___________________________________________
(білім беру ұйымының атауы)
Қысқа мерзімді (сабақ) жоспары
Күрделі шарттарды программалау
|
Бөлім: |
Python (пайтон) тілінде алгоритмдерді программалау |
|
|
Педагогтің тегі, аты, әкесінің аты (болған жағдайда) |
|
|
|
Күні: |
|
|
|
Сынып: 7 |
Қатысушылар саны: |
Қатыспағандар саны: |
|
Сабақтың тақырыбы |
Күрделі шарттарды программалау |
|
|
Оқу бағдарламасына сәйкес оқыту мақсаттары |
7.3.3.3 Python (пайтон) программалау тіліндегі күрделі шарттарды қолдану; |
|
|
Сабақтың мақсаты |
Күрделі шарттардың операторлары біледі, Python-да күрделі шарттарды жасау жолдарын біледі |
|
Сабақтың барысы
|
Сабақтың кезеңі |
Педагогтің әрекеті |
Оқушының әрекеті |
Бағалау |
Ресурстар |
|
Сабақтың басы |
Ұйымдастырушылық кезең: 1. Оқушыларды қарсы алу және белгілеу. 2. Психологиялық тұрғыдан қолайлы атмосфера құру үшін "Өрмекші торы" әдісі қолданылады. Оқушылар жақсы тілектерін білдіріп, бір-біріне жіп лақтырады. Көңіл-күйлерін көтереді. 3. Үй тапсырмасын тексеру |
Мұғаліммен сәлемдесу. Оқушылар бір-біріне жақсы тілектерін айтады |
Мұғалім ауызша бағалауды қолданады: Керемет! Жарайсың! Жақсы! Талпын! |
Презентация |
|
Сабақтың ортасы |
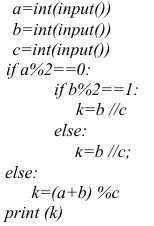
Өткен тақырыпты қайталау. "Миға шабуыл" әдісі бойынша оқушыларға сұрақтар қойылады. Оқушылар жауаптарын айтады. Сұрақтар: * Python бағдарламалау тілінде кірістірілген шарттарды қалай жасауға болады? * Күнделікті өмірден қарапайым және күрделі жағдайлардың қандай мысалдарын келтіруге болады? Фигуралардың көмегімен оқушыларды 3 топқа бөлу. I-үшбұрыштар тобы. II-шеңберлер тобы. III-төртбұрыштар тобы. Мұғалім топтық жұмысты ұйымдастырады. І топ: кірістірілген шарттарды тексеру опциялары арасындағы айырмашылықтарды салыстырыңдар. ІІ топ: 4-суретте көрсетілген бағдарламалық кодта кірістірілген шарттарды жазудың қандай нұсқасы қолданылады?
ІІІ топ: бағдарламаның кодын талдаңыз және егер А=8; b=5; c=3 болса, экранға қандай нәтиже шығатынын анықтаңыз. Білімді бекіту:
Сергіту сәті
|
Сұрақтарға жауап береді Топтарға бөлінеді, Тапсырмаларды орындайды Жұмыс парағы бойынша тапсырмаларды орындайды: - анықтаманы жазады; - логикалық операцияларды жазады - ақиқат/жалған тұжырымдарды анықтайды - интерактивті тапсырманы орындайды Көз жаттығуларын орындайды - программа кодын жазып, нәтижесін тексереді; - программа кодын толықтырады, нәтижесін тексереді; - программа кодын жазады, нәтижесін тексереді; |
«Мақтау» Оқушылардың белсенділігіне қарай ауызша бағалау: «Жарайсың!», «Жақсы!», «Талпын!» ФБ |
Презентация, Оқулық, жұмыс дәптерлерікомпьютер Жұмыс парағы: https://wordwall.net/ru/resource/68346122 |
|
Сабақтың соңы |
Үй тапсырмасы: Үшбұрыштың үш қабырғасы берілген. Үшбұрыштың енгізілген қабырғалардың мәні бойынша тең бүйірлі үшбұрыш екенін анықтайтын бағдарлама жасау Рефлексия.
|
Үй тапсырмасын жазады Оқушылар өз жұмыстарын бағалайды |
Өзін-өзі бағалау |
|
жүктеу мүмкіндігіне ие боласыз
Бұл материал сайт қолданушысы жариялаған. Материалдың ішінде жазылған барлық ақпаратқа жауапкершілікті жариялаған қолданушы жауап береді. Ұстаз тілегі тек ақпаратты таратуға қолдау көрсетеді. Егер материал сіздің авторлық құқығыңызды бұзған болса немесе басқа да себептермен сайттан өшіру керек деп ойласаңыз осында жазыңыз
Күрделі шарттарды программалау ҚМЖ информатика
___________________________________________
(білім беру ұйымының атауы)
Қысқа мерзімді (сабақ) жоспары
Күрделі шарттарды программалау
|
Бөлім: |
Python (пайтон) тілінде алгоритмдерді программалау |
|
|
Педагогтің тегі, аты, әкесінің аты (болған жағдайда) |
|
|
|
Күні: |
|
|
|
Сынып: 7 |
Қатысушылар саны: |
Қатыспағандар саны: |
|
Сабақтың тақырыбы |
Күрделі шарттарды программалау |
|
|
Оқу бағдарламасына сәйкес оқыту мақсаттары |
7.3.3.3 Python (пайтон) программалау тіліндегі күрделі шарттарды қолдану; |
|
|
Сабақтың мақсаты |
Күрделі шарттардың операторлары біледі, Python-да күрделі шарттарды жасау жолдарын біледі |
|
Сабақтың барысы
|
Сабақтың кезеңі |
Педагогтің әрекеті |
Оқушының әрекеті |
Бағалау |
Ресурстар |
|
Сабақтың басы |
Ұйымдастырушылық кезең: 1. Оқушыларды қарсы алу және белгілеу. 2. Психологиялық тұрғыдан қолайлы атмосфера құру үшін "Өрмекші торы" әдісі қолданылады. Оқушылар жақсы тілектерін білдіріп, бір-біріне жіп лақтырады. Көңіл-күйлерін көтереді. 3. Үй тапсырмасын тексеру |
Мұғаліммен сәлемдесу. Оқушылар бір-біріне жақсы тілектерін айтады |
Мұғалім ауызша бағалауды қолданады: Керемет! Жарайсың! Жақсы! Талпын! |
Презентация |
|
Сабақтың ортасы |
Өткен тақырыпты қайталау. "Миға шабуыл" әдісі бойынша оқушыларға сұрақтар қойылады. Оқушылар жауаптарын айтады. Сұрақтар: * Python бағдарламалау тілінде кірістірілген шарттарды қалай жасауға болады? * Күнделікті өмірден қарапайым және күрделі жағдайлардың қандай мысалдарын келтіруге болады? Фигуралардың көмегімен оқушыларды 3 топқа бөлу. I-үшбұрыштар тобы. II-шеңберлер тобы. III-төртбұрыштар тобы. Мұғалім топтық жұмысты ұйымдастырады. І топ: кірістірілген шарттарды тексеру опциялары арасындағы айырмашылықтарды салыстырыңдар. ІІ топ: 4-суретте көрсетілген бағдарламалық кодта кірістірілген шарттарды жазудың қандай нұсқасы қолданылады?
ІІІ топ: бағдарламаның кодын талдаңыз және егер А=8; b=5; c=3 болса, экранға қандай нәтиже шығатынын анықтаңыз. Білімді бекіту:
Сергіту сәті
|
Сұрақтарға жауап береді Топтарға бөлінеді, Тапсырмаларды орындайды Жұмыс парағы бойынша тапсырмаларды орындайды: - анықтаманы жазады; - логикалық операцияларды жазады - ақиқат/жалған тұжырымдарды анықтайды - интерактивті тапсырманы орындайды Көз жаттығуларын орындайды - программа кодын жазып, нәтижесін тексереді; - программа кодын толықтырады, нәтижесін тексереді; - программа кодын жазады, нәтижесін тексереді; |
«Мақтау» Оқушылардың белсенділігіне қарай ауызша бағалау: «Жарайсың!», «Жақсы!», «Талпын!» ФБ |
Презентация, Оқулық, жұмыс дәптерлерікомпьютер Жұмыс парағы: https://wordwall.net/ru/resource/68346122 |
|
Сабақтың соңы |
Үй тапсырмасы: Үшбұрыштың үш қабырғасы берілген. Үшбұрыштың енгізілген қабырғалардың мәні бойынша тең бүйірлі үшбұрыш екенін анықтайтын бағдарлама жасау Рефлексия.
|
Үй тапсырмасын жазады Оқушылар өз жұмыстарын бағалайды |
Өзін-өзі бағалау |
|
шағым қалдыра аласыз







