Сабақтың тақырыбы: «Қысқаша көбейту формулалары»
Сабақтың мақсаты: қысқаша көбейту формулаларын есептер шығаруға қолданып білу; өтілген теориялық материалға есептер шығару барысында қайталау; оқушылардың есептеу қабілетін арттыру; ұқыптылыққа үйрету.
Сабақтың түрі: білімді қолдану сабағы.
Сабақтың әдісі: репродуктивтік әдіс, ішінара ізденушілік; топтық жұмыс, өзбетімен жұмыс
Сабақта жаңа технологияны пайдалану: деңгейлік тапсырмалар
Күтілетін нәтиже: қысқаша көбейту формулалары есептер шығаруға қолданып білу.
І. Ұйымдастыру кезеңі. Оқушылардың сабаққа әзірлігін тексеру
ІІ. Өткен сабақты пысықтау. «Ой қозғау»
а) Ауызша сұрақтар (слайд 2)
1. Өрнекті оқыңыз:
![]()
2. Бірмүшенің квадраты түріне келтіріңдер:
![]()
3. Бірмүшенің кубы түріне келтіріңдер:
![]()
ә) Графикалық диктант. Оқушылар жауаптары «ия» немесе «жоқ» деп жауап береді «ия» жауабына дәптерлеріне кесінді сызады, «жоқ» деген сөздің орнына бұрышты сызады.


(слайд 3)
ІІІ. «Ой толғаныс кезеңі» (слайд 4)
Әрбір тапсырмаға дұрыс жауап тауып, оған сәйкес әріптерден сөз құрастыр.

|
№1 |
№2 |
№3 |
№4 |
№5 |
№6 |
№7 |
№8 |
№9 |
|
Қ |
А |
З |
А |
Қ |
С |
Т |
А |
Н |
(слайд 5)
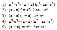
IV. Өз бетімен жұмыс №1 (слайд 6)
Қима қағаздарға формулалар жазылған, әрбіреуін реттік нөмері бар.Формуланың оң немесе сол жағын атаимыз. Сіздер сол формуланың реттік номерін жазып отырасыңдар. Соңында бір сан шығады.

Мұғалім оқиды.
1. Екі өрнектің қосындысының квадраты.
2. Екі өрнектің айырмасы мен қосындысының көбейтіндісі
3. Екі өрнектің кубтарының қосындысы
4. Екі өрнектің кубтарының айырмасы
5. Екі өрнектің айырмасының квадраты
Дұрыс жауабы: 53142 (слайд 7)
V. Сергіту сәті (флешкадағы материал)
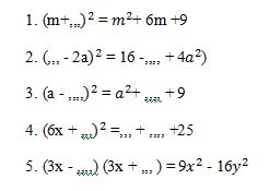
VІ. Өз бетімен жұмыс №2 (слайд 8)
Дұрыс теңдік шығатындай етіп, бос орынды толтырыңыз:

Дұрыс жауаптары (слайд 9)

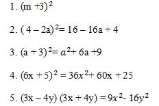
VII . Өз бетімен жұмыс №3 (слайд 10)
Есептеңдер:

Жауаптары: 399, 840, 64, 49, 375 (слайд 11)
VІІІ. Сабақтың қорытындысы: оқушыларды бағалау
ІХ. Үйге тапсырма: ІІІ тарауды қайталау, 668, 669, 670–есеп 157-беттегі
Х. Сөзжұмбақ
1. Құрамында әріпі бар теңдік
2. Берілген теңдеуді дұрыс теңдікке айналдыратын айнымалының мәні
3. ах= в – сызықтық теңдеу, мұндағы х-айнымалы, а мен в – сандар
4. Бірмүшелердің қосындысы
5. Екі шамалардың арасындағы байланыс, егер тәуелсіз айнымалының кез келген мәніне тәуелді айнымалының бір мәні сәйкес келетін болса.
6. Тәуелсіз айнымалы
7. Сызықтың функцияның графигі
Слайд 12

1. Теңдеу
2. Түбір
3. Сызықтық
4. Көпмүше
5. Функция
6. Аргумент
7. Түзу
жүктеу мүмкіндігіне ие боласыз
Бұл материал сайт қолданушысы жариялаған. Материалдың ішінде жазылған барлық ақпаратқа жауапкершілікті жариялаған қолданушы жауап береді. Ұстаз тілегі тек ақпаратты таратуға қолдау көрсетеді. Егер материал сіздің авторлық құқығыңызды бұзған болса немесе басқа да себептермен сайттан өшіру керек деп ойласаңыз осында жазыңыз
Қысқаша көбейту формулалары
Сабақтың тақырыбы: «Қысқаша көбейту формулалары»
Сабақтың мақсаты: қысқаша көбейту формулаларын есептер шығаруға қолданып білу; өтілген теориялық материалға есептер шығару барысында қайталау; оқушылардың есептеу қабілетін арттыру; ұқыптылыққа үйрету.
Сабақтың түрі: білімді қолдану сабағы.
Сабақтың әдісі: репродуктивтік әдіс, ішінара ізденушілік; топтық жұмыс, өзбетімен жұмыс
Сабақта жаңа технологияны пайдалану: деңгейлік тапсырмалар
Күтілетін нәтиже: қысқаша көбейту формулалары есептер шығаруға қолданып білу.
І. Ұйымдастыру кезеңі. Оқушылардың сабаққа әзірлігін тексеру
ІІ. Өткен сабақты пысықтау. «Ой қозғау»
а) Ауызша сұрақтар (слайд 2)
1. Өрнекті оқыңыз:
![]()
2. Бірмүшенің квадраты түріне келтіріңдер:
![]()
3. Бірмүшенің кубы түріне келтіріңдер:
![]()
ә) Графикалық диктант. Оқушылар жауаптары «ия» немесе «жоқ» деп жауап береді «ия» жауабына дәптерлеріне кесінді сызады, «жоқ» деген сөздің орнына бұрышты сызады.


(слайд 3)
ІІІ. «Ой толғаныс кезеңі» (слайд 4)
Әрбір тапсырмаға дұрыс жауап тауып, оған сәйкес әріптерден сөз құрастыр.

|
№1 |
№2 |
№3 |
№4 |
№5 |
№6 |
№7 |
№8 |
№9 |
|
Қ |
А |
З |
А |
Қ |
С |
Т |
А |
Н |
(слайд 5)
IV. Өз бетімен жұмыс №1 (слайд 6)
Қима қағаздарға формулалар жазылған, әрбіреуін реттік нөмері бар.Формуланың оң немесе сол жағын атаимыз. Сіздер сол формуланың реттік номерін жазып отырасыңдар. Соңында бір сан шығады.

Мұғалім оқиды.
1. Екі өрнектің қосындысының квадраты.
2. Екі өрнектің айырмасы мен қосындысының көбейтіндісі
3. Екі өрнектің кубтарының қосындысы
4. Екі өрнектің кубтарының айырмасы
5. Екі өрнектің айырмасының квадраты
Дұрыс жауабы: 53142 (слайд 7)
V. Сергіту сәті (флешкадағы материал)
VІ. Өз бетімен жұмыс №2 (слайд 8)
Дұрыс теңдік шығатындай етіп, бос орынды толтырыңыз:

Дұрыс жауаптары (слайд 9)

VII . Өз бетімен жұмыс №3 (слайд 10)
Есептеңдер:

Жауаптары: 399, 840, 64, 49, 375 (слайд 11)
VІІІ. Сабақтың қорытындысы: оқушыларды бағалау
ІХ. Үйге тапсырма: ІІІ тарауды қайталау, 668, 669, 670–есеп 157-беттегі
Х. Сөзжұмбақ
1. Құрамында әріпі бар теңдік
2. Берілген теңдеуді дұрыс теңдікке айналдыратын айнымалының мәні
3. ах= в – сызықтық теңдеу, мұндағы х-айнымалы, а мен в – сандар
4. Бірмүшелердің қосындысы
5. Екі шамалардың арасындағы байланыс, егер тәуелсіз айнымалының кез келген мәніне тәуелді айнымалының бір мәні сәйкес келетін болса.
6. Тәуелсіз айнымалы
7. Сызықтың функцияның графигі
Слайд 12

1. Теңдеу
2. Түбір
3. Сызықтық
4. Көпмүше
5. Функция
6. Аргумент
7. Түзу
шағым қалдыра аласыз


