Қысқа мерзімді жоспар
|
Білім беру ұйымының атауы |
« М.Исламқұлов атындағы жалы білім беретін мектеп » КММ |
|||||
|
Пәні: |
Математика |
|||||
|
Бөлім:Бөлімше |
ГЕОМЕТРИЯЛЫҚ ФИГУРАЛАР. ПЕРИМЕТР |
|||||
|
Педагогтің аты-жөні: |
Аскарова Салтанат |
|||||
|
Күні: |
29.04.25ж |
|||||
|
Сынып: 2 « А » |
Қатысқан оқушылар саны: |
Қатыспаған оқушылар саны: |
||||
|
Сабақтың тақырыбы: |
121 - сабақ Көпбұрыштардың, қоршаған ортадағы заттар бетінің қабырғаларын өлшеу |
|||||
|
Оқу бағдарламасына сәйкес оқыту мақсаты: |
2.3.1.3. Көпбұрыштардың, қоршаған ортадағы заттар қабырғаларының ұзындығын өлшеу,периметрді табуға арналған формулаларды:Р =(а +b)• 2,Р =а •4,Р = а +b +с қорытындылау,құру және қолдану |
|||||
|
Сабақтың мақсаты/Бағалау критерийі |
- көпбұрыштардың және қоршаған ортадағы заттар бетінің қабырғаларын өлшеуді,олардың периметрін табады. |
|||||
|
Құндылықтар |
Сабақ құндылығы:ЕҢБЕКҚОРЛЫҚ ЖӘНЕ КӘСІБИ БІЛІКТІЛІК |
|||||
|
Ойлау дағдыларының деңгейі |
Білу,түсіну,қолдау |
|||||
|
Сабақтың барысы |
||||||
|
Сабақтың кезеңі/ уақыты |
Педагогтің әрекеті |
Оқушының әрекеті |
Бағалау |
Ресурстар |
||
|
Сабақтың басы 2 минут Өткенді пысықтау 3 минут Тақырыпты ашу 5 минут
Сабақтың ортасы 5 минут 3 минут 5 минут 3 минут Сергіту сәті 2 минут 3 минут 5 минут Сабақты бекіту 5 минут Кері байланыс 2 минут |
І Ұйымдастыру кезеңі 1.Сәлемдесу. 2.Оқушыларды түгендеу. Ширату жатығуын жасау. Математика – қызық пән, Бәріміз оны білеміз. Қызықты есеп шығарып, Тез жауабын береміз. Үйге: 7-тапсырма.113-бетте. Торкөз қағаздан төмендегідей фигураларды қиып ал.
Осы фигуралардан кеменің және үйдің бейнесіне ұқсайтын композициялар құрастыр. Сабаққа кіріспе.Қызығушылықты ояту (кіріспе бөлік) Сұрақтар қою: Балалар, біз күнде қандай заттарды көреміз? (Мысалы: кітап, үстел, терезе, тақта) Осы заттардың пішіндері қандай болады? Олардың шеттерін немесе қабырғаларын қалай сипаттай аламыз? 2. Тақырыпты ашу (түсіндіру) Көпбұрыш дегеніміз — қабырғалары түзу сызықтардан құралған тұйық фигура. Қоршаған ортада көпбұрышқа ұқсайтын заттар өте көп (мысалы, дәптердің беті — төртбұрыш, терезе — төртбұрыш, кейбір үстел беттері үшбұрыш немесе тік төртбұрыш болуы мүмкін). Жаңа сабақтың тақырыбымен мақсатын хабарлау. Көпбұрыштардың, қоршаған ортадағы заттар бетінің қабырғаларын өлшеу - көпбұрыштардың және қоршаған ортадағы заттар бетінің қабырғаларын өлшеуді,олардың периметрін табуды үйренеді. Оқулықпен жұмыс.Жаңа тақырып.ҰЖ. 1-тапсырма.Практикалық жұмыс.Үшбұрыштардың қабырғаларын өлше. Олардың барлық қабырғалары- ның ұзындықтарының қосындысын жаз. Қосындылардың мәнін есепте. 1 үшбұрыштың әр қабырғасы 1 см –ден 1см+1см+1см=3см 2 үшбұрыштың әр қабырғасы 2 см –ден 2см+2см+2см=6см 3 үшбұрыштың әр қабырғасы 5,4,3 см –ден 5см+4см+3см=12см
2-тапсырма. Топтық жұмыс.Практикалық жұмыс. Төртбұрыштардың қабырғаларын өлше. Олардың барлық қабырғаларының ұзындықтарының қосындысын жаз.Қосындылардың мәнін есепте.
3-тапсырма.Топтық жұмыс.Практикалық жұмыс. Партаға «Математика» оқулығын қой.Парталасың- мен бірге оқулық мұқабасының ұзындығын сантиме- трмен өлше.Мұқаба бетінің барлық қабырғаларының қосындысын жаз және оның мәнін тап. Есте сақта! Кез келген көпбұрыштың периметрі осы көпбұрыштың барлық кабырғалары ұзындықтарының қосындысы. Математикада периметр латынның «P (пэ)» әрпімен белгіленеді. 4-тапсырма. Жұптық жұмыс «Біліміңді қолдан» әдісі.
5-тапсырма. Практикалық жұмыс. Торкөз қағаздан суреттегідей фигураларды қиып ал. Осы фигуралардан төртбұрыш және бесбұрыш құрастыр.
ЕБҚ.6-тапсырма.Теңдеуді шеш 6 : x = 3 a - 27 = 60 - 14. х=6:3 а-27=46 х=2 а=46+27 6:2=3 а=73 3=3 73-27=60-14 46=46 ЕҚБ.7-тапсырма. Сызбалар бойынша амалдарды орында.
Қорытындылау.Қосымша тапсырмаларды орында. 1.Тіктөртбұрыштың қабырғасын өлше. Қабырғаларының қосындысын тап. 2.Қабырғаларының ұзындығы 3 см үшбұрыш сызып,қабырғаларының қосындысын тап. 3.Есепте Үйге: 8-тапсырма.115-бетте. Бөлме ішінен оқушы сызғышымен өлшеуге болатын-дай тіктөртбұрыш пішінді затты таңдап ал. Осы заттың барлық қабырғаларының ұзындығын өлше және оларды қос. «Алма ағ ашы» әдісі арқылы кері байланыс. 1.Бүгінгі сабақтан не білдің? 2.Қай тапсырма қиындық тудырды? 3.Не қызықты болды |
Оқушылар мұғаліммен бірге өлеңді қайталайды.
Оқушылар көпбұрыштардың, қоршаған ортадағы заттар бетінің қабырғаларын өлшеуді үйренеді. Тіктөртбұрыштың ұзындығы 3 см ені-2см 2см+3см+2см+3см=10см Шаршының қабырғалары тең 1см+1см+1см+1см=4см 3-ші төртбұрыштың қабырғалары 2см+4см+4см+2см=12см
2*5=10 18:3=6 4*5=20 21:3=7 5*5=25 27:3=9
Сергіту сәтін жасайды.
Оқушылар жеке тапсырманы орындайды 76 – 46 =35 35:5=7 7*4=28 18:3=6 6*4=24 24 - 12=12 Үй тапсырмасын орындайды
|
Ауызша мадақтау жүреді Дескриптор - торкөз қағаздан төмендегідей фигураларды қиып алады. -фигуралардан кеменің және үйдің бейнесіне ұқсайтын композициялар құрастырады. «Бәйге» әдісі арқылы өзін-өзі бағалау.10 балл
Дескриптор - үшбұрыштардың қабырғаларын өлшейді. -барлық қабырғалары- ның ұзындықтарының қосындысын жазады. -қосындылардың мәнін есептейді. Дескриптор - үшбұрыштардың қабырғаларын өлшейді. -барлық қабырғалары- ның ұзындықтарының қосындысын жазады. -қосындылардың мәнін есептейді. «Бәйге» әдісі арқылы өзін-өзі бағалау. 2 - балл Дескриптор - мұқаба бетінің барлық қабырғалары- ның қосындысын жазады және оның мәнін табады. «Бәйге» әдісі арқылы өзін-өзі бағалау. 2 - балл Дескриптор - 5 есе арттырады және 3 есе кемітеді. «Бәйге» әдісі арқылы өзін-өзі бағалау. 1 - балл Дескриптор - фигуралардан төртбұрыш және бесбұрыш құрастырады. «Бәйге» әдісі арқылы өзін-өзі бағалау. 1 - балл Дескриптор - теңдеуді шешеді. - сызбалар бойынша амалдарды орындайды. «Бәйге» әдісі арқылы өзін-өзі бағалау. 2 - балл Дескриптор - тіктөртбұрыштың қабырғасын өлшейді. -қабырғаларының қосындысын табады. -қабырғаларының ұзындығы 3 см үшбұрыш сызып,қабырғаларының қосындысын табады. – есептейді «Бәйге» әдісі арқылы өзін-өзі бағалау. 2 - балл |
Оқулық
|
||
Тексерілді______ С. Утеулиева
Оқушының аты-жөні:____________________________________
121-саб1. Тіктөртбұрыштың қабырғасын өлше. Қабырғаларының қосындысын тап.


2.Қабырғаларының ұзындығы 3 см үшбұрыш сызып,қабырғаларының қосындысын тап.
3.Есепте
|
2 есе кеміт |
|||
|
8 |
18 |
10 |
20 |
|
|
|
|
|
|
5 есе арттыр |
|||
|
3 |
2 |
5 |
7 |
|
|
|
|
|
Оқушының аты-жөні:____________________________________
121-саб.1. Тіктөртбұрыштың қабырғасын өлше.Қабырғаларының қосындысын тап.


2.Қабырғаларының ұзындығы 3 см үшбұрыш сызып, қабырғаларының қосындысын тап.
3.Есепте
|
2 есе кеміт |
|||
|
8 |
18 |
10 |
20 |
|
|
|
|
|
|
5 есе арттыр |
|||
|
3 |
2 |
5 |
7 |
|
|
|
|
|
Қысқа мерзімді жоспар
|
Білім беру ұйымының атауы |
« М.Исламқұлов атындағы жалы білім беретін мектеп » КММ |
|||||
|
Пәні: |
Математика |
|||||
|
Бөлім:Бөлімше |
ГЕОМЕТРИЯЛЫҚ ФИГУРАЛАР. ПЕРИМЕТР |
|||||
|
Педагогтің аты-жөні: |
Аскарова Салтанат |
|||||
|
Күні: |
30.04.25ж |
|||||
|
Сынып: 2 « А » |
Қатысқан оқушылар саны: |
Қатыспаған оқушылар саны: |
||||
|
Сабақтың тақырыбы: |
122 - сабақ Тіктөртбұрыштың, шаршының,үшбұрыштың периметрін табу формуласы |
|||||
|
Оқу бағдарламасына сәйкес оқыту мақсаты: |
2.3.1.3. Көпбұрыштардың, қоршаған ортадағы заттар қабырғаларының ұзындығын өлшеу,периметрді табуға арналған формулаларды:Р =(а +b)• 2,Р =а •4,Р = а +b +с қорытындылау,құру және қолдану |
|||||
|
Сабақтың мақсаты/Бағалау критерийі |
- тіктөртбұрыштың,шаршының,үшбұрыштың периметрін табады формуласымен танысады ,қолданады. |
|||||
|
Құндылықтар |
Сабақ құндылығы:ЕҢБЕКҚОРЛЫҚ ЖӘНЕ КӘСІБИ БІЛІКТІЛІК |
|||||
|
Ойлау дағдыларының деңгейі |
Білу,түсіну,қолдау |
|||||
|
Сабақтың барысы |
||||||
|
Сабақтың кезеңі/ уақыты |
Педагогтің әрекеті |
Оқушының әрекеті |
Бағалау |
Ресурстар |
||
|
Сабақтың басы 2 минут Өткенді пысықтау 3 минут Тақырыпты ашу 5 минут
Сабақтың ортасы 5 минут 3 минут 5 минут 5 минут Сергіту сәті 2 минут 3 минут 5 минут Сабақты бекіту 5 минут Кері байланыс 2 минут |
І Ұйымдастыру кезеңі 1.Сәлемдесу. 2.Оқушыларды түгендеу. Ширату жатығуын жасау. Біз қандай баламыз? Жабырқауды білмейміз, Жалқаулықты сүймейміз Біз талапты жасұлан Үлгі аламыз жақсыдан. Үйге: 8-тапсырма.115-бетте. Бөлме ішінен оқушы сызғышымен өлшеуге болатын-дай тіктөртбұрыш пішінді затты таңдап ал. Осы заттың барлық қабырғаларының ұзындығын өлше және оларды қос.
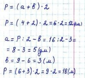
Сабаққа кіріспе. Қызығушылықты ояту: Оқушыларға бір сурет көрсетіңіз (үй, қоршау, дастархан сияқты), содан кейін сұрақ қойыңыз: "Егер біз осы қоршаудың ұзындығын өлшегіміз келсе, не істеуіміз керек?" (Болжамдарын тыңдау: айнала өлшейміз, бәрін қосамыз деген сияқты жауаптарды күтіңіз.) Түсіндіру: "Бір фигураның барлық қабырғаларының ұзындықтарын қосқанда алынатын сан – ол периметр деп аталады." Мысал арқылы таныстыру: Тақтаға қарапайым тіктөртбұрыштың суретін салыңыз. Әр қабырғасына ұзындық беріңіз (мысалы, 5 см және 3 см).Сұраңыз: Жаңа сабақтың тақырыбымен мақсатын хабарлау. Тіктөртбұрыштың, шаршының,үшбұрыштың периметрін табу формуласы - тіктөртбұрыштың,шаршының,үшбұрыштың периметрін табады формуласымен танысады, қолданады. Оқулықпен жұмыс.Жаңа тақырып.ҰЖ. 1-тапсырма. Суреттегі тіктөртбұрыштың периметрін табу тәсілдерін түсіндір. 1-тәсіл: 3 + 2 + 3 + 2 = 10 (см). 2-тәсіл: 3 · 2 + 2 · 2 = 10 (см). 3-тәсіл: (3 + 2) · 2 = 5 · 2 = 10 (см). Тіктөртбұрыштың периметрі Р = 10 см. Есептеудің қай тәсілі тиімдірек болды?
2-тапсырма.Тіктөртбұрыш пен шаршының периметрлерін әртүрлі тәсілмен тап.
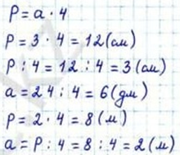
Есте сақта! Тіктөртбұрыштың периметрін табу формуласы: P = (a + b) · 2, мұндағы а тіктөртбұрыштың қабырғаларының ұзындығы, 6 - ені.Шаршының периметрін табу формуласы:P = a · 4, мұндағы а
3-тапсырма.Топтық жұмыс.Кестені толтыр.
4-тапсырма. Жұптық жұмыс «Біліміңді қолдан» әдісі. 4. а=6 см; а = 7 дм; а = 9 м деп алып, шаршының периметрін тап.
5-тапсырма. Топтық жұмыс. Суреттегі үшбұрыштың периметрін табу жолын түсіндір. Шешуі: 2 + 3 + 4 = 9 (см). Үшбұрыштың периметрі: Р = 9 см. 6-тапсырма.Топтық жұмыс.Қабырғаларының ұзындығы а, b және с-ға тең үшбұрыштың периметрін тап. Есте сақта! Үшбұрыштың периметрін табу формуласы:P = a + b + c, мұндағы a, b, c — үшбұрыш қабырғаларының ұзындығы. 7 – тапсырма.Үшбұрыштың бір қабырғасының ұзындығы5 см. Қалған екі қабырғасының әрқайсысы- ның ұзындығы одан 2 есе артық. Үшбұрыштың периметрін тап. 8-тапсырма.Әсем асүйдің, қонақ бөлменің және дәліздің ұзындықтарын өлшеді. Асүйдің ұзындығы 3 м,дәліздің ұзындығы одан 2 есе артық, ал қонақ бөлменің ұзындығы асүй мен дәліздің ұзындықтар қосқандағы ұзындыққа тең. Мына өрнектер нені білдіретінін түсіндір: 3 · 2, 3 + 3 · 2 . Қорытындылау.Шығармашылық жұмыс. 10-тапсырма. Шаршы 4 бірдей шаршыларға бөлінген.Егер үлкен шаршының қабырғасы 6 см болса,кішкентай шаршының периметрі неге тең?
Үйге: 9-тапсырма.117-бетте. a) a 5 см, ал ь 4 см деп алып, тіктөртбұрыштың периметрін тап. ә) а = 8 дм деп алып, шаршының периметрін тап.
«Алма ағ ашы» әдісі арқылы кері байланыс. 1.Бүгінгі сабақтан не білдің? 2.Қай тапсырма қиындық тудырды? 3.Не қызықты болды |
Оқушылар мұғаліммен бірге өлеңді қайталайды.
Оқушылар тіктөртбұрыштың, шаршының,үшбұрыштың периметрін табады және формуласын біледі. Тіктөртбұрыштың Р=(а+в) *2 Шаршы Р= а*4 1) 4см +2см=6см Р=(а+в) *2 =6см *2=12см 2) 4дм +3дм=7дм Р=(а+в) *2 =7дм *2=14дм а*4 1) а=6см Р=6см *4=24см 2) а=7дм Р=7дм *4=28дм 3) а=9м Р=9м *4=36м Сергіту сәтін жасайды. Оқушылар жеке тапсырманы орындайды 7-тапсырма
8-тапсырма
Үй тапсырмасын орындайды |
Ауызша мадақтау жүреді Дескриптор - дәптердің периметрін табады. «Бәйге» әдісі арқылы өзін-өзі бағалау.10 балл
Дескриптор - есептеудің тиімді тәсілін қолданады. Дескриптор - тіктөртбұрыш пен шаршының периметрлерін әртүрлі тәсілмен табады. «Бәйге» әдісі арқылы өзін-өзі бағалау. 1 - балл Дескриптор - кестені толтырып, периметрін табады. «Бәйге» әдісі арқылы өзін-өзі бағалау. 2 - балл Дескриптор - шаршының периметрін табады. «Бәйге» әдісі арқылы өзін-өзі бағалау. 2 - балл Дескриптор - Суреттегі үшбұрыштың периметрін табу жолын түсінеді.
Дескриптор - үшбұрыштың периметрін табады. «Бәйге» әдісі арқылы өзін-өзі бағалау.1балл Дескриптор - үшбұрыштың белгісіз қабырғаларын табады . Олардың перимтерін есептейді. «Бәйге» әдісі арқылы өзін-өзі бағалау.2балл Дескриптор - дәліз бен қонақ бөлменің ұзындығын табады . -өрнек түрінде жазады Жазбаны түсіндіреді Қорытынды жасайды . «Бәйге» әдісі арқылы өзін-өзі бағалау.2балл |
Оқулық
|
||
Тексерілді______ С. Утеулиева
Оқушының аты-жөні:____________________________________
122-саб.1. а =4 см; а = 3 см шаршының периметрін тап.

2. Кестені толтыр.
|
a |
b |
a+b |
P |
|
5 см |
3 см |
|
|
|
6 см |
4 см |
|
|
|
4 см |
3 см |
|
|
3. Үшбұрыштың бір қабырғасының ұзындығы 4 см қалған екі қабырғасының әрқайсысының ұзындығы одан 1 см артық .Осы үшбұрышты сал және периметрін тап.
4.Үшбұрыштың периметрін
табу формуласын жаз. 
Оқушының аты-жөні:____________________________________
122-саб.1. а =4 см; а = 3 см шаршының периметрін тап.

2. Кестені толтыр.
|
a |
b |
a+b |
P |
|
5 см |
3 см |
|
|
|
6 см |
4 см |
|
|
|
4 см |
3 см |
|
|
3. Үшбұрыштың бір қабырғасының ұзындығы 4 см қалған екі қабырғасының әрқайсысының ұзындығы одан 1 см артық .Осы үшбұрышты сал және периметрін тап.
4.Үшбұрыштың периметрін
табу формуласын жаз. 
Қысқа мерзімді жоспар
|
Білім беру ұйымының атауы |
« М.Исламқұлов атындағы жалы білім беретін мектеп » КММ |
|||||||||||||||||||||||||||||||||
|
Пәні: |
Математика |
|||||||||||||||||||||||||||||||||
|
Бөлім:Бөлімше |
ГЕОМЕТРИЯЛЫҚ ФИГУРАЛАР. ПЕРИМЕТР |
|||||||||||||||||||||||||||||||||
|
Педагогтің аты-жөні: |
Аскарова Салтанат |
|||||||||||||||||||||||||||||||||
|
Күні: |
02.05.25ж |
|||||||||||||||||||||||||||||||||
|
Сынып: 2 « А » |
Қатысқан оқушылар саны: |
Қатыспаған оқушылар саны: |
||||||||||||||||||||||||||||||||
|
Сабақтың тақырыбы: |
123 - сабақ Шамалар(ұзындығы,ені,периметрі)арасындағы тәуелділік |
|||||||||||||||||||||||||||||||||
|
Оқу бағдарламасына сәйкес оқыту мақсаты: |
2.5.1.2.** Есептерді шығару барысында ұзындығы, ені, периметр шамаларының өзара тәуелділігін пайдалану. 2.3.1.4 Фигураның белгісіз қабырғасын оның периметрі мен белгілі қабырғалары арқылы табу. |
|||||||||||||||||||||||||||||||||
|
Сабақтың мақсаты/Бағалау критерийі |
- есептерді шығару барысында ұзындығы, ені, периметр шамаларының өзара тәуелділігін пайдаланады. - фигураның белгісіз қабырғасын оның периметрі мен белгілі қабырғалары арқылы табады; |
|||||||||||||||||||||||||||||||||
|
Құндылықтар |
Сабақ құндылығы:ЕҢБЕКҚОРЛЫҚ ЖӘНЕ КӘСІБИ БІЛІКТІЛІК |
|||||||||||||||||||||||||||||||||
|
Ойлау дағдыларының деңгейі |
Білу,түсіну,қолдау |
|||||||||||||||||||||||||||||||||
|
Сабақтың барысы |
||||||||||||||||||||||||||||||||||
|
Сабақтың кезеңі/ уақыты |
Педагогтің әрекеті |
Оқушының әрекеті |
Бағалау |
Ресурстар |
||||||||||||||||||||||||||||||
|
Сабақтың басы 2 минут Өткенді пысықтау 3 минут Тақырыпты ашу 5 минут
Сабақтың ортасы 5 минут 3 минут 5 минут 5 минут Сергіту сәті 2 минут 3 минут 5 минут Сабақты бекіту 5 минут Кері байланыс 2 минут |
І Ұйымдастыру кезеңі 1.Сәлемдесу. 2.Оқушыларды түгендеу. Ширату жатығуын жасау. Біз қандай баламыз? Жабырқауды білмейміз, Жалқаулықты сүймейміз Біз талапты жасұлан Үлгі аламыз жақсыдан. Үйге: 9-тапсырма.117-бетте. а) а=5см, ал b=4 см деп алып, тіктөртбұрыштың периметрін тап. а =8 дм деп алып, шаршының периметрін тап Р=(5см+4см)*2=18см Р=8дм*4=32дм
Сабаққа кіріспе Қызығушылықты ояту Балаларға қолдарына сызғыш беріп, өздерінің партасының ұзындығы мен енін өлшетіңіз. Сұрақ қойыңыз: Егер мен партаның ұзындығы мен енін білсем, мен тағы қандай шаманы таба аламын деп ойлайсыңдар? Көрнекілік арқылы: Тақтаға тіктөртбұрыштың суретін салып, оның ұзындығы мен енін жазып қойыңыз. Содан кейін сұрақ қойыңыз: Бұл тіктөртбұрыштың шетін толық айналып өтсек, қандай шаманы өлшейміз? (Оқушылар: Периметр!) Жаңа сабақтың тақырыбымен мақсатын хабарлау. Шамалар(ұзындығы,ені,периметрі)арасындағы тәуелділік - есептерді шығару барысында ұзындығы, ені, периметр шамаларының өзара тәуелділігін пайдаланады. - фигураның белгісіз қабырғасын оның периметрі мен белгілі қабырғалары арқылы табады; Оқулықпен жұмыс.Жаңа тақырып.ҰЖ. ФС.1-тапсырма. P=(a+b)*2 формуласын қолданып,кестені толтыр. Қорытынды жаса.
2-тапсырма. P=a*4 формуласын қолданып,кестені толтыр.
3-тапсырма.Топтық жұмыс. Фигуралардың қабырғаларын өлше. Үшбұрыштардың периметрін тап. Екі фигурадан құрастырылған төртбұрыштардың периметрін тап.
4
5-тапсырма. Топтық жұмыс.Есепті шығар. Анам мен әпкем ұзындығы 4 м,ал ені одан 2 есе қысқа кілем тоқыды.Осы кілемнің периметрін тап.
6-тапсырма. ЕБҚ және ЕҚБ.Теңдеуді шеш. х/5=8 у-14=51+29 16+с=97-48 х=5*8 у-14=80 16+с=49 х=40 у=80+14 с=49-16 40/5=8 у=94 с= 33 94-14=51+29 16+33=97-48
8-тапсырма.Топтық жұмыс. «Кім жылдам?» Табиғаттағы кейбір құстардың массалары мен дене тұрқының ұзындықтарын салыстыр.
Қорытындылау.Шығармашылық жұмыс. 9-тапсырма.
Үйге: 7-тапсырма.119-бетте.Үшбұрыштың қабырғаларын өлше және периметрін тап.
«Алма ағ ашы» әдісі арқылы кері байланыс. 1.Бүгінгі сабақтан не білдің? 2.Қай тапсырма қиындық тудырды? 3.Не қызықты болды |
Оқушылар мұғаліммен бірге өлеңді қайталайды.
Оқушылар тіктөртбұрыштың, шаршының, периметрін табады.
1-тапсырма
2-тапсырма.
3-тапсырма
Сергіту сәтін жасайды.
Шарты: Ұзындығы – 4м Ені -? м 2 есе қысқа Р=?м Ш:1) 4 : 2 = 2 м ені 2) Р =(а+в)*2 Р=(4+2)*2=12м Ж: кілемнің периметрі 12 м Оқушылар жеке тапсырманы орындайды
8-тапсырма
Үй тапсырмасын орындайды
|
Ауызша мадақтау жүреді
Дескриптор - тіктөртбұрыштың, шаршының, периметрін табады. «Бәйге» әдісі арқылы өзін-өзі бағалау.10 балл
Дескриптор - кестені толтырады. -периметрін табады. «Бәйге» әдісі арқылы өзін-өзі бағалау. 1 - балл
Дескриптор - фигураның белгісіз қабырғасын табады. «Бәйге» әдісі арқылы өзін-өзі бағалау. 2 - балл
Дескриптор - фигураның периметрін табады. «Бәйге» әдісі арқылы өзін-өзі бағалау. 1 - балл
Дескриптор - фигураның периметрін табады. «Бәйге» әдісі арқылы өзін-өзі бағалау. 1 - балл
Дескриптор - кілемнің периметрін табады. «Бәйге» әдісі арқылы өзін-өзі бағалау.1балл
Дескриптор - теңдеуді шешеді. «Бәйге» әдісі арқылы өзін-өзі бағалау.2балл
Дескриптор - құстарды салыстырады. «Бәйге» әдісі арқылы өзін-өзі бағалау.1балл
Дескриптор - логикалық есеп шығарады. «Бәйге» әдісі арқылы өзін-өзі бағалау.1балл
|
Оқулық
|
||||||||||||||||||||||||||||||
Тексерілді______ С. Утеулиева
Оқушының аты-жөні:___________________________
№123-сабақ.Шамалар (ұзындығы,ені,периметрі)арасындағы тәуелділік.
1.Кестені толтыр.
|
a |
b |
a+b |
p |
|
3 см |
10 см |
|
|
|
|
2 см |
|
10 см |
|
|
|
8 м |
|
2.Теңдеуді шеш:
a:4=16 25:a=5 48:X=8

3.Аулада 12 шөжек жайылып
жүр,шежектердің аяқтары барлығы неше?

Оқушының
аты-жөні:___________________________
№123-сабақ.Шамалар (ұзындығы,ені,периметрі)арасындағы тәуелділік.
1.Кестені толтыр.
|
a |
b |
a+b |
p |
|
3 см |
10 см |
|
|
|
|
2 см |
|
10 см |
|
|
|
8 м |
|
2.Теңдеуді шеш:
a:4=16 25:a=5 48:X=8

3.Аулада 12 шөжек жайылып
жүр,шежектердің аяқтары барлығы неше?

Қысқа мерзімді жоспар
|
Білім беру ұйымының атауы |
« М.Исламқұлов атындағы жалы білім беретін мектеп » КММ |
|||||
|
Пәні: |
Математика |
|||||
|
Бөлім:Бөлімше |
ГЕОМЕТРИЯЛЫҚ ФИГУРАЛАР. ПЕРИМЕТР |
|||||
|
Педагогтің аты-жөні: |
Аскарова Салтанат |
|||||
|
Күні: |
05.05.25ж |
|||||
|
Сынып: 2 « А » |
Қатысқан оқушылар саны: |
Қатыспаған оқушылар саны: |
||||
|
Сабақтың тақырыбы: |
124 - сабақ Тіктөртбұрыштың (шаршының) қабырғалары мен периметрін табуға берілген есептер |
|||||
|
Оқу бағдарламасына сәйкес оқыту мақсаты: |
2.5.1.2.**есептерді шығару барысында ұзындығы, ені, периметр шамаларының өзара тәуелділігін пайдалану. 2.5.1.5.** тіктөртбұрыш (шаршының)ұзындығы, ені, периметрін табуға берілген есептерді талдау және шығару,кері есептерді құрастыру және шығару. |
|||||
|
Сабақтың мақсаты/Бағалау критерийі |
- есептерді шығару барысында ұзындығы, ені, периметр шамаларының өзара тәуелділігін пайдаланады7 -тіктөртбұрыш (шаршының) ұзындығы, ені, периметрін табуға берілген есептерді талдайды және шығарады, кері есептерді құрастырады және шығарады |
|||||
|
Құндылықтар |
Сабақ құндылығы:ЕҢБЕКҚОРЛЫҚ ЖӘНЕ КӘСІБИ БІЛІКТІЛІК |
|||||
|
Ойлау дағдыларының деңгейі |
Білу,түсіну,қолдау |
|||||
|
Сабақтың барысы |
||||||
|
Сабақтың кезеңі/ уақыты |
Педагогтің әрекеті |
Оқушының әрекеті |
Бағалау |
Ресурстар |
||
|
Сабақтың басы 2 минут Өткенді пысықтау 3 минут Тақырыпты ашу 5 минут
Сабақтың ортасы 5 минут 3 минут 5 минут 5 минут Сергіту сәті 2 минут 3 минут 5 минут Сабақты бекіту 5 минут Кері байланыс 2 минут |
І Ұйымдастыру кезеңі 1.Сәлемдесу. 2.Оқушыларды түгендеу. Ширату жатығуын жасау. Біз қандай баламыз? Жабырқауды білмейміз, Жалқаулықты сүймейміз Біз талапты жасұлан Үлгі аламыз жақсыдан. Үйге: 7-тапсырма.119-бетте.Үшбұрыштың қабырғаларын өлше және периметрін тап.
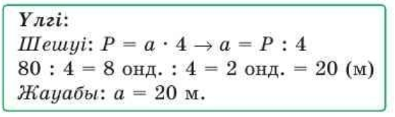
Сабаққа кіріспе.Қызығушылықты ояту. Сұрақтар арқылы: – Сендер үйдің терезесін, есігін көрдіңдер ме? Олардың пішіні қандай? – Ойыншық қорабы немесе дәптердің беті ше? Көрнекілік: Тіктөртбұрыш пен шаршының суретін көрсетіңіз немесе нақты заттарды (дәптер, тақтайша, ойыншық т.б.) пайдаланыңыз. Жаңа сабақтың тақырыбымен мақсатын хабарлау. Тіктөртбұрыштың (шаршының) қабырғалары мен периметрін табуға берілген есептер. - есептерді шығару барысында ұзындығы, ені, периметр шамаларының өзара тәуелділігін пайдаланады7 -тіктөртбұрыш (шаршының) ұзындығы, ені, периметрін табуға берілген есептерді талдайды және шығарады, кері есептерді құрастырады және шығарады Оқулықпен жұмыс.Жаңа тақырып.ҰЖ.Мұғалімнің көмегімен орындалады. 1-тапсырма.Есепті шығару үлгісіне қара. Шаршы пішінді жүгіру жолының периметрі 80м. Жүгіру жолының үзындығы неге тең.
2-тапсырма.1-тапсырмадағы есепке кері есеп құрастыр. Белгілі мен белгісізді ата. Есепті шығар.
3-тапсырма.Топтық жұмыс.Есептерді шығар. а) Тіктөртбұрыш пішінді алаңның периметрі - 60 м, ал ені - 10 м. Алаңның ұзындығы неге тең? ә) Тіктөртбұрыш пішінді жүзу бассейнінің ұзындығы 6 м, ал ені одан 2 ece кыска. Жүзу бассейнінің периметрін тап.
4-тапсырма. Жұптық жұмыс. а= 6см деп алып,үшбұрыштың периметрін тап. Шарты: а = 6 см Р = ?см Шешуі: а –1=6см-1=5см –бірінші қабарғасы а –3=6см-3=3см –екінші қабарғасы а –(а- 4)=6см –(6cм - 4)=6см-2=4см –үшінші қабарғасы Р=а+в+с Р=5+3+4=12см Жауабы:Үшбұрыштың Р=12см
ЕҚБ.5-тапсырма.Үшбұрыштың қабырғалары 2см,3см және 4 см. Дәптерге ұзындығы осы периметріне тең кесінді сыз. 6-тапсырма.Өзінжік жұмыс.Мысалдарды шығар. 36-8*2=36-16=20 18+14/2+45=7+18+45=70 (18+6)/3=24/3=8 (40-35)*4-13=5*4-13=7 4*(17-9)-24=8*4-24=8 20+6*5/6=30/6=5+20=25 ЕБҚ .7-тапсырма. 73см=7дм3cм 7м=70дм 63дм2см= 6м 3дм 2см
Қорытындылау.Шығармашылық жұмыс. 9-тапсырма. «Кім неше сөз құрастырды?» ойыны. Төмендегі өзен атаулары әріптерінен әртүрлі сөздер құрастыр. Қандай сөздер шықты? ТОРҒАЙ СЫРДАРИЯ 10-тапсырм. Тіктөртбұрыштың қабырғалары 7 см және 5 см. Осы тіктөртбұрыштан қалай шаршы шыға- руға болады?
Үйге: 8-тапсырма.121-бетте.Кестені пайдаланып,есеп құрастыр. Оны шығар.
«Алма ағ ашы» әдісі арқылы кері байланыс. 1.Бүгінгі сабақтан не білдің? 2.Қай тапсырма қиындық тудырды? 3.Не қызықты болды |
Оқушылар мұғаліммен бірге өлеңді қайталайды.
Оқушылар тіктөртбұрыштың, шаршының, периметрін табады. Сергіту сәтін жасайды. Оқушылар жеке тапсырманы орындайды Шарты: а= 2см в=3см с=4см Р=?см Ш:2+3+4=9см Ж: Үшбұрыштың Р = 9см 9-10 тапсырма Ауызша орындалады. СЫРДАРИЯ Сыр,дария,рыс, сары, ия, ТОРҒАЙ Тор,тар, тоғай, торай. Үй тапсырмасын орындайды |
Ауызша мадақтау жүреді Дескриптор - үшбұрыштың қабырғаларын өлшейді және периметрін табады. «Бәйге» әдісі арқылы өзін-өзі бағалау.10 балл
Дескриптор - шаршының периметріне қарап, қабырғасының ұзындығын табады. «Бәйге» әдісі арқылы өзін-өзі бағалау. 1 - балл Дескриптор - шаршының периметрін табады. «Бәйге» әдісі арқылы өзін-өзі бағалау. 1 - балл Дескриптор - тікбұрышты алаңның ұзындығын табады. -жүзу бассейнінің периметрін табады «Бәйге» әдісі арқылы өзін-өзі бағалау. 2 - балл Дескриптор - үшбұрыштың периметрін табады. «Бәйге» әдісі арқылы өзін-өзі бағалау. 2 - балл Дескриптор - үшбұрыштың периметрін табады. -кесінді сызады. «Бәйге» әдісі арқылы өзін-өзі бағалау.1балл Дескриптор - мысалдарды шығарады. «Бәйге» әдісі арқылы өзін-өзі бағалау.2балл Дескриптор - шамаларды орындайды «Бәйге» әдісі арқылы өзін-өзі бағалау.1балл |
Оқулық
|
||
Тексерілді______ С. Утеулиева
Оқушының аты-жөні:_______________________________
№124-сабақ.Тік төртбұрыштың (шаршының)
қабырғалары менпериметрін табуға берілген есептер.
-
Көрсетілген өлшем бірліктеріне түрлендір.
67 см = дм см
12 м = дм
89 дм 3 см = м дм см
-
Төртбұрыштың ұзындығын өлшеп периметрін тап.

3.Өзің оқитын сыныптын ені мен ұзындығын өлшеп,
периметрін
тап. 
Оқушының
аты-жөні:_______________________________
№124-сабақ.Тік төртбұрыштың (шаршының)
қабырғалары менпериметрін табуға берілген есептер.
1.Көрсетілген өлшем бірліктеріне түрлендір.
67 см = дм см
12 м = дм
-
м 3 см = м дм см
2.Төртбұрыштың ұзындығын өлшеп периметрін тап.

3.Өзің оқитын сыныптын ені мен ұзындығын өлшеп,
периметрін
тап. 
жүктеу мүмкіндігіне ие боласыз
Бұл материал сайт қолданушысы жариялаған. Материалдың ішінде жазылған барлық ақпаратқа жауапкершілікті жариялаған қолданушы жауап береді. Ұстаз тілегі тек ақпаратты таратуға қолдау көрсетеді. Егер материал сіздің авторлық құқығыңызды бұзған болса немесе басқа да себептермен сайттан өшіру керек деп ойласаңыз осында жазыңыз
Математикадан ҚМЖ жинағы 121-124 аралығы
Математикадан ҚМЖ жинағы 121-124 аралығы
Қысқа мерзімді жоспар
|
Білім беру ұйымының атауы |
« М.Исламқұлов атындағы жалы білім беретін мектеп » КММ |
|||||
|
Пәні: |
Математика |
|||||
|
Бөлім:Бөлімше |
ГЕОМЕТРИЯЛЫҚ ФИГУРАЛАР. ПЕРИМЕТР |
|||||
|
Педагогтің аты-жөні: |
Аскарова Салтанат |
|||||
|
Күні: |
29.04.25ж |
|||||
|
Сынып: 2 « А » |
Қатысқан оқушылар саны: |
Қатыспаған оқушылар саны: |
||||
|
Сабақтың тақырыбы: |
121 - сабақ Көпбұрыштардың, қоршаған ортадағы заттар бетінің қабырғаларын өлшеу |
|||||
|
Оқу бағдарламасына сәйкес оқыту мақсаты: |
2.3.1.3. Көпбұрыштардың, қоршаған ортадағы заттар қабырғаларының ұзындығын өлшеу,периметрді табуға арналған формулаларды:Р =(а +b)• 2,Р =а •4,Р = а +b +с қорытындылау,құру және қолдану |
|||||
|
Сабақтың мақсаты/Бағалау критерийі |
- көпбұрыштардың және қоршаған ортадағы заттар бетінің қабырғаларын өлшеуді,олардың периметрін табады. |
|||||
|
Құндылықтар |
Сабақ құндылығы:ЕҢБЕКҚОРЛЫҚ ЖӘНЕ КӘСІБИ БІЛІКТІЛІК |
|||||
|
Ойлау дағдыларының деңгейі |
Білу,түсіну,қолдау |
|||||
|
Сабақтың барысы |
||||||
|
Сабақтың кезеңі/ уақыты |
Педагогтің әрекеті |
Оқушының әрекеті |
Бағалау |
Ресурстар |
||
|
Сабақтың басы 2 минут Өткенді пысықтау 3 минут Тақырыпты ашу 5 минут
Сабақтың ортасы 5 минут 3 минут 5 минут 3 минут Сергіту сәті 2 минут 3 минут 5 минут Сабақты бекіту 5 минут Кері байланыс 2 минут |
І Ұйымдастыру кезеңі 1.Сәлемдесу. 2.Оқушыларды түгендеу. Ширату жатығуын жасау. Математика – қызық пән, Бәріміз оны білеміз. Қызықты есеп шығарып, Тез жауабын береміз. Үйге: 7-тапсырма.113-бетте. Торкөз қағаздан төмендегідей фигураларды қиып ал.
Осы фигуралардан кеменің және үйдің бейнесіне ұқсайтын композициялар құрастыр. Сабаққа кіріспе.Қызығушылықты ояту (кіріспе бөлік) Сұрақтар қою: Балалар, біз күнде қандай заттарды көреміз? (Мысалы: кітап, үстел, терезе, тақта) Осы заттардың пішіндері қандай болады? Олардың шеттерін немесе қабырғаларын қалай сипаттай аламыз? 2. Тақырыпты ашу (түсіндіру) Көпбұрыш дегеніміз — қабырғалары түзу сызықтардан құралған тұйық фигура. Қоршаған ортада көпбұрышқа ұқсайтын заттар өте көп (мысалы, дәптердің беті — төртбұрыш, терезе — төртбұрыш, кейбір үстел беттері үшбұрыш немесе тік төртбұрыш болуы мүмкін). Жаңа сабақтың тақырыбымен мақсатын хабарлау. Көпбұрыштардың, қоршаған ортадағы заттар бетінің қабырғаларын өлшеу - көпбұрыштардың және қоршаған ортадағы заттар бетінің қабырғаларын өлшеуді,олардың периметрін табуды үйренеді. Оқулықпен жұмыс.Жаңа тақырып.ҰЖ. 1-тапсырма.Практикалық жұмыс.Үшбұрыштардың қабырғаларын өлше. Олардың барлық қабырғалары- ның ұзындықтарының қосындысын жаз. Қосындылардың мәнін есепте. 1 үшбұрыштың әр қабырғасы 1 см –ден 1см+1см+1см=3см 2 үшбұрыштың әр қабырғасы 2 см –ден 2см+2см+2см=6см 3 үшбұрыштың әр қабырғасы 5,4,3 см –ден 5см+4см+3см=12см
2-тапсырма. Топтық жұмыс.Практикалық жұмыс. Төртбұрыштардың қабырғаларын өлше. Олардың барлық қабырғаларының ұзындықтарының қосындысын жаз.Қосындылардың мәнін есепте.
3-тапсырма.Топтық жұмыс.Практикалық жұмыс. Партаға «Математика» оқулығын қой.Парталасың- мен бірге оқулық мұқабасының ұзындығын сантиме- трмен өлше.Мұқаба бетінің барлық қабырғаларының қосындысын жаз және оның мәнін тап. Есте сақта! Кез келген көпбұрыштың периметрі осы көпбұрыштың барлық кабырғалары ұзындықтарының қосындысы. Математикада периметр латынның «P (пэ)» әрпімен белгіленеді. 4-тапсырма. Жұптық жұмыс «Біліміңді қолдан» әдісі.
5-тапсырма. Практикалық жұмыс. Торкөз қағаздан суреттегідей фигураларды қиып ал. Осы фигуралардан төртбұрыш және бесбұрыш құрастыр.
ЕБҚ.6-тапсырма.Теңдеуді шеш 6 : x = 3 a - 27 = 60 - 14. х=6:3 а-27=46 х=2 а=46+27 6:2=3 а=73 3=3 73-27=60-14 46=46 ЕҚБ.7-тапсырма. Сызбалар бойынша амалдарды орында.
Қорытындылау.Қосымша тапсырмаларды орында. 1.Тіктөртбұрыштың қабырғасын өлше. Қабырғаларының қосындысын тап. 2.Қабырғаларының ұзындығы 3 см үшбұрыш сызып,қабырғаларының қосындысын тап. 3.Есепте Үйге: 8-тапсырма.115-бетте. Бөлме ішінен оқушы сызғышымен өлшеуге болатын-дай тіктөртбұрыш пішінді затты таңдап ал. Осы заттың барлық қабырғаларының ұзындығын өлше және оларды қос. «Алма ағ ашы» әдісі арқылы кері байланыс. 1.Бүгінгі сабақтан не білдің? 2.Қай тапсырма қиындық тудырды? 3.Не қызықты болды |
Оқушылар мұғаліммен бірге өлеңді қайталайды.
Оқушылар көпбұрыштардың, қоршаған ортадағы заттар бетінің қабырғаларын өлшеуді үйренеді. Тіктөртбұрыштың ұзындығы 3 см ені-2см 2см+3см+2см+3см=10см Шаршының қабырғалары тең 1см+1см+1см+1см=4см 3-ші төртбұрыштың қабырғалары 2см+4см+4см+2см=12см
2*5=10 18:3=6 4*5=20 21:3=7 5*5=25 27:3=9
Сергіту сәтін жасайды.
Оқушылар жеке тапсырманы орындайды 76 – 46 =35 35:5=7 7*4=28 18:3=6 6*4=24 24 - 12=12 Үй тапсырмасын орындайды
|
Ауызша мадақтау жүреді Дескриптор - торкөз қағаздан төмендегідей фигураларды қиып алады. -фигуралардан кеменің және үйдің бейнесіне ұқсайтын композициялар құрастырады. «Бәйге» әдісі арқылы өзін-өзі бағалау.10 балл
Дескриптор - үшбұрыштардың қабырғаларын өлшейді. -барлық қабырғалары- ның ұзындықтарының қосындысын жазады. -қосындылардың мәнін есептейді. Дескриптор - үшбұрыштардың қабырғаларын өлшейді. -барлық қабырғалары- ның ұзындықтарының қосындысын жазады. -қосындылардың мәнін есептейді. «Бәйге» әдісі арқылы өзін-өзі бағалау. 2 - балл Дескриптор - мұқаба бетінің барлық қабырғалары- ның қосындысын жазады және оның мәнін табады. «Бәйге» әдісі арқылы өзін-өзі бағалау. 2 - балл Дескриптор - 5 есе арттырады және 3 есе кемітеді. «Бәйге» әдісі арқылы өзін-өзі бағалау. 1 - балл Дескриптор - фигуралардан төртбұрыш және бесбұрыш құрастырады. «Бәйге» әдісі арқылы өзін-өзі бағалау. 1 - балл Дескриптор - теңдеуді шешеді. - сызбалар бойынша амалдарды орындайды. «Бәйге» әдісі арқылы өзін-өзі бағалау. 2 - балл Дескриптор - тіктөртбұрыштың қабырғасын өлшейді. -қабырғаларының қосындысын табады. -қабырғаларының ұзындығы 3 см үшбұрыш сызып,қабырғаларының қосындысын табады. – есептейді «Бәйге» әдісі арқылы өзін-өзі бағалау. 2 - балл |
Оқулық
|
||
Тексерілді______ С. Утеулиева
Оқушының аты-жөні:____________________________________
121-саб1. Тіктөртбұрыштың қабырғасын өлше. Қабырғаларының қосындысын тап.


2.Қабырғаларының ұзындығы 3 см үшбұрыш сызып,қабырғаларының қосындысын тап.
3.Есепте
|
2 есе кеміт |
|||
|
8 |
18 |
10 |
20 |
|
|
|
|
|
|
5 есе арттыр |
|||
|
3 |
2 |
5 |
7 |
|
|
|
|
|
Оқушының аты-жөні:____________________________________
121-саб.1. Тіктөртбұрыштың қабырғасын өлше.Қабырғаларының қосындысын тап.


2.Қабырғаларының ұзындығы 3 см үшбұрыш сызып, қабырғаларының қосындысын тап.
3.Есепте
|
2 есе кеміт |
|||
|
8 |
18 |
10 |
20 |
|
|
|
|
|
|
5 есе арттыр |
|||
|
3 |
2 |
5 |
7 |
|
|
|
|
|
Қысқа мерзімді жоспар
|
Білім беру ұйымының атауы |
« М.Исламқұлов атындағы жалы білім беретін мектеп » КММ |
|||||
|
Пәні: |
Математика |
|||||
|
Бөлім:Бөлімше |
ГЕОМЕТРИЯЛЫҚ ФИГУРАЛАР. ПЕРИМЕТР |
|||||
|
Педагогтің аты-жөні: |
Аскарова Салтанат |
|||||
|
Күні: |
30.04.25ж |
|||||
|
Сынып: 2 « А » |
Қатысқан оқушылар саны: |
Қатыспаған оқушылар саны: |
||||
|
Сабақтың тақырыбы: |
122 - сабақ Тіктөртбұрыштың, шаршының,үшбұрыштың периметрін табу формуласы |
|||||
|
Оқу бағдарламасына сәйкес оқыту мақсаты: |
2.3.1.3. Көпбұрыштардың, қоршаған ортадағы заттар қабырғаларының ұзындығын өлшеу,периметрді табуға арналған формулаларды:Р =(а +b)• 2,Р =а •4,Р = а +b +с қорытындылау,құру және қолдану |
|||||
|
Сабақтың мақсаты/Бағалау критерийі |
- тіктөртбұрыштың,шаршының,үшбұрыштың периметрін табады формуласымен танысады ,қолданады. |
|||||
|
Құндылықтар |
Сабақ құндылығы:ЕҢБЕКҚОРЛЫҚ ЖӘНЕ КӘСІБИ БІЛІКТІЛІК |
|||||
|
Ойлау дағдыларының деңгейі |
Білу,түсіну,қолдау |
|||||
|
Сабақтың барысы |
||||||
|
Сабақтың кезеңі/ уақыты |
Педагогтің әрекеті |
Оқушының әрекеті |
Бағалау |
Ресурстар |
||
|
Сабақтың басы 2 минут Өткенді пысықтау 3 минут Тақырыпты ашу 5 минут
Сабақтың ортасы 5 минут 3 минут 5 минут 5 минут Сергіту сәті 2 минут 3 минут 5 минут Сабақты бекіту 5 минут Кері байланыс 2 минут |
І Ұйымдастыру кезеңі 1.Сәлемдесу. 2.Оқушыларды түгендеу. Ширату жатығуын жасау. Біз қандай баламыз? Жабырқауды білмейміз, Жалқаулықты сүймейміз Біз талапты жасұлан Үлгі аламыз жақсыдан. Үйге: 8-тапсырма.115-бетте. Бөлме ішінен оқушы сызғышымен өлшеуге болатын-дай тіктөртбұрыш пішінді затты таңдап ал. Осы заттың барлық қабырғаларының ұзындығын өлше және оларды қос.
Сабаққа кіріспе. Қызығушылықты ояту: Оқушыларға бір сурет көрсетіңіз (үй, қоршау, дастархан сияқты), содан кейін сұрақ қойыңыз: "Егер біз осы қоршаудың ұзындығын өлшегіміз келсе, не істеуіміз керек?" (Болжамдарын тыңдау: айнала өлшейміз, бәрін қосамыз деген сияқты жауаптарды күтіңіз.) Түсіндіру: "Бір фигураның барлық қабырғаларының ұзындықтарын қосқанда алынатын сан – ол периметр деп аталады." Мысал арқылы таныстыру: Тақтаға қарапайым тіктөртбұрыштың суретін салыңыз. Әр қабырғасына ұзындық беріңіз (мысалы, 5 см және 3 см).Сұраңыз: Жаңа сабақтың тақырыбымен мақсатын хабарлау. Тіктөртбұрыштың, шаршының,үшбұрыштың периметрін табу формуласы - тіктөртбұрыштың,шаршының,үшбұрыштың периметрін табады формуласымен танысады, қолданады. Оқулықпен жұмыс.Жаңа тақырып.ҰЖ. 1-тапсырма. Суреттегі тіктөртбұрыштың периметрін табу тәсілдерін түсіндір. 1-тәсіл: 3 + 2 + 3 + 2 = 10 (см). 2-тәсіл: 3 · 2 + 2 · 2 = 10 (см). 3-тәсіл: (3 + 2) · 2 = 5 · 2 = 10 (см). Тіктөртбұрыштың периметрі Р = 10 см. Есептеудің қай тәсілі тиімдірек болды?
2-тапсырма.Тіктөртбұрыш пен шаршының периметрлерін әртүрлі тәсілмен тап.
Есте сақта! Тіктөртбұрыштың периметрін табу формуласы: P = (a + b) · 2, мұндағы а тіктөртбұрыштың қабырғаларының ұзындығы, 6 - ені.Шаршының периметрін табу формуласы:P = a · 4, мұндағы а
3-тапсырма.Топтық жұмыс.Кестені толтыр.
4-тапсырма. Жұптық жұмыс «Біліміңді қолдан» әдісі. 4. а=6 см; а = 7 дм; а = 9 м деп алып, шаршының периметрін тап.
5-тапсырма. Топтық жұмыс. Суреттегі үшбұрыштың периметрін табу жолын түсіндір. Шешуі: 2 + 3 + 4 = 9 (см). Үшбұрыштың периметрі: Р = 9 см. 6-тапсырма.Топтық жұмыс.Қабырғаларының ұзындығы а, b және с-ға тең үшбұрыштың периметрін тап. Есте сақта! Үшбұрыштың периметрін табу формуласы:P = a + b + c, мұндағы a, b, c — үшбұрыш қабырғаларының ұзындығы. 7 – тапсырма.Үшбұрыштың бір қабырғасының ұзындығы5 см. Қалған екі қабырғасының әрқайсысы- ның ұзындығы одан 2 есе артық. Үшбұрыштың периметрін тап. 8-тапсырма.Әсем асүйдің, қонақ бөлменің және дәліздің ұзындықтарын өлшеді. Асүйдің ұзындығы 3 м,дәліздің ұзындығы одан 2 есе артық, ал қонақ бөлменің ұзындығы асүй мен дәліздің ұзындықтар қосқандағы ұзындыққа тең. Мына өрнектер нені білдіретінін түсіндір: 3 · 2, 3 + 3 · 2 . Қорытындылау.Шығармашылық жұмыс. 10-тапсырма. Шаршы 4 бірдей шаршыларға бөлінген.Егер үлкен шаршының қабырғасы 6 см болса,кішкентай шаршының периметрі неге тең?
Үйге: 9-тапсырма.117-бетте. a) a 5 см, ал ь 4 см деп алып, тіктөртбұрыштың периметрін тап. ә) а = 8 дм деп алып, шаршының периметрін тап.
«Алма ағ ашы» әдісі арқылы кері байланыс. 1.Бүгінгі сабақтан не білдің? 2.Қай тапсырма қиындық тудырды? 3.Не қызықты болды |
Оқушылар мұғаліммен бірге өлеңді қайталайды.
Оқушылар тіктөртбұрыштың, шаршының,үшбұрыштың периметрін табады және формуласын біледі. Тіктөртбұрыштың Р=(а+в) *2 Шаршы Р= а*4 1) 4см +2см=6см Р=(а+в) *2 =6см *2=12см 2) 4дм +3дм=7дм Р=(а+в) *2 =7дм *2=14дм а*4 1) а=6см Р=6см *4=24см 2) а=7дм Р=7дм *4=28дм 3) а=9м Р=9м *4=36м Сергіту сәтін жасайды. Оқушылар жеке тапсырманы орындайды 7-тапсырма
8-тапсырма
Үй тапсырмасын орындайды |
Ауызша мадақтау жүреді Дескриптор - дәптердің периметрін табады. «Бәйге» әдісі арқылы өзін-өзі бағалау.10 балл
Дескриптор - есептеудің тиімді тәсілін қолданады. Дескриптор - тіктөртбұрыш пен шаршының периметрлерін әртүрлі тәсілмен табады. «Бәйге» әдісі арқылы өзін-өзі бағалау. 1 - балл Дескриптор - кестені толтырып, периметрін табады. «Бәйге» әдісі арқылы өзін-өзі бағалау. 2 - балл Дескриптор - шаршының периметрін табады. «Бәйге» әдісі арқылы өзін-өзі бағалау. 2 - балл Дескриптор - Суреттегі үшбұрыштың периметрін табу жолын түсінеді.
Дескриптор - үшбұрыштың периметрін табады. «Бәйге» әдісі арқылы өзін-өзі бағалау.1балл Дескриптор - үшбұрыштың белгісіз қабырғаларын табады . Олардың перимтерін есептейді. «Бәйге» әдісі арқылы өзін-өзі бағалау.2балл Дескриптор - дәліз бен қонақ бөлменің ұзындығын табады . -өрнек түрінде жазады Жазбаны түсіндіреді Қорытынды жасайды . «Бәйге» әдісі арқылы өзін-өзі бағалау.2балл |
Оқулық
|
||
Тексерілді______ С. Утеулиева
Оқушының аты-жөні:____________________________________
122-саб.1. а =4 см; а = 3 см шаршының периметрін тап.

2. Кестені толтыр.
|
a |
b |
a+b |
P |
|
5 см |
3 см |
|
|
|
6 см |
4 см |
|
|
|
4 см |
3 см |
|
|
3. Үшбұрыштың бір қабырғасының ұзындығы 4 см қалған екі қабырғасының әрқайсысының ұзындығы одан 1 см артық .Осы үшбұрышты сал және периметрін тап.
4.Үшбұрыштың периметрін
табу формуласын жаз. 
Оқушының аты-жөні:____________________________________
122-саб.1. а =4 см; а = 3 см шаршының периметрін тап.

2. Кестені толтыр.
|
a |
b |
a+b |
P |
|
5 см |
3 см |
|
|
|
6 см |
4 см |
|
|
|
4 см |
3 см |
|
|
3. Үшбұрыштың бір қабырғасының ұзындығы 4 см қалған екі қабырғасының әрқайсысының ұзындығы одан 1 см артық .Осы үшбұрышты сал және периметрін тап.
4.Үшбұрыштың периметрін
табу формуласын жаз. 
Қысқа мерзімді жоспар
|
Білім беру ұйымының атауы |
« М.Исламқұлов атындағы жалы білім беретін мектеп » КММ |
|||||||||||||||||||||||||||||||||
|
Пәні: |
Математика |
|||||||||||||||||||||||||||||||||
|
Бөлім:Бөлімше |
ГЕОМЕТРИЯЛЫҚ ФИГУРАЛАР. ПЕРИМЕТР |
|||||||||||||||||||||||||||||||||
|
Педагогтің аты-жөні: |
Аскарова Салтанат |
|||||||||||||||||||||||||||||||||
|
Күні: |
02.05.25ж |
|||||||||||||||||||||||||||||||||
|
Сынып: 2 « А » |
Қатысқан оқушылар саны: |
Қатыспаған оқушылар саны: |
||||||||||||||||||||||||||||||||
|
Сабақтың тақырыбы: |
123 - сабақ Шамалар(ұзындығы,ені,периметрі)арасындағы тәуелділік |
|||||||||||||||||||||||||||||||||
|
Оқу бағдарламасына сәйкес оқыту мақсаты: |
2.5.1.2.** Есептерді шығару барысында ұзындығы, ені, периметр шамаларының өзара тәуелділігін пайдалану. 2.3.1.4 Фигураның белгісіз қабырғасын оның периметрі мен белгілі қабырғалары арқылы табу. |
|||||||||||||||||||||||||||||||||
|
Сабақтың мақсаты/Бағалау критерийі |
- есептерді шығару барысында ұзындығы, ені, периметр шамаларының өзара тәуелділігін пайдаланады. - фигураның белгісіз қабырғасын оның периметрі мен белгілі қабырғалары арқылы табады; |
|||||||||||||||||||||||||||||||||
|
Құндылықтар |
Сабақ құндылығы:ЕҢБЕКҚОРЛЫҚ ЖӘНЕ КӘСІБИ БІЛІКТІЛІК |
|||||||||||||||||||||||||||||||||
|
Ойлау дағдыларының деңгейі |
Білу,түсіну,қолдау |
|||||||||||||||||||||||||||||||||
|
Сабақтың барысы |
||||||||||||||||||||||||||||||||||
|
Сабақтың кезеңі/ уақыты |
Педагогтің әрекеті |
Оқушының әрекеті |
Бағалау |
Ресурстар |
||||||||||||||||||||||||||||||
|
Сабақтың басы 2 минут Өткенді пысықтау 3 минут Тақырыпты ашу 5 минут
Сабақтың ортасы 5 минут 3 минут 5 минут 5 минут Сергіту сәті 2 минут 3 минут 5 минут Сабақты бекіту 5 минут Кері байланыс 2 минут |
І Ұйымдастыру кезеңі 1.Сәлемдесу. 2.Оқушыларды түгендеу. Ширату жатығуын жасау. Біз қандай баламыз? Жабырқауды білмейміз, Жалқаулықты сүймейміз Біз талапты жасұлан Үлгі аламыз жақсыдан. Үйге: 9-тапсырма.117-бетте. а) а=5см, ал b=4 см деп алып, тіктөртбұрыштың периметрін тап. а =8 дм деп алып, шаршының периметрін тап Р=(5см+4см)*2=18см Р=8дм*4=32дм
Сабаққа кіріспе Қызығушылықты ояту Балаларға қолдарына сызғыш беріп, өздерінің партасының ұзындығы мен енін өлшетіңіз. Сұрақ қойыңыз: Егер мен партаның ұзындығы мен енін білсем, мен тағы қандай шаманы таба аламын деп ойлайсыңдар? Көрнекілік арқылы: Тақтаға тіктөртбұрыштың суретін салып, оның ұзындығы мен енін жазып қойыңыз. Содан кейін сұрақ қойыңыз: Бұл тіктөртбұрыштың шетін толық айналып өтсек, қандай шаманы өлшейміз? (Оқушылар: Периметр!) Жаңа сабақтың тақырыбымен мақсатын хабарлау. Шамалар(ұзындығы,ені,периметрі)арасындағы тәуелділік - есептерді шығару барысында ұзындығы, ені, периметр шамаларының өзара тәуелділігін пайдаланады. - фигураның белгісіз қабырғасын оның периметрі мен белгілі қабырғалары арқылы табады; Оқулықпен жұмыс.Жаңа тақырып.ҰЖ. ФС.1-тапсырма. P=(a+b)*2 формуласын қолданып,кестені толтыр. Қорытынды жаса.
2-тапсырма. P=a*4 формуласын қолданып,кестені толтыр.
3-тапсырма.Топтық жұмыс. Фигуралардың қабырғаларын өлше. Үшбұрыштардың периметрін тап. Екі фигурадан құрастырылған төртбұрыштардың периметрін тап.
4
5-тапсырма. Топтық жұмыс.Есепті шығар. Анам мен әпкем ұзындығы 4 м,ал ені одан 2 есе қысқа кілем тоқыды.Осы кілемнің периметрін тап.
6-тапсырма. ЕБҚ және ЕҚБ.Теңдеуді шеш. х/5=8 у-14=51+29 16+с=97-48 х=5*8 у-14=80 16+с=49 х=40 у=80+14 с=49-16 40/5=8 у=94 с= 33 94-14=51+29 16+33=97-48
8-тапсырма.Топтық жұмыс. «Кім жылдам?» Табиғаттағы кейбір құстардың массалары мен дене тұрқының ұзындықтарын салыстыр.
Қорытындылау.Шығармашылық жұмыс. 9-тапсырма.
Үйге: 7-тапсырма.119-бетте.Үшбұрыштың қабырғаларын өлше және периметрін тап.
«Алма ағ ашы» әдісі арқылы кері байланыс. 1.Бүгінгі сабақтан не білдің? 2.Қай тапсырма қиындық тудырды? 3.Не қызықты болды |
Оқушылар мұғаліммен бірге өлеңді қайталайды.
Оқушылар тіктөртбұрыштың, шаршының, периметрін табады.
1-тапсырма
2-тапсырма.
3-тапсырма
Сергіту сәтін жасайды.
Шарты: Ұзындығы – 4м Ені -? м 2 есе қысқа Р=?м Ш:1) 4 : 2 = 2 м ені 2) Р =(а+в)*2 Р=(4+2)*2=12м Ж: кілемнің периметрі 12 м Оқушылар жеке тапсырманы орындайды
8-тапсырма
Үй тапсырмасын орындайды
|
Ауызша мадақтау жүреді
Дескриптор - тіктөртбұрыштың, шаршының, периметрін табады. «Бәйге» әдісі арқылы өзін-өзі бағалау.10 балл
Дескриптор - кестені толтырады. -периметрін табады. «Бәйге» әдісі арқылы өзін-өзі бағалау. 1 - балл
Дескриптор - фигураның белгісіз қабырғасын табады. «Бәйге» әдісі арқылы өзін-өзі бағалау. 2 - балл
Дескриптор - фигураның периметрін табады. «Бәйге» әдісі арқылы өзін-өзі бағалау. 1 - балл
Дескриптор - фигураның периметрін табады. «Бәйге» әдісі арқылы өзін-өзі бағалау. 1 - балл
Дескриптор - кілемнің периметрін табады. «Бәйге» әдісі арқылы өзін-өзі бағалау.1балл
Дескриптор - теңдеуді шешеді. «Бәйге» әдісі арқылы өзін-өзі бағалау.2балл
Дескриптор - құстарды салыстырады. «Бәйге» әдісі арқылы өзін-өзі бағалау.1балл
Дескриптор - логикалық есеп шығарады. «Бәйге» әдісі арқылы өзін-өзі бағалау.1балл
|
Оқулық
|
||||||||||||||||||||||||||||||
Тексерілді______ С. Утеулиева
Оқушының аты-жөні:___________________________
№123-сабақ.Шамалар (ұзындығы,ені,периметрі)арасындағы тәуелділік.
1.Кестені толтыр.
|
a |
b |
a+b |
p |
|
3 см |
10 см |
|
|
|
|
2 см |
|
10 см |
|
|
|
8 м |
|
2.Теңдеуді шеш:
a:4=16 25:a=5 48:X=8

3.Аулада 12 шөжек жайылып
жүр,шежектердің аяқтары барлығы неше?

Оқушының
аты-жөні:___________________________
№123-сабақ.Шамалар (ұзындығы,ені,периметрі)арасындағы тәуелділік.
1.Кестені толтыр.
|
a |
b |
a+b |
p |
|
3 см |
10 см |
|
|
|
|
2 см |
|
10 см |
|
|
|
8 м |
|
2.Теңдеуді шеш:
a:4=16 25:a=5 48:X=8

3.Аулада 12 шөжек жайылып
жүр,шежектердің аяқтары барлығы неше?

Қысқа мерзімді жоспар
|
Білім беру ұйымының атауы |
« М.Исламқұлов атындағы жалы білім беретін мектеп » КММ |
|||||
|
Пәні: |
Математика |
|||||
|
Бөлім:Бөлімше |
ГЕОМЕТРИЯЛЫҚ ФИГУРАЛАР. ПЕРИМЕТР |
|||||
|
Педагогтің аты-жөні: |
Аскарова Салтанат |
|||||
|
Күні: |
05.05.25ж |
|||||
|
Сынып: 2 « А » |
Қатысқан оқушылар саны: |
Қатыспаған оқушылар саны: |
||||
|
Сабақтың тақырыбы: |
124 - сабақ Тіктөртбұрыштың (шаршының) қабырғалары мен периметрін табуға берілген есептер |
|||||
|
Оқу бағдарламасына сәйкес оқыту мақсаты: |
2.5.1.2.**есептерді шығару барысында ұзындығы, ені, периметр шамаларының өзара тәуелділігін пайдалану. 2.5.1.5.** тіктөртбұрыш (шаршының)ұзындығы, ені, периметрін табуға берілген есептерді талдау және шығару,кері есептерді құрастыру және шығару. |
|||||
|
Сабақтың мақсаты/Бағалау критерийі |
- есептерді шығару барысында ұзындығы, ені, периметр шамаларының өзара тәуелділігін пайдаланады7 -тіктөртбұрыш (шаршының) ұзындығы, ені, периметрін табуға берілген есептерді талдайды және шығарады, кері есептерді құрастырады және шығарады |
|||||
|
Құндылықтар |
Сабақ құндылығы:ЕҢБЕКҚОРЛЫҚ ЖӘНЕ КӘСІБИ БІЛІКТІЛІК |
|||||
|
Ойлау дағдыларының деңгейі |
Білу,түсіну,қолдау |
|||||
|
Сабақтың барысы |
||||||
|
Сабақтың кезеңі/ уақыты |
Педагогтің әрекеті |
Оқушының әрекеті |
Бағалау |
Ресурстар |
||
|
Сабақтың басы 2 минут Өткенді пысықтау 3 минут Тақырыпты ашу 5 минут
Сабақтың ортасы 5 минут 3 минут 5 минут 5 минут Сергіту сәті 2 минут 3 минут 5 минут Сабақты бекіту 5 минут Кері байланыс 2 минут |
І Ұйымдастыру кезеңі 1.Сәлемдесу. 2.Оқушыларды түгендеу. Ширату жатығуын жасау. Біз қандай баламыз? Жабырқауды білмейміз, Жалқаулықты сүймейміз Біз талапты жасұлан Үлгі аламыз жақсыдан. Үйге: 7-тапсырма.119-бетте.Үшбұрыштың қабырғаларын өлше және периметрін тап.
Сабаққа кіріспе.Қызығушылықты ояту. Сұрақтар арқылы: – Сендер үйдің терезесін, есігін көрдіңдер ме? Олардың пішіні қандай? – Ойыншық қорабы немесе дәптердің беті ше? Көрнекілік: Тіктөртбұрыш пен шаршының суретін көрсетіңіз немесе нақты заттарды (дәптер, тақтайша, ойыншық т.б.) пайдаланыңыз. Жаңа сабақтың тақырыбымен мақсатын хабарлау. Тіктөртбұрыштың (шаршының) қабырғалары мен периметрін табуға берілген есептер. - есептерді шығару барысында ұзындығы, ені, периметр шамаларының өзара тәуелділігін пайдаланады7 -тіктөртбұрыш (шаршының) ұзындығы, ені, периметрін табуға берілген есептерді талдайды және шығарады, кері есептерді құрастырады және шығарады Оқулықпен жұмыс.Жаңа тақырып.ҰЖ.Мұғалімнің көмегімен орындалады. 1-тапсырма.Есепті шығару үлгісіне қара. Шаршы пішінді жүгіру жолының периметрі 80м. Жүгіру жолының үзындығы неге тең.
2-тапсырма.1-тапсырмадағы есепке кері есеп құрастыр. Белгілі мен белгісізді ата. Есепті шығар.
3-тапсырма.Топтық жұмыс.Есептерді шығар. а) Тіктөртбұрыш пішінді алаңның периметрі - 60 м, ал ені - 10 м. Алаңның ұзындығы неге тең? ә) Тіктөртбұрыш пішінді жүзу бассейнінің ұзындығы 6 м, ал ені одан 2 ece кыска. Жүзу бассейнінің периметрін тап.
4-тапсырма. Жұптық жұмыс. а= 6см деп алып,үшбұрыштың периметрін тап. Шарты: а = 6 см Р = ?см Шешуі: а –1=6см-1=5см –бірінші қабарғасы а –3=6см-3=3см –екінші қабарғасы а –(а- 4)=6см –(6cм - 4)=6см-2=4см –үшінші қабарғасы Р=а+в+с Р=5+3+4=12см Жауабы:Үшбұрыштың Р=12см
ЕҚБ.5-тапсырма.Үшбұрыштың қабырғалары 2см,3см және 4 см. Дәптерге ұзындығы осы периметріне тең кесінді сыз. 6-тапсырма.Өзінжік жұмыс.Мысалдарды шығар. 36-8*2=36-16=20 18+14/2+45=7+18+45=70 (18+6)/3=24/3=8 (40-35)*4-13=5*4-13=7 4*(17-9)-24=8*4-24=8 20+6*5/6=30/6=5+20=25 ЕБҚ .7-тапсырма. 73см=7дм3cм 7м=70дм 63дм2см= 6м 3дм 2см
Қорытындылау.Шығармашылық жұмыс. 9-тапсырма. «Кім неше сөз құрастырды?» ойыны. Төмендегі өзен атаулары әріптерінен әртүрлі сөздер құрастыр. Қандай сөздер шықты? ТОРҒАЙ СЫРДАРИЯ 10-тапсырм. Тіктөртбұрыштың қабырғалары 7 см және 5 см. Осы тіктөртбұрыштан қалай шаршы шыға- руға болады?
Үйге: 8-тапсырма.121-бетте.Кестені пайдаланып,есеп құрастыр. Оны шығар.
«Алма ағ ашы» әдісі арқылы кері байланыс. 1.Бүгінгі сабақтан не білдің? 2.Қай тапсырма қиындық тудырды? 3.Не қызықты болды |
Оқушылар мұғаліммен бірге өлеңді қайталайды.
Оқушылар тіктөртбұрыштың, шаршының, периметрін табады. Сергіту сәтін жасайды. Оқушылар жеке тапсырманы орындайды Шарты: а= 2см в=3см с=4см Р=?см Ш:2+3+4=9см Ж: Үшбұрыштың Р = 9см 9-10 тапсырма Ауызша орындалады. СЫРДАРИЯ Сыр,дария,рыс, сары, ия, ТОРҒАЙ Тор,тар, тоғай, торай. Үй тапсырмасын орындайды |
Ауызша мадақтау жүреді Дескриптор - үшбұрыштың қабырғаларын өлшейді және периметрін табады. «Бәйге» әдісі арқылы өзін-өзі бағалау.10 балл
Дескриптор - шаршының периметріне қарап, қабырғасының ұзындығын табады. «Бәйге» әдісі арқылы өзін-өзі бағалау. 1 - балл Дескриптор - шаршының периметрін табады. «Бәйге» әдісі арқылы өзін-өзі бағалау. 1 - балл Дескриптор - тікбұрышты алаңның ұзындығын табады. -жүзу бассейнінің периметрін табады «Бәйге» әдісі арқылы өзін-өзі бағалау. 2 - балл Дескриптор - үшбұрыштың периметрін табады. «Бәйге» әдісі арқылы өзін-өзі бағалау. 2 - балл Дескриптор - үшбұрыштың периметрін табады. -кесінді сызады. «Бәйге» әдісі арқылы өзін-өзі бағалау.1балл Дескриптор - мысалдарды шығарады. «Бәйге» әдісі арқылы өзін-өзі бағалау.2балл Дескриптор - шамаларды орындайды «Бәйге» әдісі арқылы өзін-өзі бағалау.1балл |
Оқулық
|
||
Тексерілді______ С. Утеулиева
Оқушының аты-жөні:_______________________________
№124-сабақ.Тік төртбұрыштың (шаршының)
қабырғалары менпериметрін табуға берілген есептер.
-
Көрсетілген өлшем бірліктеріне түрлендір.
67 см = дм см
12 м = дм
89 дм 3 см = м дм см
-
Төртбұрыштың ұзындығын өлшеп периметрін тап.

3.Өзің оқитын сыныптын ені мен ұзындығын өлшеп,
периметрін
тап. 
Оқушының
аты-жөні:_______________________________
№124-сабақ.Тік төртбұрыштың (шаршының)
қабырғалары менпериметрін табуға берілген есептер.
1.Көрсетілген өлшем бірліктеріне түрлендір.
67 см = дм см
12 м = дм
-
м 3 см = м дм см
2.Төртбұрыштың ұзындығын өлшеп периметрін тап.

3.Өзің оқитын сыныптын ені мен ұзындығын өлшеп,
периметрін
тап. 
шағым қалдыра аласыз



















-тапсырма.



























