суретін салу. 16 нұсқа. 1) y=-x 2 +25 функциясының графигін салу. 2) Ас үйдегі бір заттың және оның айналық бейнесінің суретін салу. 3) Машинаның суретін салу. 17 нұсқа. 1) y=8x2 -x+2 функциясының графигін салу. 2) Шеңбер сызу, оны бояу. Оған 2 дұрыс үшбұрыш сыз. Әр түрлі түстермен бояу. 3) Автобустың суретін салу. 18 нұсқа. 1) y=(8-2cosx)/(3-x) функциясының графигін салу. 2) Шеңбер сызу, оны бояу. Шеңбердің ішіне дұрыс жеті бұрыш сызу, бояу. Жетібұрыштың жақтарының орталарын жалғау, фигураны бояу. 3) Кірпінің суретін салу. 19 нұсқа. 1) y=x 2 -x 3 функциясының графигін салу. 2) Екі әр түрлі үшбұрыш сызу, олардың симметрия нүктелерін қосу. 3) АЭжБУ ғимаратының суретін салу. 20 нұсқа. 1) y=x 3 /3 – 1 функциясының графигін салу. 2) Асханадағы бір заттың және оның айналық бейнесінің суретін салу. 3) Велосипедтің суретін салу. 21 нұсқа. 1) y=2x2 /7 +2х-4 функциясының графигін салу. 2) Сіздің отбасыңыздың қаржысының шығындарының мәліметтері бойынша дөңгелек диаграмма тұрғызу. 3) Компьютердің суретін салу.
1. Python XY бағдарламасында листинг және дөңгелек диаграмма түрінде жүзеге асыру нәтижесі 9 суретте көрсетілген.
2. Қызыл түсті шеңбер сызу, оның ішіне дұрыс үшбұрыш сызу. Python XY бағдарламасында листинг және жүзеге асыру нәтижесі 10 суретте көрсетілген.
3. Тышқанның суретін салу. Python XY бағдарламасында листинг және жүзеге асыру нәтижесі 11 суретте көрсетілген.
4. y=(x3 +1)/5 функциясының графигін тұрғызу. Python XY бағдарламасында листинг және жүзеге асыру нәтижесі 12 суретте көрсетілген
|
|
Зертханалық жұмыс №7. Python. Алгоритм жұмысының жылдамдығын бағалау Жұмыстың мақсаты: іске қосуды есептеуді және бағдарламаның жұмысының жылдамдығын басқаруды меңгеру. Жұмыстың тапсырмасы Python бағдарламасында №3 немесе №4 зертханалық жұмыстардағы өз нұсқауыңнан екі тапсырманың жұмысын бағалауды жүргізу. Тәжірибе үшін таймерді қосу мүмкіндігі – 5 реттен кем емес. Талдау. Бағдарлама жұмысының уақытының өзгерісінің мүмкін болатын себептерін ойластыру.
Қандай да бір бағдарламалық кодтың орындалу жылдамдығын бағалау кей жағдайда қажет болады. Әсіресе бұл жоғарғы деңгей тілдеріне қатысты болып табылады. Сол сияқты Python тілінде де бағалау қажет болады. жұмысты көрнекі көрсету үшін мысалды қарастырамыз: қандай да бір сандар аралығының қосынды функциясын тексерейік (13 сурет).
Іске қосқан кезде орындалу уақыты әр кезде әр түрлі болатындығына көңіл бөліңіз, ол көбеюі немесе азаюы мүмкін. Оның себептерінің бірі: машинада белгілі бір уақытта жадты қолдануға әсер ететін белгілі бір үрдістер орындалады. |
|
Зертханалық жұмыс №8. Python. Шифрлаудың қарапайым әдістері: Цезарь әдісі, Полибиан шаршысы, Вижинер әдісі Жұмыстың мақсаты: қарапайым шифрлаудың үш әдісі бойынша дағдыларды меңгеру Жұмыстың тапсырмасы Кодтау және декодтау бағдарламаларын жүзеге асыру: 1. Цезарь әдісімен (кілт = топ тізімі бойынша студенттің реттік нөмірі, шифрлауға арналған сөз = кез келген сөз тіркесі); 2. Полибиан шаршысымен (басында студенттің тегі және аты жазылады, шифрлау үшін сөз = кез келген сөз тіркесі); 3. Вижинер әдісімен (кілт = студенттің тегі және аты, шифрлау үшін сөз = кез келген сөз тіркесі).
1. Цезарь әдісі. Мысалда 14 суретте = -1 кілтімен «криптография, бұл ғылым» сөзінің кодтау нәтижесі көрсетілген. Декодтау бағдарламасын жазу керек (оқытушы декодтау сөзін береді; шифрланған кілтті, сөзді анықтау).
2. Полибиан шаршысы (тікбұрыш). 15а суретте өлшемі 7*5 абстрактты матрицада бағдарлама жұмысының листингі және нәтижесі көрсетілген; студентке тапсырманы орындау барысында өзіне ыңғайлы ету және кестенің басына өзінің тегі және атындағы әріптерді қайталаусыз жазу керек, 1 кестеде көрсетліген сияқты өзгерту керек. Одан кейін матрицадан кодтау кезінде алынған барлық цифрларды жақшасыз және «,» таңбасынсыз жазу керек (қосымша листингпен принскрин 15б суретте көрсетілген). Одан кейін барлық сандарды бір қатарға – мысалы түрінде жалғастыру нәтижесі 15в суретте көрсетілген. Бұл Полибий шаршысының көмегімен кодталған сөз болып табылады. 1 кесте – Полибий шаршысының көмегімен кодтау мысалы
Декодтау. Қандай да бір сандар қатары беріледі (15в суреттің мәліметтері сияқты) және мәндер матрицасын біле отырып (1 кестеге ұқсас) қандай сөз жасырылғандығын анықтау керек. Барлық сандар бір цифрдан тұратындығын ескере отырып, декодтау кері процедурасы (жұп бойынша бөлу бір мәнді болады). Декодтау жұмысының мысалы 16 суретте көрсетілген
Вижинер шифры. Кілт ретінде студенттің тегі және аты (әріптерін қайталамай) болып келеді; сөйлемге кілт қойылады, егер кілттің ұзындығы кішкентай болса, онда кілт көшіріледі. 17 суретте 10-дық кілт («ЗуеваЕкатерина») бойынша Вижинер әдісімен әріптерді қайталамай шифрлаудың листингі көрсетілген: «зуевактрин». 18 суретте 17 суреттен листинг бойынша шифрлауды жүзеге асырудың принскрині келтірілген
|
Әдебиеттер тізімі
-
Ахметова, Г. (2020). Информатика пәнін оқытудың әдістемелік негіздері. Алматы: Мектеп.
-
Жұмабаев, С. (2019). Python бағдарламалау тілі және оның қолдану аясы. Алматы: Технология.
-
Бегалиев, Р. (2018). Информатика бойынша жаңартылған оқу бағдарламасы: теория мен практика. Астана: Елорда.
-
Тұрғынбаев, Н. (2017). Python бағдарламалау тілін оқыту әдістері. Алматы: ҚазҰУ.
-
Сәрсенов, Н. (2021). Python тілін мектепте оқыту әдістемесі. Шымкент: Қайнар.
-
Әлімқұлова, Б. (2020). Жаңартылған білім мазмұны негізінде бағдарламалау тілдерін оқытудың тиімді әдіс-тәсілдері. Астана: Республикалық баспа.
-
Каримова, Л. (2019). Python бағдарламасының негіздері және бағдарламалау шеберлігін дамыту. Алматы: Жазушы.
-
Әуезова, С. (2021). Информатика пәнін оқытудың заманауи әдістемелері. Астана: Мектеп.
-
Байматова, М. (2020). Жаңартылған білім мазмұны негізінде ақпараттық технологияларды оқыту әдіснамасы. Алматы: Санат.
-
Қаженова, Г. (2018). Python тілінің білім беру саласындағы қолданылуы. Алматы: Экономика.
-
Абдуллина, Л. (2021). Информатика пәнінде Python тілін қолдану: тәжірибе мен тиімділік. Астана: Әдістемелік орталық.
-
Сүлейменова, З. (2019). Python бағдарламалау тілі арқылы шығармашылық қабілеттерді дамыту. Алматы: Білім.
-
Махмудова, Д. (2020). Оқушыларға Python тілін оқытуда қолданылатын интерактивті әдістер. Алматы: Атамұра.
-
Қалиев, Т. (2021). Python тілін оқытудағы заманауи әдіс-тәсілдер мен құралдар. Алматы: Ғылым.
-
Ғалиева, Н. (2018). Python бағдарламалау тілін мектепте оқыту: әдістемелік нұсқаулар. Астана: Сана.
-
Ермекова, Ш. (2020). Жаңартылған білім мазмұны аясында Python тілімен таныстыру әдістері. Алматы: Қайнар.
-
Бекбаева, Г. (2019). Информатика пәнінде Python тілін қолданудың тиімді әдістері. Алматы: Педагогика.
-
Момынбекова, М. (2020). Python тілін оқытуда оқушылардың танымдық қабілеттерін дамыту. Шымкент: Мектеп.
-
Досмұхамедова, Н. (2021). Python бағдарламалау тілі мен оның білім беру саласындағы рөлі. Алматы: Технология.
-
Құдайбергенова, Л. (2019). Python бағдарламалау тілін оқыту әдістемесі және оның тиімділігі. Астана: Арман.
шағым қалдыра аласыз





















































