|
Бөлім: |
Дәрежелер мен түбірлер. Дәрежелік функция |
|
Педагогтің аты-жөні: |
Абдуллаева Д |
|
Күні: |
04.11.24 |
|
Сыныбы: 11ә |
Қатысушылар саны: Қатыспағандар саны: |
|
Сабақтың тақырыбы: |
n-ші дәрежелі түбір және оның қасиеттері |
|
Оқу бағдарламасына сәйкес оқыту мақсаты |
11.2.1.1 - n-ші дәрежелі түбір және n-ші дәрежелі арифметикалық түбір анықтамасын білу; 11.2.1.2 - n-ші дәрежелі түбір қасиеттерін білу; |
|
Сабақтың мақсаты: |
n-ші дәрежелі түбір және n-ші дәрежелі арифметикалық түбір анықтамасын үйрету n-ші дәрежелі түбір қасиеттерін үйрету |
Сабақтың барысы:
|
Сабақ кезеңі/Уақыты |
Педагогтың іс әрекеті |
Оқушының іс-әрекеті |
Бағалау |
Ресурстар |
|||||||||||||||||||||||||||||||||||||||||||||
|
Сабақтың басы 5мин |
- оқушылардың зейінін шоғырландыру - оқушылар мен бірігіп сабақ мақсатын және оқу мақсаттарын анықтау - оқушылардың «жақын аймақтағы дамуын» анықтап, сабақтын сонындағы күтілетін нәтижені қарастыру. Оқушылар назарын келесі қасиеттерге аударыңыз:
Осы қасиеттерді түсінуін бекіту үшін оқушыларға төмендегі сұрақтар топтамасын қойыңыз: Тапсырма 1. Төмендегі теңдіктер дұрыспа?
Тапсырма 2.
Оқушыларды жұпқа біріктіріңіз. Оқушыларға өзін-өзі тексеруі үлгіде көрсетілген, тапсырманы ұсыныңыз. Жауаптарын слайдта беруге болады. Тапсырма 1. Есептеңіз:
|
Квадрат түбір, арифметикалық квадрат түбір ұғымдарын және түбірдің қасиеттерін қайталаңыз. Оқушыларды жұптарға біріктіріңіз. Тапсырмаларды орындауды ұсыныңыз.
|
Мұғалім ұйымдастыру кезеңінде белсенділік танытқан оқушыларды «Мадақтау сөз» әдісіарқылы бағалайды: «Жарайсың! Жақсы! Өте жақсы! Талпын!»
|
Түрлі түсті қима қағаздар
|
|||||||||||||||||||||||||||||||||||||||||||||
|
Сабақтың ортасы
|
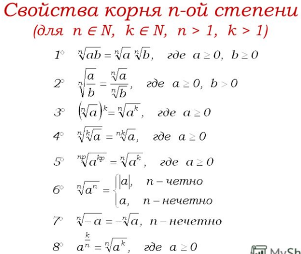
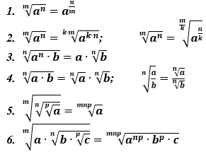
І. Жаңа материалды баяндау (негізгі ұғымдар) Компьютердің мультимедиялық мүмкіндіктерін пайдалана отырып презентация арқылы жаңа тақырыпты түсіндіру. 1) Санды дәрежеге шығаруға кері амал бар ма? 2) а санының квадрат түбірідеген не? 3) 49 санының квадрат түбірінешегетең? 4) 27 саныныңүшіншідәрежелітүбірінешегетең? 5) 256 саныныңтөртіншідәлежелітүбірінешегетең? 6) 243 саныныңбесіншідәрежелітүбірінешегетең? 7) а санының n-шідәрежелітүбірідеген не?
Анықтама. а санының n-ші дәрежелі түбірі деп n- ші дәрежесі a санына тең болатын b санын айтады. Анықтама
бойынша 2. Арифматикалық түбірдің қасиеттері (Видеотүсіндіру) Егер
Егер
Егер
Егер
Мысал-1:
Мысал-2:
Мысал-3:
Мысал-4:
Мысал-5:
Салыстырыңдар: Оқушыларға жұппен жұмысқа берілетін тапсырмалар 2-мысал. Сандардың үшінші дәрежелі түбірлерін табыңыз.
4)
Дескриптор: - түбір астындағы санды a3түрінде жазады; - үшінші дәрежелі түбірін табады;
Оқушыларға жеке орындауға берілетін тапсырмалар
Дескриптор: -
- өрнекті түбір астынан шығарады; - жауабын стандарт түрде жазады;
Дескриптор: -
- жауабын жазады (түбір түрінде); Практикалық мазмұндағы есептерді шешу:
Подшипник шаригінің жұмыс
жасау ұзақтығы t (сағ) мына формуламен
өрнектеледі: Мұндағы n - валдың минуттағы айналым саны, F - подшипникке әсер ететін күш (Н), С – подшипник стандартына сай берілген тұрақты. Егер, подшипникке 320 Н күш әсер етіп, n = 2340 айн/мин және С=64000 болса, подшипниктің жұмыс жасау ұзақтығын табыңыз. (Жауабы: 2447 күн.) |
Өзіңіз хn=a теңдеуін шешудіңсызбасын жасауды ұсыныңыз. Ал содан кейін салыстырып, түзетулер енгізіңіз.
Енді оқушыларға n-дәрежелі түбір мен арифметикалық түбірдің анықтамаларын беріңіз.
Анықтама:
Егер
Теріс емеса санынан алынған n-дәрежелі түбір деп n-дәрежесі асанына теңтеріс емессанды атаймыз.
Сыныппен «Санды тап» ойынын жүргізіңіз. Сыныпқа сұрақ қойыңыз, мысалы:
Оқушылар өз жауаптарын негіздеу керек. Ал содан кейін ойынды жұпта жүргізіңіз.
Оқушыларға практикалық мазмұнды есептерді шешуді ұсыныңыз. Тапсырма: Подшипниктің жұмысқа жарамдылық ұзақтығыt(сағ) мына формуламен өрнектеледі:
Мұндағы n – валдың минутына айналым саны, F – подшипникке әсер ететін күш (Н), С –подшипникке берілгенстандарттық тұрақты шама,. Подшипниктің жұмыс ұзақтығын табыңыз, егер F = 320Н;n=2340 айн/мин және С=64000 болса Бекітуге тапсырмалар ұсыныңыз: Тапсырма 1. Өрнектердің мағынасы барма: Тапсырма 2. Функцияның анықталу облысын табыңыз:
Тапсырма 3. Өрнектің мүмкін мәндер жиынын табыңыз:
|
Дескриптор: -1-ші сұраққа жауап береді. 1-балл -2-ші сұраққа жауап береді. 1-балл -3-ші сұраққа жауап береді. 1-балл
Әрбір дұрыс жауапка 1 балл қойылады
|
ДК экраны
Сұрақтар топтамасы.
Оқулық 11-сынып.
|
|||||||||||||||||||||||||||||||||||||||||||||
|
Сабақтың соңы |
Рефлексия. Мен есімесақтадым…
Әріқарайменіңбілгімкелетінім… Үй тапсырмасы
a)
Тепе-теңдікті
дәлелдеңдер: |
Тапсырма 3. Бөлшектің бөліміндегі
иррационалдықтан құтылыңыз Тапсырма 4. Өрнектің мәнін
табыңыз.
|
Бағалау. Оқушылар бір-бірін ауызша критерий бойынша бағалайды. - Кейбір оқушыларға мұғалім тарапынан кері байланыс беріледі.
|
|
|
Бөлім: |
Дәрежелер мен түбірлер. Дәрежелік функция |
|
Педагогтің аты-жөні: |
Абдуллаева Д |
|
Күні: |
04.11.24 |
|
Сыныбы: 11ә |
Қатысушылар саны: Қатыспағандар саны: |
|
Сабақтың тақырыбы: |
n-ші дәрежелі түбір және оның қасиеттері |
|
Оқу бағдарламасына сәйкес оқыту мақсаты |
11.2.1.1 - n-ші дәрежелі түбір және n-ші дәрежелі арифметикалық түбір анықтамасын білу; 11.2.1.2 - n-ші дәрежелі түбір қасиеттерін білу; |
|
Сабақтың мақсаты: |
- 11.2.1.1 - n-ші дәрежелі түбір және n-ші дәрежелі арифметикалық түбір анықтамасын білу; 11.2.1.2 - n-ші дәрежелі түбір қасиеттерін білу; |
Сабақтың барысы:
|
Сабақ кезеңі/Уақыты |
Педагогтың іс әрекеті |
Оқушының іс-әрекеті |
Бағалау |
Ресурстар |
||
|
Сабақтың басы |
Оқушыларға келесі сұрақтар қойылады: 1) а санының n-ші дәрежелі түбірі дегеніміз не? 2) n-ші дәрежелі түбірдің қандай қасиеттерін білесіздер? Топпен жұмыс Өрнектің ММЖ анықтаңдар 1) 5) 7) 11) Оқушылардың зейіндерін сабаққа аудару. а) Сабаққа әзірлікті бақылау; ә)Мағынаны ажырату. Сабақтың мақсатымен таныстыру.Сабақтың әр кезеңінде топ жетекшісінің көмегі арқылы оқушылардың жауабын есепке алып отыру.Бағалау парағын пайдалану. ІІ. Миға шабуыл. Тапсырмалар: Мына сандардың дәрежелерін есепте: 1) 235) 93 2) 346) 35 3) 627) 104 4) 278) 152 |
Жұпқа бөлу.Сәйкестендіру арқылы жұпқа бөлінеді.
Деңгейлік тапсырмалар: А деңгейі .
|
Мұғалім ұйымдастыру кезеңінде белсенділік танытқан оқушыларды «Мадақтау сөз» әдісіарқылы бағалайды: «Жарайсың! Жақсы! Өте жақсы! Талпын!» |
Түрлі түсті қима қағаздар
|
||
|
Сабақтың ортасы |
Қасиеттері:
Мысал-1: Мысал-2: Мысал-3: Мысал-4: Мысал-5: Салыстырыңдар: 3. №61 есеп (Н.Я.Виленкин)
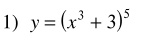
Амалдардыорындаңдар: а) =
б
в
|
|
Дескриптор: -1-ші сұраққа жауап береді. 1-балл -2-ші сұраққа жауап береді. 1-балл -3-ші сұраққа жауап береді. 1-балл
Әрбір дұрыс жауапка 1 балл қойылады
|
ДК экраны
Сұрақтар топтамасы.
Оқулық 11-сынып.
|
||
|
Сабақтың соңы |
Рефлексия. Не үйрендім? Нені түсіндім, нені түсінбедім? Жеке жұмыс жасаған тиімді ме әлде жұппен жұмыс жасаған тиімді ме? сұрақтарына оқушылардан жауап аламын. Үй жұмысы.
|
1) Санды дәрежеге шығаруға кері амал бар ма? 2) а санының квадрат түбірідеген не? 3) 49 санының квадрат түбірінешегетең? 4) 27 саныныңүшіншідәрежелітүбірінешегетең? 5) 256 саныныңтөртіншідәлежелітүбірінешегетең? 6) 243 саныныңбесіншідәрежелітүбірінешегетең? 7) а санының n-шідәрежелітүбірідеген не?
|
Бағалау. Оқушылар бір-бірін ауызша критерий бойынша бағалайды. - Кейбір оқушыларға мұғалім тарапынан кері байланыс беріледі.
|
|
Тексерілді:
|
Бөлім: |
Дәрежелер мен түбірлер. Дәрежелік функция |
||
|
Педагогтің аты-жөні: |
Абдуллаева Д |
||
|
Күні: |
11.11.24 |
||
|
Сыныбы: 11ә |
Қатысушылар саны: Қатыспағандар саны: |
||
|
Сабақтың тақырыбы: |
Рационал көрсеткішті дәреже. Рационал көрсеткішті дәрежесі бар өрнектерді түрлендіру |
||
|
Оқу бағдарламасына сәйкес оқыту мақсаты |
11.2.1.3 - рационал көрсеткішті дәреже анықтамасын және қасиеттерін білу; 11.2.1.4 – алгебралық өрнектерді түрлендіру үшін рационал көрсеткішті дәреже қасиеттерін қолдану; |
||
|
Сабақтың мақсаты: |
- рационал көрсеткішті дәреже анықтамасын және қасиеттерін біледі; – алгебралық өрнектерді түрлендіру үшін рационал көрсеткішті дәреже қасиеттерін қолданады; |
||
|
Құндылықтарды дарыту |
«Жалпыға бірдей еңбек қоғамы» құндылығына: Топпен, жұппен жұмыс орындау барысында құрмет, серіктестік және жеке жұмыс орындау кезінде жауапкершілік, үздіксіз оқу құндылықтарын дарыту. |
|
|
Сабақтың барысы:
|
Сабақ кезеңі/Уақыты |
Педагогтың іс әрекеті |
Оқушының іс-әрекеті |
Бағалау |
Ресурстар |
|
Сабақтың басы |
Ұйымдастыру. Амандасу.Оқушылардың зейіндерін сабаққа аудару. Үй тапсырмасын тексеру Өткен тақырыпты еске түсіру
мақсатында жеке тапсырма алынады, тез тексеріліп, оқушыларға
керібайланыс беріледі. А
|
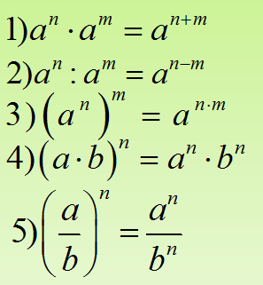
Өткенді қайталау. Миға шабуыл Сұрақтар: 1. Жазба нені білдіреді ап 2. а дегеніміз не? 3. п дегеніміз не? 4. а-п =? 5. Бүтін санмен берілген дәреженің қасиеттерін дәптерге жазып көрсетіңіз. 6. Қандай сандар натурал, бүтін санға, рационалға жатады? Эйлер шеңберлерінің көмегімен оларды сызыңыз. |
Мұғалім ұйымдастыру кезеңінде белсенділік танытқан оқушыларды «Мадақтау сөз» әдісіарқылы бағалайды: «Жарайсың! Жақсы! Өте жақсы! Талпын!» |
Түрлі түсті қима қағаздар
|
|
Сабақтың ортасы |
Мұғалім рационал көрсеткішті дәреже ұғымын таныстырады, және қарапайым есептер береді. Оқушылар жұптарда жұмыс жасайды, және тақтада есептер талқыланады. Анықтама. 1-мысал.
1) 2-мысал. Қайсы өрнектердің мағынасы бар?
3-мысал.Салыстырыңыздар:
4-мысал. Өрнектерді ықшамдаңдар:
Рационал көрсеткішті дәреженің қасиеттерін мұғалім көмегімен оқушылар дәлелдейді. Егер
сандары үшін
теңдіктері орындалады. Жұптарға бөлу. Оқушыларға кезкелген бір карточка алуға ұсынылады. Сәйкестендіру арқылы оқушылар жұптарға бөлінеді.
І. Формативті бағалау жүргізуге өзіндік жұмыс
ІІ. Рационал дәрежесі бар өрнектерді ықшамдау дағдыларын қалыптастыру мақсатында келесі есептерді топтарда қарастырады. |
Егер
1-мысалды талдап көрейік: бесінші дәреженің түбірі түрінде рационалды индикаторы бар дәреже жазыңыз: 1) Шешуі1) 2)
3,7-0,7= 3)
Жеке жұмыс Әр оқушы жеке отырып қосымша 2 тапсырмасын орындайды. Егер тапсырманы орындауда қиындықтар туындап жатса, қасындағы сыныптастарынан көмек сұрауына болады. Бағалау Дайын жауаптары бойынша оқушылар даптерлерімен ауысып бірін – бірі тексереді.
Оқушылар сол жұптарында келесі есептерді шығарады. Ал мұғалім әр топтың іс-қыймылын бақылайды. Өрнекті ықшамдаңыздар: a) b)
c)
d) e)
а) b)
c) d) |
Дескриптор: -1-ші сұраққа жауап береді. 1-балл -2-ші сұраққа жауап береді. 1-балл -3-ші сұраққа жауап береді. 1-балл Әрбір дұрыс жауапка 1 балл қойылады
|
ДК экраны Сұрақтар топтамасы. Оқулық 11-сынып.
|
|
Сабақтың соңы |
Үйге тапсырма:
|
Рефлексия.
Әріқарайменіңбілгімкелетінім… Сабақта белсенді болған оқушыларды бағалау |
Бағалау. Оқушылар бір-бірін ауызша критерий бойынша бағалайды. - Кейбір оқушыларға мұғалім тарапынан кері байланыс беріледі. |
|
Тексерілді:
|
Бөлім: |
Дәрежелер мен түбірлер. Дәрежелік функция |
||
|
Педагогтің аты-жөні: |
Абдуллаева Д |
||
|
Күні: |
13.11.24 |
||
|
Сыныбы: 11ә |
Қатысушылар саны: Қатыспағандар саны: |
||
|
Сабақтың тақырыбы: |
Рационал көрсеткішті дәреже. Рационал көрсеткішті дәрежесі бар өрнектерді түрлендіру |
||
|
Оқу бағдарламасына сәйкес оқыту мақсаты |
11.2.1.3 - рационал көрсеткішті дәреже анықтамасын және қасиеттерін білу; 11.2.1.4 – алгебралық өрнектерді түрлендіру үшін рационал көрсеткішті дәреже қасиеттерін қолдану; |
||
|
Сабақтың мақсаты: |
- рационал көрсеткішті дәреже анықтамасын және қасиеттерін біледі; – алгебралық өрнектерді түрлендіру үшін рационал көрсеткішті дәреже қасиеттерін қолданады; |
||
|
Құндылықтарды дарыту |
«Жалпыға бірдей еңбек қоғамы» құндылығына: Топпен, жұппен жұмыс орындау барысында құрмет, серіктестік және жеке жұмыс орындау кезінде жауапкершілік, үздіксіз оқу құндылықтарын дарыту. |
|
|
Сабақтың барысы:
|
Сабақ кезеңі/Уақыты |
Педагогтың іс әрекеті |
Оқушының іс-әрекеті |
Бағалау |
Ресурстар |
||||||||||||||||||||||||
|
Сабақтың басы |
Өткен тақырыпты еске түсіру мақсатында жеке тапсырма алынады, тез тексеріліп, оқушыларға кері байланыс беріледі.
3. Сабақтың тақырыбы мен мақсатын таңыстыру. Сабақтың мақсаты мен бағалау критерийлерін оқушылармен бірге талқыланады |
Білімді жаңарту. Рационал көрсеткішті дәреже қасиеттерін қайталау. Оқушылар сәйкестендіруге арналған тапсырманы орындайды, содан кейін мұғалім оқушыларды жұпқа біріктіреді. Сәйкестендір:
ЖАУАПТАРЫ:А-3 ,5 1 6 4 2
|
Мұғалім ұйымдастыру кезеңінде белсенділік танытқан оқушыларды «Мадақтау сөз» әдісіарқылы бағалайды: «Жарайсың! Жақсы! Өте жақсы! Талпын!»
|
Түрлі түсті қима қағаздар
|
||||||||||||||||||||||||
|
Сабақтың ортасы
|
Білімді жаңарту. Рационал көрсеткішті дәреже қасиеттерін қайталау. Оқушылар сәйкестендіруге арналған тапсырманы орындайды, содан кейін мұғалім оқушыларды жұпқа біріктіреді. Оқылған материалды бекіту үшін, оқушыларға өзін-өзі тексеруге арналған өздік жұмыс ұсыныңыз. Нұсқа 1
а) 2.
Өрнектіықшамдаңыз: 3.
Өрнектіықшамдаңыз: Нұсқа2
(х> 0): а) 2.
Өрнектіықшамдаңыз: 3.
Өрнектіықшамдаңыз: Жауабы: Нұсқа 1 1.
а) Нұсқа 2 1.
а) 3) Өрнекті ықшамдаңыз:.
4) Өрнекті ықшамдаңыз:
Жауаптары: 1.а) 2.а) 8; б) 5. 3. 4. Дескрипторлар:
|
Жұптық жұмыс. Деңгейлік тапсырмалар. Оқушылар тапсырманы өздігінен таңдап, есепті шығарып,тексереді.Дұрыс жауап арқылы өзін өзі бағалау. Оқушылар тапсырманы орындағаннан кейін жауаптарын тексереді және де бір бірін оқыту мақсатында өзінің шығарған есебін көршілесіне түсіндіріп береді 1) Өрнекті х санының дәрежесі ретінде көрсетіңіз: а) 2) Есептеңіз: а) 3) Өрнекті ықшамдаңыз:.
4) Өрнекті ықшамдаңыз:
Жауаптары: 1.а) 2.а) 8; б) 5. 3. 4. Дескрипторлар:
Бағалау: Дайын жауаптар арқылы тексеру. Бірінші жұмысты орындап қойған оқушылар жанындағы оқушыға тексеруге көмектеседі..Мұғалім мүмкіндігінше әрбір оқушымен кері байланыс жасайды. Жұптық жұмыс. Деңгейлік тапсырмалар. Оқушылар тапсырманы өздігінен таңдап, есепті шығарып,тексереді.Дұрыс жауап арқылы өзін өзі бағалау. Оқушылар тапсырманы орындағаннан кейін жауаптарын тексереді және де бір бірін оқыту мақсатында өзінің шығарған есебін көршілесіне түсіндіріп береді 1) Өрнекті х санының дәрежесі ретінде көрсетіңіз: а) 2) Есептеңіз: а)
Жеке жұмыс
Дескрипторлар:
Бағалау: Дайын жауаптар арқылы тексеру. Бірінші жұмысты орындап қойған оқушылар жанындағы оқушыға тексеруге көмектеседі..Мұғалім мүмкіндігінше әрбір оқушымен кері байланыс жасайды. |
Дескриптор: -1-ші сұраққа жауап береді. 1-балл -2-ші сұраққа жауап береді. 1-балл -3-ші сұраққа жауап береді. 1-балл
Әрбір дұрыс жауапка 1 балл қойылады
|
ДК экраны
Сұрақтар топтамасы.
Оқулық 11-сынып.
|
||||||||||||||||||||||||
|
Сабақтың соңы |
Сабақты қорытындылау. Оқушылар бір-біріне түсіндіреді, бір-бірін бағалайды. Оқушылардан кері байланыс алу үшін стикерлер таратамыз: Рефлексия Мен.........................................таныстым. Маған ...................... оңай болған жоқ. Мен .................................... меңгердім. Менің ....................... үйренгім келеді. Мен ............................ есте сақтадым.
Үй тапсырмасы:
|
Өрнекті рационал көрсеткішті дәреже түріне келтіріп ықшамдаңдар :
Бағалау: өзін-өзі дайын жауаппенөзін-өзі бағалау Дескриптор: - алгебралық өрнектерді түрлендіру үшін рационал көрсеткішті дәреженің қасиеттерін қолданады; - рационал көрсеткішті дәрежемен берілген алгебралық өрнекті n-ші дәрежелі түбірмен жазады; - өрнектің мәнін табады. |
Бағалау. Оқушылар бір-бірін ауызша критерий бойынша бағалайды. - Кейбір оқушыларға мұғалім тарапынан кері байланыс беріледі.
|
|
||||||||||||||||||||||||
Тексерілді:
|
Бөлім: |
Дәрежелер мен түбірлер. Дәрежелік функция |
||
|
Педагогтің аты-жөні: |
Абдуллаева Д |
||
|
Күні: |
15.11.24 |
||
|
Сыныбы: 11ә |
Қатысушылар саны: Қатыспағандар саны: |
||
|
Сабақтың тақырыбы: |
Иррационал өрнектерді түрлендіру |
||
|
Оқу бағдарламасына сәйкес оқыту мақсаты |
11.2.1.5 - иррационал өрнектерді түрлендіру үшін n-ші дәрежелі түбір қасиеттерін қолдану |
||
|
Сабақтың мақсаты: |
иррационал өрнектерді түрлендіру үшін n-ші дәрежелі түбір қасиеттерін қолданады |
||
|
Құндылықтарды дарыту |
«Жалпыға бірдей еңбек қоғамы» құндылығына: Топпен, жұппен жұмыс орындау барысында құрмет, серіктестік және жеке жұмыс орындау кезінде жауапкершілік, үздіксіз оқу құндылықтарын дарыту. |
|
|
Сабақтың барысы:
|
Сабақ кезеңі/Уақыты |
Педагогтың іс әрекеті |
Оқушының іс-әрекеті |
Бағалау |
Ресурстар |
|
Сабақтың басы |
Сыныпты ұйымдастыру. Оқушылармен сәлемдесу. Сынып тазалығына назар аудару. Оқушылардың сабаққа дайындығын тексеру.
2. Сабақтың мақсаты мен бағалау критерийлерін оқушылармен бірге талқылау. |
Актуалдау. Дөңгелек стол әдісі.
Иррационал санды түрлендіру
Оқушылар «Иррационал өрнектерді түрлендіру» тақырыбына байланысты өздері білетін ақпараттарды топта талқылап, өз пікірлерін ортақ қағазға жазады да, келесі сол жағындағы қатысушыға жылжытады. Сөйтіп, топтың әр мүшесінің қатысқаны белгілі болады. Барлық жанұялар лидерлері жанұяда жазғандары бойынша класта презентация жасайды. Дескриптор.Оқушы: -барлық ақпараттарды жинақтайды; -парақты жылжытып, өз пікірлерін жазады; -класста презентация жасайды |
Мұғалім ұйымдастыру кезеңінде белсенділік танытқан оқушыларды «Мадақтау сөз» әдісіарқылы бағалайды: «Жарайсың! Жақсы! Өте жақсы! Талпын!» |
Түрлі түсті қима қағаздар
|
|
Сабақтың ортасы |
Сабақта сыни ойлаудың күрделендіру қағидасы басымдық табады.
Жаңа материал. Білу және түсіну. 1. Теориялық материалды bilimland сайтының бейнебаянымен түсіндіріледі. Рационал көрсеткішті дәреже қасиеттері ұсынылады және мұғалім әрбір қасиетке мысал тақтада көрсетеді.
2. Қасиеттерді қолданып есептер шығаруға дағдыландыру үшін әрбір оқушыға екі есептен ұсынылады және тақтаға шығып өз есептерінің шығару жолымен бөліседі. Бағалау: мұғалімнің бағалауы орын алады. Дескриптор
3. Жұптық тапсырма орындалады. Сәйкестендіруді орындау арқылы, рационал сан терминімен тығыз байланысты ғалымның атын табады. Ғалым туралы оқушылармен бірге диалог орнатады. Бағалау: бір-бірін бағалау орын алады, шықпаған есептерін бір-біріне түсіндіреді. Дескриптор
4. Оқушылар жеке тапсырманы орындайды. Есептеу жұмысын орындап, сандарды өсу ретімен орналастыруы керек. Бағалау: критерийі бойынша мұғалім өзі тексереді. Дескриптор
|
Жұптық жұмыс.Галерея әдісі. Оқушылар жіптің екі ұшы арқылы жұптасады. Кабинеттің әр бұрышына төмендегі есептер ілінеді. Жұптар галереяны аралап жүріп, сол есептерді шығарады. Есептеңіз: 1)
4)
Дескриптор.Оқушы: -күрделі түбір қасиетін қолданады; -қысқаша көбейту формулаларын қолданады; -өрнектің мәнін табады.
Жауабы:
Бағалау: Барлық жұп есептерді аяқтағаннан соң бір бірімен салыстырып, тақтадағы дұрыс жауаптар арқылы өзара дәптер алмастырып, тексереді. Жеке жұмыс.Өзіндік жұмыс.
Дескриптор.Оқушы: -көбейткішке жіктейді; -иррационалдықтан құтылады; -өрнекті ықшамдайды.
Жауабы:
|
Дескриптор: -1-ші сұраққа жауап береді. 1-балл -2-ші сұраққа жауап береді. 1-балл -3-ші сұраққа жауап береді. 1-балл Әрбір дұрыс жауапка 1 балл қойылады
|
ДК экраны Сұрақтар топтамасы. Оқулық 11-сынып.
|
|
Сабақтың соңы |
1.Тақырыпты қорытындылау кезеңінде сын тұрғысынан ойлау дағдыларын дамыту мақсатында INSERT техникасын қолданамын.
2. Бағалау. Жеке жұмыс бағалау критерийлері негізінде мұғалім тарапынан бағаланады. 3. Оқушыларға мұғалім тарапынан кері байланыс беріледі. 4. Үйге тапсырма:оқулықтан 251-тапсырма. Өрнекті ықшамдаңыз: |
|
Бағалау. Оқушылар бір-бірін ауызша критерий бойынша бағалайды. - Кейбір оқушыларға мұғалім тарапынан кері байланыс беріледі. |
|
Пән: Алгебра
Қысқа мерзімді жоспар №6-сабак
|
Бөлім: Дәрежелер мен түбірлер. Дәрежелік функция |
Мектеп: |
|
Педагогтің аты-жөні: |
|
|
Күні: |
|
|
Сыныбы: 11 |
Қатысушылар саны: Қатыспағандар саны: |
|
Сабақтың тақырыбы: |
Иррационал өрнектерді түрлендіру |
|
Оқу бағдарламасына сәйкес оқыту мақсаты |
11.2.1.5 - иррационал өрнектерді түрлендіру үшін n-ші дәрежелі түбір қасиеттерін қолдану |
|
Сабақтың мақсаты: |
иррационал өрнектерді түрлендіру үшін n-ші дәрежелі түбір қасиеттерін қолданады |
Сабақтың барысы:
|
Сабақ кезеңі/Уақыты |
Педагогтың іс әрекеті |
Оқушының іс-әрекеті |
Бағалау |
Ресурстар |
||||||||||||||||||||
|
Сабақтың басы |
Оқушылардың сабаққа дайындығын тексеру, зейінін сабаққа аудару. Ұ Презентацияда алдыңғы сабақта өтілген n-ші дәрежелі түбір қасиеттерін қайталату. Анықтамадан шығатын қасиеттер:
Арифметикалық амалдарға қатысты қасиеттер:
Жаңа сабақтың тақырыбы мен мақсатын айту |
Бағалау: Тақтадағы дұрыс жауаптар арқылы РОТАЦИЯ әдісімен өзара тексереді. Дифференциация тапсырмасы. №118 Егер
Жауабы:
Дескриптор.Оқушы: -өрнекті квадраттап, түбірге алады; -бүтін көрсеткішті дәреже қасиеттерін қолданады; -өрнектің мәнін табады. Бағалау: тақтадағы жауап бойынша өздерін бағалайды. |
Мұғалім ұйымдастыру кезеңінде белсенділік танытқан оқушыларды «Мадақтау сөз» әдісіарқылы бағалайды: «Жарайсың! Жақсы! Өте жақсы! Талпын!» |
Түрлі түсті қима қағаздар
|
||||||||||||||||||||
|
Сабақтың ортасы |
Мұғалім тақтада оқушыларға презентация арқылы көрсетеді Иррационал өрнектерді ықшамдауда келесі әдістер қолданылады:
Ұ Мұғалім тақтада талдайды Мысал –есеп№1: х-тің қандай
мәндерінде Шешуі:
Мысал-есеп №2: х-тің қандай
мәндерінде Шешуі:
Мысал-есеп№3: Өрнекті
ықшамдаңыз: Шешуі:
Мысал-есеп
№4: Шешуі:
Мысал-есеп №5: Түбір астына
енгізіңіз: Шешуі:
|
Жекелей жұмыс Мақсаты: n-ші дәрежелі түбір қасиеттерін қайталау https://learningapps.org/5444937 тапсырмаларын орындау Бағалау: дұрыс жауап саны бойнша өзін- өзі «Басбармақ» әдісімен бағалайды
Мақсаты: n-ші дәрежелі түбір астына енгізу, түбір алдына шығару қасиеттерін қолданып өрнектерді түрлендіре алу егер
n
– жұп болса,
онда х
= егер
n– тақ болса,
онда егер
n– тақ, онда
у егер n – жұп, онда Топтық жұмыс ЖИГСО 1-айналым: әр оқушы өз номері бойынша тапсырманы орындайды 2-айналым: оқушылар өз номері бойынша жаңа топтарға бірігіп тапсырманы талдайды 3- айналым: оқушылар бастапқы топқа жиналып өз тапсырмаларын топтағы оқушыларымен талдайды
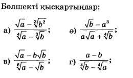
Топтық жұмыс Бөлшектің бөлімінде Мақсаты: n-ші дәрежелі түбір қасиеттерін өрнектерді түрлендіруде қолдан алу
Г) Дескриптор
Бөлшекті қысқартады |
Дескриптор: -1-ші сұраққа жауап береді. 1-балл -2-ші сұраққа жауап береді. 1-балл -3-ші сұраққа жауап береді. 1-балл
Әрбір дұрыс жауапка 1 балл қойылады
|
ДК экраны
Сұрақтар топтамасы.
Оқулық 11-сынып.
|
||||||||||||||||||||
|
Сабақтың соңы |
Бекіту үшін «Иррационал –өрнектерді түрлендіру марафоны» жарысын өткізу. Оқушыларға үлестірме тапсырмаларды беру. Бұл тапсырмаларды оқушылар жеке орындап, мұғалімге тексеруге әкеліп, дұрыс жауапқа жасыл жетон, ал қателескені үшін сары жетон алады, ал қате жауап үшін ештеңе алмайды, мұғалімнің кері байланысы / қолдауынан кейін қайтадан тапсырманы тексертіп, әрі қарай жылжиды. Соңында жетондар қосылады. Кері байланыс беріледі.
|
Жұптық жұмыс Мақсаты: n-ші дәрежелі түбір қасиеттерін өрнектерді түрлендіруде қолдана білу ( бөлшектің бөліміндегі иррационалдықтар арылу)
Дескриптор:
n-ші дәрежелі түбір қасиеттерін дұрыс қолданады Жұптардың критерий бойынша бірін-бірі бағлауы Қосымша тапсырма: Барлық тапсырманы орындап болған оқушыға қосымша ретінде беруге болады.
Өрнекті
ықшамдаңыз:
|
Бағалау. Оқушылар бір-бірін ауызша критерий бойынша бағалайды. - Кейбір оқушыларға мұғалім тарапынан кері байланыс беріледі.
|
|
||||||||||||||||||||
Пән: Алгебра
Қысқа мерзімді жоспар №7-сабак
|
Бөлім: Дәрежелер мен түбірлер. Дәрежелік функция |
Мектеп: |
|
Педагогтің аты-жөні: |
|
|
Күні: |
|
|
Сыныбы: 11 |
Қатысушылар саны: Қатыспағандар саны: |
|
Сабақтың тақырыбы: |
Иррационал өрнектерді түрлендіру |
|
Оқу бағдарламасына сәйкес оқыту мақсаты |
11.2.1.5 - иррационал өрнектерді түрлендіру үшін n-ші дәрежелі түбір қасиеттерін қолдану |
|
Сабақтың мақсаты: |
иррационал өрнектерді түрлендіру үшін n-ші дәрежелі түбір қасиеттерін қолданады |
Сабақтың барысы:
|
Сабақ кезеңі/Уақыты |
Педагогтың іс әрекеті |
Оқушының іс-әрекеті |
Бағалау |
Ресурстар |
|
Сабақтың басы |
Есептің дұрыстығын оқушылар тақтаға шығу арқылы тексеріп, мұғалім тарапынан кері байланыс беріледі. |
Үй тапсырмаларын тексеру: Оқушылардың есептерінің жауаптарын көршілес отырған оқушыға алмастыру арқылы тексеру. Есептің жауаптары презентацияда көрсетіледі.
Сабақтың тақырыбы мен мақсатымен таныстыру.
Мәселе сұраққа жауап нәтижесінде оқушылардың көмегімен бүгінгі сабақтың тақырыбы, оған сәйкес мақсаты және күтілетін нәтижесі анықталады. Оқушылар өздерінің ойларынша анықтама мен түбірдің қасиеттерін шығарады. Тақырыптың мағынасын
ашу үшін презентация арқылы негізгі анықтама мен иррационал
өрнектерді түрлендіруге арналған тапсырма
көрсетіледі. |
Мұғалім ұйымдастыру кезеңінде белсенділік танытқан оқушыларды «Мадақтау сөз» әдісіарқылы бағалайды: «Жарайсың! Жақсы! Өте жақсы! Талпын!» |
Түрлі түсті қима қағаздар
|
|
Сабақтың ортасы |
Оқушыларды жұпқа біріктіріңіз. Оқушыларға үлгідегі, кейіннен өзін-өзі тексеретін тапсырманы ұсыныңыз. Жауаптарын слайдта беруге болады. Тапсырма 1. Ықшамдаңыз: а) Тапсырма 2. Бөлшек бөлімін
иррационалдықтан арылтыңыз: Тапсырма 3. Өрнектің мәнін
табыңыз тапсырма. Көбейткішті түбір таңбасының алдына шығарыңыз.
2 тапсырма. Көбейткішті түбір таңбасының астына енгізіңіз:
Дескрипторы:
n- шідәрежелікөрнектердіңтүбірастынаеңгізеалады |
Жұптық жұмыс Саралау түрі Оқушылардың білу, түсіну және қолдану дағдыларын тексеретін қарапайымнан күрделіге көшуге жұмысы Тапсырма № 1 Оқушылар жұп болып жұмыс істейді. Есептерді шығарып, қиықшаларын ауыстырып, бір-бірін тексереді.(қосымша 1)
Тексеру дайын жауаптар мен жүргізіледі. Одан кейін оқушылар жұпта бір біріне есептің шешу жолын түсіндіреді. Бағалау: өзін-өзі бағалау, мұғалімнің бағалауы Кері байланыс:
|
Дескриптор: -1-ші сұраққа жауап береді. 1-балл -2-ші сұраққа жауап береді. 1-балл -3-ші сұраққа жауап береді. 1-балл Әрбір дұрыс жауапка 1 балл қойылады
|
ДК экраны Сұрақтар топтамасы. Оқулық 11-сынып.
|
|
Сабақтың соңы |
.Өрнектердің мәнін
табыңыз:
2.Өрнекті негізі х болатын дәреже түрінде көрсетіңіз:
3.Өрнектердіықшамдаңыз: а) б) Бағалау: өзін-өзі бағалау, мұғалімнің бағалауы Кері байланыс:
|
Сабақтын мақсаты: n-інші дәрежелі түбірдің мәнін анықтамасы бойынша есептеу және сандық өрнектердің мәндерін табу үшін n-інші дәрежелі түбірдің қасиеттерін қолдану. Оқушылар сабақтағы іс-әрекеттеріне талдау жасап, сабақтың мақсатына жеткендіктерін ауызша анықтайды.
|
Бағалау. Оқушылар бір-бірін ауызша критерий бойынша бағалайды. - Кейбір оқушыларға мұғалім тарапынан кері байланыс беріледі. |
|
Пән: Алгебра
Қысқа мерзімді жоспар №8-сабак
|
Бөлім: Дәрежелер мен түбірлер. Дәрежелік функция |
Мектеп: |
|
Педагогтің аты-жөні: |
|
|
Күні: |
|
|
Сыныбы: 11 |
Қатысушылар саны: Қатыспағандар саны: |
|
Сабақтың тақырыбы: |
Дәрежелік функция, оның қасиеттері мен графигі |
|
Оқу бағдарламасына сәйкес оқыту мақсаты |
11.3.1.10 – нақты көрсеткішті дәрежелік функция анықтамасын білу, дәреже көрсеткішіне тәуелді дәрежелік функция графигін салу; 11.3.1.11 – дәрежелік функция қасиеттерін білу; |
|
Сабақтың мақсаты: |
– нақты көрсеткішті дәрежелік функция анықтамасын біледі, дәреже көрсеткішіне тәуелді дәрежелік функция графигін салады; – дәрежелік функция қасиеттерін біледі; |
Сабақтың барысы:
|
Сабақ кезеңі/Уақыты |
Педагогтың іс әрекеті |
Оқушының іс-әрекеті |
Бағалау |
Ресурстар |
||||||||||||||||||||||||||||||||||||||||||||||||||||||||||||||||||||||||||||||||||||||||||||||||
|
Сабақтың басы |
.Оқушылармен амандасу. Жағымды ахуал туғызу. 2. Қайталау.Bilimland (2 мин) Өткен тақырыпты еске түсіру сұрақтары: -иррационал өрнек дегеніміз не? -иррационал теңдеу дегеніміз не? -иррационал теңдеулерді шешудің қандай тәсілін қарастырдық? -иррационал теңдеуді шешуде Бөгде түбір деп нені атадық? 3.Тақырыпты, сабақ мақсатын, бағалау критерийлерін анықтау. Сабақтың тақырыбы мен оқу мақсатын баяндау, Дәрежелік функция және оның қасиеттері. |
|
Мұғалім ұйымдастыру кезеңінде белсенділік танытқан оқушыларды «Мадақтау сөз» әдісіарқылы бағалайды: «Жарайсың! Жақсы! Өте жақсы! Талпын!» |
Түрлі түсті қима қағаздар
|
||||||||||||||||||||||||||||||||||||||||||||||||||||||||||||||||||||||||||||||||||||||||||||||||
|
Сабақтың ортасы |
Жаңа сабақ Анықтама. f (x) = axα (x>0) түріндегі функцияны дәрежелік функция деп атайды, мұндағы α және a– берілген нақты сандар. Дәрежелік функцияның қасиеттері:
1°. Дәрежелік функция тек оң
мәндер ғана қабылдайды, яғни әрбір
2°. Көрсеткіші оң дәрежелік
функция бірсарынды өспелі болады, яғни
3°. Көрсеткіші теріс дәрежелік
функция бірсарынды кемімелі болады,
яғни
І. Егер
1)
Топтық жұмыс Аталған қасиеттерге
сүйеніп,
Дескриптор: - анықталу облысын, мәндерінің жиынын табады -жұп және тақтылығын анықтайды -функцияның нөлдерін және өсу, кему аралықтарын табады; -ең үлкен және ең кіші мәндерін, таңба тұрақтылық аралықтарын анықтайды.
ІІ. Егер
Тапсырма.
Енді
Дескриптор: - анықталу облысын, мәндерінің жиынын табады -жұп және тақтылығын анықтайды -функцияның нөлдерін және өсу, кему аралықтарын табады; -ең үлкен және ең кіші мәндерін, таңба тұрақтылық аралықтарын анықтайды.
ІІІ. Егер
Тапсырма.
Енді
Дескриптор: - анықталу облысын, мәндерінің жиынын табады -жұп және тақтылығын анықтайды -функцияның нөлдерін және өсу, кему аралықтарын табады; -ең үлкен және ең кіші мәндерін, таңба тұрақтылық аралықтарын анықтайды.
Егер топта тапсырма бойынша қиындық туындаса, қысқаша жазулары бар карточканы ұсыныңыз.
Әр топ қасиеттерді түсіндіреді. Қасиеттерді жақсырақ түсіну үшін карточкалар бойынша тапсырмаларды орындауды ұсыныңыз. №152.
№153.
№154.
Дескриптор: - анықталу облысын, мәндерінің жиынын табады -жұп және тақтылығын анықтайды -функцияның нөлдерін және өсу, кему аралықтарын табады; -ең үлкен және ең кіші мәндерін, таңба тұрақтылық аралықтарын анықтайды. -графиктерін тұрғызады. |
|
Дескриптор: -1-ші сұраққа жауап береді. 1-балл -2-ші сұраққа жауап береді. 1-балл -3-ші сұраққа жауап береді. 1-балл
Әрбір дұрыс жауапка 1 балл қойылады
|
ДК экраны
Сұрақтар топтамасы.
Оқулық 11-сынып.
|
||||||||||||||||||||||||||||||||||||||||||||||||||||||||||||||||||||||||||||||||||||||||||||||||
|
Сабақтың соңы |
|
|
Бағалау. Оқушылар бір-бірін ауызша критерий бойынша бағалайды. - Кейбір оқушыларға мұғалім тарапынан кері байланыс беріледі.
|
|
||||||||||||||||||||||||||||||||||||||||||||||||||||||||||||||||||||||||||||||||||||||||||||||||
Пән: Алгебра
Қысқа мерзімді жоспар №9-сабак
|
Бөлім: Дәрежелер мен түбірлер. Дәрежелік функция |
Мектеп: |
|
Педагогтің аты-жөні: |
|
|
Күні: |
|
|
Сыныбы: 11 |
Қатысушылар саны: Қатыспағандар саны: |
|
Сабақтың тақырыбы: |
Дәрежелік функция, оның қасиеттері мен графигі |
|
Оқу бағдарламасына сәйкес оқыту мақсаты |
11.3.1.10 – нақты көрсеткішті дәрежелік функция анықтамасын білу, дәреже көрсеткішіне тәуелді дәрежелік функция графигін салу; 11.3.1.11 – дәрежелік функция қасиеттерін білу; |
|
Сабақтың мақсаты: |
– нақты көрсеткішті дәрежелік функция анықтамасын біледі, дәреже көрсеткішіне тәуелді дәрежелік функция графигін салады; – дәрежелік функция қасиеттерін біледі; |
Сабақтың барысы:
|
Сабақ кезеңі/Уақыты |
Педагогтың іс әрекеті |
Оқушының іс-әрекеті |
Бағалау |
Ресурстар |
||||||||||||||||||||||||||||||||||||||||||
|
Сабақтың басы |
Амандасу. Оқушылардың сабаққа дайындығын бақылау. Үй тапсырмасын тексеру. y=ax2,
y=ax3,
y=k/x функцияларының
графигі, Анықталу
облысын 2. Мүмкін мәндер
жиынын 3. Функция нөлдерін : 4. Таңба тұрақтылығын 5. Өсу, кему аралықтарын 6. Симметрия центрін |
Тест тапсырмалары (10мин) I нұсқа
А)
А) Натурал сандар жиыны В) Бүтін сандар жиыны С) Рационал сандар жиыны Д) Нақты сандар жиыны Е) Теріс емес сандар жиыны
А) I және II В) II және IV С) II және III Д)Iжәне III Е)Iжәне IV
А)Теріс емес сандар жиыны В) Бүтін сандар жиыны С) Натурал сандар жиыны Д) Нақты сандар жиыны Е) Рационал сандар жиыны
А)(2;16) В) (-2;32) С) (3; 243) Д) (-1;0) Е) (-4; -64)
А) (12; 144) В) (121; 11) С)
(121;
А) I және III В) II және IV С) II және III Д)Iжәне II Е)Iжәне IV
А) жоқ В) екі С) бір Д) үш Е) жеті
А) жоқ В) екі С) бір Д) үш Е) төрт
А)
|
Мұғалім ұйымдастыру кезеңінде белсенділік танытқан оқушыларды «Мадақтау сөз» әдісіарқылы бағалайды: «Жарайсың! Жақсы! Өте жақсы! Талпын!» |
Түрлі түсті қима қағаздар
|
||||||||||||||||||||||||||||||||||||||||||
|
Сабақтың ортасы |
Дескрипторлар: Оқушылар оқу мақсатына жетеді, егер -функцияның жұп тақтығын дұрыс анықтаса; -функция графигін дұрыс тұрғызса;
Дифференциация есебі: 1.Берілген функцияның анықталу облысын табыңдар:
2. Теңдеуді графиктік тәсілмен
шешу керек: |
Дәрежелік функция қасиеттері мен графигі тақырыбы бойынша оқушыларға берілетін сұрақтар. (Интерактивті тақтада) Кестемен жұмыс.
Сабақты бекіту есептері:
№152
Дескрипторлар: Оқушылар оқу мақсатына жетеді, егер -Бағдарламалық жасақтамаларда функциялардың графиктерін дұрыс тұрғызса; -Анықталу облысын дұрыс анықтаса; - Мүмкін мәндер жиынын дұрыс анықтаса ; - Функция нөлдерін дұрыс тапса; - Таңба тұрақтылығын дұрыс анықтаса; - Өсу, кему аралықтарын дұрыс анықтаса - Симметрия центрін дұрыс анықтаса.
|
Дескриптор: -1-ші сұраққа жауап береді. 1-балл -2-ші сұраққа жауап береді. 1-балл -3-ші сұраққа жауап береді. 1-балл
Әрбір дұрыс жауапка 1 балл қойылады
|
ДК экраны
Сұрақтар топтамасы.
Оқулық 11-сынып.
|
||||||||||||||||||||||||||||||||||||||||||
|
Сабақтың соңы |
Топтық жұмыс Оқушыларды n – дәреженің жұп , тақ болуына байланысты екіге бөлу. Geogebra және desmos.com программаларын қолданып, графиктерін салып, төменде берілгендерді табу: 1. Анықталу
облысын 2. Мүмкін мәндер
жиынын 3. Функция нөлдерін : 4. Таңба тұрақтылығын 5. Өсу, кему аралықтарын 6. Симметрия центрін
Дескрипторлар: Оқушылар оқу мақсатына жетеді, егер -Бағдарламалық жасақтамаларда функциялардың графиктерін дұрыс тұрғызса; -Анықталу облысын дұрыс анықтаса; - Мүмкін мәндер жиынындұрыс анықтаса ; - Функция нөлдерін дұрыс тапса; - Таңба тұрақтылығын дұрыс анықтаса; - Өсу, кему аралықтарын дұрыс анықтаса - Симметрия центрін дұрыс анықтаса.
|
Жеке жұмыс Саралау түрі Оқушылардың білу, түсіну және қолдану дағдыларын тексеретін қарапайымнан күрделіге көшуге жұмысы 1) Есептеңіз:
1) 4) 2) Сәйкестендіріңіз:
1.
2.
3.
4. Тексеру дайын жауаптар мен жүргізіледі. Одан кейін оқушылар жұпта бір біріне есептің шешу жолын түсіндіреді. Бағалау: өзін-өзі бағалау, мұғалімнің бағалауы Кері байланыс:
|
Бағалау. Оқушылар бір-бірін ауызша критерий бойынша бағалайды. - Кейбір оқушыларға мұғалім тарапынан кері байланыс беріледі.
|
|
Пән: Алгебра
Қысқа мерзімді жоспар №10-сабак
|
Бөлім: Дәрежелер мен түбірлер. Дәрежелік функция |
Мектеп: |
|
Педагогтің аты-жөні: |
|
|
Күні: |
|
|
Сыныбы: 11 |
Қатысушылар саны: Қатыспағандар саны: |
|
Сабақтың тақырыбы: |
Дәрежелік функция, оның қасиеттері мен графигі |
|
Оқу бағдарламасына сәйкес оқыту мақсаты |
11.3.1.10 – нақты көрсеткішті дәрежелік функция анықтамасын білу, дәреже көрсеткішіне тәуелді дәрежелік функция графигін салу; 11.3.1.11 – дәрежелік функция қасиеттерін білу; |
|
Сабақтың мақсаты: |
– нақты көрсеткішті дәрежелік функция анықтамасын біледі, дәреже көрсеткішіне тәуелді дәрежелік функция графигін салады; – дәрежелік функция қасиеттерін біледі; |
Сабақтың барысы:
|
Сабақ кезеңі/Уақыты |
Педагогтың іс әрекеті |
Оқушының іс-әрекеті |
Бағалау |
Ресурстар |
|
Сабақтың басы |
Ұйымдастыру кезеңі. Оқушылармен сәлемдесіп, назарларын сабаққа шоғырландыру. Сыныптағы оқушыларды түгендеу. ІІ.Оқушыларды сабақтың тақырыбы және мақсаттарымен таныстыру. Үй жұмысын тексеру.(мұғалімнің дайындаған дайын жауаптары арқылы оқушылар өзін-өзі тексеруге болады) Кері байланыс: 1) Үй тапсырмасын орындауда қандай қиындықтар туындады? 2) Қиындық туындаған кезеңдерден қандай жолмен шықтыңыз? 3) Тапсырманы толық орындау үшін қандай жұмыс жасау керек? |
Жұптық жұмыс
Дескрипторлар: Оқушылар оқу мақсатына жетеді, егер
Өздік жұмыс
Дескрипторлар: Оқушылар оқу мақсатына жетеді, егер -функцияның жұп тақтығын дұрыс анықтаса; -функция графигін дұрыс тұрғызса; Дифференциация есебі: 1.Берілген функцияның анықталу облысын табыңдар:
|
Мұғалім ұйымдастыру кезеңінде белсенділік танытқан оқушыларды «Мадақтау сөз» әдісіарқылы бағалайды: «Жарайсың! Жақсы! Өте жақсы! Талпын!» |
Түрлі түсті қима қағаздар
|
|
Сабақтың ортасы |
1-мысал.y = x2 (қызыл график), y = x4 (сары график) және y = x8 (көк график) функцияларының графиктерін қарастырайық. Берілген функциялардың анықталу облысы: (–∞;+∞). Берілген функциялардың мәндер жиыны: [0;+∞). Жұп функциялар, яғни графиктері Oy осіне қарағанда симметриялы. Функциялардың көрсеткіштері 2, 4 және 8-ге тең, яғни оң сандар. x> 0 болғанда функциялар өспелі болады.
2-мысал.
Функциялардың
көрсеткіштері
3-мысал. (көк график) функциялардың анықталу облысы [0;+∞), ал мәндер жиыны (0;+∞). Функциялардың
көрсеткіштері
V.Жаңа тақырыпты бекіту
Оқушылар жауапты негіздейді, өзара талқылайды.Мұғалім жетелеуші сұрақтар қояды. Жауабы:1.- В 2.- Ж3.
у |
Жұптық жқмыс 1-жаттығу Суреттерде қандай функциялардың графиктері салынғанын анықтаңыз. Берілген функциялардың анықталу облысы мен мәндерінің облысын табыңыз.
2-жаттығу Егер
f
(x) =
x–4
және
a) B нүктесі y = f (x) функциясының графигіне тиісті b) A нүктесі y = f (x) функциясының графигіне тиісті 3-жаттығу f
(x) =
x–7
және
f(–4)g (–4) f(0,99)g (0,99) f(–1)g (–1) f(–2)g (–2) 4-жаттығу x∈ (0; +∞) аралығындаберілгенфункцияныңөспелі не кемімеліболатынынкөрсет. a)
d)
g) Бағалау: өзін-өзі бағалау, мұғалімнің бағалауы Кері байланыс:
А
С Е З
|
Дескриптор: -1-ші сұраққа жауап береді. 1-балл -2-ші сұраққа жауап береді. 1-балл -3-ші сұраққа жауап береді. 1-балл Әрбір дұрыс жауапка 1 балл қойылады
|
ДК экраны Сұрақтар топтамасы. Оқулық 11-сынып.
|
|
Сабақтың соңы |
Тапсырма № 1 у=х5 натурал көрсеткіштік функциясының анықталу облысын, функцияның нөлдерін, жұп немесе тақтығын, өсу және кему ралықтарын, ең үлкен және ең кіші мәндерін анықтайық. Шешуі: n=5 натурал сан, y=x5 - натурал көрсеткішті функция.
Тапсырма № 2 у=f(x) функциясының түрін анықтап, анықталу облысын табыңыздар:
b) анықталу облысы x € N (барлық нақты сандар жиыны)
b) анықталу облысы x € N (барлық нақты сандар жиыны)
b) анықталу облысы x € N (барлық нақты сандар жиыны)
b) [0;+∞)
b) [0;+∞)
b) [0;+∞) |
Үй жұмысы: Тапсырма. Графигімен берілген функцияның формуласын жазыңыз. Қасиеттерін сипаттаңыз.
Сабақ соңында оқушылар ауызша рефлексия жүргізеді: Нені үйрендіңіздер? Бұлсабақта қай тапсырма қиын, қай тапсырмаоңай орындалды? Ойланыңыз: сіздергене қайталау қажет? |
Бағалау. Оқушылар бір-бірін ауызша критерий бойынша бағалайды. - Кейбір оқушыларға мұғалім тарапынан кері байланыс беріледі. |
|
Пән: Алгебра
Қысқа мерзімді жоспар №11-сабак
|
Бөлім: Дәрежелер мен түбірлер. Дәрежелік функция |
Мектеп: |
|
Педагогтің аты-жөні: |
|
|
Күні: |
|
|
Сыныбы: 11 |
Қатысушылар саны: Қатыспағандар саны: |
|
Сабақтың тақырыбы: |
Нақты көрсеткішті дәрежелік функцияның туындысы мен интегралы |
|
Оқу бағдарламасына сәйкес оқыту мақсаты |
11.3.1.12 - нақты көрсеткішті дәрежелік функцияның туындысын табу ережелерін білу және қолдану; 11.3.1.13 - нақты көрсеткішті дәрежелік функцияның интегралын табу ережелерін білу және қолдану; |
|
Сабақтың мақсаты: |
- нақты көрсеткішті дәрежелік функцияның туындысын табу ережелерін біледі және қолданады; - нақты көрсеткішті дәрежелік функцияның интегралын табу ережелерін біледі және қолданады; |
Сабақтың барысы:
|
Сабақ кезеңі/Уақыты |
Педагогтың іс әрекеті |
Оқушының іс-әрекеті |
Бағалау |
Ресурстар |
|
Сабақтың басы |
. Қайталау сұрақтары:
1)
Дәрежелік функция дегеніміз не? (y = a 1°.Дәрежелік функция тек оң мәндер қабылдайды, яғни,
әрбір х
∈(0;
+∞) және∝нақты сандары
үшін 2°.Көрсеткіші оң дәрежелік функция бірсарынды өспелі
болады, яғни 3°. Көрсеткіші оң дәрежелік функция бірсарынды кемімелі
болады, яғни 3)Нақты көрсеткішті дәрежелік
функцияның туындысын есептеу ережесі?
(y`
= ∝ |
Қайталау сұрақтары:
y
= II. Жұптық жұмыс: .Оқушылармен бірлесіп бағалау дескрипторы құрылады. №6. Анықталмаған интегралды есепте:
Дескриптор: 1)нақты көрсеткішті дәрежелік функцияның интегралын табу ережесін біледі; 2)нақты көрсеткішті дәрежелік функцияның интегралын табу ережесін қолданады; Оқушылар бағалау дескрипторы бойынша жұпта бір-бірін бағалайды. Мұғалім кері байланыс береді.
|
Мұғалім ұйымдастыру кезеңінде белсенділік танытқан оқушыларды «Мадақтау сөз» әдісіарқылы бағалайды: «Жарайсың! Жақсы! Өте жақсы! Талпын!» |
Түрлі түсті қима қағаздар
|
|
Сабақтың ортасы |
Жаңа материалды меңгеру Жаңа материалды өз беттерінше оқулықтан немесе келесі сайт бойынша оқиды. Жұптық жұмыс. 1.
2.
3.
Дескриптор.Оқушы:
Жауабы:
Жеке жұмыс. 1-нұсқа
2-нұсқа
Дескриптор.Оқушы:
Жауабы: 1-нұсқа жауаптары: 2-нұсқа жауаптары:
Бағалау: Тақтадағы дайын жауаптар арқылы РОТАЦИЯ әдісімен өзара тексереді. |
. Топтық жұмыс: Нақты көрсеткішті дәрежелік функциясы берілсін: y = х∝, ∝≠1, ∝∈ R Дәлелдеу
керек: Нұсқау:Оң жақ бөлігінің туындысын есептеп, оның интеграл астындағы өрнекке тең екенін көрсетіңіз. Дәлелдеуі: ( Мұғалім кері байланыс береді.
III. Мысал 1. Анықталмаған
интегралды тап: y =
Мысал 2. Анықталған интегралды есепте:
= IV. Жұптық жұмыс.Оқушылармен бірлесіп бағалау дескрипторы құрылады. №3. Анықталған интегралды есепте: а)
Жауабы:
а) Дескриптор: 1)нақты көрсеткішті дәрежелік функцияның интегралын табу ережесін біледі; 2)нақты көрсеткішті дәрежелік функцияның интегралын табу ережесін қолданады; 3) анықталған интегралды есептейді. Дескриптор көмегімен оқушылар жұпта бір-бірін бағалайды . Мұғалім кері байланыс береді.
V Жеке жұмыс. Оқушылармен бірлесіп бағалау дескрипторы құрылады және оқушылар мүмкіндіктеріне қарай барлық деңгейді шығарады. №4. Функцияның алғашқы функциясын тап: А 1.y=
2. В
3.y=
4.y=
С
5.у = Жауаптары: 1. 2. 8∙ 3.
2∙
Дескриптор: 1)дәрежелік функция түріне келтіреді ; 2) нақты көрсеткішті дәрежелік функцияның интегралын табу ережесін біледі; 3)нақты көрсеткішті дәрежелік функцияның интегралын табу ережесін қолданады; Дескриптор көмегімен оқушылар жұпта бір-бірін бағалайды немесе мұғалім өзі бағалайды . Мұғалім кері байланыс береді. Топтық жұмыс.Сынып 3-4 топқа бөлінеді. Оқушылар шығарады, топта талдайды және тақтада өз тапсырмаларын көрсетеді.Әр топ келесі топты бағалайды. №7. Суреттегіжазық фигураның ауданын есепте: І топ ІІ топ
ІІІ топ IV топ
Дескриптор: 1)Жазық фигураның ауданын есептеу формуласын біледі. 2)нақты көрсеткішті дәрежелік функцияның интегралын табу ережесін біледі; 3)нақты көрсеткішті дәрежелік функцияның интегралын табу ережесін қолданады; 4) анықталған интегралды есептейді. Мұғалім кері байланыс береді.
|
Дескриптор: -1-ші сұраққа жауап береді. 1-балл -2-ші сұраққа жауап береді. 1-балл -3-ші сұраққа жауап береді. 1-балл Әрбір дұрыс жауапка 1 балл қойылады
|
ДК экраны Сұрақтар топтамасы. Оқулық 11-сынып.
|
|
Сабақтың соңы |
Жеке жұмыс. Оқушылармен бірлесіп бағалау дескрипторы құрылады және оқушылар мүмкіндіктеріне қарай барлық деңгейді шығарады. №8.Анықталмаған интегралды тап: А
B
C
Дескриптор: 1)дәрежелік функция түріне келтіреді ; 2) нақты көрсеткішті дәрежелік функцияның интегралын табу ережесін біледі; 3)нақты көрсеткішті дәрежелік функцияның интегралын табу ережесін қолданады. Мұғалім өзі бағалайды . Мұғалім кері байланыс береді. |
Рефлексия Оқушылар сұрақтарға жауап береді: • не білдім, • нені үйрендім, • не түсініксіз болды, • әлі де немен жұмыстануым керек.
Үй жұмысы: №9. Анықталған интегралды есепте:
|
Бағалау. Оқушылар бір-бірін ауызша критерий бойынша бағалайды. - Кейбір оқушыларға мұғалім тарапынан кері байланыс беріледі. |
|
Пән: Алгебра
Қысқа мерзімді жоспар №12-сабак
|
Бөлім: Дәрежелер мен түбірлер. Дәрежелік функция |
Мектеп: |
|
Педагогтің аты-жөні: |
|
|
Күні: |
|
|
Сыныбы: 11 |
Қатысушылар саны: Қатыспағандар саны: |
|
Сабақтың тақырыбы: |
Нақты көрсеткішті дәрежелік функцияның туындысы мен интегралы |
|
Оқу бағдарламасына сәйкес оқыту мақсаты |
11.3.1.12 - нақты көрсеткішті дәрежелік функцияның туындысын табу ережелерін білу және қолдану; 11.3.1.13 - нақты көрсеткішті дәрежелік функцияның интегралын табу ережелерін білу және қолдану; |
|
Сабақтың мақсаты: |
- нақты көрсеткішті дәрежелік функцияның туындысын табу ережелерін біледі және қолданады; - нақты көрсеткішті дәрежелік функцияның интегралын табу ережелерін біледі және қолданады; |
Сабақтың барысы:
|
Сабақ кезеңі/Уақыты |
Педагогтың іс әрекеті |
Оқушының іс-әрекеті |
Бағалау |
Ресурстар |
||||||||||||||||||||||||||||||||||||||||||||||||||||||||||||||||||||||||||||
|
Сабақтың басы |
Ұйымдастыру кезеңі. Үй тапсырмасын тексеру. Кері байланысы беру. Сабақ тақырыбы мен мақсатын оқушыларды таныстыру |
. Өткен тақырыпты қайталау. Мұғалім оқушыларға сұрақтар қою арқылы «Нақты көрсеткішті дәрежелік функцияның интегралын табу ережесін қайталайды. Анықталмаған
интеграл Мұндағы
Интегралдаудың негізгі ережелері: 1. Егер
2.
3.
4.
Егер
|
Мұғалім ұйымдастыру кезеңінде белсенділік танытқан оқушыларды «Мадақтау сөз» әдісіарқылы бағалайды: «Жарайсың! Жақсы! Өте жақсы! Талпын!» |
Түрлі түсті қима қағаздар
|
||||||||||||||||||||||||||||||||||||||||||||||||||||||||||||||||||||||||||||
|
Сабақтың ортасы |
Жұптық жұмыс. Мақсаты:Оқушылардың нақты көрсеткішті дәрежелік функцияның интегралын табу ережесін білу және қолдану дағдысын қалыптастыру
Дескриптор: -интегралдауды дифференциалдауға кері амал ретінде түсінеді; -алғашқы функцияның және анықталмаған интегралдың анықтамаларын біледі; Бағалау: оқушылар дәптерлерін ауыстырып, дескрипторлар көмегімен тақтадағы дайын жауаппен келесі жұп бағалайды.
ІІІ. Жеке жұмыс. Мақсаты:нақты көрсеткішті дәрежелік функцияның интегралын табу ережесін білу және қолдану дағдысын тексеру
Дескриптор:
Жеке жұмыс: деңгейлік тапсырма арқылы оқушыларға есептер шығарту Деңгейлік тапсырмалар: А деңгейі: 1. Туындысын
табыңдыр: 2.
3. 4.Салмағы 4 кг болатын материал
нүктесі Бағалау дескрипторы:
В деңгейі:
1.
[3]
2.
a) Функцияның туындысын табыңыз.[2] b) х – тің қандай мәнінде функцияның графигіне жүргізілген жанама горизонталь болатынын анықтаңыз.[2] c) х0= –1 нүктесінде f(x) функциясына жүргізілген нормальдің теңдеуін жазыңыз. [4]
|
Қалыптастырушы бағалау. 1- тапсырма :Берілген функцияның туындысын табыңыз 2-
тапсырма :Есептеңдер:
3-
тапсырма :
А) Бағалау дескрипторы:
2.Сабақтың мақсаты мен жетістік критерийлерін оқушылармен бірге талқылау.
Жұптық жұмыс:оқушылар есепті өздері шығарып жұпта бір-біріне түсіндіреді. Тақтада талдайды шешуі бойынша тексеріліп бағаланады. 1.
a. Кез келген t уақытта биіктіктің өзгеру жылдамдығын табыңыз. б. Биіктіктің өзгеру жылдамдығын табыңыз: i) t = 1 ii) t = 2 iii) t = 3. с. Неліктен өзгерістің жылдамдығы бастапқыда оң, содан кейін нөлге, содан кейін алғашқы 3 секунд ішінде теріс болатынын түсіндіріңіз. d. Найза 17 метр биіктікке жеткен кезде биіктіктің өзгеру жылдамдығын анықтаңыз. Бағалау дескрипторы: Шешуі: a. h (t) = 20t - 5t2 + 2. Биіктіктің өзгеру жылдамдығы: h '(t) = 20 - 10t b. i) h '(1) = 20 - 10 (1) = 10 м / с ii) h '(2) = 20 - 10 (2) = 0 м / с iii) h '(3) = 20 - 10 (3) = -10 м / с c. Өзгерістердің жылдамдығы бойынша: оң өсуін, нөль өспейтінін және кемімейтінін (тыныштық жағдайын), ал теріс кемуін білдіреді. с. Найза алғашқы 2 секунд ішінде биіктікке көтеріледі. t = 2 секунд болғанда, найза максималды биіктікке жетеді. t> 2 болғанда найза төменге қозғалады. d ) h = 17 –ні h (t)-ға қойып найзаның 17 метр биіктікке көтерілу уақытын табыңыз. 20t - 5t2 + 2 = 17 -5t2 + 20t - 15 = 0 t = 1 немесе t = 3 Алғашында ол 17 м-ге жетеді, бұл t –ның кіші мәні. t = 1 с болғанда ол 17 м-ге жетеді h '(1) = 20 - 5 (1) 2 = 15 м / с Биіктіктің өзгеру жылдамдығы 15 м / с.
1- тапсырма: . Әйелдер арасында 100-метрлік жарысқа қатысушы өзінің секундына 12 метр максималды жылдамдығына старттан 36 метр қашықтықта жетті. Старттан алғашқы 36 метр қашықтықтағы оның жылдамдығы жүгіріп өткен қашықтықтың квадрат түбіріне тура пропорционал. Қатысушы максималды жылдамдығына жеткенге дейін оның үдеуі жылдамдығына кері пропорционал болатынын көрсетіңіз. Бағалау дескрипторы: Шешуі: Берілгені: S - ара қашықтық, v - жылдамдық, k1және k2 – тұрақты шамалар.
Суретте жылдамдықтың жүрілген қашықтыққа тәуелділігі көрсетілген. S=36
метр, v=12
м/с болғанда: «жылдамдықтыңтуындысы=үдеу» болғандықтан:
3. [4]
|
Дескриптор: -1-ші сұраққа жауап береді. 1-балл -2-ші сұраққа жауап береді. 1-балл -3-ші сұраққа жауап береді. 1-балл
Әрбір дұрыс жауапка 1 балл қойылады
|
ДК экраны
Сұрақтар топтамасы.
Оқулық 11-сынып.
|
||||||||||||||||||||||||||||||||||||||||||||||||||||||||||||||||||||||||||||
|
Сабақтың соңы |
Үй тапсырмасы:
Рефлексия Нені үйрендім? Нені білгім келеді? Нені түсінбедім?
|
С деңгейі:
1.
Бағалау дескрипторы:
|
Бағалау. Оқушылар бір-бірін ауызша критерий бойынша бағалайды. - Кейбір оқушыларға мұғалім тарапынан кері байланыс беріледі.
|
|
Пән: Алгебра
Қысқа мерзімді жоспар №13-сабак
|
Бөлім: Дәрежелер мен түбірлер. Дәрежелік функция |
Мектеп: |
|
Педагогтің аты-жөні: |
|
|
Күні: |
|
|
Сыныбы: 11 |
Қатысушылар саны: Қатыспағандар саны: |
|
Сабақтың тақырыбы: |
Нақты көрсеткішті дәрежелік функцияның туындысы мен интегралы |
|
Оқу бағдарламасына сәйкес оқыту мақсаты |
11.3.1.12 - нақты көрсеткішті дәрежелік функцияның туындысын табу ережелерін білу және қолдану; 11.3.1.13 - нақты көрсеткішті дәрежелік функцияның интегралын табу ережелерін білу және қолдану; |
|
Сабақтың мақсаты: |
- нақты көрсеткішті дәрежелік функцияның туындысын табу ережелерін біледі және қолданады; - нақты көрсеткішті дәрежелік функцияның интегралын табу ережелерін біледі және қолданады; |
Сабақтың барысы:
|
Сабақ кезеңі/Уақыты |
Педагогтың іс әрекеті |
Оқушының іс-әрекеті |
Бағалау |
Ресурстар |
|
Сабақтың басы |
Сыныпты ұйымдастыру. Оқушылармен сәлемдесу. Сынып тазалығына назар аудару. Оқушылардың сабаққа дайындығын тексеру. Үй жұмысын тексеру. Қиындық тудырған есептерді тақтада бірге талқылау. |
Еске түсір ! ( қайталау сұрақтары)
Еске түсіру(Теориялық білім еске түсіріледі)
|
Мұғалім ұйымдастыру кезеңінде белсенділік танытқан оқушыларды «Мадақтау сөз» әдісіарқылы бағалайды: «Жарайсың! Жақсы! Өте жақсы! Талпын!» |
Түрлі түсті қима қағаздар
|
|
Сабақтың ортасы |
Сабақтың мақсаты мен бағалау критерийлеріноқушылармен бірге талқылау. Жұптық жұмыс:Мысалдар талдау Мысалдар талқылау алдында өткен формулаларды пайдаланып өздері жұптаа және в тапсырмаларының біреуін алып, шығарып бір-бірін түсіндіріп талдайды. Дұрыс шығарғандарын жауап арқылы тексереді. 1-мысал:Берілген функцияның туындысын табыңыз
2-мысал:А)
Есептеңдер:
В)
Есептеңдер:
А)
В)
3-мысал: А)
B)
|
«Борды бер» стратегиясы 1) бірінші оқушы бірінші тапсырманы түсіндірусіз орындайды, содан кейін борды екінші оқушыға береді. 2) екінші оқушы жазылып тұрған есептің шешуін түсіндіреді және оны алдын ала құрылған критерийлермен бағалайды, содан кейін өз мысалын шығарады. Борды келесі оқушыға береді және т.с.с.сыныптағы 11 оқушыға тапсырма: Тапсырма 1. Функцияның туындысын табыңыз:
Тапсырма
2.Есептеңдер: Тапсырма 3.
Тапсырма
4.
(9;-43) Жеке жұмыс: Тест тапсырма оқушыларды мүмкіндік болса онлайн тест арқылы білімдерін тексеруге болады мүмкіндік болмаса тест беріліп бағаланады http://ya-znau.ru/znau_sorevn/pr_zn/8 онлайн тест 1,Егер f(х) = 24 A) 8 В)6 С)5 D)1 E)9 2. У = A) У = хВ) У = 3.У = A) 4.у=
5.f(х)
= A) |
Дескриптор: -1-ші сұраққа жауап береді. 1-балл -2-ші сұраққа жауап береді. 1-балл -3-ші сұраққа жауап береді. 1-балл Әрбір дұрыс жауапка 1 балл қойылады
|
ДК экраны Сұрақтар топтамасы. Оқулық 11-сынып.
|
|
Сабақтың соңы |
Сабақ соңында оқушыларға рефлексия жүргізеді: - нені білдім, нені үйрендім - нені толық түсінбедім - немен жұмысты жалғастыру қажет 2. Оқушыларға мұғалім тарапынан кері байланыс беріледі. 3 |
. Үйге тапсырма: Берілген функцияның туындысын табыңыз:№164. №171 № 171
|
Бағалау. Оқушылар бір-бірін ауызша критерий бойынша бағалайды. - Кейбір оқушыларға мұғалім тарапынан кері байланыс беріледі. |
|
Пән: Алгебра
Қысқа мерзімді жоспар №14-сабак
|
Бөлім: Дәрежелер мен түбірлер. Дәрежелік функция |
Мектеп: |
|
Педагогтің аты-жөні: |
|
|
Күні: |
|
|
Сыныбы: 11 |
Қатысушылар саны: Қатыспағандар саны: |
|
Сабақтың тақырыбы: |
Нақты көрсеткішті дәрежелік функцияның туындысы мен интегралы |
|
Оқу бағдарламасына сәйкес оқыту мақсаты |
11.3.1.12 - нақты көрсеткішті дәрежелік функцияның туындысын табу ережелерін білу және қолдану; 11.3.1.13 - нақты көрсеткішті дәрежелік функцияның интегралын табу ережелерін білу және қолдану; |
|
Сабақтың мақсаты: |
- нақты көрсеткішті дәрежелік функцияның туындысын табу ережелерін біледі және қолданады; - нақты көрсеткішті дәрежелік функцияның интегралын табу ережелерін біледі және қолданады; |
Сабақтың барысы:
|
Сабақ кезеңі/Уақыты |
Педагогтың іс әрекеті |
Оқушының іс-әрекеті |
Бағалау |
Ресурстар |
|
Сабақтың басы |
Ұйымдастыру кезкеңі: Үй тапсырмасын тексеру. Сабақтың басында назар аудару: – оқушылардың зейіндерін шоғырландыруына – оқушылармен бірге сабақ мақсаттарын тұжырымдауына – оқушылардың «жақын даму аймағын» және сабақтың күтілетін нәтижелерін анықтауына. Қайталау сұрақтары: -Интегралдау қандай амал? -Анықталмаған интеграл деген не? -Анықталмаған интегралдың қандай қасиеттері бар? -Интегралды табуда қандай жағдайларды ескеру қажет? |
Оқушылар жұптарға біріктіріледі. Әрбір жұп Сәйкестендіру тапсырмасын орындайды. Вilimland.kz сайтының материалдарын қолдануға болады. Бағалау: дайын жауаптар арқылы жұптар бірін-бірі бағалайды.
Алдыңғы сабақта үйренген материалды қайталау; бекіту нақты көрсеткішті дәрежелік функцияның интегралын табуға арналған есептер шығару. Оқушылар тапсырманы жеке орындайды. Қажет болған жағдайда сыныптастарынан және мұғалімнен көмек сұрауы мүмкін. Жалпы сынып оқушыларына қиындық тудырған тапсырманы тақтада талқылау. Бағалау: дайын жауаптар арқылы мұғалім тарапынан бағаланады. Дескриптор: - нақты көрсеткішті дәрежелік функцияны интегралдау жолын біледі; - нақты көрсеткішті дәрежелік функцияның интегралын дұрыс табады. |
Мұғалім ұйымдастыру кезеңінде белсенділік танытқан оқушыларды «Мадақтау сөз» әдісіарқылы бағалайды: «Жарайсың! Жақсы! Өте жақсы! Талпын!» |
Түрлі түсті қима қағаздар
|
|
Сабақтың ортасы |
Деңгейлік тапсырмалар:
Дискрептор: -функцияны бірдей дәрежеге келтіреді; -нақты көрсеткішті дәрежелік функцияның интегралын табу ережесін қолданады; -нақты көрсеткішті дәрежелік функцияның интегралын табу ережесін қолданып фигураның ауданын табады; |
Функцияның туындысын табыңыз:
Жауабы:
|
Дескриптор: -1-ші сұраққа жауап береді. 1-балл -2-ші сұраққа жауап береді. 1-балл -3-ші сұраққа жауап береді. 1-балл Әрбір дұрыс жауапка 1 балл қойылады
|
ДК экраны Сұрақтар топтамасы. Оқулық 11-сынып.
|
|
Сабақтың соңы |
Сабақ соңында оқушыларға рефлексия жүргізеді: - нені білдім, нені үйрендім - нені толық түсінбедім - немен жұмысты жалғастыру қажет 2. Оқушыларға мұғалім тарапынан кері байланыс беріледі. 3. Үйге тапсырма: Берілген функцияның туындысын табыңыз |
|
Бағалау. Оқушылар бір-бірін ауызша критерий бойынша бағалайды. - Кейбір оқушыларға мұғалім тарапынан кері байланыс беріледі. |
|
Пән: Алгебра
Қысқа мерзімді жоспар №15-сабак
|
Бөлім: Дәрежелер мен түбірлер. Дәрежелік функция |
Мектеп: |
|
Педагогтің аты-жөні: |
|
|
Күні: |
|
|
Сыныбы: 11 |
Қатысушылар саны: Қатыспағандар саны: |
|
Сабақтың тақырыбы: |
Нақты көрсеткішті дәрежелік функцияның туындысы мен интегралы |
|
Оқу бағдарламасына сәйкес оқыту мақсаты |
11.3.1.12 - нақты көрсеткішті дәрежелік функцияның туындысын табу ережелерін білу және қолдану; 11.3.1.13 - нақты көрсеткішті дәрежелік функцияның интегралын табу ережелерін білу және қолдану; |
|
Сабақтың мақсаты: |
- нақты көрсеткішті дәрежелік функцияның туындысын табу ережелерін біледі және қолданады; - нақты көрсеткішті дәрежелік функцияның интегралын табу ережелерін біледі және қолданады; |
Сабақтың барысы:
|
Сабақ кезеңі/Уақыты |
Педагогтың іс әрекеті |
Оқушының іс-әрекеті |
Бағалау |
Ресурстар |
||||||
|
Сабақтың басы |
.Еске түсір ! ( қайталау сұрақтары)
Сабақтың мақсаты мен бағалау критерийлерін оқушылармен бірге талқылау. |
ТЖ Топтарға сілтеме ұсынылады https://interneturok.ru/lesson/algebra/ Мақсаты: нақты көрсеткішті дәрежелік функцияның туындысын, интегралын табу ережелерін қайталау; 1, 3-топ нақты көрсеткішті дәрежелік функцияның туындысын табу 2, 4- топ нақты көрсеткішті дәрежелік функцияның интегралын табу Бағалау: «Екі жұлдыз, бір тілек» топтардың бірін бірі бағалауы |
Мұғалім ұйымдастыру кезеңінде белсенділік танытқан оқушыларды «Мадақтау сөз» әдісіарқылы бағалайды: «Жарайсың! Жақсы! Өте жақсы! Талпын!» |
Түрлі түсті қима қағаздар
|
||||||
|
Сабақтың ортасы |
Жұптық жұмыс: Мысалдар талдау.Мысалдар талқылау алдында өткен формулаларды пайдаланып өздері жұпта және тапсырмаларының біреуін алып, шығарып бір-бірін түсіндіріп талдайды. Дұрыс шығарғандарын жауап арқылы тексереді. 1-тапсырма:Берілген функцияның туындысын табыңыз. Сәйкестендіру кестесі.
|
Жеке жұмыс Мақсаты: нақты көрсеткішті дәрежелік функцияның туындысын, интегралын табу қолдана білу Оқушылар өздігінен орындайды. Бағалау: Тақтадағы жауап парағымен оқушыөзін-өзі бағалайды. Әр есеп 1 балл 3-тапсырма: А)
Есептеңдер:
В)
Есептеңдер:
4-тапсырма : Функцияның туындысын табыңыз:
3)
4)
5-тапсырма :
Функцияның туындысын табыңыз
,есептеңіз:
|
Дескриптор: -1-ші сұраққа жауап береді. 1-балл -2-ші сұраққа жауап береді. 1-балл -3-ші сұраққа жауап береді. 1-балл
Әрбір дұрыс жауапка 1 балл қойылады
|
ДК экраны
Сұрақтар топтамасы.
Оқулық 11-сынып.
|
||||||
|
Сабақтың соңы |
Үй тапсырмасы: Рефлексия жазу.
|
Жеке тапсырма: Суретте үсті ашық, биіктігі hметр болатын тік бұрышты бак бейнеленген. Қабырғалары 2х метр және 3хболатын бактың табаны горизонталь орналасқан. Бакқа көлемі 900 м3 су сияды, ал бактың ішкі бетінің ауданы S м2.
a)
b)
Екінші ретті туындыны пайдаланып немесе басқа тәсілмен S – тің берілген жағдайда минимум немесе максимум болатынын анықтаңыз. Бағалау: жалпы сынып болып есептің Марк – схемасын құрып, тексеру. Өзін – өзі бағалау. |
Бағалау. Оқушылар бір-бірін ауызша критерий бойынша бағалайды. - Кейбір оқушыларға мұғалім тарапынан кері байланыс беріледі.
|
|
Пән: Алгебра
Қысқа мерзімді жоспар №16-сабак
|
Бөлім: Дәрежелер мен түбірлер. Дәрежелік функция |
Мектеп: |
|
Педагогтің аты-жөні: |
|
|
Күні: |
|
|
Сыныбы: 11 |
Қатысушылар саны: Қатыспағандар саны: |
|
Сабақтың тақырыбы: |
Нақты көрсеткішті дәрежелік функцияның туындысы мен интегралы |
|
Оқу бағдарламасына сәйкес оқыту мақсаты |
11.2.2.1 – иррационал теңдеудің анықтамасын білу, оның ММЖ-сін анықтай алу; 11.2.2.2 – теңдеудің екі жағын бірдей n-ші дәрежеге шығару әдісі арқылы иррационал теңдеулерді шеше алу; 11.2.2.3 – айнымалыны алмастыру әдісі арқылы иррационал теңдеулерді шеше алу; 11.2.2.4 - иррационал теңдеулер жүйелерін шеше алу; |
|
Сабақтың мақсаты: |
– иррационал теңдеудің анықтамасын біледі, оның ММЖ-сін анықтай алады; – теңдеудің екі жағын бірдей n-ші дәрежеге шығару әдісі арқылы иррационал теңдеулерді шеше алады; – айнымалыны алмастыру әдісі арқылы иррационал теңдеулерді шеше алады; - иррационал теңдеулер жүйелерін шеше алады; |
Сабақтың барысы:
|
Сабақ кезеңі/Уақыты |
Педагогтың іс әрекеті |
Оқушының іс-әрекеті |
Бағалау |
Ресурстар |
|
Сабақтың басы |
Ұйымдастыру кезеңі 1.Ұйымдастыру кезеңі. Сабақтың басында оқушылардың зейіндерін шоғырландыруына назар аудару: – оқушылармен бірге сабақ мақсаттарын тұжырымдау; – бағалау критерийлерін тұжырымдау үшін оқушыларды талпындыру; – оқушылардың «жақын даму аймағын» және сабақтың күтілетін нәтижелерін анықтау. |
«Миға шабуыл» Сұрақтар: 1.а санының n-ші дәрежелі түбірі дегеніміз не? 2.Көбейтіндіден түбір шығару қалай орындалады? 3.Бөлшекпен түбір шығару қалай орындалады? 4.Түбірдің дәрежесі көрсеткішімен түбір таңбасының ішіндегі өрнектің көрсеткіші туралы ережені тұжырымда. 5.Түбірді дәрежеге шығару үшін не істеуге болады? 6.Түбірден түбір шығару қалай орындалады? «Бас бармақ» әдісі арқылы бағалау,әрбір дұрыс жауап 1 балл |
Мұғалім ұйымдастыру кезеңінде белсенділік танытқан оқушыларды «Мадақтау сөз» әдісіарқылы бағалайды: «Жарайсың! Жақсы! Өте жақсы! Талпын!» |
Түрлі түсті қима қағаздар
|
|
Сабақтың ортасы |
Жаңа тақырыпты түсіндіру. Оқушылармен теңдеулерді шешуді схема бойынша қайталау. Оқшылардан топта «Денотаттық граф» құрастырырады. Әрбір топ өзінің жұмыстарымен бөліседі және толықтырады. Оқушылардың білімдерін өзектендіру, зейіндерін сабаққа шоғырландыру. Аргументация келтіру стратегиясын қолдану зертеушілік дағдыларын дамыту мақсатында теңдеуді шешу алгоритмін құрастыру. Теңдеулерді шешу
I. Екі жағын бірдей дәрежеге шығару әдісі.
Егер иррационал теңдеудің екі жағы бірдей тақ дәрежеге шығарылып және радикалдардан босатылса, онда бастапқы теңдеуге теңдес теңдеулер болады. Ал теңдеудің екі жағы бірдей жұп дәрежеге шығарылса, онда бастапқы теңдеудің салдары болады. Абсолюттік шамасы тең, бірақ таңбалары әртүрлі сандарды жұп дәрежеге шығарғанда, бөгде түбірлер пайда болуы мүмкін, бірақ түбірлерді жоғалтуға мүмкін емес. Теңдеуде бөгде түбірлер пайда болуы мүмкін, сондықтан бастапқы теңдеуге қою арқылы түбірлерді тексеру керек.
2)
Берілген
жүйелерде
|
. Мысалы:
2
4. Мысал. II. Иррационал теңдеулерді жаңа айнымалы енгізі әдісімен шешу.
Мысалы: Б
3. Топтық жұмыс. Тапсырманың мақсаты: иррационал теңдеудің екі жағын бірдей тақ дәрежеге немесе жұп дәрежеге шығару және жаңа айнымалы енгізу арқылы теңдеулерді шеше білу. Оқушылар есептерді шығару үшін жұмыс жасай отырып, талап қоя біледі, топпен жұмыста қолдау көрсетеді. Академиялық шыншылдыққа, ынтымақтастыққа баулу дағдыларын дамытады. Бағалау критерийлері:
1.
Тапсырма. 2.
Тапсырма. 3.
Тапсырма 4.
Тапсырма. Түсінбеген есебін топта түсіндіреді. Өз ара оқыту жүзеге асады. Дайын жауаптар бойынша слайдтағы бірін бірі тексереді. Кері байланысы. Н.....назар аудару керек З......зейінін қою қажет М.... мақсатқа жету үшін. Жеке жұмыс. Қалыптастырушы бағалау. Тапсырманың мақсаты:Теңдеулерді шешудің екі жағын дәрежеге шығару арқылы шешу әдісін бекіту. Тапсырма орындалғаннан кейін дайын жауаптармен өзін-өзі тексеру жүргізіледі. Тақтадағы үш түсті конверттегі есептерден оқушылар өздері керекті деңгейдің біреуін ғана таңдап алады. Оқушылар есептерді шығару барысында өздеріне талап қоя біледі, жауапты болуға үйренеді. Бағалау критерийлері:
А деңгей, жасыл түсті конверт 1.
Теңдеу түбірлерінің қосындысын
табыңыз: 2 3. Теңдеуді
шешіңіз: В деңгей, сары түсті конверт 1.
Теңдеуді шешіңіз
: 2.
Теңдеуді
шешіңіз: 3. Теңдеуді
шешіңіз: С деңгей, қызыл түсті конверт 1.
Теңдеуді шешіңіз
: 2.
Теңдеуді
шешіңіз: 3. Теңдеуді
шешіңіз: |
Дескриптор: -1-ші сұраққа жауап береді. 1-балл -2-ші сұраққа жауап береді. 1-балл -3-ші сұраққа жауап береді. 1-балл Әрбір дұрыс жауапка 1 балл қойылады
|
ДК экраны Сұрақтар топтамасы. Оқулық 11-сынып.
|
|
Сабақтың соңы |
Кері байланыс. 1.Тапсырманы орындау барысында қандай қиындық туындады? 2. Неліктен деп ойлайсыз? 3. Қандай қасиеттерді қайталау керек. 4. Неге көңіл бөлу қажет? Оқушылар бағалау парақтарында әрбір кезеңнің өздеріне сәйкес баллдарын қояды,яғни өзін өзі бағалау жүзеге асады және кей жағдайда бірін бірі бағалайды. |
Үй жұмысы: а) в)
с)
d)
Сабақ соңында жүргізілетін рефлексия: Оқушылар сабақ бойынша білгендерін қорытындылап, келесі сөйлемдерді толықтырады. - ... білдім, ... үйрендім - ... толық түсінбедім - ... жұмысты жалғастыру қажет |
Бағалау. Оқушылар бір-бірін ауызша критерий бойынша бағалайды. - Кейбір оқушыларға мұғалім тарапынан кері байланыс беріледі. |
|
Пән: Алгебра
Қысқа мерзімді жоспар №17-сабак
|
Бөлім: Дәрежелер мен түбірлер. Дәрежелік функция |
Мектеп: |
|
Педагогтің аты-жөні: |
|
|
Күні: |
|
|
Сыныбы: 11 |
Қатысушылар саны: Қатыспағандар саны: |
|
Сабақтың тақырыбы: |
Иррационал теңдеулер мен олардың жүйелері |
|
Оқу бағдарламасына сәйкес оқыту мақсаты |
11.2.2.1 – иррационал теңдеудің анықтамасын білу, оның ММЖ-сін анықтай алу; 11.2.2.2 – теңдеудің екі жағын бірдей n-ші дәрежеге шығару әдісі арқылы иррационал теңдеулерді шеше алу; 11.2.2.3 – айнымалыны алмастыру әдісі арқылы иррационал теңдеулерді шеше алу; 11.2.2.4 - иррационал теңдеулер жүйелерін шеше алу; |
|
Сабақтың мақсаты: |
– иррационал теңдеудің анықтамасын біледі, оның ММЖ-сін анықтай алады; – теңдеудің екі жағын бірдей n-ші дәрежеге шығару әдісі арқылы иррационал теңдеулерді шеше алады; – айнымалыны алмастыру әдісі арқылы иррационал теңдеулерді шеше алады; - иррационал теңдеулер жүйелерін шеше алады; |
Сабақтың барысы:
|
Сабақ кезеңі/Уақыты |
Педагогтың іс әрекеті |
Оқушының іс-әрекеті |
Бағалау |
Ресурстар |
||||||||||||||||||||||||||||||||||||
|
Сабақтың басы |
Бұл тақырыпты игере отырып, сендер иррационал теңдеу және оның бөгде түбірлері ұғымымен танысасыңдар, иррационал теңдеуді шешу жолдарын үйренесіңдер. Сендердің алдарында «Жетістік картасы» жатыр. Онда сендер сәтті орындаған тапсырмаларыңды символмен және ұпай санымен белгілейсіңдер.
«!» - еркін қолдана аламын «+» - есептей аламын, кейде қателесемін «-» - тағы да жұмыс жасау керек Сабаққа алатын бағаларын – рейтингтік, нәтижесі жинаған ұпай сандарына байланысты |
«Түртіп алу» әдісі.Оқушылар анықтаманы оқиды, теориялық білімдерін кеңейтеді, қарындаштың көмегімен ойлаудың іске асуын белгілеп отырады: «v» - маған таныс, «+» - мен үшін жаңа, «-» - мен білетін түсінікке сәйкес келмейді, «?» - бұл туралы тереңірек білгім келеді. Оқыған анықтаманың нәтижесін әуелі жұпта, сосын топта талқылау
|
Мұғалім ұйымдастыру кезеңінде белсенділік танытқан оқушыларды «Мадақтау сөз» әдісіарқылы бағалайды: «Жарайсың! Жақсы! Өте жақсы! Талпын!»
|
Түрлі түсті қима қағаздар
|
||||||||||||||||||||||||||||||||||||
|
Сабақтың ортасы
|
Саралау тапсырмаларын орындау А-деңгей
В-деңгей
С-деңгей
|
«Біреуі - үйде , үшеуі –қонақта» тәсілін қолданып, «Иррационал теңдеулер» тақырыбында ҰБТ-да кездесетін есептер шығару
«Дұрыс -Бұрыс» стратегиясы арқылы оқушылардың теориялық материалды игеруін тексерем
Өзін-өзі тексеру
Әрбір дұрыс жауапқа – 1 ұпай, есептеп «Жетістік картасына» енгізіңдер. |
Дескриптор: -1-ші сұраққа жауап береді. 1-балл -2-ші сұраққа жауап береді. 1-балл -3-ші сұраққа жауап береді. 1-балл
Әрбір дұрыс жауапка 1 балл қойылады
|
ДК экраны
Сұрақтар топтамасы.
Оқулық 11-сынып.
|
||||||||||||||||||||||||||||||||||||
|
Сабақтың соңы |
Рефлексия
«Таңдау» әдісі. Үй тапсырмасы
Иррационал сандардың тарихы туралы мәлімет |
Рефлексия. Нені үйрендім? Нені білгім келеді? Нені түсінбедім? Үйге тапсырмасы: Теңдеулерді шешіңіз:
|
Бағалау. Оқушылар бір-бірін ауызша критерий бойынша бағалайды. - Кейбір оқушыларға мұғалім тарапынан кері байланыс беріледі.
|
|
Пән: Алгебра
Қысқа мерзімді жоспар №18-сабак
|
Бөлім: Дәрежелер мен түбірлер. Дәрежелік функция |
Мектеп: |
|
Педагогтің аты-жөні: |
|
|
Күні: |
|
|
Сыныбы: 11 |
Қатысушылар саны: Қатыспағандар саны: |
|
Сабақтың тақырыбы: |
Иррационал теңдеулер мен олардың жүйелері |
|
Оқу бағдарламасына сәйкес оқыту мақсаты |
11.2.2.1 – иррационал теңдеудің анықтамасын білу, оның ММЖ-сін анықтай алу; 11.2.2.2 – теңдеудің екі жағын бірдей n-ші дәрежеге шығару әдісі арқылы иррационал теңдеулерді шеше алу; 11.2.2.3 – айнымалыны алмастыру әдісі арқылы иррационал теңдеулерді шеше алу; 11.2.2.4 - иррационал теңдеулер жүйелерін шеше алу; |
|
Сабақтың мақсаты: |
– иррационал теңдеудің анықтамасын біледі, оның ММЖ-сін анықтай алады; – теңдеудің екі жағын бірдей n-ші дәрежеге шығару әдісі арқылы иррационал теңдеулерді шеше алады; – айнымалыны алмастыру әдісі арқылы иррационал теңдеулерді шеше алады; - иррационал теңдеулер жүйелерін шеше алады; |
Сабақтың барысы:
|
Сабақ кезеңі/Уақыты |
Педагогтың іс әрекеті |
Оқушының іс-әрекеті |
Бағалау |
Ресурстар |
|
Сабақтың басы |
Сабақтың тақырыбы,мақсаты, бағалау критерийлерімен таныстыру |
Жұптық жұмыс Оқушылар жұптасып, «Саяхат» әдісімен кабинет тақталары мен жарларына ілінген тапсырмаларды кез-келген ретпен қозғалыста орындайды. ТАПСЫРМАЛАР Жаңа айнымалыны енгізу әдісімен иррационал теңдеулерді шешіңіз: Оқушылар келесі жұппен дәптерлерін ауыстырып, дескрипторлар және дайын жауаптар көмегімен өзара бағалайды. Дескрипторлар:
Жауаптары:
|
Мұғалім ұйымдастыру кезеңінде белсенділік танытқан оқушыларды «Мадақтау сөз» әдісіарқылы бағалайды: «Жарайсың! Жақсы! Өте жақсы! Талпын!» |
Түрлі түсті қима қағаздар
|
|
Сабақтың ортасы |
Топтық жұмыс Иррационал теңдеулерді жаңа айнымалы енгізу арқылы шешуді бекіту үшіноқушыларға келесітапсырмаларұсынылады. Оқушылар бұл тапсырмаларды орындап болған соң, «Ротация» әдісі арқылы дескрипторлар және дайын жауаптар көмегімен келесі топтар бағалайды.
Дескрипторлар:
Жауаптары: 9) -1/3;1 10) 2;3 11) -1;3 12) 7 13) -4;2 |
Теңдеудішешіңіз:
Шешімі:
х=5 бөгде түбір Жауабы: x=-1 Жұптық жұмыс Мысал 2
Теңдеудің екі жағын n-ші дәрежеге шығару әдісі Мысал 1.
Шешімі:
y=6 и
x=3 и x=-4,5. Жауабы: x=3 и x=-4,5. Жұптық жұмыс Мысал 2
|
Дескриптор: -1-ші сұраққа жауап береді. 1-балл -2-ші сұраққа жауап береді. 1-балл -3-ші сұраққа жауап береді. 1-балл Әрбір дұрыс жауапка 1 балл қойылады
|
ДК экраны Сұрақтар топтамасы. Оқулық 11-сынып.
|
|
Сабақтың соңы |
Сабақ соңында жүргізілетін рефлексия: Кері байланыс: «Бес бармақ» тәсілі:
|
Үй жұмысы
Теңдеулерді шешіңіздер 1)
2)
|
Бағалау. Оқушылар бір-бірін ауызша критерий бойынша бағалайды. - Кейбір оқушыларға мұғалім тарапынан кері байланыс беріледі. |
|
Пән: Алгебра
Қысқа мерзімді жоспар №19-сабак
|
Бөлім: Дәрежелер мен түбірлер. Дәрежелік функция |
Мектеп: |
|
Педагогтің аты-жөні: |
|
|
Күні: |
|
|
Сыныбы: 11 |
Қатысушылар саны: Қатыспағандар саны: |
|
Сабақтың тақырыбы: |
Иррационал теңдеулер мен олардың жүйелері |
|
Оқу бағдарламасына сәйкес оқыту мақсаты |
11.2.2.1 – иррационал теңдеудің анықтамасын білу, оның ММЖ-сін анықтай алу; 11.2.2.2 – теңдеудің екі жағын бірдей n-ші дәрежеге шығару әдісі арқылы иррационал теңдеулерді шеше алу; 11.2.2.3 – айнымалыны алмастыру әдісі арқылы иррационал теңдеулерді шеше алу; 11.2.2.4 - иррационал теңдеулер жүйелерін шеше алу; |
|
Сабақтың мақсаты: |
– иррационал теңдеудің анықтамасын біледі, оның ММЖ-сін анықтай алады; – теңдеудің екі жағын бірдей n-ші дәрежеге шығару әдісі арқылы иррационал теңдеулерді шеше алады; – айнымалыны алмастыру әдісі арқылы иррационал теңдеулерді шеше алады; - иррационал теңдеулер жүйелерін шеше алады; |
Сабақтың барысы:
|
Сабақ кезеңі/Уақыты |
Педагогтың іс әрекеті |
Оқушының іс-әрекеті |
Бағалау |
Ресурстар |
||||||||||||||||||||||||||||||||||||||||||||||||||||||
|
Сабақтың басы |
Кері байланыс:
( осы есептерді тақтаға шығару жолын көрсеткен жөн)
|
«Миға шабуыл» Сұрақ-жауап зерттеушілік Сонымен, теңдеудің мүмкін мәндер жиыны деп теңдеудің екі жағының да мәні болғандай айнымалының мәндер жиынтығын айтамыз. Кейбір жағдайларда ММЖ-ның табуы күрделі болып кетеді: өйткені оны табу үшін теңсіздіктерді немесе теңсіздіктер жиынын шешу керек. Онда теңдеуді түбірлердің мәнін қойып,тексерген жөн.
|
Мұғалім ұйымдастыру кезеңінде белсенділік танытқан оқушыларды «Мадақтау сөз» әдісіарқылы бағалайды: «Жарайсың! Жақсы! Өте жақсы! Талпын!»
|
Түрлі түсті қима қағаздар
|
||||||||||||||||||||||||||||||||||||||||||||||||||||||
|
Сабақтың ортасы
|
Есептер:Теңдеулердің мүмкін мәндер жиынын табыңыздар және шешіңіздер
Уақыт өткеннен кейін, әр топ тақтаға өз жауаптарын жазадыжәне теңдеулердің мүмкін мәндер жиыны туралы айтып береді. Жауаптары бірдей болмаған есептер талданылады Бағалау: қай топтың жауаптарының көбі дұрыс? Қай топтың қателері көп? Неге назар аударуымыз керек? Қажетті болса, мұғалім кейбір есептерді шығарып көрсетеді.
-кім нені түсінген жоқ? -қай есептін шығару жолын түсінбедін? -қай есепті шығарып берейін?- осындай тағы да басқа сұрақтарға үлгерімі жоғары оқушылар қалғандарына көмектеседі. Кейбір жағдайларда иррационал теңдеулерді шешу кезінде жаңа айнымалы енгізу тәсілі күрделі иррационал теңдеулерді қарапайым түрге келтіру мақсатына қолданылады.
Мысал.
Шешуі. Берілген теңдеуді шешу
үшін
Жұппен жұмыс. (А тобы) №123. Теңдеулерді шешіңіздер:
1.
3.
Дескрипторлар: -ММЖ табады -иррационал теңдеулерді шешу алгоритмдерін қолданады; - жаңа айнымалы енгізеді -табылған түбірлерді тексеріп, егер бар болса, бөгде түбірлерді айырады; -теңдеудің түбірін табады. Жұппен жұмыс. (В тобы) №129 есеп. Теңдеулерді шешіңіздер:
1.
2.
3.
4. Дескрипторлар: -ММЖ табады -иррационал теңдеулерді шешу алгоритмдерін қолданады; - жаңа айнымалы енгізеді -табылған түбірлерді тексеріп, егер бар болса, бөгде түбірлерді айырады; -теңдеудің түбірін табады. |
Тапсырманың мақсаты: иррационал теңдеудің екі жағын бірдей тақ дәрежеге немесе жұп дәрежеге шығару және жаңа айнымалы енгізу арқылы теңдеулерді шеше білу. Оқушылардың білім деңгейін тексеру мақсатында. Академиялық шыншылдыққа, ынтымақтастыққа баулу дағдыларын дамытады. Бағалау критерийлері:
1Теңдеуді шешіңіз
:
2. Теңдеуді
шешіңіз:
3. Теңдеуді
шешіңіз:
4
. Теңдеудің түбірлерінің
көбейтіндісін табыңыз:
5. Теңдеуді
шешіңіз:
Балл қою кестесі
Жеке жұмыс (С тобы) №133. Теңдеулерді шешіңіздер:
1.
2.
Дескрипторлар: -ММЖ табады -иррационал теңдеулерді шешу алгоритмдерін қолданады; - жаңа айнымалы енгізеді -табылған түбірлерді тексеріп, егер бар болса, бөгде түбірлерді айырады; -теңдеудің түбірін табады.
|
Дескриптор: -1-ші сұраққа жауап береді. 1-балл -2-ші сұраққа жауап береді. 1-балл -3-ші сұраққа жауап береді. 1-балл
Әрбір дұрыс жауапка 1 балл қойылады
|
ДК экраны
Сұрақтар топтамасы.
Оқулық 11-сынып.
|
||||||||||||||||||||||||||||||||||||||||||||||||||||||
|
Сабақтың соңы |
. Сабақтың қорытындысы. Біз иррационал теңдеулерді шығарып жатырмыз. - Қалай шығарып жатырмыз? (теңдеудің екі жағында квадраттап, егер квадрат түбірі болса) - басқа дәрежелі түбір болса, не істейміз? Қалай ойлайсыздар? Мұғалім: осы тәсілді иррационал теңдеудің екі жағын дәрежелеу тәсілі дейді. Келесі сабақта сіздер басқа да тәсілмен танысасыздар
|
Мысал
. Мына теңдеуді қалай шешеміз? Айнымалысы бар өрнек ненін астында жазылып тұр?
Оқушыларға квадрат түбірдің қасиеттері мен мүмкін мәндер жиынын еске түсіреміз. Осы үш теңдеудің шешу жолдарын талқылап, қарастырамыз. Содан кейін презентациядағы сәйкес слайдтарға қараймыз.
Бірлесе отырып келесі түрдегі
иррационал теңдеулерді шешу алгоритмін
құрастырамыз:
1)
a) Егер с<0 болса, онда теңдеудің шешімі жоқ. б) Егер с=0 болса, онда берілген иррационал теңдеу f(x)=0
в) Егер
с>0, онда берілген иррационал
теңдеу түріндегі жүйемен мәндес болады.
2)
Берілген иррационал теңдеу
түріндегі жүйемен мәндес.
|
Бағалау. Оқушылар бір-бірін ауызша критерий бойынша бағалайды. - Кейбір оқушыларға мұғалім тарапынан кері байланыс беріледі.
|
|
Пән: Алгебра
Қысқа мерзімді жоспар №20-сабак
|
Бөлім: Дәрежелер мен түбірлер. Дәрежелік функция |
Мектеп: |
|
Педагогтің аты-жөні: |
|
|
Күні: |
|
|
Сыныбы: 11 |
Қатысушылар саны: Қатыспағандар саны: |
|
Сабақтың тақырыбы: |
Иррационал теңдеулер мен олардың жүйелері |
|
Оқу бағдарламасына сәйкес оқыту мақсаты |
11.2.2.1 – иррационал теңдеудің анықтамасын білу, оның ММЖ-сін анықтай алу; 11.2.2.2 – теңдеудің екі жағын бірдей n-ші дәрежеге шығару әдісі арқылы иррационал теңдеулерді шеше алу; 11.2.2.3 – айнымалыны алмастыру әдісі арқылы иррационал теңдеулерді шеше алу; 11.2.2.4 - иррационал теңдеулер жүйелерін шеше алу; |
|
Сабақтың мақсаты: |
– иррационал теңдеудің анықтамасын біледі, оның ММЖ-сін анықтай алады; – теңдеудің екі жағын бірдей n-ші дәрежеге шығару әдісі арқылы иррационал теңдеулерді шеше алады; – айнымалыны алмастыру әдісі арқылы иррационал теңдеулерді шеше алады; - иррационал теңдеулер жүйелерін шеше алады; |
Сабақтың барысы:
|
Сабақ кезеңі/Уақыты |
Педагогтың іс әрекеті |
Оқушының іс-әрекеті |
Бағалау |
Ресурстар |
|
Сабақтың басы |
Топтық жұмыс. Оқушыларды топтарға бөлу (4 адам). Мұғалім әр топқа тапсырмалар таратады. 1 топ – бұл топта үлгерімі төмендеу, 2 топ – бұл топта үлгерімі орта, 3 топ– бұл топта үлгерімі жоғары оқушылар.
1-топқа иррационал теңдеуді шешудің тәсілі көрсетілген, теңдеудің екі жағын да бірдей дәрежеге шығару тапсырмасы, 2-топқа жаңа айнымалы енгізу арқылы шешу тапсырмасы, ал 3-топқа теңдеудің берілуіндегі функциялардың ерекшеліктеріне назар аударатын тапсырма беріледі.
Оқушылар тапсырманы шешу жолын постерге орындап, тақтада қорғайды, ал басқа топтар шешімін дәптерге жазады.
Қорғау барысында мұғалім кемшіліктеріне назар аударып, түзетулер жасайды.Мұғалім әрекет етеді: оқушылардың өзін-өзі оқыту орындалу жағдайына. |
Ұйымдастыру: а) оқушылармен амандасу, түгендеу, сынып
бөлмесінің тазалығына көңіл
бөлу Өткен тақырыппен байланысты сұрақтар қою: 1) Х-тің қандай мәндерінде өрнектің мағынасы болады?
2) Квадрат түбірдіңанықтамасынқолданыптеңдеудішешіңдер.
3) Рационалкөрсеткіштідәрежеқасиетінқолданыптеңдеудішешіңдер
Қалыптастырушы бағалау.Жеке жұмыс. Оқушылардың тақырыпты білу және түсіну (Блум таксономиясы бойынша) қаншалықты түсінгенін анықтау мақсатында келесі активити жүргізіледі. Оқушыларға кіші тақталар (Ламинатталған А4 парақтары, whiteboard) таратылады. Мұғалім тұжырымды оқиды, ал оқушылар кіші тақталарға ақиқат болса «Т» әріпін жазады (True), ал жалған болса, «F» әріпін жазады (False) да жоғары көтеріп мұғалімге көрсетеді. Осы активити арқылы қай оқушының тақырыпты игеру деңгейін бақылайды. Мұғалім бес сөйлем оқиды. Критерийлер: Егер оқушы 4-5 сұраққа дұрыс жауап берсе оқушылар оқу мақсатын игергендігі анық. 1.Иррационал теңдеу – айнымалысы квадрат түбірдің астында болатын теңдеу. (ақиқат) 2.
3.
4. 5. Иррационал теңдеулерді шешу кезінде барлық табылған түбірлерді берілген теңдеуге қойып тексеру керек. (ақиқат) |
Мұғалім ұйымдастыру кезеңінде белсенділік танытқан оқушыларды «Мадақтау сөз» әдісіарқылы бағалайды: «Жарайсың! Жақсы! Өте жақсы! Талпын!» |
Түрлі түсті қима қағаздар
|
|
Сабақтың ортасы |
Есептер: 1) теңдеудің екі жағында алтыншы дәрежеге алайық:
Енді түбірлерді тексерейік. Шыққан сандарды х-тің орнына коямыз: Тексеру: х=1
болғанда x=6-ны
қойғанда 2)
Тексеру: түбірлерді х-тің орнына қоймай-ақ тексеруге болады, яғни теңдеудің он жағына назар аударсақ, х - 7 > 0 болу керек, яғни х > 7 орындалу керек (өйткені түбірдің дәрежесі жұп). Сондықтан, берілген теңдеудің түбірі х=11. 3)
Берілген теңдеудің екі жағында үшінші дәрежеге алдық. Кубтық теңдеу болғандықтан, үш түбір шықты. Дәреже тақ болғандықтан, тексеру керегі жоқ: өйткені теңдеудің екі жағын дәрежелегенде, берілген теңдеуге мәндес теңдеу шықты. Сонымен жауабы: х1=0; х2=2; х3=-1.
Құндылықтарды дарыту: бірін-бірі тындау, өз пікірін айта білу, жауапкершілік Теңдеулерді шешіңіз:
Бұл есептердің соңғы үшеуін дифференциация ретінде тезірек шығарғын оқушыларға беруге болады. Кейбір жұптарды тақтаға шығарып, оларды шығару жолдарын талдап беруге сұрауға болады. Кері байланыс: -қай теңдеу қиынырақ болды? - неліктен? - кім бірінші(басқа да) есептін шығару жолын айтып береді? - иррационал теңдеуді шығару үшін нені білу керек? - қандай айырмашылық бар: жұп дәрежелі немесе тақ дәрежелі түбірі бар теңдеулердің шығару жолында? Қосымша 1
Оқушыларға мұғалім тарапынан кері байланыс беріледі.
|
А – деңгей.
1. Теңдеуді
шешіңіз:
2. Теңдеуді
шешіңіз:
3. Теңдеуді
шешіңіз: В – деңгей.
4.
А) [3;21); B) [3;21]; C) [0; 20]; D) (21;30); E) (-28;21).
5. Теңдеуді
шешіңіз:
6. Теңдеуді
шешіңіз: С – деңгей. 7. Теңдеудің үлкен түбірін табыңыз:
Келесі тапсырманың шешуін қарастырыңыз. Мысал 1.
Шешуі:
«Миға
шабуыл»стратегиясын қолданып, оқушыларға жұпта Бірінші тәсіл. Теңдеудің екі жағын кубқа шығару. Екінші тәсіл. Екі айнымалыны еңгізіп, бастапқы теңдеуді теңдеулер жүйесіне келтіру.
Теңдеуді Теңдеуден теңдеулер жүйесіне
келтіріп, шешуге болады: Жауабы:
Практикалық бөлім Есептер шығару Жұптық жұмыс
Тапсырма 1.
Тапсырма 2.
Тапсырма 3.
Тапсырма
4.
Қиындық келтірген есептер тақтада талданады Қосымша есептер |
Дескриптор: -1-ші сұраққа жауап береді. 1-балл -2-ші сұраққа жауап береді. 1-балл -3-ші сұраққа жауап береді. 1-балл Әрбір дұрыс жауапка 1 балл қойылады
|
ДК экраны Сұрақтар топтамасы. Оқулық 11-сынып.
|
|
Сабақтың соңы |
Үй жұмысы: Есептер қиықшаларда
беріледі) |
Сабақ соңында оқушылар рефлексия жүргізеді: - нені білдім, нені үйрендім - нені толық түсінбедім - немен жұмысты жалғастыру қажет Оқушылар өздерінің жұмысы мен сыныптастарының жұмысын белгілі бір критерийлер бойынша бағалай алады |
Бағалау. Оқушылар бір-бірін ауызша критерий бойынша бағалайды. - Кейбір оқушыларға мұғалім тарапынан кері байланыс беріледі. |
|
Пән: Алгебра
Қысқа мерзімді жоспар №21-сабак
|
Бөлім: Дәрежелер мен түбірлер. Дәрежелік функция |
Мектеп: |
|
Педагогтің аты-жөні: |
|
|
Күні: |
|
|
Сыныбы: 11 |
Қатысушылар саны: Қатыспағандар саны: |
|
Сабақтың тақырыбы: |
Иррационал теңсіздіктер |
|
Оқу бағдарламасына сәйкес оқыту мақсаты |
11.2.2.5 – иррационал теңсіздіктерді шеше алу; |
|
Сабақтың мақсаты: |
– иррационал теңсіздіктерді шеше алады; |
Сабақтың барысы:
|
Сабақ кезеңі/Уақыты |
Педагогтың іс әрекеті |
Оқушының іс-әрекеті |
Бағалау |
Ресурстар |
||||||||
|
Сабақтың басы |
Ұйымдастыру
Оқушылар назарын аудару. |
. Өткен материалдарды қайта жаңғырту Мұғалім оқушыларға қайталау мақсатында жоғары дәрежелі теңдеулерді және иррационал теңдеулерді шешу тәсілдерін айтуды сұрайды.
Сабақтың мақсаты мен бағалау критерийлері оқушылармен бірлесе отырып талқаланып құрылады. |
Мұғалім ұйымдастыру кезеңінде белсенділік танытқан оқушыларды «Мадақтау сөз» әдісіарқылы бағалайды: «Жарайсың! Жақсы! Өте жақсы! Талпын!»
|
Түрлі түсті қима қағаздар
|
||||||||
|
Сабақтың ортасы
|
. Жаңа сабақ Қарапайым иррационал теңсіздіктер:
Мұғалім жоғарыда көрсетілген кестені беріп,келесітеңсіздіктердішығаружолдарыноқушыларменбіргеталқылайды:
Күрделі түрдегі иррационал теңсіздіктердің шешімдері:
Оқушылармен жоғарыда көрсетілген кесте талқыланып, келесі есептер тақтада талқыланып шығарылады:
|
Оқушыларға теңсіздіктер соның ішінде иррационал теңсіздіктерге мысалдар келтіруді сұрау. Оқушылардың айтқан мысалдарын тақтаға жазу. Оқушылар сызықтық,квадраттық, рационал және иррационал теңсіздіктер мысалын айтуы мүмкін, әр бір теңсіздік тақтаға жазылған теңсіздік түрлерін атап, оқушылармен қайталау, және сызықтық, квадраттық және рационал теңсіздіктерді шешу әдістерін қайталау. Егер
оқушылар мысалында иррационал теңсіздіктер болса, соны, болмаса
мұғалім тақтада Иррационал теңсіздіктерді шешу Иррационал теңсіздіктерді шешу иррационал теңдеулерді шешу сияқты радикалдан құтылып, теңсіздікті рационал түрге келтіріп алу керек. Иррационал теңсіздіктерді шешу үшін екі жағын дәрежелеу, жаңа айнымалы енгізу, көбейткіштерге жіктеу және интервалдар әдістерін қолдануға болады. Осы әдістердің ішінде екі жағын дәрежелеу, көбейткіштерге жіктеуді мысал-есептер арқылы көрсетейік. Екі жағын дәрежелеу әдісі Бұл әдісте егер радикал көрсеткіші тақ болса онда дәрежелеген кезде оған эквивалентті теңсіздік алынады, ал егер радикал көрсеткіші жұп болған кезде онда дәрежелеу үшін теңсіздіктің екі жағы да оң болу керек шартын ескеру керек. Мысал-есеп №1:
|
Дескриптор: -1-ші сұраққа жауап береді. 1-балл -2-ші сұраққа жауап береді. 1-балл -3-ші сұраққа жауап береді. 1-балл
Әрбір дұрыс жауапка 1 балл қойылады
|
ДК экраны
Сұрақтар топтамасы.
Оқулық 11-сынып.
|
||||||||
|
Сабақтың соңы |
Рефлексия - нені білдім, нені үйрендім - нені толық түсінбедім - немен жұмысты жалғастыру қажет
|
|
Бағалау. Оқушылар бір-бірін ауызша критерий бойынша бағалайды. - Кейбір оқушыларға мұғалім тарапынан кері байланыс беріледі.
|
|
Пән: Алгебра
Қысқа мерзімді жоспар №22-сабак
|
Бөлім: Дәрежелер мен түбірлер. Дәрежелік функция |
Мектеп: |
|
Педагогтің аты-жөні: |
|
|
Күні: |
|
|
Сыныбы: 11 |
Қатысушылар саны: Қатыспағандар саны: |
|
Сабақтың тақырыбы: |
Иррационал теңсіздіктер |
|
Оқу бағдарламасына сәйкес оқыту мақсаты |
11.2.2.5 – иррационал теңсіздіктерді шеше алу; |
|
Сабақтың мақсаты: |
– иррационал теңсіздіктерді шеше алады; |
Сабақтың барысы:
|
Сабақ кезеңі/Уақыты |
Педагогтың іс әрекеті |
Оқушының іс-әрекеті |
Бағалау |
Ресурстар |
|
Сабақтың басы |
Мақсаты: Оқушының иррационал теңсіздіктерді шешімін таба алу дағдысын тексеру. Бағалау: Есептер шешімін мұғалімнің дайын жауабымен тексереді. Дескрипторлар: Берілген теңсіздіктің анықталу облысын табады; Теңсіздіктердің мәндестігі туралы тұжырымға сүйеніп, берілген теңсіздіктің шешімдерін табады; Табылған шешімдер ішінен анықталу облысына тиісті аралықтарды таңдай алады. |
Оқушылардың сабаққа даярлығын тексеру. - Оқушы көңілін сабаққа аудару. Мұғаліммен ауызша тапсырма орындау: «ҚАТЕНІ ТАП» Теңдеуді шеш
Бүгінгі сабақтың мақсаты қалай деп ойлайсыңдар? - оқушылармен бірігіп сабақтың мақсатын анықтайды |
Мұғалім ұйымдастыру кезеңінде белсенділік танытқан оқушыларды «Мадақтау сөз» әдісіарқылы бағалайды: «Жарайсың! Жақсы! Өте жақсы! Талпын!» |
Түрлі түсті қима қағаздар
|
|
Сабақтың ортасы |
І. Теориялық материалға шолу жасау. Мұғалім презентация көмегімен Иррационал теңсіздіктерді шешу жолдарына сұрақтар қоя отырып, еске түсінеді. Мақсаты: Оқушыларға иррационал теңсіздіктерді шешу жолдарына үйрету. Иррационал теңсіздіктерді шешу үшін теңсіздіктің екі жағын бірдей натурал дәрежеге шығару, жаңа айнымалы енгізу, т.б. әдістер қолдануға болады. Шешімін іздестіруді былай орындауға болады:
Иррационал теңсіздіктерді шешуге дағдыланған соң бұл үш этапқа қарамай берілген теңсіздікті қарапайым теңсіздіктер жүйесімен немесе жиынтығымен алмастыруға болады.
Теңсіздікті шешуде қолданатын қатынастар: 1)
ІІ. Жұптық жұмыс. Иррационал теңсіздіктердің шешімін табу. Мақсаты: Оқушылардың иррационал теңсіздіктерді шешу дағдыларын қалыптастыру. Бағалау:Оқушылар бұл тапсырмаларды орындап болған соң, жұптар жұмыстарын салыстырады. Салыстырылған есептер шешімін мұғалімнің дайын жауаптар көмегімен жұптар өздерін бағалайды. Дескрипторлар:
Мұғалім орындалған тапсырмалар бойынша кері байланыстар береді.
|
Жұптық тапсырма: Есеп №2:
Бағалау: Оқушылар қасындағы жұптарымен бірге есептерін талқылап, басқалармен салыстырғанда айырмашылық бар ма, болса қандай. Себебі неге анықтатып, содан кейін барып дұрыс шешімді тақтада көрсету. Шешуі:
Жауабы: Жаңа әдісті бекіту үшін жұпқа тапсырма беру. Жұптық тапсырма: Есеп №5:
Бағалау: Оқушылар қасындағы жұптарымен бірге есептерін талқылап, басқалармен салыстырғанда айырмашылық бар ма, болса қандай. Себебі неге анықтатып, содан кейін барып дұрыс шешімді тақтада көрсету. Шешуі:
ІІІ. Жеке жұмыс. Иррационал теңсіздіктердің шешімін табу. Тапсырмалар білу, түсіну, қолдану және анализ жасауға берілген. Оқушылардың ерекшеліктеріне байланысты тапсырмаларды әртүрлі ойлау дағдыларына байланыстырып, немесе барлық дағдыларды қамтып беруге болады. Мақсаты: Оқушының иррационал теңсіздіктерді шешімін таба алу дағдысын тексеру. Бағалау: Есептер шешімін мұғалімнің дайын жауабымен тексереді. Дескрипторлар:
Мұғалім орындалған тапсырмалар бойынша кері байланыстар береді. Сабақты қорытындылайды. |
Дескриптор: -1-ші сұраққа жауап береді. 1-балл -2-ші сұраққа жауап береді. 1-балл -3-ші сұраққа жауап береді. 1-балл Әрбір дұрыс жауапка 1 балл қойылады
|
ДК экраны Сұрақтар топтамасы. Оқулық 11-сынып. http://formula-xyz.ru/irratsionalnye-neravenstva.html http://ru.solverbook.com/spravochnik/reshenie-neravenstv/irracionalnye-neravenstva-i-ix-reshenie/ http://youclever.org/book/irratsionalnye-neravenstva-2
|
|
Сабақтың соңы |
Рефлексия:Бүгінгі алдыңызға қойған мақсатыңызға жеттіңіз бе? Сізге не қиындық туғызды? Оны жеңу үшін қандай жұмыстарды атқарасыз? |
Б/ Үй
тапсырмасы: Мысал-есеп
№6:
Екі жағдайын қарастырайық:
Жауабы: |
Бағалау. Оқушылар бір-бірін ауызша критерий бойынша бағалайды. - Кейбір оқушыларға мұғалім тарапынан кері байланыс беріледі. |
|
Пән: Алгебра
Қысқа мерзімді жоспар №23-сабак
|
Бөлім: Дәрежелер мен түбірлер. Дәрежелік функция |
Мектеп: |
|
Педагогтің аты-жөні: |
|
|
Күні: |
|
|
Сыныбы: 11 |
Қатысушылар саны: Қатыспағандар саны: |
|
Сабақтың тақырыбы: |
Иррационал теңсіздіктер |
|
Оқу бағдарламасына сәйкес оқыту мақсаты |
11.2.2.5 – иррационал теңсіздіктерді шеше алу; |
|
Сабақтың мақсаты: |
– иррационал теңсіздіктерді шеше алады; |
Сабақтың барысы:
|
Сабақ кезеңі/Уақыты |
Педагогтың іс әрекеті |
Оқушының іс-әрекеті |
Бағалау |
Ресурстар |
||||||
|
Сабақтың басы |
І. Ұйымдастыру
ІІ. Үй жүмысын тексеру. 1) 2) 3) |
|
Мұғалім ұйымдастыру кезеңінде белсенділік танытқан оқушыларды «Мадақтау сөз» әдісіарқылы бағалайды: «Жарайсың! Жақсы! Өте жақсы! Талпын!»
|
Түрлі түсті қима қағаздар
|
||||||
|
Сабақтың ортасы
|
. Теңсіздік шешу әдістерін қайталау. ІІ. Есеп шығару.
ж) ІІ. Оқулықпен жұмыс. (Шыныбеков А.Н.)
|
|
Дескриптор: -1-ші сұраққа жауап береді. 1-балл -2-ші сұраққа жауап береді. 1-балл -3-ші сұраққа жауап береді. 1-балл
Әрбір дұрыс жауапка 1 балл қойылады
|
ДК экраны
Сұрақтар топтамасы.
Оқулық 11-сынып.
|
||||||
|
Сабақтың соңы |
Рефлексия - нені білдім, нені үйрендім - нені толық түсінбедім - немен жұмысты жалғастыру қажет Үйге тапсырмасы. № 143 а)
б)
|
Жұптық жұмыс 1. Теңсіздіктің шешімін табыңыз: а)
2. Теңсіздіктің ең кіші
бүтін шешімін табыңыз:
Дескриптор:
|
Бағалау. Оқушылар бір-бірін ауызша критерий бойынша бағалайды. - Кейбір оқушыларға мұғалім тарапынан кері байланыс беріледі.
|
|
Пән: Алгебра
Қысқа мерзімді жоспар №24-сабак
|
Бөлім: Дәрежелер мен түбірлер. Дәрежелік функция |
Мектеп: |
|
Педагогтің аты-жөні: |
|
|
Күні: |
|
|
Сыныбы: 11 |
Қатысушылар саны: Қатыспағандар саны: |
|
Сабақтың тақырыбы: |
Иррационал теңсіздіктер |
|
Оқу бағдарламасына сәйкес оқыту мақсаты |
11.2.2.5 – иррационал теңсіздіктерді шеше алу; |
|
Сабақтың мақсаты: |
– иррационал теңсіздіктерді шеше алады; |
Сабақтың барысы:
|
Сабақ кезеңі/Уақыты |
Педагогтың іс әрекеті |
Оқушының іс-әрекеті |
Бағалау |
Ресурстар |
||||||||||||||||||||||||||||||||||||||||||
|
Сабақтың басы |
Теориялық материалға шолу жасау. Мұғалім презентация көмегімен Иррационал теңсіздіктерді шешу жолдарына сұрақтар қоя отырып, еске түсінеді. Мақсаты: Оқушыларға иррационал теңсіздіктерді шешу жолдарына үйрету. Иррационал теңсіздіктерді шешу үшін теңсіздіктің екі жағын бірдей натурал дәрежеге шығару, жаңа айнымалы енгізу, т.б. әдістер қолдануға болады. Шешімін іздестіруді былай орындауға болады:
Иррационал теңсіздіктерді шешуге дағдыланған соң бұл үш этапқа қарамай берілген теңсіздікті қарапайым теңсіздіктер жүйесімен немесе жиынтығымен алмастыруға болады. |
Теңсіздікті шешуде қолданатын қатынастар: 1)
|
Мұғалім ұйымдастыру кезеңінде белсенділік танытқан оқушыларды «Мадақтау сөз» әдісіарқылы бағалайды: «Жарайсың! Жақсы! Өте жақсы! Талпын!» |
Түрлі түсті қима қағаздар
|
||||||||||||||||||||||||||||||||||||||||||
|
Сабақтың ортасы |
III. Жеке жұмыс тапсырмасының жауабы:
|
Жеке жұмыс
|
Дескриптор: -1-ші сұраққа жауап береді. 1-балл -2-ші сұраққа жауап береді. 1-балл -3-ші сұраққа жауап береді. 1-балл
Әрбір дұрыс жауапка 1 балл қойылады
|
ДК экраны
Сұрақтар топтамасы.
Оқулық 11-сынып.
|
||||||||||||||||||||||||||||||||||||||||||
|
Сабақтың соңы |
Үй тапсырмасы
Берілген теңсіздіктің анықталу облысын табады; Теңсіздіктердің мәндестігі туралы тұжырымға сүйеніп, берілген теңсіздіктің шешімдерін табады; Табылған шешімдер ішінен анықталу облысына тиісті аралықтарды таңдай алады.
|
Үй тапсырмасы жауабы
|
Бағалау. Оқушылар бір-бірін ауызша критерий бойынша бағалайды. - Кейбір оқушыларға мұғалім тарапынан кері байланыс беріледі.
|
|
Пән: Алгебра
Қысқа мерзімді жоспар №25-сабак
|
Бөлім: Дәрежелер мен түбірлер. Дәрежелік функция |
Мектеп: |
|
Педагогтің аты-жөні: |
|
|
Күні: |
|
|
Сыныбы: 11 |
Қатысушылар саны: Қатыспағандар саны: |
|
Сабақтың тақырыбы: |
Иррационал теңсіздіктер |
|
Оқу бағдарламасына сәйкес оқыту мақсаты |
11.2.2.5 – иррационал теңсіздіктерді шеше алу; |
|
Сабақтың мақсаты: |
– иррационал теңсіздіктерді шеше алады; |
Сабақтың барысы:
|
Сабақ кезеңі/Уақыты |
Педагогтың іс әрекеті |
Оқушының іс-әрекеті |
Бағалау |
Ресурстар |
||
|
Сабақтың басы |
. Ұйымдастыру. Амандасу. Жақсы тілектер айту арқылы ынтымақтастық атмосферасын орнату. Рационал өрнектері бар теңдеулер мен теңсіздіктер туралы, шешу тәсілдері туралы слайдармен өткен материалды пысықтау, үй жұмысын тексеру. |
. Өткен материалдарды қайта жаңғырту Мұғалім оқушыларға қайталау мақсатында жоғары дәрежелі теңдеулерді және иррационал теңдеулерді шешу тәсілдерін айтуды сұрайды.
Сабақтың мақсаты мен бағалау критерийлері оқушылармен бірлесе отырып талқаланып құрылады. |
Мұғалім ұйымдастыру кезеңінде белсенділік танытқан оқушыларды «Мадақтау сөз» әдісіарқылы бағалайды: «Жарайсың! Жақсы! Өте жақсы! Талпын!»
|
Түрлі түсті қима қағаздар
|
||
|
Сабақтың ортасы
|
Жалпы сыныптық жұмыс №1.
Теңсіздікті
шешіңіз:
№2.
Теңсіздікті
шешіңіз:x2
- 8x -
2
5. Теңсіздікті
шешіңіз: Берілген теңсіздікті шешу үшін оған мәндес теңсіздік аламыз:
Жауабы: шешімі жоқ.
|
Теңсіздікті
шешіңіз: Теңсіздіктің сол жағы арифметикалық түбір болғандықтан оң жағы нөлден артық, әрі теңсіздіктің анықталу облысын ескеріп мынадай теңсіздіктер жүйесін аламыз:
x + 6 ≥ 0
x + 6 < x2 x2 – x – 6 > 0 (x – 3)(x + 2) > 0
Жауабы:
х 4.Теңсіздікті
шешіңіз: Теңсіздіктің сол жағы арифметикалық түбір оң жағы оңда, теріс де болуы мүмкін. Осы шартты ескере отырып, берілген теңсіздікті екі жүйенің жиынтығына мәндес деп аламыз:
1 x2
– 9 ≥ 0
2
Жауабы: х
|
Дескриптор: -1-ші сұраққа жауап береді. 1-балл -2-ші сұраққа жауап береді. 1-балл -3-ші сұраққа жауап береді. 1-балл
Әрбір дұрыс жауапка 1 балл қойылады
|
ДК экраны
Сұрақтар топтамасы.
Оқулық 11-сынып.
|
||
|
Сабақтың соңы |
Рефлексия - нені білдім, нені үйрендім - нені толық түсінбедім - немен жұмысты жалғастыру қажет
|
Үй жұмыс: №3.
Теңсіздікті
шешіңіз:3
№4.
Теңсіздікті
шешіңіз: |
Бағалау. Оқушылар бір-бірін ауызша критерий бойынша бағалайды. - Кейбір оқушыларға мұғалім тарапынан кері байланыс беріледі.
|
|
Пән: Алгебра
Қысқа мерзімді жоспар №26-сабак
|
Бөлім: Дәрежелер мен түбірлер. Дәрежелік функция |
Мектеп: |
|
Педагогтің аты-жөні: |
|
|
Күні: |
|
|
Сыныбы: 11 |
Қатысушылар саны: Қатыспағандар саны: |
|
Сабақтың тақырыбы: |
2 тоқсан материалдарын қайталау |
|
Оқу бағдарламасына сәйкес оқыту мақсаты |
11.2.2.5 – иррационал теңсіздіктерді шеше алу; 11.2.2.1 – иррационал теңдеудің анықтамасын білу, оның ММЖ-сін анықтай алу; 11.2.2.2 – теңдеудің екі жағын бірдей n-ші дәрежеге шығару әдісі арқылы иррационал теңдеулерді шеше алу; 11.2.2.3 – айнымалыны алмастыру әдісі арқылы иррационал теңдеулерді шеше алу; 11.2.2.4 - иррационал теңдеулер жүйелерін шеше алу; |
|
Сабақтың мақсаты: |
– иррационал теңсіздіктерді шеше алады; – иррационал теңдеудің анықтамасын біледі, оның ММЖ-сін анықтай алады; – теңдеудің екі жағын бірдей n-ші дәрежеге шығару әдісі арқылы иррационал теңдеулерді шеше алады; – айнымалыны алмастыру әдісі арқылы иррационал теңдеулерді шеше алады; - иррационал теңдеулер жүйелерін шеше алады; |
Сабақтың барысы:
|
Сабақ кезеңі/Уақыты |
Педагогтың іс әрекеті |
Оқушының іс-әрекеті |
Бағалау |
Ресурстар |
||||||||||||||||||
|
Сабақтың басы |
Оқушылардың сабаққа даярлығын тексеру. - Оқушы көңілін сабаққа аудару. Мұғаліммен ауызша тапсырма орындау: «ҚАТЕНІ ТАП» Теңдеуді шеш
Бүгінгі сабақтың мақсаты қалай деп ойлайсыңдар? - оқушылармен бірігіп сабақтың мақсатын анықтайды |
Теңдеудің екі жағын бірдей дәрежеге шығару әдісі. - Оқушылар, берілген теңдеуді шешуде қандай алгоритм жасалды? - неге көңіл аудару қажет? Оқушылармен төмендегідей қорытынды жасалады - егер дәреже көрсеткіші жұп болса, онда түбір астындағы өрнек теріс емес мәнді қабылдау қажет; сонымен қатар түбір де теріс емес мәнді қабылдау қажет; - егер дәреже көрсеткіші тақ болса, онда түбір астындағы өрнектің кез-келген мәнінде мағынасы болады Мысалы:
Жұппен жұмыс Екі оқушы тапсырманы тақтада орындайды. Жауаппен бағалау. а) в) күрделі деңгейдегі тапсырма: с) Рефлексия: - мен білдім … - маған қызық болды … - маған түсініксіз болды … |
Мұғалім ұйымдастыру кезеңінде белсенділік танытқан оқушыларды «Мадақтау сөз» әдісіарқылы бағалайды: «Жарайсың! Жақсы! Өте жақсы! Талпын!» |
Түрлі түсті қима қағаздар
|
||||||||||||||||||
|
Сабақтың ортасы |
|
І нұсқа
|
Дескриптор: -1-ші сұраққа жауап береді. 1-балл -2-ші сұраққа жауап береді. 1-балл -3-ші сұраққа жауап береді. 1-балл
Әрбір дұрыс жауапка 1 балл қойылады
|
ДК экраны
Сұрақтар топтамасы.
Оқулық 11-сынып.
|
||||||||||||||||||
|
Сабақтың соңы |
Рефлексия - нені білдім, нені үйрендім - нені толық түсінбедім - немен жұмысты жалғастыру қажет
|
Теңсіздікті
шешіңіз: Ж:
Үй тапсырмасы. |
Бағалау. Оқушылар бір-бірін ауызша критерий бойынша бағалайды. - Кейбір оқушыларға мұғалім тарапынан кері байланыс беріледі.
|
|
Пән: Алгебра
Қысқа мерзімді жоспар №27-сабак
|
Бөлім: Дәрежелер мен түбірлер. Дәрежелік функция |
Мектеп: |
|
Педагогтің аты-жөні: |
|
|
Күні: |
|
|
Сыныбы: 11 |
Қатысушылар саны: Қатыспағандар саны: |
|
Сабақтың тақырыбы: |
2 тоқсан материалдарын қайталау |
|
Оқу бағдарламасына сәйкес оқыту мақсаты |
11.2.2.5 – иррационал теңсіздіктерді шеше алу; 11.2.2.1 – иррационал теңдеудің анықтамасын білу, оның ММЖ-сін анықтай алу; 11.2.2.2 – теңдеудің екі жағын бірдей n-ші дәрежеге шығару әдісі арқылы иррационал теңдеулерді шеше алу; 11.2.2.3 – айнымалыны алмастыру әдісі арқылы иррационал теңдеулерді шеше алу; 11.2.2.4 - иррационал теңдеулер жүйелерін шеше алу; |
|
Сабақтың мақсаты: |
– иррационал теңсіздіктерді шеше алады; – иррационал теңдеудің анықтамасын біледі, оның ММЖ-сін анықтай алады; – теңдеудің екі жағын бірдей n-ші дәрежеге шығару әдісі арқылы иррационал теңдеулерді шеше алады; – айнымалыны алмастыру әдісі арқылы иррационал теңдеулерді шеше алады; - иррационал теңдеулер жүйелерін шеше алады; |
Сабақтың барысы:
|
Сабақ кезеңі/Уақыты |
Педагогтың іс әрекеті |
Оқушының іс-әрекеті |
Бағалау |
Ресурстар |
|
Сабақтың басы |
. Ұйымдастыру. Амандасу. Жақсы тілектер айту арқылы ынтымақтастық атмосферасын орнату. Рационал өрнектері бар теңдеулер мен теңсіздіктер туралы, шешу тәсілдері туралы слайдармен өткен материалды пысықтау, үй жұмысын тексеру |
Теңсіздікті
шешіңіз: Ж:
Теңсіздікті
шешіңіз: Ж: (-6;-5).
|
Мұғалім ұйымдастыру кезеңінде белсенділік танытқан оқушыларды «Мадақтау сөз» әдісіарқылы бағалайды: «Жарайсың! Жақсы! Өте жақсы! Талпын!» |
Түрлі түсті қима қағаздар
|
|
Сабақтың ортасы |
|
Теңсіздікті
шешіңіз: Ж: Теңсіздікті
шешіңіз: Ж:
Теңсіздікті
шешіңіз: Ж: (-6;-5). Теңсіздікті
шешіңіз: Ж:
Ж:
Теңсіздікті
шешіңіз: Ж:
Ж:
Теңсіздікті шешіңіз: |
|
|
|
Сабақтың соңы |
Рефлексия - нені білдім, нені үйрендім - нені толық түсінбедім - немен жұмысты жалғастыру қажет |
Теңсіздікті
шешіңіз: Ж:
Теңсіздікті
шешіңіз: Ж:
|
|
|
Пән: Алгебра
Қысқа мерзімді жоспар №28-сабак
|
Бөлім: Дәрежелер мен түбірлер. Дәрежелік функция |
Мектеп: |
|
Педагогтің аты-жөні: |
|
|
Күні: |
|
|
Сыныбы: 11 |
Қатысушылар саны: Қатыспағандар саны: |
|
Сабақтың тақырыбы: |
2 тоқсан материалдарын қайталау |
|
Оқу бағдарламасына сәйкес оқыту мақсаты |
11.2.2.5 – иррационал теңсіздіктерді шеше алу; 11.2.2.1 – иррационал теңдеудің анықтамасын білу, оның ММЖ-сін анықтай алу; 11.2.2.2 – теңдеудің екі жағын бірдей n-ші дәрежеге шығару әдісі арқылы иррационал теңдеулерді шеше алу; 11.2.2.3 – айнымалыны алмастыру әдісі арқылы иррационал теңдеулерді шеше алу; 11.2.2.4 - иррационал теңдеулер жүйелерін шеше алу; |
|
Сабақтың мақсаты: |
– иррационал теңсіздіктерді шеше алады; – иррационал теңдеудің анықтамасын біледі, оның ММЖ-сін анықтай алады; – теңдеудің екі жағын бірдей n-ші дәрежеге шығару әдісі арқылы иррационал теңдеулерді шеше алады; – айнымалыны алмастыру әдісі арқылы иррационал теңдеулерді шеше алады; - иррационал теңдеулер жүйелерін шеше алады; |
Сабақтың барысы:
|
Сабақ кезеңі/Уақыты |
Педагогтың іс әрекеті |
Оқушының іс-әрекеті |
Бағалау |
Ресурстар |
|
Сабақтың басы |
. Ұйымдастыру. Амандасу. Жақсы тілектер айту арқылы ынтымақтастық атмосферасын орнату. Рационал өрнектері бар теңдеулер мен теңсіздіктер туралы, шешу тәсілдері туралы слайдармен өткен материалды пысықтау, үй жұмысын тексеру |
Теңсіздікті қанағаттандыратын
ең кіші бүтін шешімін табыңыз: Ж:3.
Ж:
Теңсіздікті
шешіңіз: Ж: |
Мұғалім ұйымдастыру кезеңінде белсенділік танытқан оқушыларды «Мадақтау сөз» әдісіарқылы бағалайды: «Жарайсың! Жақсы! Өте жақсы! Талпын!» |
Түрлі түсті қима қағаздар
|
|
Сабақтың ортасы |
Теңсіздікті қанағаттандыратын
ең кіші бүтін шешімін табыңыз: Ж: 3. Теңсіздікті
шешіңіз: Ж:
Теңсіздіктің ең кіші мәнін
тап: Ж: 0 Теңсіздіктің ең үлкен мәнін
тап: Ж: 4 Теңсіздікті
шешіңіз: Ж:
|
Теңсіздікті
шешіңіз: Ж:
Теңсіздікті шешіңіз: Теңсіздікті
шешіңіз: Ж:
Теңсіздікті
шешіңіз: Ж:
Ж: Теңсіздікті
шешіңіз: Ж: |
Дескриптор: -1-ші сұраққа жауап береді. 1-балл -2-ші сұраққа жауап береді. 1-балл -3-ші сұраққа жауап береді. 1-балл Әрбір дұрыс жауапка 1 балл қойылады
|
ДК экраны Сұрақтар топтамасы. Оқулық 11-сынып.
|
|
Сабақтың соңы |
Рефлексия - нені білдім, нені үйрендім - нені толық түсінбедім - немен жұмысты жалғастыру қажет |
Теңсіздікті қанағаттандыратын
ең үлкен бүтін шешімін табыңыз: Ж: 3 Үйге тапсырма |
Бағалау. Оқушылар бір-бірін ауызша критерий бойынша бағалайды. - Кейбір оқушыларға мұғалім тарапынан кері байланыс беріледі. |
|
жүктеу мүмкіндігіне ие боласыз
Бұл материал сайт қолданушысы жариялаған. Материалдың ішінде жазылған барлық ақпаратқа жауапкершілікті жариялаған қолданушы жауап береді. Ұстаз тілегі тек ақпаратты таратуға қолдау көрсетеді. Егер материал сіздің авторлық құқығыңызды бұзған болса немесе басқа да себептермен сайттан өшіру керек деп ойласаңыз осында жазыңыз
ҚМЖ 2 Тоқсан алгебра 11-сынып ЖМБ
ҚМЖ 2 Тоқсан алгебра 11-сынып ЖМБ
|
Бөлім: |
Дәрежелер мен түбірлер. Дәрежелік функция |
|
Педагогтің аты-жөні: |
Абдуллаева Д |
|
Күні: |
04.11.24 |
|
Сыныбы: 11ә |
Қатысушылар саны: Қатыспағандар саны: |
|
Сабақтың тақырыбы: |
n-ші дәрежелі түбір және оның қасиеттері |
|
Оқу бағдарламасына сәйкес оқыту мақсаты |
11.2.1.1 - n-ші дәрежелі түбір және n-ші дәрежелі арифметикалық түбір анықтамасын білу; 11.2.1.2 - n-ші дәрежелі түбір қасиеттерін білу; |
|
Сабақтың мақсаты: |
n-ші дәрежелі түбір және n-ші дәрежелі арифметикалық түбір анықтамасын үйрету n-ші дәрежелі түбір қасиеттерін үйрету |
Сабақтың барысы:
|
Сабақ кезеңі/Уақыты |
Педагогтың іс әрекеті |
Оқушының іс-әрекеті |
Бағалау |
Ресурстар |
|||||||||||||||||||||||||||||||||||||||||||||
|
Сабақтың басы 5мин |
- оқушылардың зейінін шоғырландыру - оқушылар мен бірігіп сабақ мақсатын және оқу мақсаттарын анықтау - оқушылардың «жақын аймақтағы дамуын» анықтап, сабақтын сонындағы күтілетін нәтижені қарастыру. Оқушылар назарын келесі қасиеттерге аударыңыз:
Осы қасиеттерді түсінуін бекіту үшін оқушыларға төмендегі сұрақтар топтамасын қойыңыз: Тапсырма 1. Төмендегі теңдіктер дұрыспа?
Тапсырма 2.
Оқушыларды жұпқа біріктіріңіз. Оқушыларға өзін-өзі тексеруі үлгіде көрсетілген, тапсырманы ұсыныңыз. Жауаптарын слайдта беруге болады. Тапсырма 1. Есептеңіз:
|
Квадрат түбір, арифметикалық квадрат түбір ұғымдарын және түбірдің қасиеттерін қайталаңыз. Оқушыларды жұптарға біріктіріңіз. Тапсырмаларды орындауды ұсыныңыз.
|
Мұғалім ұйымдастыру кезеңінде белсенділік танытқан оқушыларды «Мадақтау сөз» әдісіарқылы бағалайды: «Жарайсың! Жақсы! Өте жақсы! Талпын!»
|
Түрлі түсті қима қағаздар
|
|||||||||||||||||||||||||||||||||||||||||||||
|
Сабақтың ортасы
|
І. Жаңа материалды баяндау (негізгі ұғымдар) Компьютердің мультимедиялық мүмкіндіктерін пайдалана отырып презентация арқылы жаңа тақырыпты түсіндіру. 1) Санды дәрежеге шығаруға кері амал бар ма? 2) а санының квадрат түбірідеген не? 3) 49 санының квадрат түбірінешегетең? 4) 27 саныныңүшіншідәрежелітүбірінешегетең? 5) 256 саныныңтөртіншідәлежелітүбірінешегетең? 6) 243 саныныңбесіншідәрежелітүбірінешегетең? 7) а санының n-шідәрежелітүбірідеген не?
Анықтама. а санының n-ші дәрежелі түбірі деп n- ші дәрежесі a санына тең болатын b санын айтады. Анықтама
бойынша 2. Арифматикалық түбірдің қасиеттері (Видеотүсіндіру) Егер
Егер
Егер
Егер
Мысал-1:
Мысал-2:
Мысал-3:
Мысал-4:
Мысал-5:
Салыстырыңдар: Оқушыларға жұппен жұмысқа берілетін тапсырмалар 2-мысал. Сандардың үшінші дәрежелі түбірлерін табыңыз.
4)
Дескриптор: - түбір астындағы санды a3түрінде жазады; - үшінші дәрежелі түбірін табады;
Оқушыларға жеке орындауға берілетін тапсырмалар
Дескриптор: -
- өрнекті түбір астынан шығарады; - жауабын стандарт түрде жазады;
Дескриптор: -
- жауабын жазады (түбір түрінде); Практикалық мазмұндағы есептерді шешу:
Подшипник шаригінің жұмыс
жасау ұзақтығы t (сағ) мына формуламен
өрнектеледі: Мұндағы n - валдың минуттағы айналым саны, F - подшипникке әсер ететін күш (Н), С – подшипник стандартына сай берілген тұрақты. Егер, подшипникке 320 Н күш әсер етіп, n = 2340 айн/мин және С=64000 болса, подшипниктің жұмыс жасау ұзақтығын табыңыз. (Жауабы: 2447 күн.) |
Өзіңіз хn=a теңдеуін шешудіңсызбасын жасауды ұсыныңыз. Ал содан кейін салыстырып, түзетулер енгізіңіз.
Енді оқушыларға n-дәрежелі түбір мен арифметикалық түбірдің анықтамаларын беріңіз.
Анықтама:
Егер
Теріс емеса санынан алынған n-дәрежелі түбір деп n-дәрежесі асанына теңтеріс емессанды атаймыз.
Сыныппен «Санды тап» ойынын жүргізіңіз. Сыныпқа сұрақ қойыңыз, мысалы:
Оқушылар өз жауаптарын негіздеу керек. Ал содан кейін ойынды жұпта жүргізіңіз.
Оқушыларға практикалық мазмұнды есептерді шешуді ұсыныңыз. Тапсырма: Подшипниктің жұмысқа жарамдылық ұзақтығыt(сағ) мына формуламен өрнектеледі:
Мұндағы n – валдың минутына айналым саны, F – подшипникке әсер ететін күш (Н), С –подшипникке берілгенстандарттық тұрақты шама,. Подшипниктің жұмыс ұзақтығын табыңыз, егер F = 320Н;n=2340 айн/мин және С=64000 болса Бекітуге тапсырмалар ұсыныңыз: Тапсырма 1. Өрнектердің мағынасы барма: Тапсырма 2. Функцияның анықталу облысын табыңыз:
Тапсырма 3. Өрнектің мүмкін мәндер жиынын табыңыз:
|
Дескриптор: -1-ші сұраққа жауап береді. 1-балл -2-ші сұраққа жауап береді. 1-балл -3-ші сұраққа жауап береді. 1-балл
Әрбір дұрыс жауапка 1 балл қойылады
|
ДК экраны
Сұрақтар топтамасы.
Оқулық 11-сынып.
|
|||||||||||||||||||||||||||||||||||||||||||||
|
Сабақтың соңы |
Рефлексия. Мен есімесақтадым…
Әріқарайменіңбілгімкелетінім… Үй тапсырмасы
a)
Тепе-теңдікті
дәлелдеңдер: |
Тапсырма 3. Бөлшектің бөліміндегі
иррационалдықтан құтылыңыз Тапсырма 4. Өрнектің мәнін
табыңыз.
|
Бағалау. Оқушылар бір-бірін ауызша критерий бойынша бағалайды. - Кейбір оқушыларға мұғалім тарапынан кері байланыс беріледі.
|
|
|
Бөлім: |
Дәрежелер мен түбірлер. Дәрежелік функция |
|
Педагогтің аты-жөні: |
Абдуллаева Д |
|
Күні: |
04.11.24 |
|
Сыныбы: 11ә |
Қатысушылар саны: Қатыспағандар саны: |
|
Сабақтың тақырыбы: |
n-ші дәрежелі түбір және оның қасиеттері |
|
Оқу бағдарламасына сәйкес оқыту мақсаты |
11.2.1.1 - n-ші дәрежелі түбір және n-ші дәрежелі арифметикалық түбір анықтамасын білу; 11.2.1.2 - n-ші дәрежелі түбір қасиеттерін білу; |
|
Сабақтың мақсаты: |
- 11.2.1.1 - n-ші дәрежелі түбір және n-ші дәрежелі арифметикалық түбір анықтамасын білу; 11.2.1.2 - n-ші дәрежелі түбір қасиеттерін білу; |
Сабақтың барысы:
|
Сабақ кезеңі/Уақыты |
Педагогтың іс әрекеті |
Оқушының іс-әрекеті |
Бағалау |
Ресурстар |
||
|
Сабақтың басы |
Оқушыларға келесі сұрақтар қойылады: 1) а санының n-ші дәрежелі түбірі дегеніміз не? 2) n-ші дәрежелі түбірдің қандай қасиеттерін білесіздер? Топпен жұмыс Өрнектің ММЖ анықтаңдар 1) 5) 7) 11) Оқушылардың зейіндерін сабаққа аудару. а) Сабаққа әзірлікті бақылау; ә)Мағынаны ажырату. Сабақтың мақсатымен таныстыру.Сабақтың әр кезеңінде топ жетекшісінің көмегі арқылы оқушылардың жауабын есепке алып отыру.Бағалау парағын пайдалану. ІІ. Миға шабуыл. Тапсырмалар: Мына сандардың дәрежелерін есепте: 1) 235) 93 2) 346) 35 3) 627) 104 4) 278) 152 |
Жұпқа бөлу.Сәйкестендіру арқылы жұпқа бөлінеді.
Деңгейлік тапсырмалар: А деңгейі .
|
Мұғалім ұйымдастыру кезеңінде белсенділік танытқан оқушыларды «Мадақтау сөз» әдісіарқылы бағалайды: «Жарайсың! Жақсы! Өте жақсы! Талпын!» |
Түрлі түсті қима қағаздар
|
||
|
Сабақтың ортасы |
Қасиеттері:
Мысал-1: Мысал-2: Мысал-3: Мысал-4: Мысал-5: Салыстырыңдар: 3. №61 есеп (Н.Я.Виленкин)
Амалдардыорындаңдар: а) =
б
в
|
|
Дескриптор: -1-ші сұраққа жауап береді. 1-балл -2-ші сұраққа жауап береді. 1-балл -3-ші сұраққа жауап береді. 1-балл
Әрбір дұрыс жауапка 1 балл қойылады
|
ДК экраны
Сұрақтар топтамасы.
Оқулық 11-сынып.
|
||
|
Сабақтың соңы |
Рефлексия. Не үйрендім? Нені түсіндім, нені түсінбедім? Жеке жұмыс жасаған тиімді ме әлде жұппен жұмыс жасаған тиімді ме? сұрақтарына оқушылардан жауап аламын. Үй жұмысы.
|
1) Санды дәрежеге шығаруға кері амал бар ма? 2) а санының квадрат түбірідеген не? 3) 49 санының квадрат түбірінешегетең? 4) 27 саныныңүшіншідәрежелітүбірінешегетең? 5) 256 саныныңтөртіншідәлежелітүбірінешегетең? 6) 243 саныныңбесіншідәрежелітүбірінешегетең? 7) а санының n-шідәрежелітүбірідеген не?
|
Бағалау. Оқушылар бір-бірін ауызша критерий бойынша бағалайды. - Кейбір оқушыларға мұғалім тарапынан кері байланыс беріледі.
|
|
Тексерілді:
|
Бөлім: |
Дәрежелер мен түбірлер. Дәрежелік функция |
||
|
Педагогтің аты-жөні: |
Абдуллаева Д |
||
|
Күні: |
11.11.24 |
||
|
Сыныбы: 11ә |
Қатысушылар саны: Қатыспағандар саны: |
||
|
Сабақтың тақырыбы: |
Рационал көрсеткішті дәреже. Рационал көрсеткішті дәрежесі бар өрнектерді түрлендіру |
||
|
Оқу бағдарламасына сәйкес оқыту мақсаты |
11.2.1.3 - рационал көрсеткішті дәреже анықтамасын және қасиеттерін білу; 11.2.1.4 – алгебралық өрнектерді түрлендіру үшін рационал көрсеткішті дәреже қасиеттерін қолдану; |
||
|
Сабақтың мақсаты: |
- рационал көрсеткішті дәреже анықтамасын және қасиеттерін біледі; – алгебралық өрнектерді түрлендіру үшін рационал көрсеткішті дәреже қасиеттерін қолданады; |
||
|
Құндылықтарды дарыту |
«Жалпыға бірдей еңбек қоғамы» құндылығына: Топпен, жұппен жұмыс орындау барысында құрмет, серіктестік және жеке жұмыс орындау кезінде жауапкершілік, үздіксіз оқу құндылықтарын дарыту. |
|
|
Сабақтың барысы:
|
Сабақ кезеңі/Уақыты |
Педагогтың іс әрекеті |
Оқушының іс-әрекеті |
Бағалау |
Ресурстар |
|
Сабақтың басы |
Ұйымдастыру. Амандасу.Оқушылардың зейіндерін сабаққа аудару. Үй тапсырмасын тексеру Өткен тақырыпты еске түсіру
мақсатында жеке тапсырма алынады, тез тексеріліп, оқушыларға
керібайланыс беріледі. А
|
Өткенді қайталау. Миға шабуыл Сұрақтар: 1. Жазба нені білдіреді ап 2. а дегеніміз не? 3. п дегеніміз не? 4. а-п =? 5. Бүтін санмен берілген дәреженің қасиеттерін дәптерге жазып көрсетіңіз. 6. Қандай сандар натурал, бүтін санға, рационалға жатады? Эйлер шеңберлерінің көмегімен оларды сызыңыз. |
Мұғалім ұйымдастыру кезеңінде белсенділік танытқан оқушыларды «Мадақтау сөз» әдісіарқылы бағалайды: «Жарайсың! Жақсы! Өте жақсы! Талпын!» |
Түрлі түсті қима қағаздар
|
|
Сабақтың ортасы |
Мұғалім рационал көрсеткішті дәреже ұғымын таныстырады, және қарапайым есептер береді. Оқушылар жұптарда жұмыс жасайды, және тақтада есептер талқыланады. Анықтама. 1-мысал.
1) 2-мысал. Қайсы өрнектердің мағынасы бар?
3-мысал.Салыстырыңыздар:
4-мысал. Өрнектерді ықшамдаңдар:
Рационал көрсеткішті дәреженің қасиеттерін мұғалім көмегімен оқушылар дәлелдейді. Егер
сандары үшін
теңдіктері орындалады. Жұптарға бөлу. Оқушыларға кезкелген бір карточка алуға ұсынылады. Сәйкестендіру арқылы оқушылар жұптарға бөлінеді.
І. Формативті бағалау жүргізуге өзіндік жұмыс
ІІ. Рационал дәрежесі бар өрнектерді ықшамдау дағдыларын қалыптастыру мақсатында келесі есептерді топтарда қарастырады. |
Егер
1-мысалды талдап көрейік: бесінші дәреженің түбірі түрінде рационалды индикаторы бар дәреже жазыңыз: 1) Шешуі1) 2)
3,7-0,7= 3)
Жеке жұмыс Әр оқушы жеке отырып қосымша 2 тапсырмасын орындайды. Егер тапсырманы орындауда қиындықтар туындап жатса, қасындағы сыныптастарынан көмек сұрауына болады. Бағалау Дайын жауаптары бойынша оқушылар даптерлерімен ауысып бірін – бірі тексереді.
Оқушылар сол жұптарында келесі есептерді шығарады. Ал мұғалім әр топтың іс-қыймылын бақылайды. Өрнекті ықшамдаңыздар: a) b)
c)
d) e)
а) b)
c) d) |
Дескриптор: -1-ші сұраққа жауап береді. 1-балл -2-ші сұраққа жауап береді. 1-балл -3-ші сұраққа жауап береді. 1-балл Әрбір дұрыс жауапка 1 балл қойылады
|
ДК экраны Сұрақтар топтамасы. Оқулық 11-сынып.
|
|
Сабақтың соңы |
Үйге тапсырма:
|
Рефлексия.
Әріқарайменіңбілгімкелетінім… Сабақта белсенді болған оқушыларды бағалау |
Бағалау. Оқушылар бір-бірін ауызша критерий бойынша бағалайды. - Кейбір оқушыларға мұғалім тарапынан кері байланыс беріледі. |
|
Тексерілді:
|
Бөлім: |
Дәрежелер мен түбірлер. Дәрежелік функция |
||
|
Педагогтің аты-жөні: |
Абдуллаева Д |
||
|
Күні: |
13.11.24 |
||
|
Сыныбы: 11ә |
Қатысушылар саны: Қатыспағандар саны: |
||
|
Сабақтың тақырыбы: |
Рационал көрсеткішті дәреже. Рационал көрсеткішті дәрежесі бар өрнектерді түрлендіру |
||
|
Оқу бағдарламасына сәйкес оқыту мақсаты |
11.2.1.3 - рационал көрсеткішті дәреже анықтамасын және қасиеттерін білу; 11.2.1.4 – алгебралық өрнектерді түрлендіру үшін рационал көрсеткішті дәреже қасиеттерін қолдану; |
||
|
Сабақтың мақсаты: |
- рационал көрсеткішті дәреже анықтамасын және қасиеттерін біледі; – алгебралық өрнектерді түрлендіру үшін рационал көрсеткішті дәреже қасиеттерін қолданады; |
||
|
Құндылықтарды дарыту |
«Жалпыға бірдей еңбек қоғамы» құндылығына: Топпен, жұппен жұмыс орындау барысында құрмет, серіктестік және жеке жұмыс орындау кезінде жауапкершілік, үздіксіз оқу құндылықтарын дарыту. |
|
|
Сабақтың барысы:
|
Сабақ кезеңі/Уақыты |
Педагогтың іс әрекеті |
Оқушының іс-әрекеті |
Бағалау |
Ресурстар |
||||||||||||||||||||||||
|
Сабақтың басы |
Өткен тақырыпты еске түсіру мақсатында жеке тапсырма алынады, тез тексеріліп, оқушыларға кері байланыс беріледі.
3. Сабақтың тақырыбы мен мақсатын таңыстыру. Сабақтың мақсаты мен бағалау критерийлерін оқушылармен бірге талқыланады |
Білімді жаңарту. Рационал көрсеткішті дәреже қасиеттерін қайталау. Оқушылар сәйкестендіруге арналған тапсырманы орындайды, содан кейін мұғалім оқушыларды жұпқа біріктіреді. Сәйкестендір:
ЖАУАПТАРЫ:А-3 ,5 1 6 4 2
|
Мұғалім ұйымдастыру кезеңінде белсенділік танытқан оқушыларды «Мадақтау сөз» әдісіарқылы бағалайды: «Жарайсың! Жақсы! Өте жақсы! Талпын!»
|
Түрлі түсті қима қағаздар
|
||||||||||||||||||||||||
|
Сабақтың ортасы
|
Білімді жаңарту. Рационал көрсеткішті дәреже қасиеттерін қайталау. Оқушылар сәйкестендіруге арналған тапсырманы орындайды, содан кейін мұғалім оқушыларды жұпқа біріктіреді. Оқылған материалды бекіту үшін, оқушыларға өзін-өзі тексеруге арналған өздік жұмыс ұсыныңыз. Нұсқа 1
а) 2.
Өрнектіықшамдаңыз: 3.
Өрнектіықшамдаңыз: Нұсқа2
(х> 0): а) 2.
Өрнектіықшамдаңыз: 3.
Өрнектіықшамдаңыз: Жауабы: Нұсқа 1 1.
а) Нұсқа 2 1.
а) 3) Өрнекті ықшамдаңыз:.
4) Өрнекті ықшамдаңыз:
Жауаптары: 1.а) 2.а) 8; б) 5. 3. 4. Дескрипторлар:
|
Жұптық жұмыс. Деңгейлік тапсырмалар. Оқушылар тапсырманы өздігінен таңдап, есепті шығарып,тексереді.Дұрыс жауап арқылы өзін өзі бағалау. Оқушылар тапсырманы орындағаннан кейін жауаптарын тексереді және де бір бірін оқыту мақсатында өзінің шығарған есебін көршілесіне түсіндіріп береді 1) Өрнекті х санының дәрежесі ретінде көрсетіңіз: а) 2) Есептеңіз: а) 3) Өрнекті ықшамдаңыз:.
4) Өрнекті ықшамдаңыз:
Жауаптары: 1.а) 2.а) 8; б) 5. 3. 4. Дескрипторлар:
Бағалау: Дайын жауаптар арқылы тексеру. Бірінші жұмысты орындап қойған оқушылар жанындағы оқушыға тексеруге көмектеседі..Мұғалім мүмкіндігінше әрбір оқушымен кері байланыс жасайды. Жұптық жұмыс. Деңгейлік тапсырмалар. Оқушылар тапсырманы өздігінен таңдап, есепті шығарып,тексереді.Дұрыс жауап арқылы өзін өзі бағалау. Оқушылар тапсырманы орындағаннан кейін жауаптарын тексереді және де бір бірін оқыту мақсатында өзінің шығарған есебін көршілесіне түсіндіріп береді 1) Өрнекті х санының дәрежесі ретінде көрсетіңіз: а) 2) Есептеңіз: а)
Жеке жұмыс
Дескрипторлар:
Бағалау: Дайын жауаптар арқылы тексеру. Бірінші жұмысты орындап қойған оқушылар жанындағы оқушыға тексеруге көмектеседі..Мұғалім мүмкіндігінше әрбір оқушымен кері байланыс жасайды. |
Дескриптор: -1-ші сұраққа жауап береді. 1-балл -2-ші сұраққа жауап береді. 1-балл -3-ші сұраққа жауап береді. 1-балл
Әрбір дұрыс жауапка 1 балл қойылады
|
ДК экраны
Сұрақтар топтамасы.
Оқулық 11-сынып.
|
||||||||||||||||||||||||
|
Сабақтың соңы |
Сабақты қорытындылау. Оқушылар бір-біріне түсіндіреді, бір-бірін бағалайды. Оқушылардан кері байланыс алу үшін стикерлер таратамыз: Рефлексия Мен.........................................таныстым. Маған ...................... оңай болған жоқ. Мен .................................... меңгердім. Менің ....................... үйренгім келеді. Мен ............................ есте сақтадым.
Үй тапсырмасы:
|
Өрнекті рационал көрсеткішті дәреже түріне келтіріп ықшамдаңдар :
Бағалау: өзін-өзі дайын жауаппенөзін-өзі бағалау Дескриптор: - алгебралық өрнектерді түрлендіру үшін рационал көрсеткішті дәреженің қасиеттерін қолданады; - рационал көрсеткішті дәрежемен берілген алгебралық өрнекті n-ші дәрежелі түбірмен жазады; - өрнектің мәнін табады. |
Бағалау. Оқушылар бір-бірін ауызша критерий бойынша бағалайды. - Кейбір оқушыларға мұғалім тарапынан кері байланыс беріледі.
|
|
||||||||||||||||||||||||
Тексерілді:
|
Бөлім: |
Дәрежелер мен түбірлер. Дәрежелік функция |
||
|
Педагогтің аты-жөні: |
Абдуллаева Д |
||
|
Күні: |
15.11.24 |
||
|
Сыныбы: 11ә |
Қатысушылар саны: Қатыспағандар саны: |
||
|
Сабақтың тақырыбы: |
Иррационал өрнектерді түрлендіру |
||
|
Оқу бағдарламасына сәйкес оқыту мақсаты |
11.2.1.5 - иррационал өрнектерді түрлендіру үшін n-ші дәрежелі түбір қасиеттерін қолдану |
||
|
Сабақтың мақсаты: |
иррационал өрнектерді түрлендіру үшін n-ші дәрежелі түбір қасиеттерін қолданады |
||
|
Құндылықтарды дарыту |
«Жалпыға бірдей еңбек қоғамы» құндылығына: Топпен, жұппен жұмыс орындау барысында құрмет, серіктестік және жеке жұмыс орындау кезінде жауапкершілік, үздіксіз оқу құндылықтарын дарыту. |
|
|
Сабақтың барысы:
|
Сабақ кезеңі/Уақыты |
Педагогтың іс әрекеті |
Оқушының іс-әрекеті |
Бағалау |
Ресурстар |
|
Сабақтың басы |
Сыныпты ұйымдастыру. Оқушылармен сәлемдесу. Сынып тазалығына назар аудару. Оқушылардың сабаққа дайындығын тексеру.
2. Сабақтың мақсаты мен бағалау критерийлерін оқушылармен бірге талқылау. |
Актуалдау. Дөңгелек стол әдісі.
Иррационал санды түрлендіру
Оқушылар «Иррационал өрнектерді түрлендіру» тақырыбына байланысты өздері білетін ақпараттарды топта талқылап, өз пікірлерін ортақ қағазға жазады да, келесі сол жағындағы қатысушыға жылжытады. Сөйтіп, топтың әр мүшесінің қатысқаны белгілі болады. Барлық жанұялар лидерлері жанұяда жазғандары бойынша класта презентация жасайды. Дескриптор.Оқушы: -барлық ақпараттарды жинақтайды; -парақты жылжытып, өз пікірлерін жазады; -класста презентация жасайды |
Мұғалім ұйымдастыру кезеңінде белсенділік танытқан оқушыларды «Мадақтау сөз» әдісіарқылы бағалайды: «Жарайсың! Жақсы! Өте жақсы! Талпын!» |
Түрлі түсті қима қағаздар
|
|
Сабақтың ортасы |
Сабақта сыни ойлаудың күрделендіру қағидасы басымдық табады.
Жаңа материал. Білу және түсіну. 1. Теориялық материалды bilimland сайтының бейнебаянымен түсіндіріледі. Рационал көрсеткішті дәреже қасиеттері ұсынылады және мұғалім әрбір қасиетке мысал тақтада көрсетеді.
2. Қасиеттерді қолданып есептер шығаруға дағдыландыру үшін әрбір оқушыға екі есептен ұсынылады және тақтаға шығып өз есептерінің шығару жолымен бөліседі. Бағалау: мұғалімнің бағалауы орын алады. Дескриптор
3. Жұптық тапсырма орындалады. Сәйкестендіруді орындау арқылы, рационал сан терминімен тығыз байланысты ғалымның атын табады. Ғалым туралы оқушылармен бірге диалог орнатады. Бағалау: бір-бірін бағалау орын алады, шықпаған есептерін бір-біріне түсіндіреді. Дескриптор
4. Оқушылар жеке тапсырманы орындайды. Есептеу жұмысын орындап, сандарды өсу ретімен орналастыруы керек. Бағалау: критерийі бойынша мұғалім өзі тексереді. Дескриптор
|
Жұптық жұмыс.Галерея әдісі. Оқушылар жіптің екі ұшы арқылы жұптасады. Кабинеттің әр бұрышына төмендегі есептер ілінеді. Жұптар галереяны аралап жүріп, сол есептерді шығарады. Есептеңіз: 1)
4)
Дескриптор.Оқушы: -күрделі түбір қасиетін қолданады; -қысқаша көбейту формулаларын қолданады; -өрнектің мәнін табады.
Жауабы:
Бағалау: Барлық жұп есептерді аяқтағаннан соң бір бірімен салыстырып, тақтадағы дұрыс жауаптар арқылы өзара дәптер алмастырып, тексереді. Жеке жұмыс.Өзіндік жұмыс.
Дескриптор.Оқушы: -көбейткішке жіктейді; -иррационалдықтан құтылады; -өрнекті ықшамдайды.
Жауабы:
|
Дескриптор: -1-ші сұраққа жауап береді. 1-балл -2-ші сұраққа жауап береді. 1-балл -3-ші сұраққа жауап береді. 1-балл Әрбір дұрыс жауапка 1 балл қойылады
|
ДК экраны Сұрақтар топтамасы. Оқулық 11-сынып.
|
|
Сабақтың соңы |
1.Тақырыпты қорытындылау кезеңінде сын тұрғысынан ойлау дағдыларын дамыту мақсатында INSERT техникасын қолданамын.
2. Бағалау. Жеке жұмыс бағалау критерийлері негізінде мұғалім тарапынан бағаланады. 3. Оқушыларға мұғалім тарапынан кері байланыс беріледі. 4. Үйге тапсырма:оқулықтан 251-тапсырма. Өрнекті ықшамдаңыз: |
|
Бағалау. Оқушылар бір-бірін ауызша критерий бойынша бағалайды. - Кейбір оқушыларға мұғалім тарапынан кері байланыс беріледі. |
|
Пән: Алгебра
Қысқа мерзімді жоспар №6-сабак
|
Бөлім: Дәрежелер мен түбірлер. Дәрежелік функция |
Мектеп: |
|
Педагогтің аты-жөні: |
|
|
Күні: |
|
|
Сыныбы: 11 |
Қатысушылар саны: Қатыспағандар саны: |
|
Сабақтың тақырыбы: |
Иррационал өрнектерді түрлендіру |
|
Оқу бағдарламасына сәйкес оқыту мақсаты |
11.2.1.5 - иррационал өрнектерді түрлендіру үшін n-ші дәрежелі түбір қасиеттерін қолдану |
|
Сабақтың мақсаты: |
иррационал өрнектерді түрлендіру үшін n-ші дәрежелі түбір қасиеттерін қолданады |
Сабақтың барысы:
|
Сабақ кезеңі/Уақыты |
Педагогтың іс әрекеті |
Оқушының іс-әрекеті |
Бағалау |
Ресурстар |
||||||||||||||||||||
|
Сабақтың басы |
Оқушылардың сабаққа дайындығын тексеру, зейінін сабаққа аудару. Ұ Презентацияда алдыңғы сабақта өтілген n-ші дәрежелі түбір қасиеттерін қайталату. Анықтамадан шығатын қасиеттер:
Арифметикалық амалдарға қатысты қасиеттер:
Жаңа сабақтың тақырыбы мен мақсатын айту |
Бағалау: Тақтадағы дұрыс жауаптар арқылы РОТАЦИЯ әдісімен өзара тексереді. Дифференциация тапсырмасы. №118 Егер
Жауабы:
Дескриптор.Оқушы: -өрнекті квадраттап, түбірге алады; -бүтін көрсеткішті дәреже қасиеттерін қолданады; -өрнектің мәнін табады. Бағалау: тақтадағы жауап бойынша өздерін бағалайды. |
Мұғалім ұйымдастыру кезеңінде белсенділік танытқан оқушыларды «Мадақтау сөз» әдісіарқылы бағалайды: «Жарайсың! Жақсы! Өте жақсы! Талпын!» |
Түрлі түсті қима қағаздар
|
||||||||||||||||||||
|
Сабақтың ортасы |
Мұғалім тақтада оқушыларға презентация арқылы көрсетеді Иррационал өрнектерді ықшамдауда келесі әдістер қолданылады:
Ұ Мұғалім тақтада талдайды Мысал –есеп№1: х-тің қандай
мәндерінде Шешуі:
Мысал-есеп №2: х-тің қандай
мәндерінде Шешуі:
Мысал-есеп№3: Өрнекті
ықшамдаңыз: Шешуі:
Мысал-есеп
№4: Шешуі:
Мысал-есеп №5: Түбір астына
енгізіңіз: Шешуі:
|
Жекелей жұмыс Мақсаты: n-ші дәрежелі түбір қасиеттерін қайталау https://learningapps.org/5444937 тапсырмаларын орындау Бағалау: дұрыс жауап саны бойнша өзін- өзі «Басбармақ» әдісімен бағалайды
Мақсаты: n-ші дәрежелі түбір астына енгізу, түбір алдына шығару қасиеттерін қолданып өрнектерді түрлендіре алу егер
n
– жұп болса,
онда х
= егер
n– тақ болса,
онда егер
n– тақ, онда
у егер n – жұп, онда Топтық жұмыс ЖИГСО 1-айналым: әр оқушы өз номері бойынша тапсырманы орындайды 2-айналым: оқушылар өз номері бойынша жаңа топтарға бірігіп тапсырманы талдайды 3- айналым: оқушылар бастапқы топқа жиналып өз тапсырмаларын топтағы оқушыларымен талдайды
Топтық жұмыс Бөлшектің бөлімінде Мақсаты: n-ші дәрежелі түбір қасиеттерін өрнектерді түрлендіруде қолдан алу
Г) Дескриптор
Бөлшекті қысқартады |
Дескриптор: -1-ші сұраққа жауап береді. 1-балл -2-ші сұраққа жауап береді. 1-балл -3-ші сұраққа жауап береді. 1-балл
Әрбір дұрыс жауапка 1 балл қойылады
|
ДК экраны
Сұрақтар топтамасы.
Оқулық 11-сынып.
|
||||||||||||||||||||
|
Сабақтың соңы |
Бекіту үшін «Иррационал –өрнектерді түрлендіру марафоны» жарысын өткізу. Оқушыларға үлестірме тапсырмаларды беру. Бұл тапсырмаларды оқушылар жеке орындап, мұғалімге тексеруге әкеліп, дұрыс жауапқа жасыл жетон, ал қателескені үшін сары жетон алады, ал қате жауап үшін ештеңе алмайды, мұғалімнің кері байланысы / қолдауынан кейін қайтадан тапсырманы тексертіп, әрі қарай жылжиды. Соңында жетондар қосылады. Кері байланыс беріледі.
|
Жұптық жұмыс Мақсаты: n-ші дәрежелі түбір қасиеттерін өрнектерді түрлендіруде қолдана білу ( бөлшектің бөліміндегі иррационалдықтар арылу)
Дескриптор:
n-ші дәрежелі түбір қасиеттерін дұрыс қолданады Жұптардың критерий бойынша бірін-бірі бағлауы Қосымша тапсырма: Барлық тапсырманы орындап болған оқушыға қосымша ретінде беруге болады.
Өрнекті
ықшамдаңыз:
|
Бағалау. Оқушылар бір-бірін ауызша критерий бойынша бағалайды. - Кейбір оқушыларға мұғалім тарапынан кері байланыс беріледі.
|
|
||||||||||||||||||||
Пән: Алгебра
Қысқа мерзімді жоспар №7-сабак
|
Бөлім: Дәрежелер мен түбірлер. Дәрежелік функция |
Мектеп: |
|
Педагогтің аты-жөні: |
|
|
Күні: |
|
|
Сыныбы: 11 |
Қатысушылар саны: Қатыспағандар саны: |
|
Сабақтың тақырыбы: |
Иррационал өрнектерді түрлендіру |
|
Оқу бағдарламасына сәйкес оқыту мақсаты |
11.2.1.5 - иррационал өрнектерді түрлендіру үшін n-ші дәрежелі түбір қасиеттерін қолдану |
|
Сабақтың мақсаты: |
иррационал өрнектерді түрлендіру үшін n-ші дәрежелі түбір қасиеттерін қолданады |
Сабақтың барысы:
|
Сабақ кезеңі/Уақыты |
Педагогтың іс әрекеті |
Оқушының іс-әрекеті |
Бағалау |
Ресурстар |
|
Сабақтың басы |
Есептің дұрыстығын оқушылар тақтаға шығу арқылы тексеріп, мұғалім тарапынан кері байланыс беріледі. |
Үй тапсырмаларын тексеру: Оқушылардың есептерінің жауаптарын көршілес отырған оқушыға алмастыру арқылы тексеру. Есептің жауаптары презентацияда көрсетіледі.
Сабақтың тақырыбы мен мақсатымен таныстыру.
Мәселе сұраққа жауап нәтижесінде оқушылардың көмегімен бүгінгі сабақтың тақырыбы, оған сәйкес мақсаты және күтілетін нәтижесі анықталады. Оқушылар өздерінің ойларынша анықтама мен түбірдің қасиеттерін шығарады. Тақырыптың мағынасын
ашу үшін презентация арқылы негізгі анықтама мен иррационал
өрнектерді түрлендіруге арналған тапсырма
көрсетіледі. |
Мұғалім ұйымдастыру кезеңінде белсенділік танытқан оқушыларды «Мадақтау сөз» әдісіарқылы бағалайды: «Жарайсың! Жақсы! Өте жақсы! Талпын!» |
Түрлі түсті қима қағаздар
|
|
Сабақтың ортасы |
Оқушыларды жұпқа біріктіріңіз. Оқушыларға үлгідегі, кейіннен өзін-өзі тексеретін тапсырманы ұсыныңыз. Жауаптарын слайдта беруге болады. Тапсырма 1. Ықшамдаңыз: а) Тапсырма 2. Бөлшек бөлімін
иррационалдықтан арылтыңыз: Тапсырма 3. Өрнектің мәнін
табыңыз тапсырма. Көбейткішті түбір таңбасының алдына шығарыңыз.
2 тапсырма. Көбейткішті түбір таңбасының астына енгізіңіз:
Дескрипторы:
n- шідәрежелікөрнектердіңтүбірастынаеңгізеалады |
Жұптық жұмыс Саралау түрі Оқушылардың білу, түсіну және қолдану дағдыларын тексеретін қарапайымнан күрделіге көшуге жұмысы Тапсырма № 1 Оқушылар жұп болып жұмыс істейді. Есептерді шығарып, қиықшаларын ауыстырып, бір-бірін тексереді.(қосымша 1)
Тексеру дайын жауаптар мен жүргізіледі. Одан кейін оқушылар жұпта бір біріне есептің шешу жолын түсіндіреді. Бағалау: өзін-өзі бағалау, мұғалімнің бағалауы Кері байланыс:
|
Дескриптор: -1-ші сұраққа жауап береді. 1-балл -2-ші сұраққа жауап береді. 1-балл -3-ші сұраққа жауап береді. 1-балл Әрбір дұрыс жауапка 1 балл қойылады
|
ДК экраны Сұрақтар топтамасы. Оқулық 11-сынып.
|
|
Сабақтың соңы |
.Өрнектердің мәнін
табыңыз:
2.Өрнекті негізі х болатын дәреже түрінде көрсетіңіз:
3.Өрнектердіықшамдаңыз: а) б) Бағалау: өзін-өзі бағалау, мұғалімнің бағалауы Кері байланыс:
|
Сабақтын мақсаты: n-інші дәрежелі түбірдің мәнін анықтамасы бойынша есептеу және сандық өрнектердің мәндерін табу үшін n-інші дәрежелі түбірдің қасиеттерін қолдану. Оқушылар сабақтағы іс-әрекеттеріне талдау жасап, сабақтың мақсатына жеткендіктерін ауызша анықтайды.
|
Бағалау. Оқушылар бір-бірін ауызша критерий бойынша бағалайды. - Кейбір оқушыларға мұғалім тарапынан кері байланыс беріледі. |
|
Пән: Алгебра
Қысқа мерзімді жоспар №8-сабак
|
Бөлім: Дәрежелер мен түбірлер. Дәрежелік функция |
Мектеп: |
|
Педагогтің аты-жөні: |
|
|
Күні: |
|
|
Сыныбы: 11 |
Қатысушылар саны: Қатыспағандар саны: |
|
Сабақтың тақырыбы: |
Дәрежелік функция, оның қасиеттері мен графигі |
|
Оқу бағдарламасына сәйкес оқыту мақсаты |
11.3.1.10 – нақты көрсеткішті дәрежелік функция анықтамасын білу, дәреже көрсеткішіне тәуелді дәрежелік функция графигін салу; 11.3.1.11 – дәрежелік функция қасиеттерін білу; |
|
Сабақтың мақсаты: |
– нақты көрсеткішті дәрежелік функция анықтамасын біледі, дәреже көрсеткішіне тәуелді дәрежелік функция графигін салады; – дәрежелік функция қасиеттерін біледі; |
Сабақтың барысы:
|
Сабақ кезеңі/Уақыты |
Педагогтың іс әрекеті |
Оқушының іс-әрекеті |
Бағалау |
Ресурстар |
||||||||||||||||||||||||||||||||||||||||||||||||||||||||||||||||||||||||||||||||||||||||||||||||
|
Сабақтың басы |
.Оқушылармен амандасу. Жағымды ахуал туғызу. 2. Қайталау.Bilimland (2 мин) Өткен тақырыпты еске түсіру сұрақтары: -иррационал өрнек дегеніміз не? -иррационал теңдеу дегеніміз не? -иррационал теңдеулерді шешудің қандай тәсілін қарастырдық? -иррационал теңдеуді шешуде Бөгде түбір деп нені атадық? 3.Тақырыпты, сабақ мақсатын, бағалау критерийлерін анықтау. Сабақтың тақырыбы мен оқу мақсатын баяндау, Дәрежелік функция және оның қасиеттері. |
|
Мұғалім ұйымдастыру кезеңінде белсенділік танытқан оқушыларды «Мадақтау сөз» әдісіарқылы бағалайды: «Жарайсың! Жақсы! Өте жақсы! Талпын!» |
Түрлі түсті қима қағаздар
|
||||||||||||||||||||||||||||||||||||||||||||||||||||||||||||||||||||||||||||||||||||||||||||||||
|
Сабақтың ортасы |
Жаңа сабақ Анықтама. f (x) = axα (x>0) түріндегі функцияны дәрежелік функция деп атайды, мұндағы α және a– берілген нақты сандар. Дәрежелік функцияның қасиеттері:
1°. Дәрежелік функция тек оң
мәндер ғана қабылдайды, яғни әрбір
2°. Көрсеткіші оң дәрежелік
функция бірсарынды өспелі болады, яғни
3°. Көрсеткіші теріс дәрежелік
функция бірсарынды кемімелі болады,
яғни
І. Егер
1)
Топтық жұмыс Аталған қасиеттерге
сүйеніп,
Дескриптор: - анықталу облысын, мәндерінің жиынын табады -жұп және тақтылығын анықтайды -функцияның нөлдерін және өсу, кему аралықтарын табады; -ең үлкен және ең кіші мәндерін, таңба тұрақтылық аралықтарын анықтайды.
ІІ. Егер
Тапсырма.
Енді
Дескриптор: - анықталу облысын, мәндерінің жиынын табады -жұп және тақтылығын анықтайды -функцияның нөлдерін және өсу, кему аралықтарын табады; -ең үлкен және ең кіші мәндерін, таңба тұрақтылық аралықтарын анықтайды.
ІІІ. Егер
Тапсырма.
Енді
Дескриптор: - анықталу облысын, мәндерінің жиынын табады -жұп және тақтылығын анықтайды -функцияның нөлдерін және өсу, кему аралықтарын табады; -ең үлкен және ең кіші мәндерін, таңба тұрақтылық аралықтарын анықтайды.
Егер топта тапсырма бойынша қиындық туындаса, қысқаша жазулары бар карточканы ұсыныңыз.
Әр топ қасиеттерді түсіндіреді. Қасиеттерді жақсырақ түсіну үшін карточкалар бойынша тапсырмаларды орындауды ұсыныңыз. №152.
№153.
№154.
Дескриптор: - анықталу облысын, мәндерінің жиынын табады -жұп және тақтылығын анықтайды -функцияның нөлдерін және өсу, кему аралықтарын табады; -ең үлкен және ең кіші мәндерін, таңба тұрақтылық аралықтарын анықтайды. -графиктерін тұрғызады. |
|
Дескриптор: -1-ші сұраққа жауап береді. 1-балл -2-ші сұраққа жауап береді. 1-балл -3-ші сұраққа жауап береді. 1-балл
Әрбір дұрыс жауапка 1 балл қойылады
|
ДК экраны
Сұрақтар топтамасы.
Оқулық 11-сынып.
|
||||||||||||||||||||||||||||||||||||||||||||||||||||||||||||||||||||||||||||||||||||||||||||||||
|
Сабақтың соңы |
|
|
Бағалау. Оқушылар бір-бірін ауызша критерий бойынша бағалайды. - Кейбір оқушыларға мұғалім тарапынан кері байланыс беріледі.
|
|
||||||||||||||||||||||||||||||||||||||||||||||||||||||||||||||||||||||||||||||||||||||||||||||||
Пән: Алгебра
Қысқа мерзімді жоспар №9-сабак
|
Бөлім: Дәрежелер мен түбірлер. Дәрежелік функция |
Мектеп: |
|
Педагогтің аты-жөні: |
|
|
Күні: |
|
|
Сыныбы: 11 |
Қатысушылар саны: Қатыспағандар саны: |
|
Сабақтың тақырыбы: |
Дәрежелік функция, оның қасиеттері мен графигі |
|
Оқу бағдарламасына сәйкес оқыту мақсаты |
11.3.1.10 – нақты көрсеткішті дәрежелік функция анықтамасын білу, дәреже көрсеткішіне тәуелді дәрежелік функция графигін салу; 11.3.1.11 – дәрежелік функция қасиеттерін білу; |
|
Сабақтың мақсаты: |
– нақты көрсеткішті дәрежелік функция анықтамасын біледі, дәреже көрсеткішіне тәуелді дәрежелік функция графигін салады; – дәрежелік функция қасиеттерін біледі; |
Сабақтың барысы:
|
Сабақ кезеңі/Уақыты |
Педагогтың іс әрекеті |
Оқушының іс-әрекеті |
Бағалау |
Ресурстар |
||||||||||||||||||||||||||||||||||||||||||
|
Сабақтың басы |
Амандасу. Оқушылардың сабаққа дайындығын бақылау. Үй тапсырмасын тексеру. y=ax2,
y=ax3,
y=k/x функцияларының
графигі, Анықталу
облысын 2. Мүмкін мәндер
жиынын 3. Функция нөлдерін : 4. Таңба тұрақтылығын 5. Өсу, кему аралықтарын 6. Симметрия центрін |
Тест тапсырмалары (10мин) I нұсқа
А)
А) Натурал сандар жиыны В) Бүтін сандар жиыны С) Рационал сандар жиыны Д) Нақты сандар жиыны Е) Теріс емес сандар жиыны
А) I және II В) II және IV С) II және III Д)Iжәне III Е)Iжәне IV
А)Теріс емес сандар жиыны В) Бүтін сандар жиыны С) Натурал сандар жиыны Д) Нақты сандар жиыны Е) Рационал сандар жиыны
А)(2;16) В) (-2;32) С) (3; 243) Д) (-1;0) Е) (-4; -64)
А) (12; 144) В) (121; 11) С)
(121;
А) I және III В) II және IV С) II және III Д)Iжәне II Е)Iжәне IV
А) жоқ В) екі С) бір Д) үш Е) жеті
А) жоқ В) екі С) бір Д) үш Е) төрт
А)
|
Мұғалім ұйымдастыру кезеңінде белсенділік танытқан оқушыларды «Мадақтау сөз» әдісіарқылы бағалайды: «Жарайсың! Жақсы! Өте жақсы! Талпын!» |
Түрлі түсті қима қағаздар
|
||||||||||||||||||||||||||||||||||||||||||
|
Сабақтың ортасы |
Дескрипторлар: Оқушылар оқу мақсатына жетеді, егер -функцияның жұп тақтығын дұрыс анықтаса; -функция графигін дұрыс тұрғызса;
Дифференциация есебі: 1.Берілген функцияның анықталу облысын табыңдар:
2. Теңдеуді графиктік тәсілмен
шешу керек: |
Дәрежелік функция қасиеттері мен графигі тақырыбы бойынша оқушыларға берілетін сұрақтар. (Интерактивті тақтада) Кестемен жұмыс.
Сабақты бекіту есептері:
№152
Дескрипторлар: Оқушылар оқу мақсатына жетеді, егер -Бағдарламалық жасақтамаларда функциялардың графиктерін дұрыс тұрғызса; -Анықталу облысын дұрыс анықтаса; - Мүмкін мәндер жиынын дұрыс анықтаса ; - Функция нөлдерін дұрыс тапса; - Таңба тұрақтылығын дұрыс анықтаса; - Өсу, кему аралықтарын дұрыс анықтаса - Симметрия центрін дұрыс анықтаса.
|
Дескриптор: -1-ші сұраққа жауап береді. 1-балл -2-ші сұраққа жауап береді. 1-балл -3-ші сұраққа жауап береді. 1-балл
Әрбір дұрыс жауапка 1 балл қойылады
|
ДК экраны
Сұрақтар топтамасы.
Оқулық 11-сынып.
|
||||||||||||||||||||||||||||||||||||||||||
|
Сабақтың соңы |
Топтық жұмыс Оқушыларды n – дәреженің жұп , тақ болуына байланысты екіге бөлу. Geogebra және desmos.com программаларын қолданып, графиктерін салып, төменде берілгендерді табу: 1. Анықталу
облысын 2. Мүмкін мәндер
жиынын 3. Функция нөлдерін : 4. Таңба тұрақтылығын 5. Өсу, кему аралықтарын 6. Симметрия центрін
Дескрипторлар: Оқушылар оқу мақсатына жетеді, егер -Бағдарламалық жасақтамаларда функциялардың графиктерін дұрыс тұрғызса; -Анықталу облысын дұрыс анықтаса; - Мүмкін мәндер жиынындұрыс анықтаса ; - Функция нөлдерін дұрыс тапса; - Таңба тұрақтылығын дұрыс анықтаса; - Өсу, кему аралықтарын дұрыс анықтаса - Симметрия центрін дұрыс анықтаса.
|
Жеке жұмыс Саралау түрі Оқушылардың білу, түсіну және қолдану дағдыларын тексеретін қарапайымнан күрделіге көшуге жұмысы 1) Есептеңіз:
1) 4) 2) Сәйкестендіріңіз:
1.
2.
3.
4. Тексеру дайын жауаптар мен жүргізіледі. Одан кейін оқушылар жұпта бір біріне есептің шешу жолын түсіндіреді. Бағалау: өзін-өзі бағалау, мұғалімнің бағалауы Кері байланыс:
|
Бағалау. Оқушылар бір-бірін ауызша критерий бойынша бағалайды. - Кейбір оқушыларға мұғалім тарапынан кері байланыс беріледі.
|
|
Пән: Алгебра
Қысқа мерзімді жоспар №10-сабак
|
Бөлім: Дәрежелер мен түбірлер. Дәрежелік функция |
Мектеп: |
|
Педагогтің аты-жөні: |
|
|
Күні: |
|
|
Сыныбы: 11 |
Қатысушылар саны: Қатыспағандар саны: |
|
Сабақтың тақырыбы: |
Дәрежелік функция, оның қасиеттері мен графигі |
|
Оқу бағдарламасына сәйкес оқыту мақсаты |
11.3.1.10 – нақты көрсеткішті дәрежелік функция анықтамасын білу, дәреже көрсеткішіне тәуелді дәрежелік функция графигін салу; 11.3.1.11 – дәрежелік функция қасиеттерін білу; |
|
Сабақтың мақсаты: |
– нақты көрсеткішті дәрежелік функция анықтамасын біледі, дәреже көрсеткішіне тәуелді дәрежелік функция графигін салады; – дәрежелік функция қасиеттерін біледі; |
Сабақтың барысы:
|
Сабақ кезеңі/Уақыты |
Педагогтың іс әрекеті |
Оқушының іс-әрекеті |
Бағалау |
Ресурстар |
|
Сабақтың басы |
Ұйымдастыру кезеңі. Оқушылармен сәлемдесіп, назарларын сабаққа шоғырландыру. Сыныптағы оқушыларды түгендеу. ІІ.Оқушыларды сабақтың тақырыбы және мақсаттарымен таныстыру. Үй жұмысын тексеру.(мұғалімнің дайындаған дайын жауаптары арқылы оқушылар өзін-өзі тексеруге болады) Кері байланыс: 1) Үй тапсырмасын орындауда қандай қиындықтар туындады? 2) Қиындық туындаған кезеңдерден қандай жолмен шықтыңыз? 3) Тапсырманы толық орындау үшін қандай жұмыс жасау керек? |
Жұптық жұмыс
Дескрипторлар: Оқушылар оқу мақсатына жетеді, егер
Өздік жұмыс
Дескрипторлар: Оқушылар оқу мақсатына жетеді, егер -функцияның жұп тақтығын дұрыс анықтаса; -функция графигін дұрыс тұрғызса; Дифференциация есебі: 1.Берілген функцияның анықталу облысын табыңдар:
|
Мұғалім ұйымдастыру кезеңінде белсенділік танытқан оқушыларды «Мадақтау сөз» әдісіарқылы бағалайды: «Жарайсың! Жақсы! Өте жақсы! Талпын!» |
Түрлі түсті қима қағаздар
|
|
Сабақтың ортасы |
1-мысал.y = x2 (қызыл график), y = x4 (сары график) және y = x8 (көк график) функцияларының графиктерін қарастырайық. Берілген функциялардың анықталу облысы: (–∞;+∞). Берілген функциялардың мәндер жиыны: [0;+∞). Жұп функциялар, яғни графиктері Oy осіне қарағанда симметриялы. Функциялардың көрсеткіштері 2, 4 және 8-ге тең, яғни оң сандар. x> 0 болғанда функциялар өспелі болады.
2-мысал.
Функциялардың
көрсеткіштері
3-мысал. (көк график) функциялардың анықталу облысы [0;+∞), ал мәндер жиыны (0;+∞). Функциялардың
көрсеткіштері
V.Жаңа тақырыпты бекіту
Оқушылар жауапты негіздейді, өзара талқылайды.Мұғалім жетелеуші сұрақтар қояды. Жауабы:1.- В 2.- Ж3.
у |
Жұптық жқмыс 1-жаттығу Суреттерде қандай функциялардың графиктері салынғанын анықтаңыз. Берілген функциялардың анықталу облысы мен мәндерінің облысын табыңыз.
2-жаттығу Егер
f
(x) =
x–4
және
a) B нүктесі y = f (x) функциясының графигіне тиісті b) A нүктесі y = f (x) функциясының графигіне тиісті 3-жаттығу f
(x) =
x–7
және
f(–4)g (–4) f(0,99)g (0,99) f(–1)g (–1) f(–2)g (–2) 4-жаттығу x∈ (0; +∞) аралығындаберілгенфункцияныңөспелі не кемімеліболатынынкөрсет. a)
d)
g) Бағалау: өзін-өзі бағалау, мұғалімнің бағалауы Кері байланыс:
А
С Е З
|
Дескриптор: -1-ші сұраққа жауап береді. 1-балл -2-ші сұраққа жауап береді. 1-балл -3-ші сұраққа жауап береді. 1-балл Әрбір дұрыс жауапка 1 балл қойылады
|
ДК экраны Сұрақтар топтамасы. Оқулық 11-сынып.
|
|
Сабақтың соңы |
Тапсырма № 1 у=х5 натурал көрсеткіштік функциясының анықталу облысын, функцияның нөлдерін, жұп немесе тақтығын, өсу және кему ралықтарын, ең үлкен және ең кіші мәндерін анықтайық. Шешуі: n=5 натурал сан, y=x5 - натурал көрсеткішті функция.
Тапсырма № 2 у=f(x) функциясының түрін анықтап, анықталу облысын табыңыздар:
b) анықталу облысы x € N (барлық нақты сандар жиыны)
b) анықталу облысы x € N (барлық нақты сандар жиыны)
b) анықталу облысы x € N (барлық нақты сандар жиыны)
b) [0;+∞)
b) [0;+∞)
b) [0;+∞) |
Үй жұмысы: Тапсырма. Графигімен берілген функцияның формуласын жазыңыз. Қасиеттерін сипаттаңыз.
Сабақ соңында оқушылар ауызша рефлексия жүргізеді: Нені үйрендіңіздер? Бұлсабақта қай тапсырма қиын, қай тапсырмаоңай орындалды? Ойланыңыз: сіздергене қайталау қажет? |
Бағалау. Оқушылар бір-бірін ауызша критерий бойынша бағалайды. - Кейбір оқушыларға мұғалім тарапынан кері байланыс беріледі. |
|
Пән: Алгебра
Қысқа мерзімді жоспар №11-сабак
|
Бөлім: Дәрежелер мен түбірлер. Дәрежелік функция |
Мектеп: |
|
Педагогтің аты-жөні: |
|
|
Күні: |
|
|
Сыныбы: 11 |
Қатысушылар саны: Қатыспағандар саны: |
|
Сабақтың тақырыбы: |
Нақты көрсеткішті дәрежелік функцияның туындысы мен интегралы |
|
Оқу бағдарламасына сәйкес оқыту мақсаты |
11.3.1.12 - нақты көрсеткішті дәрежелік функцияның туындысын табу ережелерін білу және қолдану; 11.3.1.13 - нақты көрсеткішті дәрежелік функцияның интегралын табу ережелерін білу және қолдану; |
|
Сабақтың мақсаты: |
- нақты көрсеткішті дәрежелік функцияның туындысын табу ережелерін біледі және қолданады; - нақты көрсеткішті дәрежелік функцияның интегралын табу ережелерін біледі және қолданады; |
Сабақтың барысы:
|
Сабақ кезеңі/Уақыты |
Педагогтың іс әрекеті |
Оқушының іс-әрекеті |
Бағалау |
Ресурстар |
|
Сабақтың басы |
. Қайталау сұрақтары:
1)
Дәрежелік функция дегеніміз не? (y = a 1°.Дәрежелік функция тек оң мәндер қабылдайды, яғни,
әрбір х
∈(0;
+∞) және∝нақты сандары
үшін 2°.Көрсеткіші оң дәрежелік функция бірсарынды өспелі
болады, яғни 3°. Көрсеткіші оң дәрежелік функция бірсарынды кемімелі
болады, яғни 3)Нақты көрсеткішті дәрежелік
функцияның туындысын есептеу ережесі?
(y`
= ∝ |
Қайталау сұрақтары:
y
= II. Жұптық жұмыс: .Оқушылармен бірлесіп бағалау дескрипторы құрылады. №6. Анықталмаған интегралды есепте:
Дескриптор: 1)нақты көрсеткішті дәрежелік функцияның интегралын табу ережесін біледі; 2)нақты көрсеткішті дәрежелік функцияның интегралын табу ережесін қолданады; Оқушылар бағалау дескрипторы бойынша жұпта бір-бірін бағалайды. Мұғалім кері байланыс береді.
|
Мұғалім ұйымдастыру кезеңінде белсенділік танытқан оқушыларды «Мадақтау сөз» әдісіарқылы бағалайды: «Жарайсың! Жақсы! Өте жақсы! Талпын!» |
Түрлі түсті қима қағаздар
|
|
Сабақтың ортасы |
Жаңа материалды меңгеру Жаңа материалды өз беттерінше оқулықтан немесе келесі сайт бойынша оқиды. Жұптық жұмыс. 1.
2.
3.
Дескриптор.Оқушы:
Жауабы:
Жеке жұмыс. 1-нұсқа
2-нұсқа
Дескриптор.Оқушы:
Жауабы: 1-нұсқа жауаптары: 2-нұсқа жауаптары:
Бағалау: Тақтадағы дайын жауаптар арқылы РОТАЦИЯ әдісімен өзара тексереді. |
. Топтық жұмыс: Нақты көрсеткішті дәрежелік функциясы берілсін: y = х∝, ∝≠1, ∝∈ R Дәлелдеу
керек: Нұсқау:Оң жақ бөлігінің туындысын есептеп, оның интеграл астындағы өрнекке тең екенін көрсетіңіз. Дәлелдеуі: ( Мұғалім кері байланыс береді.
III. Мысал 1. Анықталмаған
интегралды тап: y =
Мысал 2. Анықталған интегралды есепте:
= IV. Жұптық жұмыс.Оқушылармен бірлесіп бағалау дескрипторы құрылады. №3. Анықталған интегралды есепте: а)
Жауабы:
а) Дескриптор: 1)нақты көрсеткішті дәрежелік функцияның интегралын табу ережесін біледі; 2)нақты көрсеткішті дәрежелік функцияның интегралын табу ережесін қолданады; 3) анықталған интегралды есептейді. Дескриптор көмегімен оқушылар жұпта бір-бірін бағалайды . Мұғалім кері байланыс береді.
V Жеке жұмыс. Оқушылармен бірлесіп бағалау дескрипторы құрылады және оқушылар мүмкіндіктеріне қарай барлық деңгейді шығарады. №4. Функцияның алғашқы функциясын тап: А 1.y=
2. В
3.y=
4.y=
С
5.у = Жауаптары: 1. 2. 8∙ 3.
2∙
Дескриптор: 1)дәрежелік функция түріне келтіреді ; 2) нақты көрсеткішті дәрежелік функцияның интегралын табу ережесін біледі; 3)нақты көрсеткішті дәрежелік функцияның интегралын табу ережесін қолданады; Дескриптор көмегімен оқушылар жұпта бір-бірін бағалайды немесе мұғалім өзі бағалайды . Мұғалім кері байланыс береді. Топтық жұмыс.Сынып 3-4 топқа бөлінеді. Оқушылар шығарады, топта талдайды және тақтада өз тапсырмаларын көрсетеді.Әр топ келесі топты бағалайды. №7. Суреттегіжазық фигураның ауданын есепте: І топ ІІ топ
ІІІ топ IV топ
Дескриптор: 1)Жазық фигураның ауданын есептеу формуласын біледі. 2)нақты көрсеткішті дәрежелік функцияның интегралын табу ережесін біледі; 3)нақты көрсеткішті дәрежелік функцияның интегралын табу ережесін қолданады; 4) анықталған интегралды есептейді. Мұғалім кері байланыс береді.
|
Дескриптор: -1-ші сұраққа жауап береді. 1-балл -2-ші сұраққа жауап береді. 1-балл -3-ші сұраққа жауап береді. 1-балл Әрбір дұрыс жауапка 1 балл қойылады
|
ДК экраны Сұрақтар топтамасы. Оқулық 11-сынып.
|
|
Сабақтың соңы |
Жеке жұмыс. Оқушылармен бірлесіп бағалау дескрипторы құрылады және оқушылар мүмкіндіктеріне қарай барлық деңгейді шығарады. №8.Анықталмаған интегралды тап: А
B
C
Дескриптор: 1)дәрежелік функция түріне келтіреді ; 2) нақты көрсеткішті дәрежелік функцияның интегралын табу ережесін біледі; 3)нақты көрсеткішті дәрежелік функцияның интегралын табу ережесін қолданады. Мұғалім өзі бағалайды . Мұғалім кері байланыс береді. |
Рефлексия Оқушылар сұрақтарға жауап береді: • не білдім, • нені үйрендім, • не түсініксіз болды, • әлі де немен жұмыстануым керек.
Үй жұмысы: №9. Анықталған интегралды есепте:
|
Бағалау. Оқушылар бір-бірін ауызша критерий бойынша бағалайды. - Кейбір оқушыларға мұғалім тарапынан кері байланыс беріледі. |
|
Пән: Алгебра
Қысқа мерзімді жоспар №12-сабак
|
Бөлім: Дәрежелер мен түбірлер. Дәрежелік функция |
Мектеп: |
|
Педагогтің аты-жөні: |
|
|
Күні: |
|
|
Сыныбы: 11 |
Қатысушылар саны: Қатыспағандар саны: |
|
Сабақтың тақырыбы: |
Нақты көрсеткішті дәрежелік функцияның туындысы мен интегралы |
|
Оқу бағдарламасына сәйкес оқыту мақсаты |
11.3.1.12 - нақты көрсеткішті дәрежелік функцияның туындысын табу ережелерін білу және қолдану; 11.3.1.13 - нақты көрсеткішті дәрежелік функцияның интегралын табу ережелерін білу және қолдану; |
|
Сабақтың мақсаты: |
- нақты көрсеткішті дәрежелік функцияның туындысын табу ережелерін біледі және қолданады; - нақты көрсеткішті дәрежелік функцияның интегралын табу ережелерін біледі және қолданады; |
Сабақтың барысы:
|
Сабақ кезеңі/Уақыты |
Педагогтың іс әрекеті |
Оқушының іс-әрекеті |
Бағалау |
Ресурстар |
||||||||||||||||||||||||||||||||||||||||||||||||||||||||||||||||||||||||||||
|
Сабақтың басы |
Ұйымдастыру кезеңі. Үй тапсырмасын тексеру. Кері байланысы беру. Сабақ тақырыбы мен мақсатын оқушыларды таныстыру |
. Өткен тақырыпты қайталау. Мұғалім оқушыларға сұрақтар қою арқылы «Нақты көрсеткішті дәрежелік функцияның интегралын табу ережесін қайталайды. Анықталмаған
интеграл Мұндағы
Интегралдаудың негізгі ережелері: 1. Егер
2.
3.
4.
Егер
|
Мұғалім ұйымдастыру кезеңінде белсенділік танытқан оқушыларды «Мадақтау сөз» әдісіарқылы бағалайды: «Жарайсың! Жақсы! Өте жақсы! Талпын!» |
Түрлі түсті қима қағаздар
|
||||||||||||||||||||||||||||||||||||||||||||||||||||||||||||||||||||||||||||
|
Сабақтың ортасы |
Жұптық жұмыс. Мақсаты:Оқушылардың нақты көрсеткішті дәрежелік функцияның интегралын табу ережесін білу және қолдану дағдысын қалыптастыру
Дескриптор: -интегралдауды дифференциалдауға кері амал ретінде түсінеді; -алғашқы функцияның және анықталмаған интегралдың анықтамаларын біледі; Бағалау: оқушылар дәптерлерін ауыстырып, дескрипторлар көмегімен тақтадағы дайын жауаппен келесі жұп бағалайды.
ІІІ. Жеке жұмыс. Мақсаты:нақты көрсеткішті дәрежелік функцияның интегралын табу ережесін білу және қолдану дағдысын тексеру
Дескриптор:
Жеке жұмыс: деңгейлік тапсырма арқылы оқушыларға есептер шығарту Деңгейлік тапсырмалар: А деңгейі: 1. Туындысын
табыңдыр: 2.
3. 4.Салмағы 4 кг болатын материал
нүктесі Бағалау дескрипторы:
В деңгейі:
1.
[3]
2.
a) Функцияның туындысын табыңыз.[2] b) х – тің қандай мәнінде функцияның графигіне жүргізілген жанама горизонталь болатынын анықтаңыз.[2] c) х0= –1 нүктесінде f(x) функциясына жүргізілген нормальдің теңдеуін жазыңыз. [4]
|
Қалыптастырушы бағалау. 1- тапсырма :Берілген функцияның туындысын табыңыз 2-
тапсырма :Есептеңдер:
3-
тапсырма :
А) Бағалау дескрипторы:
2.Сабақтың мақсаты мен жетістік критерийлерін оқушылармен бірге талқылау.
Жұптық жұмыс:оқушылар есепті өздері шығарып жұпта бір-біріне түсіндіреді. Тақтада талдайды шешуі бойынша тексеріліп бағаланады. 1.
a. Кез келген t уақытта биіктіктің өзгеру жылдамдығын табыңыз. б. Биіктіктің өзгеру жылдамдығын табыңыз: i) t = 1 ii) t = 2 iii) t = 3. с. Неліктен өзгерістің жылдамдығы бастапқыда оң, содан кейін нөлге, содан кейін алғашқы 3 секунд ішінде теріс болатынын түсіндіріңіз. d. Найза 17 метр биіктікке жеткен кезде биіктіктің өзгеру жылдамдығын анықтаңыз. Бағалау дескрипторы: Шешуі: a. h (t) = 20t - 5t2 + 2. Биіктіктің өзгеру жылдамдығы: h '(t) = 20 - 10t b. i) h '(1) = 20 - 10 (1) = 10 м / с ii) h '(2) = 20 - 10 (2) = 0 м / с iii) h '(3) = 20 - 10 (3) = -10 м / с c. Өзгерістердің жылдамдығы бойынша: оң өсуін, нөль өспейтінін және кемімейтінін (тыныштық жағдайын), ал теріс кемуін білдіреді. с. Найза алғашқы 2 секунд ішінде биіктікке көтеріледі. t = 2 секунд болғанда, найза максималды биіктікке жетеді. t> 2 болғанда найза төменге қозғалады. d ) h = 17 –ні h (t)-ға қойып найзаның 17 метр биіктікке көтерілу уақытын табыңыз. 20t - 5t2 + 2 = 17 -5t2 + 20t - 15 = 0 t = 1 немесе t = 3 Алғашында ол 17 м-ге жетеді, бұл t –ның кіші мәні. t = 1 с болғанда ол 17 м-ге жетеді h '(1) = 20 - 5 (1) 2 = 15 м / с Биіктіктің өзгеру жылдамдығы 15 м / с.
1- тапсырма: . Әйелдер арасында 100-метрлік жарысқа қатысушы өзінің секундына 12 метр максималды жылдамдығына старттан 36 метр қашықтықта жетті. Старттан алғашқы 36 метр қашықтықтағы оның жылдамдығы жүгіріп өткен қашықтықтың квадрат түбіріне тура пропорционал. Қатысушы максималды жылдамдығына жеткенге дейін оның үдеуі жылдамдығына кері пропорционал болатынын көрсетіңіз. Бағалау дескрипторы: Шешуі: Берілгені: S - ара қашықтық, v - жылдамдық, k1және k2 – тұрақты шамалар.
Суретте жылдамдықтың жүрілген қашықтыққа тәуелділігі көрсетілген. S=36
метр, v=12
м/с болғанда: «жылдамдықтыңтуындысы=үдеу» болғандықтан:
3. [4]
|
Дескриптор: -1-ші сұраққа жауап береді. 1-балл -2-ші сұраққа жауап береді. 1-балл -3-ші сұраққа жауап береді. 1-балл
Әрбір дұрыс жауапка 1 балл қойылады
|
ДК экраны
Сұрақтар топтамасы.
Оқулық 11-сынып.
|
||||||||||||||||||||||||||||||||||||||||||||||||||||||||||||||||||||||||||||
|
Сабақтың соңы |
Үй тапсырмасы:
Рефлексия Нені үйрендім? Нені білгім келеді? Нені түсінбедім?
|
С деңгейі:
1.
Бағалау дескрипторы:
|
Бағалау. Оқушылар бір-бірін ауызша критерий бойынша бағалайды. - Кейбір оқушыларға мұғалім тарапынан кері байланыс беріледі.
|
|
Пән: Алгебра
Қысқа мерзімді жоспар №13-сабак
|
Бөлім: Дәрежелер мен түбірлер. Дәрежелік функция |
Мектеп: |
|
Педагогтің аты-жөні: |
|
|
Күні: |
|
|
Сыныбы: 11 |
Қатысушылар саны: Қатыспағандар саны: |
|
Сабақтың тақырыбы: |
Нақты көрсеткішті дәрежелік функцияның туындысы мен интегралы |
|
Оқу бағдарламасына сәйкес оқыту мақсаты |
11.3.1.12 - нақты көрсеткішті дәрежелік функцияның туындысын табу ережелерін білу және қолдану; 11.3.1.13 - нақты көрсеткішті дәрежелік функцияның интегралын табу ережелерін білу және қолдану; |
|
Сабақтың мақсаты: |
- нақты көрсеткішті дәрежелік функцияның туындысын табу ережелерін біледі және қолданады; - нақты көрсеткішті дәрежелік функцияның интегралын табу ережелерін біледі және қолданады; |
Сабақтың барысы:
|
Сабақ кезеңі/Уақыты |
Педагогтың іс әрекеті |
Оқушының іс-әрекеті |
Бағалау |
Ресурстар |
|
Сабақтың басы |
Сыныпты ұйымдастыру. Оқушылармен сәлемдесу. Сынып тазалығына назар аудару. Оқушылардың сабаққа дайындығын тексеру. Үй жұмысын тексеру. Қиындық тудырған есептерді тақтада бірге талқылау. |
Еске түсір ! ( қайталау сұрақтары)
Еске түсіру(Теориялық білім еске түсіріледі)
|
Мұғалім ұйымдастыру кезеңінде белсенділік танытқан оқушыларды «Мадақтау сөз» әдісіарқылы бағалайды: «Жарайсың! Жақсы! Өте жақсы! Талпын!» |
Түрлі түсті қима қағаздар
|
|
Сабақтың ортасы |
Сабақтың мақсаты мен бағалау критерийлеріноқушылармен бірге талқылау. Жұптық жұмыс:Мысалдар талдау Мысалдар талқылау алдында өткен формулаларды пайдаланып өздері жұптаа және в тапсырмаларының біреуін алып, шығарып бір-бірін түсіндіріп талдайды. Дұрыс шығарғандарын жауап арқылы тексереді. 1-мысал:Берілген функцияның туындысын табыңыз
2-мысал:А)
Есептеңдер:
В)
Есептеңдер:
А)
В)
3-мысал: А)
B)
|
«Борды бер» стратегиясы 1) бірінші оқушы бірінші тапсырманы түсіндірусіз орындайды, содан кейін борды екінші оқушыға береді. 2) екінші оқушы жазылып тұрған есептің шешуін түсіндіреді және оны алдын ала құрылған критерийлермен бағалайды, содан кейін өз мысалын шығарады. Борды келесі оқушыға береді және т.с.с.сыныптағы 11 оқушыға тапсырма: Тапсырма 1. Функцияның туындысын табыңыз:
Тапсырма
2.Есептеңдер: Тапсырма 3.
Тапсырма
4.
(9;-43) Жеке жұмыс: Тест тапсырма оқушыларды мүмкіндік болса онлайн тест арқылы білімдерін тексеруге болады мүмкіндік болмаса тест беріліп бағаланады http://ya-znau.ru/znau_sorevn/pr_zn/8 онлайн тест 1,Егер f(х) = 24 A) 8 В)6 С)5 D)1 E)9 2. У = A) У = хВ) У = 3.У = A) 4.у=
5.f(х)
= A) |
Дескриптор: -1-ші сұраққа жауап береді. 1-балл -2-ші сұраққа жауап береді. 1-балл -3-ші сұраққа жауап береді. 1-балл Әрбір дұрыс жауапка 1 балл қойылады
|
ДК экраны Сұрақтар топтамасы. Оқулық 11-сынып.
|
|
Сабақтың соңы |
Сабақ соңында оқушыларға рефлексия жүргізеді: - нені білдім, нені үйрендім - нені толық түсінбедім - немен жұмысты жалғастыру қажет 2. Оқушыларға мұғалім тарапынан кері байланыс беріледі. 3 |
. Үйге тапсырма: Берілген функцияның туындысын табыңыз:№164. №171 № 171
|
Бағалау. Оқушылар бір-бірін ауызша критерий бойынша бағалайды. - Кейбір оқушыларға мұғалім тарапынан кері байланыс беріледі. |
|
Пән: Алгебра
Қысқа мерзімді жоспар №14-сабак
|
Бөлім: Дәрежелер мен түбірлер. Дәрежелік функция |
Мектеп: |
|
Педагогтің аты-жөні: |
|
|
Күні: |
|
|
Сыныбы: 11 |
Қатысушылар саны: Қатыспағандар саны: |
|
Сабақтың тақырыбы: |
Нақты көрсеткішті дәрежелік функцияның туындысы мен интегралы |
|
Оқу бағдарламасына сәйкес оқыту мақсаты |
11.3.1.12 - нақты көрсеткішті дәрежелік функцияның туындысын табу ережелерін білу және қолдану; 11.3.1.13 - нақты көрсеткішті дәрежелік функцияның интегралын табу ережелерін білу және қолдану; |
|
Сабақтың мақсаты: |
- нақты көрсеткішті дәрежелік функцияның туындысын табу ережелерін біледі және қолданады; - нақты көрсеткішті дәрежелік функцияның интегралын табу ережелерін біледі және қолданады; |
Сабақтың барысы:
|
Сабақ кезеңі/Уақыты |
Педагогтың іс әрекеті |
Оқушының іс-әрекеті |
Бағалау |
Ресурстар |
|
Сабақтың басы |
Ұйымдастыру кезкеңі: Үй тапсырмасын тексеру. Сабақтың басында назар аудару: – оқушылардың зейіндерін шоғырландыруына – оқушылармен бірге сабақ мақсаттарын тұжырымдауына – оқушылардың «жақын даму аймағын» және сабақтың күтілетін нәтижелерін анықтауына. Қайталау сұрақтары: -Интегралдау қандай амал? -Анықталмаған интеграл деген не? -Анықталмаған интегралдың қандай қасиеттері бар? -Интегралды табуда қандай жағдайларды ескеру қажет? |
Оқушылар жұптарға біріктіріледі. Әрбір жұп Сәйкестендіру тапсырмасын орындайды. Вilimland.kz сайтының материалдарын қолдануға болады. Бағалау: дайын жауаптар арқылы жұптар бірін-бірі бағалайды.
Алдыңғы сабақта үйренген материалды қайталау; бекіту нақты көрсеткішті дәрежелік функцияның интегралын табуға арналған есептер шығару. Оқушылар тапсырманы жеке орындайды. Қажет болған жағдайда сыныптастарынан және мұғалімнен көмек сұрауы мүмкін. Жалпы сынып оқушыларына қиындық тудырған тапсырманы тақтада талқылау. Бағалау: дайын жауаптар арқылы мұғалім тарапынан бағаланады. Дескриптор: - нақты көрсеткішті дәрежелік функцияны интегралдау жолын біледі; - нақты көрсеткішті дәрежелік функцияның интегралын дұрыс табады. |
Мұғалім ұйымдастыру кезеңінде белсенділік танытқан оқушыларды «Мадақтау сөз» әдісіарқылы бағалайды: «Жарайсың! Жақсы! Өте жақсы! Талпын!» |
Түрлі түсті қима қағаздар
|
|
Сабақтың ортасы |
Деңгейлік тапсырмалар:
Дискрептор: -функцияны бірдей дәрежеге келтіреді; -нақты көрсеткішті дәрежелік функцияның интегралын табу ережесін қолданады; -нақты көрсеткішті дәрежелік функцияның интегралын табу ережесін қолданып фигураның ауданын табады; |
Функцияның туындысын табыңыз:
Жауабы:
|
Дескриптор: -1-ші сұраққа жауап береді. 1-балл -2-ші сұраққа жауап береді. 1-балл -3-ші сұраққа жауап береді. 1-балл Әрбір дұрыс жауапка 1 балл қойылады
|
ДК экраны Сұрақтар топтамасы. Оқулық 11-сынып.
|
|
Сабақтың соңы |
Сабақ соңында оқушыларға рефлексия жүргізеді: - нені білдім, нені үйрендім - нені толық түсінбедім - немен жұмысты жалғастыру қажет 2. Оқушыларға мұғалім тарапынан кері байланыс беріледі. 3. Үйге тапсырма: Берілген функцияның туындысын табыңыз |
|
Бағалау. Оқушылар бір-бірін ауызша критерий бойынша бағалайды. - Кейбір оқушыларға мұғалім тарапынан кері байланыс беріледі. |
|
Пән: Алгебра
Қысқа мерзімді жоспар №15-сабак
|
Бөлім: Дәрежелер мен түбірлер. Дәрежелік функция |
Мектеп: |
|
Педагогтің аты-жөні: |
|
|
Күні: |
|
|
Сыныбы: 11 |
Қатысушылар саны: Қатыспағандар саны: |
|
Сабақтың тақырыбы: |
Нақты көрсеткішті дәрежелік функцияның туындысы мен интегралы |
|
Оқу бағдарламасына сәйкес оқыту мақсаты |
11.3.1.12 - нақты көрсеткішті дәрежелік функцияның туындысын табу ережелерін білу және қолдану; 11.3.1.13 - нақты көрсеткішті дәрежелік функцияның интегралын табу ережелерін білу және қолдану; |
|
Сабақтың мақсаты: |
- нақты көрсеткішті дәрежелік функцияның туындысын табу ережелерін біледі және қолданады; - нақты көрсеткішті дәрежелік функцияның интегралын табу ережелерін біледі және қолданады; |
Сабақтың барысы:
|
Сабақ кезеңі/Уақыты |
Педагогтың іс әрекеті |
Оқушының іс-әрекеті |
Бағалау |
Ресурстар |
||||||
|
Сабақтың басы |
.Еске түсір ! ( қайталау сұрақтары)
Сабақтың мақсаты мен бағалау критерийлерін оқушылармен бірге талқылау. |
ТЖ Топтарға сілтеме ұсынылады https://interneturok.ru/lesson/algebra/ Мақсаты: нақты көрсеткішті дәрежелік функцияның туындысын, интегралын табу ережелерін қайталау; 1, 3-топ нақты көрсеткішті дәрежелік функцияның туындысын табу 2, 4- топ нақты көрсеткішті дәрежелік функцияның интегралын табу Бағалау: «Екі жұлдыз, бір тілек» топтардың бірін бірі бағалауы |
Мұғалім ұйымдастыру кезеңінде белсенділік танытқан оқушыларды «Мадақтау сөз» әдісіарқылы бағалайды: «Жарайсың! Жақсы! Өте жақсы! Талпын!» |
Түрлі түсті қима қағаздар
|
||||||
|
Сабақтың ортасы |
Жұптық жұмыс: Мысалдар талдау.Мысалдар талқылау алдында өткен формулаларды пайдаланып өздері жұпта және тапсырмаларының біреуін алып, шығарып бір-бірін түсіндіріп талдайды. Дұрыс шығарғандарын жауап арқылы тексереді. 1-тапсырма:Берілген функцияның туындысын табыңыз. Сәйкестендіру кестесі.
|
Жеке жұмыс Мақсаты: нақты көрсеткішті дәрежелік функцияның туындысын, интегралын табу қолдана білу Оқушылар өздігінен орындайды. Бағалау: Тақтадағы жауап парағымен оқушыөзін-өзі бағалайды. Әр есеп 1 балл 3-тапсырма: А)
Есептеңдер:
В)
Есептеңдер:
4-тапсырма : Функцияның туындысын табыңыз:
3)
4)
5-тапсырма :
Функцияның туындысын табыңыз
,есептеңіз:
|
Дескриптор: -1-ші сұраққа жауап береді. 1-балл -2-ші сұраққа жауап береді. 1-балл -3-ші сұраққа жауап береді. 1-балл
Әрбір дұрыс жауапка 1 балл қойылады
|
ДК экраны
Сұрақтар топтамасы.
Оқулық 11-сынып.
|
||||||
|
Сабақтың соңы |
Үй тапсырмасы: Рефлексия жазу.
|
Жеке тапсырма: Суретте үсті ашық, биіктігі hметр болатын тік бұрышты бак бейнеленген. Қабырғалары 2х метр және 3хболатын бактың табаны горизонталь орналасқан. Бакқа көлемі 900 м3 су сияды, ал бактың ішкі бетінің ауданы S м2.
a)
b)
Екінші ретті туындыны пайдаланып немесе басқа тәсілмен S – тің берілген жағдайда минимум немесе максимум болатынын анықтаңыз. Бағалау: жалпы сынып болып есептің Марк – схемасын құрып, тексеру. Өзін – өзі бағалау. |
Бағалау. Оқушылар бір-бірін ауызша критерий бойынша бағалайды. - Кейбір оқушыларға мұғалім тарапынан кері байланыс беріледі.
|
|
Пән: Алгебра
Қысқа мерзімді жоспар №16-сабак
|
Бөлім: Дәрежелер мен түбірлер. Дәрежелік функция |
Мектеп: |
|
Педагогтің аты-жөні: |
|
|
Күні: |
|
|
Сыныбы: 11 |
Қатысушылар саны: Қатыспағандар саны: |
|
Сабақтың тақырыбы: |
Нақты көрсеткішті дәрежелік функцияның туындысы мен интегралы |
|
Оқу бағдарламасына сәйкес оқыту мақсаты |
11.2.2.1 – иррационал теңдеудің анықтамасын білу, оның ММЖ-сін анықтай алу; 11.2.2.2 – теңдеудің екі жағын бірдей n-ші дәрежеге шығару әдісі арқылы иррационал теңдеулерді шеше алу; 11.2.2.3 – айнымалыны алмастыру әдісі арқылы иррационал теңдеулерді шеше алу; 11.2.2.4 - иррационал теңдеулер жүйелерін шеше алу; |
|
Сабақтың мақсаты: |
– иррационал теңдеудің анықтамасын біледі, оның ММЖ-сін анықтай алады; – теңдеудің екі жағын бірдей n-ші дәрежеге шығару әдісі арқылы иррационал теңдеулерді шеше алады; – айнымалыны алмастыру әдісі арқылы иррационал теңдеулерді шеше алады; - иррационал теңдеулер жүйелерін шеше алады; |
Сабақтың барысы:
|
Сабақ кезеңі/Уақыты |
Педагогтың іс әрекеті |
Оқушының іс-әрекеті |
Бағалау |
Ресурстар |
|
Сабақтың басы |
Ұйымдастыру кезеңі 1.Ұйымдастыру кезеңі. Сабақтың басында оқушылардың зейіндерін шоғырландыруына назар аудару: – оқушылармен бірге сабақ мақсаттарын тұжырымдау; – бағалау критерийлерін тұжырымдау үшін оқушыларды талпындыру; – оқушылардың «жақын даму аймағын» және сабақтың күтілетін нәтижелерін анықтау. |
«Миға шабуыл» Сұрақтар: 1.а санының n-ші дәрежелі түбірі дегеніміз не? 2.Көбейтіндіден түбір шығару қалай орындалады? 3.Бөлшекпен түбір шығару қалай орындалады? 4.Түбірдің дәрежесі көрсеткішімен түбір таңбасының ішіндегі өрнектің көрсеткіші туралы ережені тұжырымда. 5.Түбірді дәрежеге шығару үшін не істеуге болады? 6.Түбірден түбір шығару қалай орындалады? «Бас бармақ» әдісі арқылы бағалау,әрбір дұрыс жауап 1 балл |
Мұғалім ұйымдастыру кезеңінде белсенділік танытқан оқушыларды «Мадақтау сөз» әдісіарқылы бағалайды: «Жарайсың! Жақсы! Өте жақсы! Талпын!» |
Түрлі түсті қима қағаздар
|
|
Сабақтың ортасы |
Жаңа тақырыпты түсіндіру. Оқушылармен теңдеулерді шешуді схема бойынша қайталау. Оқшылардан топта «Денотаттық граф» құрастырырады. Әрбір топ өзінің жұмыстарымен бөліседі және толықтырады. Оқушылардың білімдерін өзектендіру, зейіндерін сабаққа шоғырландыру. Аргументация келтіру стратегиясын қолдану зертеушілік дағдыларын дамыту мақсатында теңдеуді шешу алгоритмін құрастыру. Теңдеулерді шешу
I. Екі жағын бірдей дәрежеге шығару әдісі.
Егер иррационал теңдеудің екі жағы бірдей тақ дәрежеге шығарылып және радикалдардан босатылса, онда бастапқы теңдеуге теңдес теңдеулер болады. Ал теңдеудің екі жағы бірдей жұп дәрежеге шығарылса, онда бастапқы теңдеудің салдары болады. Абсолюттік шамасы тең, бірақ таңбалары әртүрлі сандарды жұп дәрежеге шығарғанда, бөгде түбірлер пайда болуы мүмкін, бірақ түбірлерді жоғалтуға мүмкін емес. Теңдеуде бөгде түбірлер пайда болуы мүмкін, сондықтан бастапқы теңдеуге қою арқылы түбірлерді тексеру керек.
2)
Берілген
жүйелерде
|
. Мысалы:
2
4. Мысал. II. Иррационал теңдеулерді жаңа айнымалы енгізі әдісімен шешу.
Мысалы: Б
3. Топтық жұмыс. Тапсырманың мақсаты: иррационал теңдеудің екі жағын бірдей тақ дәрежеге немесе жұп дәрежеге шығару және жаңа айнымалы енгізу арқылы теңдеулерді шеше білу. Оқушылар есептерді шығару үшін жұмыс жасай отырып, талап қоя біледі, топпен жұмыста қолдау көрсетеді. Академиялық шыншылдыққа, ынтымақтастыққа баулу дағдыларын дамытады. Бағалау критерийлері:
1.
Тапсырма. 2.
Тапсырма. 3.
Тапсырма 4.
Тапсырма. Түсінбеген есебін топта түсіндіреді. Өз ара оқыту жүзеге асады. Дайын жауаптар бойынша слайдтағы бірін бірі тексереді. Кері байланысы. Н.....назар аудару керек З......зейінін қою қажет М.... мақсатқа жету үшін. Жеке жұмыс. Қалыптастырушы бағалау. Тапсырманың мақсаты:Теңдеулерді шешудің екі жағын дәрежеге шығару арқылы шешу әдісін бекіту. Тапсырма орындалғаннан кейін дайын жауаптармен өзін-өзі тексеру жүргізіледі. Тақтадағы үш түсті конверттегі есептерден оқушылар өздері керекті деңгейдің біреуін ғана таңдап алады. Оқушылар есептерді шығару барысында өздеріне талап қоя біледі, жауапты болуға үйренеді. Бағалау критерийлері:
А деңгей, жасыл түсті конверт 1.
Теңдеу түбірлерінің қосындысын
табыңыз: 2 3. Теңдеуді
шешіңіз: В деңгей, сары түсті конверт 1.
Теңдеуді шешіңіз
: 2.
Теңдеуді
шешіңіз: 3. Теңдеуді
шешіңіз: С деңгей, қызыл түсті конверт 1.
Теңдеуді шешіңіз
: 2.
Теңдеуді
шешіңіз: 3. Теңдеуді
шешіңіз: |
Дескриптор: -1-ші сұраққа жауап береді. 1-балл -2-ші сұраққа жауап береді. 1-балл -3-ші сұраққа жауап береді. 1-балл Әрбір дұрыс жауапка 1 балл қойылады
|
ДК экраны Сұрақтар топтамасы. Оқулық 11-сынып.
|
|
Сабақтың соңы |
Кері байланыс. 1.Тапсырманы орындау барысында қандай қиындық туындады? 2. Неліктен деп ойлайсыз? 3. Қандай қасиеттерді қайталау керек. 4. Неге көңіл бөлу қажет? Оқушылар бағалау парақтарында әрбір кезеңнің өздеріне сәйкес баллдарын қояды,яғни өзін өзі бағалау жүзеге асады және кей жағдайда бірін бірі бағалайды. |
Үй жұмысы: а) в)
с)
d)
Сабақ соңында жүргізілетін рефлексия: Оқушылар сабақ бойынша білгендерін қорытындылап, келесі сөйлемдерді толықтырады. - ... білдім, ... үйрендім - ... толық түсінбедім - ... жұмысты жалғастыру қажет |
Бағалау. Оқушылар бір-бірін ауызша критерий бойынша бағалайды. - Кейбір оқушыларға мұғалім тарапынан кері байланыс беріледі. |
|
Пән: Алгебра
Қысқа мерзімді жоспар №17-сабак
|
Бөлім: Дәрежелер мен түбірлер. Дәрежелік функция |
Мектеп: |
|
Педагогтің аты-жөні: |
|
|
Күні: |
|
|
Сыныбы: 11 |
Қатысушылар саны: Қатыспағандар саны: |
|
Сабақтың тақырыбы: |
Иррационал теңдеулер мен олардың жүйелері |
|
Оқу бағдарламасына сәйкес оқыту мақсаты |
11.2.2.1 – иррационал теңдеудің анықтамасын білу, оның ММЖ-сін анықтай алу; 11.2.2.2 – теңдеудің екі жағын бірдей n-ші дәрежеге шығару әдісі арқылы иррационал теңдеулерді шеше алу; 11.2.2.3 – айнымалыны алмастыру әдісі арқылы иррационал теңдеулерді шеше алу; 11.2.2.4 - иррационал теңдеулер жүйелерін шеше алу; |
|
Сабақтың мақсаты: |
– иррационал теңдеудің анықтамасын біледі, оның ММЖ-сін анықтай алады; – теңдеудің екі жағын бірдей n-ші дәрежеге шығару әдісі арқылы иррационал теңдеулерді шеше алады; – айнымалыны алмастыру әдісі арқылы иррационал теңдеулерді шеше алады; - иррационал теңдеулер жүйелерін шеше алады; |
Сабақтың барысы:
|
Сабақ кезеңі/Уақыты |
Педагогтың іс әрекеті |
Оқушының іс-әрекеті |
Бағалау |
Ресурстар |
||||||||||||||||||||||||||||||||||||
|
Сабақтың басы |
Бұл тақырыпты игере отырып, сендер иррационал теңдеу және оның бөгде түбірлері ұғымымен танысасыңдар, иррационал теңдеуді шешу жолдарын үйренесіңдер. Сендердің алдарында «Жетістік картасы» жатыр. Онда сендер сәтті орындаған тапсырмаларыңды символмен және ұпай санымен белгілейсіңдер.
«!» - еркін қолдана аламын «+» - есептей аламын, кейде қателесемін «-» - тағы да жұмыс жасау керек Сабаққа алатын бағаларын – рейтингтік, нәтижесі жинаған ұпай сандарына байланысты |
«Түртіп алу» әдісі.Оқушылар анықтаманы оқиды, теориялық білімдерін кеңейтеді, қарындаштың көмегімен ойлаудың іске асуын белгілеп отырады: «v» - маған таныс, «+» - мен үшін жаңа, «-» - мен білетін түсінікке сәйкес келмейді, «?» - бұл туралы тереңірек білгім келеді. Оқыған анықтаманың нәтижесін әуелі жұпта, сосын топта талқылау
|
Мұғалім ұйымдастыру кезеңінде белсенділік танытқан оқушыларды «Мадақтау сөз» әдісіарқылы бағалайды: «Жарайсың! Жақсы! Өте жақсы! Талпын!»
|
Түрлі түсті қима қағаздар
|
||||||||||||||||||||||||||||||||||||
|
Сабақтың ортасы
|
Саралау тапсырмаларын орындау А-деңгей
В-деңгей
С-деңгей
|
«Біреуі - үйде , үшеуі –қонақта» тәсілін қолданып, «Иррационал теңдеулер» тақырыбында ҰБТ-да кездесетін есептер шығару
«Дұрыс -Бұрыс» стратегиясы арқылы оқушылардың теориялық материалды игеруін тексерем
Өзін-өзі тексеру
Әрбір дұрыс жауапқа – 1 ұпай, есептеп «Жетістік картасына» енгізіңдер. |
Дескриптор: -1-ші сұраққа жауап береді. 1-балл -2-ші сұраққа жауап береді. 1-балл -3-ші сұраққа жауап береді. 1-балл
Әрбір дұрыс жауапка 1 балл қойылады
|
ДК экраны
Сұрақтар топтамасы.
Оқулық 11-сынып.
|
||||||||||||||||||||||||||||||||||||
|
Сабақтың соңы |
Рефлексия
«Таңдау» әдісі. Үй тапсырмасы
Иррационал сандардың тарихы туралы мәлімет |
Рефлексия. Нені үйрендім? Нені білгім келеді? Нені түсінбедім? Үйге тапсырмасы: Теңдеулерді шешіңіз:
|
Бағалау. Оқушылар бір-бірін ауызша критерий бойынша бағалайды. - Кейбір оқушыларға мұғалім тарапынан кері байланыс беріледі.
|
|
Пән: Алгебра
Қысқа мерзімді жоспар №18-сабак
|
Бөлім: Дәрежелер мен түбірлер. Дәрежелік функция |
Мектеп: |
|
Педагогтің аты-жөні: |
|
|
Күні: |
|
|
Сыныбы: 11 |
Қатысушылар саны: Қатыспағандар саны: |
|
Сабақтың тақырыбы: |
Иррационал теңдеулер мен олардың жүйелері |
|
Оқу бағдарламасына сәйкес оқыту мақсаты |
11.2.2.1 – иррационал теңдеудің анықтамасын білу, оның ММЖ-сін анықтай алу; 11.2.2.2 – теңдеудің екі жағын бірдей n-ші дәрежеге шығару әдісі арқылы иррационал теңдеулерді шеше алу; 11.2.2.3 – айнымалыны алмастыру әдісі арқылы иррационал теңдеулерді шеше алу; 11.2.2.4 - иррационал теңдеулер жүйелерін шеше алу; |
|
Сабақтың мақсаты: |
– иррационал теңдеудің анықтамасын біледі, оның ММЖ-сін анықтай алады; – теңдеудің екі жағын бірдей n-ші дәрежеге шығару әдісі арқылы иррационал теңдеулерді шеше алады; – айнымалыны алмастыру әдісі арқылы иррационал теңдеулерді шеше алады; - иррационал теңдеулер жүйелерін шеше алады; |
Сабақтың барысы:
|
Сабақ кезеңі/Уақыты |
Педагогтың іс әрекеті |
Оқушының іс-әрекеті |
Бағалау |
Ресурстар |
|
Сабақтың басы |
Сабақтың тақырыбы,мақсаты, бағалау критерийлерімен таныстыру |
Жұптық жұмыс Оқушылар жұптасып, «Саяхат» әдісімен кабинет тақталары мен жарларына ілінген тапсырмаларды кез-келген ретпен қозғалыста орындайды. ТАПСЫРМАЛАР Жаңа айнымалыны енгізу әдісімен иррационал теңдеулерді шешіңіз: Оқушылар келесі жұппен дәптерлерін ауыстырып, дескрипторлар және дайын жауаптар көмегімен өзара бағалайды. Дескрипторлар:
Жауаптары:
|
Мұғалім ұйымдастыру кезеңінде белсенділік танытқан оқушыларды «Мадақтау сөз» әдісіарқылы бағалайды: «Жарайсың! Жақсы! Өте жақсы! Талпын!» |
Түрлі түсті қима қағаздар
|
|
Сабақтың ортасы |
Топтық жұмыс Иррационал теңдеулерді жаңа айнымалы енгізу арқылы шешуді бекіту үшіноқушыларға келесітапсырмаларұсынылады. Оқушылар бұл тапсырмаларды орындап болған соң, «Ротация» әдісі арқылы дескрипторлар және дайын жауаптар көмегімен келесі топтар бағалайды.
Дескрипторлар:
Жауаптары: 9) -1/3;1 10) 2;3 11) -1;3 12) 7 13) -4;2 |
Теңдеудішешіңіз:
Шешімі:
х=5 бөгде түбір Жауабы: x=-1 Жұптық жұмыс Мысал 2
Теңдеудің екі жағын n-ші дәрежеге шығару әдісі Мысал 1.
Шешімі:
y=6 и
x=3 и x=-4,5. Жауабы: x=3 и x=-4,5. Жұптық жұмыс Мысал 2
|
Дескриптор: -1-ші сұраққа жауап береді. 1-балл -2-ші сұраққа жауап береді. 1-балл -3-ші сұраққа жауап береді. 1-балл Әрбір дұрыс жауапка 1 балл қойылады
|
ДК экраны Сұрақтар топтамасы. Оқулық 11-сынып.
|
|
Сабақтың соңы |
Сабақ соңында жүргізілетін рефлексия: Кері байланыс: «Бес бармақ» тәсілі:
|
Үй жұмысы
Теңдеулерді шешіңіздер 1)
2)
|
Бағалау. Оқушылар бір-бірін ауызша критерий бойынша бағалайды. - Кейбір оқушыларға мұғалім тарапынан кері байланыс беріледі. |
|
Пән: Алгебра
Қысқа мерзімді жоспар №19-сабак
|
Бөлім: Дәрежелер мен түбірлер. Дәрежелік функция |
Мектеп: |
|
Педагогтің аты-жөні: |
|
|
Күні: |
|
|
Сыныбы: 11 |
Қатысушылар саны: Қатыспағандар саны: |
|
Сабақтың тақырыбы: |
Иррационал теңдеулер мен олардың жүйелері |
|
Оқу бағдарламасына сәйкес оқыту мақсаты |
11.2.2.1 – иррационал теңдеудің анықтамасын білу, оның ММЖ-сін анықтай алу; 11.2.2.2 – теңдеудің екі жағын бірдей n-ші дәрежеге шығару әдісі арқылы иррационал теңдеулерді шеше алу; 11.2.2.3 – айнымалыны алмастыру әдісі арқылы иррационал теңдеулерді шеше алу; 11.2.2.4 - иррационал теңдеулер жүйелерін шеше алу; |
|
Сабақтың мақсаты: |
– иррационал теңдеудің анықтамасын біледі, оның ММЖ-сін анықтай алады; – теңдеудің екі жағын бірдей n-ші дәрежеге шығару әдісі арқылы иррационал теңдеулерді шеше алады; – айнымалыны алмастыру әдісі арқылы иррационал теңдеулерді шеше алады; - иррационал теңдеулер жүйелерін шеше алады; |
Сабақтың барысы:
|
Сабақ кезеңі/Уақыты |
Педагогтың іс әрекеті |
Оқушының іс-әрекеті |
Бағалау |
Ресурстар |
||||||||||||||||||||||||||||||||||||||||||||||||||||||
|
Сабақтың басы |
Кері байланыс:
( осы есептерді тақтаға шығару жолын көрсеткен жөн)
|
«Миға шабуыл» Сұрақ-жауап зерттеушілік Сонымен, теңдеудің мүмкін мәндер жиыны деп теңдеудің екі жағының да мәні болғандай айнымалының мәндер жиынтығын айтамыз. Кейбір жағдайларда ММЖ-ның табуы күрделі болып кетеді: өйткені оны табу үшін теңсіздіктерді немесе теңсіздіктер жиынын шешу керек. Онда теңдеуді түбірлердің мәнін қойып,тексерген жөн.
|
Мұғалім ұйымдастыру кезеңінде белсенділік танытқан оқушыларды «Мадақтау сөз» әдісіарқылы бағалайды: «Жарайсың! Жақсы! Өте жақсы! Талпын!»
|
Түрлі түсті қима қағаздар
|
||||||||||||||||||||||||||||||||||||||||||||||||||||||
|
Сабақтың ортасы
|
Есептер:Теңдеулердің мүмкін мәндер жиынын табыңыздар және шешіңіздер
Уақыт өткеннен кейін, әр топ тақтаға өз жауаптарын жазадыжәне теңдеулердің мүмкін мәндер жиыны туралы айтып береді. Жауаптары бірдей болмаған есептер талданылады Бағалау: қай топтың жауаптарының көбі дұрыс? Қай топтың қателері көп? Неге назар аударуымыз керек? Қажетті болса, мұғалім кейбір есептерді шығарып көрсетеді.
-кім нені түсінген жоқ? -қай есептін шығару жолын түсінбедін? -қай есепті шығарып берейін?- осындай тағы да басқа сұрақтарға үлгерімі жоғары оқушылар қалғандарына көмектеседі. Кейбір жағдайларда иррационал теңдеулерді шешу кезінде жаңа айнымалы енгізу тәсілі күрделі иррационал теңдеулерді қарапайым түрге келтіру мақсатына қолданылады.
Мысал.
Шешуі. Берілген теңдеуді шешу
үшін
Жұппен жұмыс. (А тобы) №123. Теңдеулерді шешіңіздер:
1.
3.
Дескрипторлар: -ММЖ табады -иррационал теңдеулерді шешу алгоритмдерін қолданады; - жаңа айнымалы енгізеді -табылған түбірлерді тексеріп, егер бар болса, бөгде түбірлерді айырады; -теңдеудің түбірін табады. Жұппен жұмыс. (В тобы) №129 есеп. Теңдеулерді шешіңіздер:
1.
2.
3.
4. Дескрипторлар: -ММЖ табады -иррационал теңдеулерді шешу алгоритмдерін қолданады; - жаңа айнымалы енгізеді -табылған түбірлерді тексеріп, егер бар болса, бөгде түбірлерді айырады; -теңдеудің түбірін табады. |
Тапсырманың мақсаты: иррационал теңдеудің екі жағын бірдей тақ дәрежеге немесе жұп дәрежеге шығару және жаңа айнымалы енгізу арқылы теңдеулерді шеше білу. Оқушылардың білім деңгейін тексеру мақсатында. Академиялық шыншылдыққа, ынтымақтастыққа баулу дағдыларын дамытады. Бағалау критерийлері:
1Теңдеуді шешіңіз
:
2. Теңдеуді
шешіңіз:
3. Теңдеуді
шешіңіз:
4
. Теңдеудің түбірлерінің
көбейтіндісін табыңыз:
5. Теңдеуді
шешіңіз:
Балл қою кестесі
Жеке жұмыс (С тобы) №133. Теңдеулерді шешіңіздер:
1.
2.
Дескрипторлар: -ММЖ табады -иррационал теңдеулерді шешу алгоритмдерін қолданады; - жаңа айнымалы енгізеді -табылған түбірлерді тексеріп, егер бар болса, бөгде түбірлерді айырады; -теңдеудің түбірін табады.
|
Дескриптор: -1-ші сұраққа жауап береді. 1-балл -2-ші сұраққа жауап береді. 1-балл -3-ші сұраққа жауап береді. 1-балл
Әрбір дұрыс жауапка 1 балл қойылады
|
ДК экраны
Сұрақтар топтамасы.
Оқулық 11-сынып.
|
||||||||||||||||||||||||||||||||||||||||||||||||||||||
|
Сабақтың соңы |
. Сабақтың қорытындысы. Біз иррационал теңдеулерді шығарып жатырмыз. - Қалай шығарып жатырмыз? (теңдеудің екі жағында квадраттап, егер квадрат түбірі болса) - басқа дәрежелі түбір болса, не істейміз? Қалай ойлайсыздар? Мұғалім: осы тәсілді иррационал теңдеудің екі жағын дәрежелеу тәсілі дейді. Келесі сабақта сіздер басқа да тәсілмен танысасыздар
|
Мысал
. Мына теңдеуді қалай шешеміз? Айнымалысы бар өрнек ненін астында жазылып тұр?
Оқушыларға квадрат түбірдің қасиеттері мен мүмкін мәндер жиынын еске түсіреміз. Осы үш теңдеудің шешу жолдарын талқылап, қарастырамыз. Содан кейін презентациядағы сәйкес слайдтарға қараймыз.
Бірлесе отырып келесі түрдегі
иррационал теңдеулерді шешу алгоритмін
құрастырамыз:
1)
a) Егер с<0 болса, онда теңдеудің шешімі жоқ. б) Егер с=0 болса, онда берілген иррационал теңдеу f(x)=0
в) Егер
с>0, онда берілген иррационал
теңдеу түріндегі жүйемен мәндес болады.
2)
Берілген иррационал теңдеу
түріндегі жүйемен мәндес.
|
Бағалау. Оқушылар бір-бірін ауызша критерий бойынша бағалайды. - Кейбір оқушыларға мұғалім тарапынан кері байланыс беріледі.
|
|
Пән: Алгебра
Қысқа мерзімді жоспар №20-сабак
|
Бөлім: Дәрежелер мен түбірлер. Дәрежелік функция |
Мектеп: |
|
Педагогтің аты-жөні: |
|
|
Күні: |
|
|
Сыныбы: 11 |
Қатысушылар саны: Қатыспағандар саны: |
|
Сабақтың тақырыбы: |
Иррационал теңдеулер мен олардың жүйелері |
|
Оқу бағдарламасына сәйкес оқыту мақсаты |
11.2.2.1 – иррационал теңдеудің анықтамасын білу, оның ММЖ-сін анықтай алу; 11.2.2.2 – теңдеудің екі жағын бірдей n-ші дәрежеге шығару әдісі арқылы иррационал теңдеулерді шеше алу; 11.2.2.3 – айнымалыны алмастыру әдісі арқылы иррационал теңдеулерді шеше алу; 11.2.2.4 - иррационал теңдеулер жүйелерін шеше алу; |
|
Сабақтың мақсаты: |
– иррационал теңдеудің анықтамасын біледі, оның ММЖ-сін анықтай алады; – теңдеудің екі жағын бірдей n-ші дәрежеге шығару әдісі арқылы иррационал теңдеулерді шеше алады; – айнымалыны алмастыру әдісі арқылы иррационал теңдеулерді шеше алады; - иррационал теңдеулер жүйелерін шеше алады; |
Сабақтың барысы:
|
Сабақ кезеңі/Уақыты |
Педагогтың іс әрекеті |
Оқушының іс-әрекеті |
Бағалау |
Ресурстар |
|
Сабақтың басы |
Топтық жұмыс. Оқушыларды топтарға бөлу (4 адам). Мұғалім әр топқа тапсырмалар таратады. 1 топ – бұл топта үлгерімі төмендеу, 2 топ – бұл топта үлгерімі орта, 3 топ– бұл топта үлгерімі жоғары оқушылар.
1-топқа иррационал теңдеуді шешудің тәсілі көрсетілген, теңдеудің екі жағын да бірдей дәрежеге шығару тапсырмасы, 2-топқа жаңа айнымалы енгізу арқылы шешу тапсырмасы, ал 3-топқа теңдеудің берілуіндегі функциялардың ерекшеліктеріне назар аударатын тапсырма беріледі.
Оқушылар тапсырманы шешу жолын постерге орындап, тақтада қорғайды, ал басқа топтар шешімін дәптерге жазады.
Қорғау барысында мұғалім кемшіліктеріне назар аударып, түзетулер жасайды.Мұғалім әрекет етеді: оқушылардың өзін-өзі оқыту орындалу жағдайына. |
Ұйымдастыру: а) оқушылармен амандасу, түгендеу, сынып
бөлмесінің тазалығына көңіл
бөлу Өткен тақырыппен байланысты сұрақтар қою: 1) Х-тің қандай мәндерінде өрнектің мағынасы болады?
2) Квадрат түбірдіңанықтамасынқолданыптеңдеудішешіңдер.
3) Рационалкөрсеткіштідәрежеқасиетінқолданыптеңдеудішешіңдер
Қалыптастырушы бағалау.Жеке жұмыс. Оқушылардың тақырыпты білу және түсіну (Блум таксономиясы бойынша) қаншалықты түсінгенін анықтау мақсатында келесі активити жүргізіледі. Оқушыларға кіші тақталар (Ламинатталған А4 парақтары, whiteboard) таратылады. Мұғалім тұжырымды оқиды, ал оқушылар кіші тақталарға ақиқат болса «Т» әріпін жазады (True), ал жалған болса, «F» әріпін жазады (False) да жоғары көтеріп мұғалімге көрсетеді. Осы активити арқылы қай оқушының тақырыпты игеру деңгейін бақылайды. Мұғалім бес сөйлем оқиды. Критерийлер: Егер оқушы 4-5 сұраққа дұрыс жауап берсе оқушылар оқу мақсатын игергендігі анық. 1.Иррационал теңдеу – айнымалысы квадрат түбірдің астында болатын теңдеу. (ақиқат) 2.
3.
4. 5. Иррационал теңдеулерді шешу кезінде барлық табылған түбірлерді берілген теңдеуге қойып тексеру керек. (ақиқат) |
Мұғалім ұйымдастыру кезеңінде белсенділік танытқан оқушыларды «Мадақтау сөз» әдісіарқылы бағалайды: «Жарайсың! Жақсы! Өте жақсы! Талпын!» |
Түрлі түсті қима қағаздар
|
|
Сабақтың ортасы |
Есептер: 1) теңдеудің екі жағында алтыншы дәрежеге алайық:
Енді түбірлерді тексерейік. Шыққан сандарды х-тің орнына коямыз: Тексеру: х=1
болғанда x=6-ны
қойғанда 2)
Тексеру: түбірлерді х-тің орнына қоймай-ақ тексеруге болады, яғни теңдеудің он жағына назар аударсақ, х - 7 > 0 болу керек, яғни х > 7 орындалу керек (өйткені түбірдің дәрежесі жұп). Сондықтан, берілген теңдеудің түбірі х=11. 3)
Берілген теңдеудің екі жағында үшінші дәрежеге алдық. Кубтық теңдеу болғандықтан, үш түбір шықты. Дәреже тақ болғандықтан, тексеру керегі жоқ: өйткені теңдеудің екі жағын дәрежелегенде, берілген теңдеуге мәндес теңдеу шықты. Сонымен жауабы: х1=0; х2=2; х3=-1.
Құндылықтарды дарыту: бірін-бірі тындау, өз пікірін айта білу, жауапкершілік Теңдеулерді шешіңіз:
Бұл есептердің соңғы үшеуін дифференциация ретінде тезірек шығарғын оқушыларға беруге болады. Кейбір жұптарды тақтаға шығарып, оларды шығару жолдарын талдап беруге сұрауға болады. Кері байланыс: -қай теңдеу қиынырақ болды? - неліктен? - кім бірінші(басқа да) есептін шығару жолын айтып береді? - иррационал теңдеуді шығару үшін нені білу керек? - қандай айырмашылық бар: жұп дәрежелі немесе тақ дәрежелі түбірі бар теңдеулердің шығару жолында? Қосымша 1
Оқушыларға мұғалім тарапынан кері байланыс беріледі.
|
А – деңгей.
1. Теңдеуді
шешіңіз:
2. Теңдеуді
шешіңіз:
3. Теңдеуді
шешіңіз: В – деңгей.
4.
А) [3;21); B) [3;21]; C) [0; 20]; D) (21;30); E) (-28;21).
5. Теңдеуді
шешіңіз:
6. Теңдеуді
шешіңіз: С – деңгей. 7. Теңдеудің үлкен түбірін табыңыз:
Келесі тапсырманың шешуін қарастырыңыз. Мысал 1.
Шешуі:
«Миға
шабуыл»стратегиясын қолданып, оқушыларға жұпта Бірінші тәсіл. Теңдеудің екі жағын кубқа шығару. Екінші тәсіл. Екі айнымалыны еңгізіп, бастапқы теңдеуді теңдеулер жүйесіне келтіру.
Теңдеуді Теңдеуден теңдеулер жүйесіне
келтіріп, шешуге болады: Жауабы:
Практикалық бөлім Есептер шығару Жұптық жұмыс
Тапсырма 1.
Тапсырма 2.
Тапсырма 3.
Тапсырма
4.
Қиындық келтірген есептер тақтада талданады Қосымша есептер |
Дескриптор: -1-ші сұраққа жауап береді. 1-балл -2-ші сұраққа жауап береді. 1-балл -3-ші сұраққа жауап береді. 1-балл Әрбір дұрыс жауапка 1 балл қойылады
|
ДК экраны Сұрақтар топтамасы. Оқулық 11-сынып.
|
|
Сабақтың соңы |
Үй жұмысы: Есептер қиықшаларда
беріледі) |
Сабақ соңында оқушылар рефлексия жүргізеді: - нені білдім, нені үйрендім - нені толық түсінбедім - немен жұмысты жалғастыру қажет Оқушылар өздерінің жұмысы мен сыныптастарының жұмысын белгілі бір критерийлер бойынша бағалай алады |
Бағалау. Оқушылар бір-бірін ауызша критерий бойынша бағалайды. - Кейбір оқушыларға мұғалім тарапынан кері байланыс беріледі. |
|
Пән: Алгебра
Қысқа мерзімді жоспар №21-сабак
|
Бөлім: Дәрежелер мен түбірлер. Дәрежелік функция |
Мектеп: |
|
Педагогтің аты-жөні: |
|
|
Күні: |
|
|
Сыныбы: 11 |
Қатысушылар саны: Қатыспағандар саны: |
|
Сабақтың тақырыбы: |
Иррационал теңсіздіктер |
|
Оқу бағдарламасына сәйкес оқыту мақсаты |
11.2.2.5 – иррационал теңсіздіктерді шеше алу; |
|
Сабақтың мақсаты: |
– иррационал теңсіздіктерді шеше алады; |
Сабақтың барысы:
|
Сабақ кезеңі/Уақыты |
Педагогтың іс әрекеті |
Оқушының іс-әрекеті |
Бағалау |
Ресурстар |
||||||||
|
Сабақтың басы |
Ұйымдастыру
Оқушылар назарын аудару. |
. Өткен материалдарды қайта жаңғырту Мұғалім оқушыларға қайталау мақсатында жоғары дәрежелі теңдеулерді және иррационал теңдеулерді шешу тәсілдерін айтуды сұрайды.
Сабақтың мақсаты мен бағалау критерийлері оқушылармен бірлесе отырып талқаланып құрылады. |
Мұғалім ұйымдастыру кезеңінде белсенділік танытқан оқушыларды «Мадақтау сөз» әдісіарқылы бағалайды: «Жарайсың! Жақсы! Өте жақсы! Талпын!»
|
Түрлі түсті қима қағаздар
|
||||||||
|
Сабақтың ортасы
|
. Жаңа сабақ Қарапайым иррационал теңсіздіктер:
Мұғалім жоғарыда көрсетілген кестені беріп,келесітеңсіздіктердішығаружолдарыноқушыларменбіргеталқылайды:
Күрделі түрдегі иррационал теңсіздіктердің шешімдері:
Оқушылармен жоғарыда көрсетілген кесте талқыланып, келесі есептер тақтада талқыланып шығарылады:
|
Оқушыларға теңсіздіктер соның ішінде иррационал теңсіздіктерге мысалдар келтіруді сұрау. Оқушылардың айтқан мысалдарын тақтаға жазу. Оқушылар сызықтық,квадраттық, рационал және иррационал теңсіздіктер мысалын айтуы мүмкін, әр бір теңсіздік тақтаға жазылған теңсіздік түрлерін атап, оқушылармен қайталау, және сызықтық, квадраттық және рационал теңсіздіктерді шешу әдістерін қайталау. Егер
оқушылар мысалында иррационал теңсіздіктер болса, соны, болмаса
мұғалім тақтада Иррационал теңсіздіктерді шешу Иррационал теңсіздіктерді шешу иррационал теңдеулерді шешу сияқты радикалдан құтылып, теңсіздікті рационал түрге келтіріп алу керек. Иррационал теңсіздіктерді шешу үшін екі жағын дәрежелеу, жаңа айнымалы енгізу, көбейткіштерге жіктеу және интервалдар әдістерін қолдануға болады. Осы әдістердің ішінде екі жағын дәрежелеу, көбейткіштерге жіктеуді мысал-есептер арқылы көрсетейік. Екі жағын дәрежелеу әдісі Бұл әдісте егер радикал көрсеткіші тақ болса онда дәрежелеген кезде оған эквивалентті теңсіздік алынады, ал егер радикал көрсеткіші жұп болған кезде онда дәрежелеу үшін теңсіздіктің екі жағы да оң болу керек шартын ескеру керек. Мысал-есеп №1:
|
Дескриптор: -1-ші сұраққа жауап береді. 1-балл -2-ші сұраққа жауап береді. 1-балл -3-ші сұраққа жауап береді. 1-балл
Әрбір дұрыс жауапка 1 балл қойылады
|
ДК экраны
Сұрақтар топтамасы.
Оқулық 11-сынып.
|
||||||||
|
Сабақтың соңы |
Рефлексия - нені білдім, нені үйрендім - нені толық түсінбедім - немен жұмысты жалғастыру қажет
|
|
Бағалау. Оқушылар бір-бірін ауызша критерий бойынша бағалайды. - Кейбір оқушыларға мұғалім тарапынан кері байланыс беріледі.
|
|
Пән: Алгебра
Қысқа мерзімді жоспар №22-сабак
|
Бөлім: Дәрежелер мен түбірлер. Дәрежелік функция |
Мектеп: |
|
Педагогтің аты-жөні: |
|
|
Күні: |
|
|
Сыныбы: 11 |
Қатысушылар саны: Қатыспағандар саны: |
|
Сабақтың тақырыбы: |
Иррационал теңсіздіктер |
|
Оқу бағдарламасына сәйкес оқыту мақсаты |
11.2.2.5 – иррационал теңсіздіктерді шеше алу; |
|
Сабақтың мақсаты: |
– иррационал теңсіздіктерді шеше алады; |
Сабақтың барысы:
|
Сабақ кезеңі/Уақыты |
Педагогтың іс әрекеті |
Оқушының іс-әрекеті |
Бағалау |
Ресурстар |
|
Сабақтың басы |
Мақсаты: Оқушының иррационал теңсіздіктерді шешімін таба алу дағдысын тексеру. Бағалау: Есептер шешімін мұғалімнің дайын жауабымен тексереді. Дескрипторлар: Берілген теңсіздіктің анықталу облысын табады; Теңсіздіктердің мәндестігі туралы тұжырымға сүйеніп, берілген теңсіздіктің шешімдерін табады; Табылған шешімдер ішінен анықталу облысына тиісті аралықтарды таңдай алады. |
Оқушылардың сабаққа даярлығын тексеру. - Оқушы көңілін сабаққа аудару. Мұғаліммен ауызша тапсырма орындау: «ҚАТЕНІ ТАП» Теңдеуді шеш
Бүгінгі сабақтың мақсаты қалай деп ойлайсыңдар? - оқушылармен бірігіп сабақтың мақсатын анықтайды |
Мұғалім ұйымдастыру кезеңінде белсенділік танытқан оқушыларды «Мадақтау сөз» әдісіарқылы бағалайды: «Жарайсың! Жақсы! Өте жақсы! Талпын!» |
Түрлі түсті қима қағаздар
|
|
Сабақтың ортасы |
І. Теориялық материалға шолу жасау. Мұғалім презентация көмегімен Иррационал теңсіздіктерді шешу жолдарына сұрақтар қоя отырып, еске түсінеді. Мақсаты: Оқушыларға иррационал теңсіздіктерді шешу жолдарына үйрету. Иррационал теңсіздіктерді шешу үшін теңсіздіктің екі жағын бірдей натурал дәрежеге шығару, жаңа айнымалы енгізу, т.б. әдістер қолдануға болады. Шешімін іздестіруді былай орындауға болады:
Иррационал теңсіздіктерді шешуге дағдыланған соң бұл үш этапқа қарамай берілген теңсіздікті қарапайым теңсіздіктер жүйесімен немесе жиынтығымен алмастыруға болады.
Теңсіздікті шешуде қолданатын қатынастар: 1)
ІІ. Жұптық жұмыс. Иррационал теңсіздіктердің шешімін табу. Мақсаты: Оқушылардың иррационал теңсіздіктерді шешу дағдыларын қалыптастыру. Бағалау:Оқушылар бұл тапсырмаларды орындап болған соң, жұптар жұмыстарын салыстырады. Салыстырылған есептер шешімін мұғалімнің дайын жауаптар көмегімен жұптар өздерін бағалайды. Дескрипторлар:
Мұғалім орындалған тапсырмалар бойынша кері байланыстар береді.
|
Жұптық тапсырма: Есеп №2:
Бағалау: Оқушылар қасындағы жұптарымен бірге есептерін талқылап, басқалармен салыстырғанда айырмашылық бар ма, болса қандай. Себебі неге анықтатып, содан кейін барып дұрыс шешімді тақтада көрсету. Шешуі:
Жауабы: Жаңа әдісті бекіту үшін жұпқа тапсырма беру. Жұптық тапсырма: Есеп №5:
Бағалау: Оқушылар қасындағы жұптарымен бірге есептерін талқылап, басқалармен салыстырғанда айырмашылық бар ма, болса қандай. Себебі неге анықтатып, содан кейін барып дұрыс шешімді тақтада көрсету. Шешуі:
ІІІ. Жеке жұмыс. Иррационал теңсіздіктердің шешімін табу. Тапсырмалар білу, түсіну, қолдану және анализ жасауға берілген. Оқушылардың ерекшеліктеріне байланысты тапсырмаларды әртүрлі ойлау дағдыларына байланыстырып, немесе барлық дағдыларды қамтып беруге болады. Мақсаты: Оқушының иррационал теңсіздіктерді шешімін таба алу дағдысын тексеру. Бағалау: Есептер шешімін мұғалімнің дайын жауабымен тексереді. Дескрипторлар:
Мұғалім орындалған тапсырмалар бойынша кері байланыстар береді. Сабақты қорытындылайды. |
Дескриптор: -1-ші сұраққа жауап береді. 1-балл -2-ші сұраққа жауап береді. 1-балл -3-ші сұраққа жауап береді. 1-балл Әрбір дұрыс жауапка 1 балл қойылады
|
ДК экраны Сұрақтар топтамасы. Оқулық 11-сынып. http://formula-xyz.ru/irratsionalnye-neravenstva.html http://ru.solverbook.com/spravochnik/reshenie-neravenstv/irracionalnye-neravenstva-i-ix-reshenie/ http://youclever.org/book/irratsionalnye-neravenstva-2
|
|
Сабақтың соңы |
Рефлексия:Бүгінгі алдыңызға қойған мақсатыңызға жеттіңіз бе? Сізге не қиындық туғызды? Оны жеңу үшін қандай жұмыстарды атқарасыз? |
Б/ Үй
тапсырмасы: Мысал-есеп
№6:
Екі жағдайын қарастырайық:
Жауабы: |
Бағалау. Оқушылар бір-бірін ауызша критерий бойынша бағалайды. - Кейбір оқушыларға мұғалім тарапынан кері байланыс беріледі. |
|
Пән: Алгебра
Қысқа мерзімді жоспар №23-сабак
|
Бөлім: Дәрежелер мен түбірлер. Дәрежелік функция |
Мектеп: |
|
Педагогтің аты-жөні: |
|
|
Күні: |
|
|
Сыныбы: 11 |
Қатысушылар саны: Қатыспағандар саны: |
|
Сабақтың тақырыбы: |
Иррационал теңсіздіктер |
|
Оқу бағдарламасына сәйкес оқыту мақсаты |
11.2.2.5 – иррационал теңсіздіктерді шеше алу; |
|
Сабақтың мақсаты: |
– иррационал теңсіздіктерді шеше алады; |
Сабақтың барысы:
|
Сабақ кезеңі/Уақыты |
Педагогтың іс әрекеті |
Оқушының іс-әрекеті |
Бағалау |
Ресурстар |
||||||
|
Сабақтың басы |
І. Ұйымдастыру
ІІ. Үй жүмысын тексеру. 1) 2) 3) |
|
Мұғалім ұйымдастыру кезеңінде белсенділік танытқан оқушыларды «Мадақтау сөз» әдісіарқылы бағалайды: «Жарайсың! Жақсы! Өте жақсы! Талпын!»
|
Түрлі түсті қима қағаздар
|
||||||
|
Сабақтың ортасы
|
. Теңсіздік шешу әдістерін қайталау. ІІ. Есеп шығару.
ж) ІІ. Оқулықпен жұмыс. (Шыныбеков А.Н.)
|
|
Дескриптор: -1-ші сұраққа жауап береді. 1-балл -2-ші сұраққа жауап береді. 1-балл -3-ші сұраққа жауап береді. 1-балл
Әрбір дұрыс жауапка 1 балл қойылады
|
ДК экраны
Сұрақтар топтамасы.
Оқулық 11-сынып.
|
||||||
|
Сабақтың соңы |
Рефлексия - нені білдім, нені үйрендім - нені толық түсінбедім - немен жұмысты жалғастыру қажет Үйге тапсырмасы. № 143 а)
б)
|
Жұптық жұмыс 1. Теңсіздіктің шешімін табыңыз: а)
2. Теңсіздіктің ең кіші
бүтін шешімін табыңыз:
Дескриптор:
|
Бағалау. Оқушылар бір-бірін ауызша критерий бойынша бағалайды. - Кейбір оқушыларға мұғалім тарапынан кері байланыс беріледі.
|
|
Пән: Алгебра
Қысқа мерзімді жоспар №24-сабак
|
Бөлім: Дәрежелер мен түбірлер. Дәрежелік функция |
Мектеп: |
|
Педагогтің аты-жөні: |
|
|
Күні: |
|
|
Сыныбы: 11 |
Қатысушылар саны: Қатыспағандар саны: |
|
Сабақтың тақырыбы: |
Иррационал теңсіздіктер |
|
Оқу бағдарламасына сәйкес оқыту мақсаты |
11.2.2.5 – иррационал теңсіздіктерді шеше алу; |
|
Сабақтың мақсаты: |
– иррационал теңсіздіктерді шеше алады; |
Сабақтың барысы:
|
Сабақ кезеңі/Уақыты |
Педагогтың іс әрекеті |
Оқушының іс-әрекеті |
Бағалау |
Ресурстар |
||||||||||||||||||||||||||||||||||||||||||
|
Сабақтың басы |
Теориялық материалға шолу жасау. Мұғалім презентация көмегімен Иррационал теңсіздіктерді шешу жолдарына сұрақтар қоя отырып, еске түсінеді. Мақсаты: Оқушыларға иррационал теңсіздіктерді шешу жолдарына үйрету. Иррационал теңсіздіктерді шешу үшін теңсіздіктің екі жағын бірдей натурал дәрежеге шығару, жаңа айнымалы енгізу, т.б. әдістер қолдануға болады. Шешімін іздестіруді былай орындауға болады:
Иррационал теңсіздіктерді шешуге дағдыланған соң бұл үш этапқа қарамай берілген теңсіздікті қарапайым теңсіздіктер жүйесімен немесе жиынтығымен алмастыруға болады. |
Теңсіздікті шешуде қолданатын қатынастар: 1)
|
Мұғалім ұйымдастыру кезеңінде белсенділік танытқан оқушыларды «Мадақтау сөз» әдісіарқылы бағалайды: «Жарайсың! Жақсы! Өте жақсы! Талпын!» |
Түрлі түсті қима қағаздар
|
||||||||||||||||||||||||||||||||||||||||||
|
Сабақтың ортасы |
III. Жеке жұмыс тапсырмасының жауабы:
|
Жеке жұмыс
|
Дескриптор: -1-ші сұраққа жауап береді. 1-балл -2-ші сұраққа жауап береді. 1-балл -3-ші сұраққа жауап береді. 1-балл
Әрбір дұрыс жауапка 1 балл қойылады
|
ДК экраны
Сұрақтар топтамасы.
Оқулық 11-сынып.
|
||||||||||||||||||||||||||||||||||||||||||
|
Сабақтың соңы |
Үй тапсырмасы
Берілген теңсіздіктің анықталу облысын табады; Теңсіздіктердің мәндестігі туралы тұжырымға сүйеніп, берілген теңсіздіктің шешімдерін табады; Табылған шешімдер ішінен анықталу облысына тиісті аралықтарды таңдай алады.
|
Үй тапсырмасы жауабы
|
Бағалау. Оқушылар бір-бірін ауызша критерий бойынша бағалайды. - Кейбір оқушыларға мұғалім тарапынан кері байланыс беріледі.
|
|
Пән: Алгебра
Қысқа мерзімді жоспар №25-сабак
|
Бөлім: Дәрежелер мен түбірлер. Дәрежелік функция |
Мектеп: |
|
Педагогтің аты-жөні: |
|
|
Күні: |
|
|
Сыныбы: 11 |
Қатысушылар саны: Қатыспағандар саны: |
|
Сабақтың тақырыбы: |
Иррационал теңсіздіктер |
|
Оқу бағдарламасына сәйкес оқыту мақсаты |
11.2.2.5 – иррационал теңсіздіктерді шеше алу; |
|
Сабақтың мақсаты: |
– иррационал теңсіздіктерді шеше алады; |
Сабақтың барысы:
|
Сабақ кезеңі/Уақыты |
Педагогтың іс әрекеті |
Оқушының іс-әрекеті |
Бағалау |
Ресурстар |
||
|
Сабақтың басы |
. Ұйымдастыру. Амандасу. Жақсы тілектер айту арқылы ынтымақтастық атмосферасын орнату. Рационал өрнектері бар теңдеулер мен теңсіздіктер туралы, шешу тәсілдері туралы слайдармен өткен материалды пысықтау, үй жұмысын тексеру. |
. Өткен материалдарды қайта жаңғырту Мұғалім оқушыларға қайталау мақсатында жоғары дәрежелі теңдеулерді және иррационал теңдеулерді шешу тәсілдерін айтуды сұрайды.
Сабақтың мақсаты мен бағалау критерийлері оқушылармен бірлесе отырып талқаланып құрылады. |
Мұғалім ұйымдастыру кезеңінде белсенділік танытқан оқушыларды «Мадақтау сөз» әдісіарқылы бағалайды: «Жарайсың! Жақсы! Өте жақсы! Талпын!»
|
Түрлі түсті қима қағаздар
|
||
|
Сабақтың ортасы
|
Жалпы сыныптық жұмыс №1.
Теңсіздікті
шешіңіз:
№2.
Теңсіздікті
шешіңіз:x2
- 8x -
2
5. Теңсіздікті
шешіңіз: Берілген теңсіздікті шешу үшін оған мәндес теңсіздік аламыз:
Жауабы: шешімі жоқ.
|
Теңсіздікті
шешіңіз: Теңсіздіктің сол жағы арифметикалық түбір болғандықтан оң жағы нөлден артық, әрі теңсіздіктің анықталу облысын ескеріп мынадай теңсіздіктер жүйесін аламыз:
x + 6 ≥ 0
x + 6 < x2 x2 – x – 6 > 0 (x – 3)(x + 2) > 0
Жауабы:
х 4.Теңсіздікті
шешіңіз: Теңсіздіктің сол жағы арифметикалық түбір оң жағы оңда, теріс де болуы мүмкін. Осы шартты ескере отырып, берілген теңсіздікті екі жүйенің жиынтығына мәндес деп аламыз:
1 x2
– 9 ≥ 0
2
Жауабы: х
|
Дескриптор: -1-ші сұраққа жауап береді. 1-балл -2-ші сұраққа жауап береді. 1-балл -3-ші сұраққа жауап береді. 1-балл
Әрбір дұрыс жауапка 1 балл қойылады
|
ДК экраны
Сұрақтар топтамасы.
Оқулық 11-сынып.
|
||
|
Сабақтың соңы |
Рефлексия - нені білдім, нені үйрендім - нені толық түсінбедім - немен жұмысты жалғастыру қажет
|
Үй жұмыс: №3.
Теңсіздікті
шешіңіз:3
№4.
Теңсіздікті
шешіңіз: |
Бағалау. Оқушылар бір-бірін ауызша критерий бойынша бағалайды. - Кейбір оқушыларға мұғалім тарапынан кері байланыс беріледі.
|
|
Пән: Алгебра
Қысқа мерзімді жоспар №26-сабак
|
Бөлім: Дәрежелер мен түбірлер. Дәрежелік функция |
Мектеп: |
|
Педагогтің аты-жөні: |
|
|
Күні: |
|
|
Сыныбы: 11 |
Қатысушылар саны: Қатыспағандар саны: |
|
Сабақтың тақырыбы: |
2 тоқсан материалдарын қайталау |
|
Оқу бағдарламасына сәйкес оқыту мақсаты |
11.2.2.5 – иррационал теңсіздіктерді шеше алу; 11.2.2.1 – иррационал теңдеудің анықтамасын білу, оның ММЖ-сін анықтай алу; 11.2.2.2 – теңдеудің екі жағын бірдей n-ші дәрежеге шығару әдісі арқылы иррационал теңдеулерді шеше алу; 11.2.2.3 – айнымалыны алмастыру әдісі арқылы иррационал теңдеулерді шеше алу; 11.2.2.4 - иррационал теңдеулер жүйелерін шеше алу; |
|
Сабақтың мақсаты: |
– иррационал теңсіздіктерді шеше алады; – иррационал теңдеудің анықтамасын біледі, оның ММЖ-сін анықтай алады; – теңдеудің екі жағын бірдей n-ші дәрежеге шығару әдісі арқылы иррационал теңдеулерді шеше алады; – айнымалыны алмастыру әдісі арқылы иррационал теңдеулерді шеше алады; - иррационал теңдеулер жүйелерін шеше алады; |
Сабақтың барысы:
|
Сабақ кезеңі/Уақыты |
Педагогтың іс әрекеті |
Оқушының іс-әрекеті |
Бағалау |
Ресурстар |
||||||||||||||||||
|
Сабақтың басы |
Оқушылардың сабаққа даярлығын тексеру. - Оқушы көңілін сабаққа аудару. Мұғаліммен ауызша тапсырма орындау: «ҚАТЕНІ ТАП» Теңдеуді шеш
Бүгінгі сабақтың мақсаты қалай деп ойлайсыңдар? - оқушылармен бірігіп сабақтың мақсатын анықтайды |
Теңдеудің екі жағын бірдей дәрежеге шығару әдісі. - Оқушылар, берілген теңдеуді шешуде қандай алгоритм жасалды? - неге көңіл аудару қажет? Оқушылармен төмендегідей қорытынды жасалады - егер дәреже көрсеткіші жұп болса, онда түбір астындағы өрнек теріс емес мәнді қабылдау қажет; сонымен қатар түбір де теріс емес мәнді қабылдау қажет; - егер дәреже көрсеткіші тақ болса, онда түбір астындағы өрнектің кез-келген мәнінде мағынасы болады Мысалы:
Жұппен жұмыс Екі оқушы тапсырманы тақтада орындайды. Жауаппен бағалау. а) в) күрделі деңгейдегі тапсырма: с) Рефлексия: - мен білдім … - маған қызық болды … - маған түсініксіз болды … |
Мұғалім ұйымдастыру кезеңінде белсенділік танытқан оқушыларды «Мадақтау сөз» әдісіарқылы бағалайды: «Жарайсың! Жақсы! Өте жақсы! Талпын!» |
Түрлі түсті қима қағаздар
|
||||||||||||||||||
|
Сабақтың ортасы |
|
І нұсқа
|
Дескриптор: -1-ші сұраққа жауап береді. 1-балл -2-ші сұраққа жауап береді. 1-балл -3-ші сұраққа жауап береді. 1-балл
Әрбір дұрыс жауапка 1 балл қойылады
|
ДК экраны
Сұрақтар топтамасы.
Оқулық 11-сынып.
|
||||||||||||||||||
|
Сабақтың соңы |
Рефлексия - нені білдім, нені үйрендім - нені толық түсінбедім - немен жұмысты жалғастыру қажет
|
Теңсіздікті
шешіңіз: Ж:
Үй тапсырмасы. |
Бағалау. Оқушылар бір-бірін ауызша критерий бойынша бағалайды. - Кейбір оқушыларға мұғалім тарапынан кері байланыс беріледі.
|
|
Пән: Алгебра
Қысқа мерзімді жоспар №27-сабак
|
Бөлім: Дәрежелер мен түбірлер. Дәрежелік функция |
Мектеп: |
|
Педагогтің аты-жөні: |
|
|
Күні: |
|
|
Сыныбы: 11 |
Қатысушылар саны: Қатыспағандар саны: |
|
Сабақтың тақырыбы: |
2 тоқсан материалдарын қайталау |
|
Оқу бағдарламасына сәйкес оқыту мақсаты |
11.2.2.5 – иррационал теңсіздіктерді шеше алу; 11.2.2.1 – иррационал теңдеудің анықтамасын білу, оның ММЖ-сін анықтай алу; 11.2.2.2 – теңдеудің екі жағын бірдей n-ші дәрежеге шығару әдісі арқылы иррационал теңдеулерді шеше алу; 11.2.2.3 – айнымалыны алмастыру әдісі арқылы иррационал теңдеулерді шеше алу; 11.2.2.4 - иррационал теңдеулер жүйелерін шеше алу; |
|
Сабақтың мақсаты: |
– иррационал теңсіздіктерді шеше алады; – иррационал теңдеудің анықтамасын біледі, оның ММЖ-сін анықтай алады; – теңдеудің екі жағын бірдей n-ші дәрежеге шығару әдісі арқылы иррационал теңдеулерді шеше алады; – айнымалыны алмастыру әдісі арқылы иррационал теңдеулерді шеше алады; - иррационал теңдеулер жүйелерін шеше алады; |
Сабақтың барысы:
|
Сабақ кезеңі/Уақыты |
Педагогтың іс әрекеті |
Оқушының іс-әрекеті |
Бағалау |
Ресурстар |
|
Сабақтың басы |
. Ұйымдастыру. Амандасу. Жақсы тілектер айту арқылы ынтымақтастық атмосферасын орнату. Рационал өрнектері бар теңдеулер мен теңсіздіктер туралы, шешу тәсілдері туралы слайдармен өткен материалды пысықтау, үй жұмысын тексеру |
Теңсіздікті
шешіңіз: Ж:
Теңсіздікті
шешіңіз: Ж: (-6;-5).
|
Мұғалім ұйымдастыру кезеңінде белсенділік танытқан оқушыларды «Мадақтау сөз» әдісіарқылы бағалайды: «Жарайсың! Жақсы! Өте жақсы! Талпын!» |
Түрлі түсті қима қағаздар
|
|
Сабақтың ортасы |
|
Теңсіздікті
шешіңіз: Ж: Теңсіздікті
шешіңіз: Ж:
Теңсіздікті
шешіңіз: Ж: (-6;-5). Теңсіздікті
шешіңіз: Ж:
Ж:
Теңсіздікті
шешіңіз: Ж:
Ж:
Теңсіздікті шешіңіз: |
|
|
|
Сабақтың соңы |
Рефлексия - нені білдім, нені үйрендім - нені толық түсінбедім - немен жұмысты жалғастыру қажет |
Теңсіздікті
шешіңіз: Ж:
Теңсіздікті
шешіңіз: Ж:
|
|
|
Пән: Алгебра
Қысқа мерзімді жоспар №28-сабак
|
Бөлім: Дәрежелер мен түбірлер. Дәрежелік функция |
Мектеп: |
|
Педагогтің аты-жөні: |
|
|
Күні: |
|
|
Сыныбы: 11 |
Қатысушылар саны: Қатыспағандар саны: |
|
Сабақтың тақырыбы: |
2 тоқсан материалдарын қайталау |
|
Оқу бағдарламасына сәйкес оқыту мақсаты |
11.2.2.5 – иррационал теңсіздіктерді шеше алу; 11.2.2.1 – иррационал теңдеудің анықтамасын білу, оның ММЖ-сін анықтай алу; 11.2.2.2 – теңдеудің екі жағын бірдей n-ші дәрежеге шығару әдісі арқылы иррационал теңдеулерді шеше алу; 11.2.2.3 – айнымалыны алмастыру әдісі арқылы иррационал теңдеулерді шеше алу; 11.2.2.4 - иррационал теңдеулер жүйелерін шеше алу; |
|
Сабақтың мақсаты: |
– иррационал теңсіздіктерді шеше алады; – иррационал теңдеудің анықтамасын біледі, оның ММЖ-сін анықтай алады; – теңдеудің екі жағын бірдей n-ші дәрежеге шығару әдісі арқылы иррационал теңдеулерді шеше алады; – айнымалыны алмастыру әдісі арқылы иррационал теңдеулерді шеше алады; - иррационал теңдеулер жүйелерін шеше алады; |
Сабақтың барысы:
|
Сабақ кезеңі/Уақыты |
Педагогтың іс әрекеті |
Оқушының іс-әрекеті |
Бағалау |
Ресурстар |
|
Сабақтың басы |
. Ұйымдастыру. Амандасу. Жақсы тілектер айту арқылы ынтымақтастық атмосферасын орнату. Рационал өрнектері бар теңдеулер мен теңсіздіктер туралы, шешу тәсілдері туралы слайдармен өткен материалды пысықтау, үй жұмысын тексеру |
Теңсіздікті қанағаттандыратын
ең кіші бүтін шешімін табыңыз: Ж:3.
Ж:
Теңсіздікті
шешіңіз: Ж: |
Мұғалім ұйымдастыру кезеңінде белсенділік танытқан оқушыларды «Мадақтау сөз» әдісіарқылы бағалайды: «Жарайсың! Жақсы! Өте жақсы! Талпын!» |
Түрлі түсті қима қағаздар
|
|
Сабақтың ортасы |
Теңсіздікті қанағаттандыратын
ең кіші бүтін шешімін табыңыз: Ж: 3. Теңсіздікті
шешіңіз: Ж:
Теңсіздіктің ең кіші мәнін
тап: Ж: 0 Теңсіздіктің ең үлкен мәнін
тап: Ж: 4 Теңсіздікті
шешіңіз: Ж:
|
Теңсіздікті
шешіңіз: Ж:
Теңсіздікті шешіңіз: Теңсіздікті
шешіңіз: Ж:
Теңсіздікті
шешіңіз: Ж:
Ж: Теңсіздікті
шешіңіз: Ж: |
Дескриптор: -1-ші сұраққа жауап береді. 1-балл -2-ші сұраққа жауап береді. 1-балл -3-ші сұраққа жауап береді. 1-балл Әрбір дұрыс жауапка 1 балл қойылады
|
ДК экраны Сұрақтар топтамасы. Оқулық 11-сынып.
|
|
Сабақтың соңы |
Рефлексия - нені білдім, нені үйрендім - нені толық түсінбедім - немен жұмысты жалғастыру қажет |
Теңсіздікті қанағаттандыратын
ең үлкен бүтін шешімін табыңыз: Ж: 3 Үйге тапсырма |
Бағалау. Оқушылар бір-бірін ауызша критерий бойынша бағалайды. - Кейбір оқушыларға мұғалім тарапынан кері байланыс беріледі. |
|
шағым қалдыра аласыз
=7
=7
=
-7
=7
;
;
;
;
.







;
.







.
;
.


;
;
;
.
.
.














септеңдер:
а)




, 
,

бүтін сан, ал














2)3,7-0,7 3)
















; б)
;
.
.
; б)
.
.
.
;
б) 1. 2.
3.
; б) 1. 2.
3.
б)

; б)


















;
,
болса







;
;

.





;
;
;
;


































=












В 
Д 
Ж 
И 









=
+

= 
(
) =
-1) =

+
,
,
+


)

4




болса, онда
болады.

















немесе







=1




.
. Дәлелдеукерегі де осы















;
=54 - 

=
=
-
(x-8)=
x=


=



=-3


D


+ 2
-













. Мысал.

елгілейік




, жауабы:
,

.























































, 




































































.
;
-
.



.
.
.
.
.
.
.
.
.
.
.
.
.
.
.

.
.


–
(


.
.

.















