Тақырыбы: «Бүгінгі білім - ертеңгі жетістік» математикалық сайыс
Сайыстың мақсаты: Оқушылардың математика пәнінен алған білімдерін жинақтау, олардың білімге деген құштарлығын арттыру, қызықтыру арқылы білімін тереңдету, интелллектуалдық қабілетін дамыту.
Түрі: Танымдық ойын
Көрнекілігі: интерактивті тақта, тапсырма парақтары
Жүргізуші:
Ойын толқын жатқандай асып —
тасып,
Біреу мығым, біреулер шалыс басып.
Бұл ойыннан өтеді ғұлама ойлар,
Жеңсең де, жеңілсеңде қалма
жасып.
Қайырлы күн, қадірлі ұстаздар, оқушылар! Бүгінгі 9 - 10 – сынып үздіктерінің арасында өткізіліп жатқан «Бүгінгі білім - ертеңгі жетістік» атты интеллектуалды сайысымызға қош келдіңіздер. Сайысымызды бастамас бұрын іріктеу кезеңінің нәтижесі арқылы сайысымызға қатысатын оқушыларды ортаға шақырайық.
Іріктеу кезеңнің жеңімпаздары:
-
Шакрат Айзере 10 «А»
-
Жонайдаров Баходир 10 «А»
-
Жолдасбек Нұрдаулет 10 «Ә»
-
Қаржау Айша 10 «А»
-
Орынбеков Бекнұр 9 «А»
-
Ахмедбек Нұрқожа 9 «А»
-
Ерсаин Назерке 9 «Ә»
Жоспар:
1.«Ойлан.Талда.Қолдан» кезеңі (өмірде кездесетін математикалық есептеулер)
2. «Ғажайып үштік» кезеңі (ББЖМ сұрақтары)
3.«Байқампаздық өнер» логикалық суреттер есебі
4. «Функционалды білім – өмірге жол» кезеңі PISA тапсырмалары
5. Қорытынды. Марапаттау
1.«Ойлан. Қолдан. Талда» кезеңі. Kahoot.it платформасында барлық қатысушыларға математикалық сауаттылықтан тест тапсырмалары беріледі. Әр дұрыс жауапқа 1 ұпай қойылады. Шарты ең аз ұпай жинаған 1 қатысушы шығады.(https://create.kahoot.it/details/5bbb20f2-7241-49ef-8a7e-424b2013cbca )
1. Сыныпта 25 оқушы бар. 17 оқушы домбыра, ал 18 оқушы би үйірмесіне барады. Сыныпта қанша оқушы екі үйірмегеде барады?
А) 12 B) 9 C)13 D)10
2. Саңдар белгілі бір заңдылық нәтижесінде алынған. Сұрақ белгісін қандай санмен ауыстыру керек? Егер «25» = 10, «234» = 24, «15» = 5, «47» = 28, «50» = 0 болса, онда «431» = ?
A) 8 B) 9 C) 196 D) 12
3. Цифрлары әртүрлі болатын ең үлкен және ең кіші үш таңбалы сандардың қосындысын табыңыз.
А) 1100 B) 1089 C) 1120 D) 1189
4. Сандардың модасын табыңыз: 2,2; 3,6; 5,6; 3,6; 4,2
А) 4,2 B) 2,2 C) 5,6 D) 3,6
5. Мектептегі 1400 оқушының 23%-ы үздік оқиды. Неше оқушы үздік оқиды?
A) 300 B) 320 C) 322 D) 270
6. Ұлы 7 жаста, əкесі 31 жаста. Неше жылдан соң əкесінің жасы ұлының жасынан үш есе артық болатынын анықтаңыз
A)3 B)5 C)6 D)4
7. Қыры 2 дм текше тәрізді ыдыс сумен толтырылған. Оған қанша литр су құйылғанын табыңыз.
A) 8 л B) 9 л C) 4 л D) 16 л
8. Жазылуында 1 цифры қолданылмайтын қанша екі таңбалы сан бар?
A) 42 сан B) 52 сан C) 62 сан D) 72 сан
9. Есептеңіз: 4!+5!
A) 144 B) 120 C) 45 D) 20
10. Құлпынайдың 6 %-ы қант. 35 кг құлпынайда неше кг қант бар?
A) 1,5 кг B) 1,8 кг C) 2,1 кг D) 2,4
2. «Ғажайып үштік» (ББЖМ тапсырмалары) Сайыс шарты бұл бөлімде төмен ұпай жинаған қатысушы жұп шығады.
Бұл кезеңде әр команда ұяшықтарды таңдап сұрақтарына жауап береді. Балл ұяшық санымен бағаланады.
|
Алгебра |
10 |
20 |
30 |
|
Геометрия |
10 |
20 |
30 |
|
Логика |
10 |
20 |
30 |
|
Алгебра 10 |
Дидар 4 қарындаш үшін 880 тг төлесе, 13 қарындаш үшін неше теңге төлейді? |
2860 |
|
Алгебра 20 |
1435 саны қандай цифрмен аяқталады? |
3 |
|
Алгебра 30 |
Өлшемдері 50 х 60 х 25 болатын қораптың ішіне қыры 5 х 5 х 5 болатын неше текше орналастыруға болады? |
600 |
|
Геометрия 10 |
Сызбадан белгісіз бұрыштың градустық мәнін табыңыз.
|
1450 |
|
Геометрия 20 |
Суретте ABCD және EFCN шаршылары берілген. ABCD шаршысының ауданын табыңдар.
|
100 см2 |
|
Геометрия 30 |
Тік бұрышты параллелепипедтің бір төбесі ортақ үш жағының аудандары: 35 см2 , 21 см2 , 15 см2 . Тік бұрышты параллелепипедтің көлемін табыңыз.
|
105 см3 |
|
Логика 10 |
Саңдар белгілі бір заңдылық нәтижесінде алынған. Сұрақ белгісінің орнына қандай сан жазылуы керек? 14(625)11; 12(196)2; 10(?)5 |
225 |
|
Логика 20 |
Сұрақ белгісінің орнында бола алатын санды табыңыз.
|
48 |
|
Логика 30 |
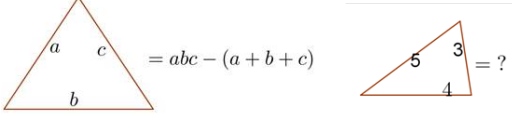
Жаңа логикалық амал ⋇ келесі өрнекпен анықталған а ⋇ b = (За – 2b) ∙ 5 болса, онда 5 ⋇ 2 өрнегінің мәнін табыңыз. |
55 |
3. «Байқампаздық өнер» логикалық суреттер есебі. Бұл бөлімде төмен ұпай жинаған қатысушы жұп шығады. Әрбір тапсырмаға 5 ұпай беріледі.
1.
жауабы:
96
2.
жауабы:
35
3.
жауабы:
7
4.
жауабы:
60
4. «Функционалды білім – өмірге жол» PISA тапсырмалары
Сауда жасау
Апасы Назымды ұн мен қант әкелу үшін дүкенге жұмсады.Ақша не
8 кг қантқа,не 24 кг ұнға жетеді.

Ұн Қант

Сұрақ 1: Сауда жасау
Екеуінен бірдей мөлшерде алу үшін неше килограмнан алу керек ?
Жауабы:__________________________________
Дұрыс жауабы: 1/8 +1/24_=4/24 = 1/6
1: 1/6 = 6 кг
Сұрақ 2: Сауда жасау
Ұн мен қанттың екеуінің қайсысы қымбат ? Неше есе қымбат ?
Дұрыс жауабы: Қант қымбат ,24/8 = 3 есе
Сұрақ 3: Сауда жасау
Осы ақшаға ұнды 3 есе көп алу үшін қанша қант,қанша ұн алу керек ?
Жауабы:_____________________________________________________
Дұрыс жауабы: 1 кг қант пен 3 кг ұнға ақшаның 1/8 +(1/24)*3=2/8 = 1/4
1: 1/4 = 4 ,ақша осы қатынаста 4 рет алуға жетеді.
Барлық ақшаға 4 кг қант ,12 кг ұн алуға болады.
Қорытынды:
Көңіл бөліп бұл кеште
Қатысушыларға көп рахмет!
Алдыңызда жайнаған жүздер әлі
Сендермен кездесеміз біздер әлі, - дей келе біз танымдық ойынымызды аяқтаймыз.
Ендігі кезекте әділ – қазылар алқасын тыңдайық.
Марапаттау, мадақтау
жүктеу мүмкіндігіне ие боласыз
Бұл материал сайт қолданушысы жариялаған. Материалдың ішінде жазылған барлық ақпаратқа жауапкершілікті жариялаған қолданушы жауап береді. Ұстаз тілегі тек ақпаратты таратуға қолдау көрсетеді. Егер материал сіздің авторлық құқығыңызды бұзған болса немесе басқа да себептермен сайттан өшіру керек деп ойласаңыз осында жазыңыз
Математикалық сайыс
Математикалық сайыс
Тақырыбы: «Бүгінгі білім - ертеңгі жетістік» математикалық сайыс
Сайыстың мақсаты: Оқушылардың математика пәнінен алған білімдерін жинақтау, олардың білімге деген құштарлығын арттыру, қызықтыру арқылы білімін тереңдету, интелллектуалдық қабілетін дамыту.
Түрі: Танымдық ойын
Көрнекілігі: интерактивті тақта, тапсырма парақтары
Жүргізуші:
Ойын толқын жатқандай асып —
тасып,
Біреу мығым, біреулер шалыс басып.
Бұл ойыннан өтеді ғұлама ойлар,
Жеңсең де, жеңілсеңде қалма
жасып.
Қайырлы күн, қадірлі ұстаздар, оқушылар! Бүгінгі 9 - 10 – сынып үздіктерінің арасында өткізіліп жатқан «Бүгінгі білім - ертеңгі жетістік» атты интеллектуалды сайысымызға қош келдіңіздер. Сайысымызды бастамас бұрын іріктеу кезеңінің нәтижесі арқылы сайысымызға қатысатын оқушыларды ортаға шақырайық.
Іріктеу кезеңнің жеңімпаздары:
-
Шакрат Айзере 10 «А»
-
Жонайдаров Баходир 10 «А»
-
Жолдасбек Нұрдаулет 10 «Ә»
-
Қаржау Айша 10 «А»
-
Орынбеков Бекнұр 9 «А»
-
Ахмедбек Нұрқожа 9 «А»
-
Ерсаин Назерке 9 «Ә»
Жоспар:
1.«Ойлан.Талда.Қолдан» кезеңі (өмірде кездесетін математикалық есептеулер)
2. «Ғажайып үштік» кезеңі (ББЖМ сұрақтары)
3.«Байқампаздық өнер» логикалық суреттер есебі
4. «Функционалды білім – өмірге жол» кезеңі PISA тапсырмалары
5. Қорытынды. Марапаттау
1.«Ойлан. Қолдан. Талда» кезеңі. Kahoot.it платформасында барлық қатысушыларға математикалық сауаттылықтан тест тапсырмалары беріледі. Әр дұрыс жауапқа 1 ұпай қойылады. Шарты ең аз ұпай жинаған 1 қатысушы шығады.(https://create.kahoot.it/details/5bbb20f2-7241-49ef-8a7e-424b2013cbca )
1. Сыныпта 25 оқушы бар. 17 оқушы домбыра, ал 18 оқушы би үйірмесіне барады. Сыныпта қанша оқушы екі үйірмегеде барады?
А) 12 B) 9 C)13 D)10
2. Саңдар белгілі бір заңдылық нәтижесінде алынған. Сұрақ белгісін қандай санмен ауыстыру керек? Егер «25» = 10, «234» = 24, «15» = 5, «47» = 28, «50» = 0 болса, онда «431» = ?
A) 8 B) 9 C) 196 D) 12
3. Цифрлары әртүрлі болатын ең үлкен және ең кіші үш таңбалы сандардың қосындысын табыңыз.
А) 1100 B) 1089 C) 1120 D) 1189
4. Сандардың модасын табыңыз: 2,2; 3,6; 5,6; 3,6; 4,2
А) 4,2 B) 2,2 C) 5,6 D) 3,6
5. Мектептегі 1400 оқушының 23%-ы үздік оқиды. Неше оқушы үздік оқиды?
A) 300 B) 320 C) 322 D) 270
6. Ұлы 7 жаста, əкесі 31 жаста. Неше жылдан соң əкесінің жасы ұлының жасынан үш есе артық болатынын анықтаңыз
A)3 B)5 C)6 D)4
7. Қыры 2 дм текше тәрізді ыдыс сумен толтырылған. Оған қанша литр су құйылғанын табыңыз.
A) 8 л B) 9 л C) 4 л D) 16 л
8. Жазылуында 1 цифры қолданылмайтын қанша екі таңбалы сан бар?
A) 42 сан B) 52 сан C) 62 сан D) 72 сан
9. Есептеңіз: 4!+5!
A) 144 B) 120 C) 45 D) 20
10. Құлпынайдың 6 %-ы қант. 35 кг құлпынайда неше кг қант бар?
A) 1,5 кг B) 1,8 кг C) 2,1 кг D) 2,4
2. «Ғажайып үштік» (ББЖМ тапсырмалары) Сайыс шарты бұл бөлімде төмен ұпай жинаған қатысушы жұп шығады.
Бұл кезеңде әр команда ұяшықтарды таңдап сұрақтарына жауап береді. Балл ұяшық санымен бағаланады.
|
Алгебра |
10 |
20 |
30 |
|
Геометрия |
10 |
20 |
30 |
|
Логика |
10 |
20 |
30 |
|
Алгебра 10 |
Дидар 4 қарындаш үшін 880 тг төлесе, 13 қарындаш үшін неше теңге төлейді? |
2860 |
|
Алгебра 20 |
1435 саны қандай цифрмен аяқталады? |
3 |
|
Алгебра 30 |
Өлшемдері 50 х 60 х 25 болатын қораптың ішіне қыры 5 х 5 х 5 болатын неше текше орналастыруға болады? |
600 |
|
Геометрия 10 |
Сызбадан белгісіз бұрыштың градустық мәнін табыңыз.
|
1450 |
|
Геометрия 20 |
Суретте ABCD және EFCN шаршылары берілген. ABCD шаршысының ауданын табыңдар.
|
100 см2 |
|
Геометрия 30 |
Тік бұрышты параллелепипедтің бір төбесі ортақ үш жағының аудандары: 35 см2 , 21 см2 , 15 см2 . Тік бұрышты параллелепипедтің көлемін табыңыз.
|
105 см3 |
|
Логика 10 |
Саңдар белгілі бір заңдылық нәтижесінде алынған. Сұрақ белгісінің орнына қандай сан жазылуы керек? 14(625)11; 12(196)2; 10(?)5 |
225 |
|
Логика 20 |
Сұрақ белгісінің орнында бола алатын санды табыңыз.
|
48 |
|
Логика 30 |
Жаңа логикалық амал ⋇ келесі өрнекпен анықталған а ⋇ b = (За – 2b) ∙ 5 болса, онда 5 ⋇ 2 өрнегінің мәнін табыңыз. |
55 |
3. «Байқампаздық өнер» логикалық суреттер есебі. Бұл бөлімде төмен ұпай жинаған қатысушы жұп шығады. Әрбір тапсырмаға 5 ұпай беріледі.
1.
жауабы:
96
2.
жауабы:
35
3.
жауабы:
7
4.
жауабы:
60
4. «Функционалды білім – өмірге жол» PISA тапсырмалары
Сауда жасау
Апасы Назымды ұн мен қант әкелу үшін дүкенге жұмсады.Ақша не
8 кг қантқа,не 24 кг ұнға жетеді.

Ұн Қант

Сұрақ 1: Сауда жасау
Екеуінен бірдей мөлшерде алу үшін неше килограмнан алу керек ?
Жауабы:__________________________________
Дұрыс жауабы: 1/8 +1/24_=4/24 = 1/6
1: 1/6 = 6 кг
Сұрақ 2: Сауда жасау
Ұн мен қанттың екеуінің қайсысы қымбат ? Неше есе қымбат ?
Дұрыс жауабы: Қант қымбат ,24/8 = 3 есе
Сұрақ 3: Сауда жасау
Осы ақшаға ұнды 3 есе көп алу үшін қанша қант,қанша ұн алу керек ?
Жауабы:_____________________________________________________
Дұрыс жауабы: 1 кг қант пен 3 кг ұнға ақшаның 1/8 +(1/24)*3=2/8 = 1/4
1: 1/4 = 4 ,ақша осы қатынаста 4 рет алуға жетеді.
Барлық ақшаға 4 кг қант ,12 кг ұн алуға болады.
Қорытынды:
Көңіл бөліп бұл кеште
Қатысушыларға көп рахмет!
Алдыңызда жайнаған жүздер әлі
Сендермен кездесеміз біздер әлі, - дей келе біз танымдық ойынымызды аяқтаймыз.
Ендігі кезекте әділ – қазылар алқасын тыңдайық.
Марапаттау, мадақтау
шағым қалдыра аласыз

















