Қысқа мерзімді (сабақ)
жоспары
(Алгебра
)
|
Бөлім: |
Қысқаша көбейту формулалары |
|
|
Педагогтің Т.А.Ә. : |
|
|
|
Күні: |
03.02.2025ж |
|
|
Сынып:7 «Ә» |
Қатысушылар саны: |
Қатыспағандар саны: |
|
Сабақтың тақырыбы: |
Қысқаша көбейту формулалары |
|
|
Оқу бағдарламасына сәйкес оқыту мақсаттары: |
7.2.1.11
қысқаша көбейту формулаларын білу және қолдану; |
|
|
Сабақтың мақсаты: |
Оқушылар қысқаша көбейту формулаларын біліп және есептеуде қолдана алады. |
|
|
Құндылықтар: |
Қай жерде болсада уақытты үнемді пайдалану. |
|
Сабақтың барысы
|
Сабақтыңкезеңі/ уақыт |
Педагогтің әрекеті |
Оқушының әрекеті |
Бағалау |
Ресурстар |
||
|
Сабақтың басы 5мин Жаңа сабақ 10 мин Топтық жұмыс Оқулық пен жұмыс 10 мин Сергіту сәті 3 минут Жұптық жұмыс 7 минут ҚБ 5 минут Бекіту тапсырма 3 минут |
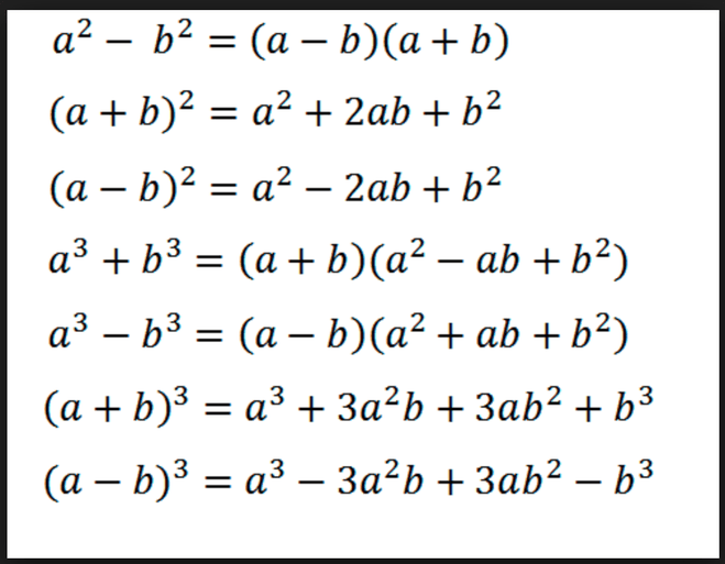
Ұйымдастыру кезеңі: 1.Оқушылармен амандасу, түгендеу. 2.Ынтымақтастық атмосферасын қалыптастыру 3.Мұғалім оқушыларды түгендейді. Үй жұмысын тексереді Үй жұмысы қысқаша көбейту формулаларын және санның квадраты мен кубын жаттау. Мұғалім жаңа сабақтың тақырыбы мен мақсатын таныстырады. Жаңа сабақ тақырыбы: Екі өрнектің кубтарының қосындысы мен айырмасы a³ + b³ = (a + b)(a² – ab + b²) қысқаша көбейту формулаcы Екі өрнектің кубтарының қосындысы осы екі өрнектің қосындысын олардың айырмасының толымсыз квадратына көбейткенге тең:
1-мысал. x3 + 8 көбейткіштерге жіктеп жазайық. Формуланың көмегімен x3 + 8 = x3 + 23 = (x + 2)(x2 – 2x + 22) = (x + 2)(x2 – 2x + 4) жіктелуін аламыз. Екі өрнектің кубтарының айырмасы осы екі өрнектің айырмасын олардың қосындысының толымсыз квадратына көбейткенге тең:
(a2 + ab + b2) өрнегі қосындының толымсыз квадраты деп аталады, оның (a2 + 2ab + b2) қосындының толық квадратынан айырмашылығы 2 коэффициентінде. Қосындының кубы:
Бұл формулалар екі өрнектің қосындысы мен айырымының кубын есептеу үшін қолданылады. Екі өрнектің кубын ашқанда ортақ мүшелермен жұмыс істеп, нақты нәтижеге қол жеткізуге болады.
Топтық жұмыс
Оқушылар формуланы естеріне түсіргеннен кейін оқулықтан есеп шығарады №33.1-34.1
Сергіту сәтіне барлық оқушы қатыса алады Тақтаға кезекпен шығып уақытқа формула жазып жарысады
Саралау тәсілі бойынша кезекті тапсырма жұптық жұмыс
Қалыптастырушы бағалауда оқушыларға сабақтың мақсатына сәйкес тест тапсырмалары беріледі
Оқушылардың сабақты түсінгені немесе түсінбегенін иа жоқ әдісі арқылы анықтайды
|
1.Оқушылар мұғаліммен амандасады. 2. Сабаққа дайындалады 3. Оқу құралдарын дайындайды
Оқушылар тақырыппен және сабақтың мақсатымен танысады.
Әр топқа қағаз таратылып беріледі ішінде формулалар қиылған, оқушылар белгілі уақыт ішінде құрастырып шығады.
Әр топтан бір оқушы тақтаға шығып есепті шығарады
2 оқушыдан бірігіп берілген тапсырманы орындайды
Оқушылар тест тапсырмасын орындайды. |
Оқушылар дың белсенділігі үшін «Жарайсың», «Керемет!» деген сақтау сөздерімен бағалайды. Оқушылардың белсенділігі үшін «Жарайсың», «Керемет!» деген сақтау сөздерімен бағалайды
Оқушылардың ынтасына байланысты балл қойылады
Дескриптор №33.1 Көпмүше түрінде жаза алады. №34.1 Көбейткіштерге жіктей алады
Дескриптор берілген формула бойынша есептер беріледі оқушылар есептерді шығара алады
Оқушылар дың белсенділігі үшін «Жарайсың», «Керемет!» деген сақтау сөздерімен бағалайды
|
https://www.educaplay.com/resource-editor/22159528/
Кітап, дәптер, қалам Интерактивті тақта Презентация Гамма ап Жұмыс парағы Оқулық тақта кітап қалам Презентация 7-сынып оқулығы. Әбілқасымов А.Е., Кучер Т.П., Тақта
Жұмыс парағы Дәптер қалам
|
||
|
Сабақ тың соңы Рефлек сия 2мин |
Бүгінгі сабақта: Қысқаша көбейту формулалары тақырыбын қарастырдық Рефлексия: «білім класс » әдісі арқылы оқушы өз өзін бағалайды Мен.............. өте жақсы түсіндім Мен.............. жақсы түсіндім Менің.................. сұрақтарым бар |
Үй тапсырмасын алады Кері байланыс береді |
Жинаған баллдары бойынша дескриптор бойынша бағалау |
7-сынып оқулығы. 1-бөлім. Әбілқасымов А.Е., Кучер Т.П., Жұмағұлова З.Ә., 2018ж «Мектеп» баспасы Өзін-өзі бағалау парағы |
жүктеу мүмкіндігіне ие боласыз
Бұл материал сайт қолданушысы жариялаған. Материалдың ішінде жазылған барлық ақпаратқа жауапкершілікті жариялаған қолданушы жауап береді. Ұстаз тілегі тек ақпаратты таратуға қолдау көрсетеді. Егер материал сіздің авторлық құқығыңызды бұзған болса немесе басқа да себептермен сайттан өшіру керек деп ойласаңыз осында жазыңыз
Математика
Математика
Қысқа мерзімді (сабақ)
жоспары
(Алгебра
)
|
Бөлім: |
Қысқаша көбейту формулалары |
|
|
Педагогтің Т.А.Ә. : |
|
|
|
Күні: |
03.02.2025ж |
|
|
Сынып:7 «Ә» |
Қатысушылар саны: |
Қатыспағандар саны: |
|
Сабақтың тақырыбы: |
Қысқаша көбейту формулалары |
|
|
Оқу бағдарламасына сәйкес оқыту мақсаттары: |
7.2.1.11
қысқаша көбейту формулаларын білу және қолдану; |
|
|
Сабақтың мақсаты: |
Оқушылар қысқаша көбейту формулаларын біліп және есептеуде қолдана алады. |
|
|
Құндылықтар: |
Қай жерде болсада уақытты үнемді пайдалану. |
|
Сабақтың барысы
|
Сабақтыңкезеңі/ уақыт |
Педагогтің әрекеті |
Оқушының әрекеті |
Бағалау |
Ресурстар |
||
|
Сабақтың басы 5мин Жаңа сабақ 10 мин Топтық жұмыс Оқулық пен жұмыс 10 мин Сергіту сәті 3 минут Жұптық жұмыс 7 минут ҚБ 5 минут Бекіту тапсырма 3 минут |
Ұйымдастыру кезеңі: 1.Оқушылармен амандасу, түгендеу. 2.Ынтымақтастық атмосферасын қалыптастыру 3.Мұғалім оқушыларды түгендейді. Үй жұмысын тексереді Үй жұмысы қысқаша көбейту формулаларын және санның квадраты мен кубын жаттау. Мұғалім жаңа сабақтың тақырыбы мен мақсатын таныстырады. Жаңа сабақ тақырыбы: Екі өрнектің кубтарының қосындысы мен айырмасы a³ + b³ = (a + b)(a² – ab + b²) қысқаша көбейту формулаcы Екі өрнектің кубтарының қосындысы осы екі өрнектің қосындысын олардың айырмасының толымсыз квадратына көбейткенге тең:
1-мысал. x3 + 8 көбейткіштерге жіктеп жазайық. Формуланың көмегімен x3 + 8 = x3 + 23 = (x + 2)(x2 – 2x + 22) = (x + 2)(x2 – 2x + 4) жіктелуін аламыз. Екі өрнектің кубтарының айырмасы осы екі өрнектің айырмасын олардың қосындысының толымсыз квадратына көбейткенге тең:
(a2 + ab + b2) өрнегі қосындының толымсыз квадраты деп аталады, оның (a2 + 2ab + b2) қосындының толық квадратынан айырмашылығы 2 коэффициентінде. Қосындының кубы:
Бұл формулалар екі өрнектің қосындысы мен айырымының кубын есептеу үшін қолданылады. Екі өрнектің кубын ашқанда ортақ мүшелермен жұмыс істеп, нақты нәтижеге қол жеткізуге болады.
Топтық жұмыс
Оқушылар формуланы естеріне түсіргеннен кейін оқулықтан есеп шығарады №33.1-34.1
Сергіту сәтіне барлық оқушы қатыса алады Тақтаға кезекпен шығып уақытқа формула жазып жарысады
Саралау тәсілі бойынша кезекті тапсырма жұптық жұмыс
Қалыптастырушы бағалауда оқушыларға сабақтың мақсатына сәйкес тест тапсырмалары беріледі
Оқушылардың сабақты түсінгені немесе түсінбегенін иа жоқ әдісі арқылы анықтайды
|
1.Оқушылар мұғаліммен амандасады. 2. Сабаққа дайындалады 3. Оқу құралдарын дайындайды
Оқушылар тақырыппен және сабақтың мақсатымен танысады.
Әр топқа қағаз таратылып беріледі ішінде формулалар қиылған, оқушылар белгілі уақыт ішінде құрастырып шығады.
Әр топтан бір оқушы тақтаға шығып есепті шығарады
2 оқушыдан бірігіп берілген тапсырманы орындайды
Оқушылар тест тапсырмасын орындайды. |
Оқушылар дың белсенділігі үшін «Жарайсың», «Керемет!» деген сақтау сөздерімен бағалайды. Оқушылардың белсенділігі үшін «Жарайсың», «Керемет!» деген сақтау сөздерімен бағалайды
Оқушылардың ынтасына байланысты балл қойылады
Дескриптор №33.1 Көпмүше түрінде жаза алады. №34.1 Көбейткіштерге жіктей алады
Дескриптор берілген формула бойынша есептер беріледі оқушылар есептерді шығара алады
Оқушылар дың белсенділігі үшін «Жарайсың», «Керемет!» деген сақтау сөздерімен бағалайды
|
https://www.educaplay.com/resource-editor/22159528/
Кітап, дәптер, қалам Интерактивті тақта Презентация Гамма ап Жұмыс парағы Оқулық тақта кітап қалам Презентация 7-сынып оқулығы. Әбілқасымов А.Е., Кучер Т.П., Тақта
Жұмыс парағы Дәптер қалам
|
||
|
Сабақ тың соңы Рефлек сия 2мин |
Бүгінгі сабақта: Қысқаша көбейту формулалары тақырыбын қарастырдық Рефлексия: «білім класс » әдісі арқылы оқушы өз өзін бағалайды Мен.............. өте жақсы түсіндім Мен.............. жақсы түсіндім Менің.................. сұрақтарым бар |
Үй тапсырмасын алады Кері байланыс береді |
Жинаған баллдары бойынша дескриптор бойынша бағалау |
7-сынып оқулығы. 1-бөлім. Әбілқасымов А.Е., Кучер Т.П., Жұмағұлова З.Ә., 2018ж «Мектеп» баспасы Өзін-өзі бағалау парағы |
шағым қалдыра аласыз
















