|
|
ТҮРКІСТАН ОБЛЫСЫ ДЕНСАУЛЫҚ САҚТАУ БАСҚАРМАСЫ «ЖЕТІСАЙ ЖОҒАРЫ МЕДИЦИНА КОЛЛЕДЖІ» ШЖҚ МКК САПА МЕНЕДЖМЕНТІ ЖҮЙЕСІ БП-01/4ӘДІСТЕМЕЛІК ЖҰМЫСТАР ПРОЦЕСІН ҰЙЫМДАСТЫРУ |
БП-01/4-ӘП11 Шығарылым: 5, 2023 ж. Қайта қарау: 4 Беттер 8- 5 |
Оқу сабағының жоспары
Сабақ тақырыбы: Сызықты емес оптика туралы түсінік. Лазерлер.
Модуль/пән атауы: ЖБП 08 - Физика
Дайындаған педагог: Тойлыбаева Динара Касымхановна
2024-2025 оқу жылы «___»_________
1.Жалпы мәліметтер
Курс, оқу жылы, топ_______________________________________
Сабақ типі: аралас сабақ
Сабақтың әдісі: «миға шабуыл», «Джигсо», интербелсенді әдіс
2.Мақсаты, міндеттері:
-
Сызықты емес оптика туралы түсінік;
-
Мәжбүрлі сәулелену құбылысын қолдана отырып, лазерлер жұмысын түсіндіре алу;
Білімділік:
-
Лазерлер туралы түсінік;
-
Голография туралы түсінік;
-
Голограмманың қолданылуын;
Тәрбиелік:
-
Таңдаған мамандығына деген жауапкершілігін, қызығушылығын қалыптастыру.
-
Оқушыларды ізеттілікке, мәдениеттілікке тәрбиелеу
-
Өзгенің затына жауапкершілікпен қарауға тәрбиелеу
Дамытушылық:
-
Өз пікірін дұрыс жеткізуді дамыту
-
Тақырыпты дұрыс баяндауды дамыту
-
Сабақтан алған ақпараттарды талдауды үйрету
-
Алған білімдерін басқа пәндерде, тәжірибе сабағында қолдана білуге үйрету
-
Ғылыми оқу және анықтамалық әдебиеттермен өз бетінше жұмыс істей білуге үйрету
2.1.Оқу сабақтары барысында білім алушылар игеретін кәсіби біліктердің тізбесі
-
Рентген сәулелері. Релятивистік эффектілер
Сабақтың уақыты: 90 минут(2 сағаттық)
3.Сабақты жабдықтау
3.1 Оқу-әдістемелік құрал-жабдықтар, анықтамалық әдебиеттер
1.Н.А.Закирова, Р.Р.Аширов «Физика» Жалпы білім беретін мектептің 11-сыныбының жаратылыстану-математикалық бағытына арналған оқулық, «Арман-ПВ» баспасы, 2020 ж.
2.Топтық тапсырмалар, кестелер, стикер
3.2 Техникалық құралдар, материалдар:
Компьютер, проектор, флэш-карта
https://www.youtube.com/watch?v=OiDla_VGtlA
Сабақтың хронокартасы
І. Ұйымдастыру кезеңі – 3 мин
ІІ. Үй тапсырмасын тексеру – 20 мин
ІІІ. Жаңа тақырыпты түсіндіру – 45 мин
ІV. Жаңа тақырыпты бекіту – 15 мин
V. Қорытындылау – 4 мин
VІ. Үйге тапсырма – 3 мин
Сабақтың барысы
І Ұйымдастыру кезеңі
Оқытушы оқу бөлмесінің тазалығына, оқушылардың киіміне назар аударады. Оқушылардың сабаққа қатысуы мен дайындығын тексеріп, жоқ оқушыларды түгелдеп, оларды сабақтың бағдарламасы және мақсатымен таныстырады.
Психологиялық дайындық!!!!
Күлімдеп күн бүгін,
Қарады маған да!
Күлімдеп күн бүгін,
Қарады саған да!
Сәлем деймін достарға,
Сәлем барша ұстазға!
Тату болып
халықтар,
Аман болсын балалар!
ІІ Үй тапсырмасын тексеру
Сәйкестендіру №1

ІІІ Жаңа тақырыпты түсіндіру
Жаңа тақырыпты түсіндіру үшін «Джигсо» әдісін қолданамын. Оқушыларды 3 топқа бөліп, оларға нөмірленген мәтін үзінділерін таратамын. Әрбір топ өзіне тиесілі мәтін мазмұнын бөлісіп алып, қорғап шығады.
№1 мәтін үзіндісі
Сызықты емес оптика
Когерентті сәулеленудің қуатты көздері – лазерлердің пайда болуына байланысты ғалымдар жаңа оптикалық эффектілерді анықтады. Қуаты 109 –1010 Вт аралығындағы жарық өрісінде құбылыстардың сипаты айтарлықтай түрленеді, яғни ортаның оптикалық сипаттамалары: сыну көрсеткіші, жұтылу коэффициенті өзгереді. Олар электр өрісі Е кернеулігінің функцияларына айналады. Егер жарық қарқындылығының аз мәнінде оның затпен өзара әрекеттесуін сипаттайтын шамалардың тәуелділігі сызықты болса, онда жарық ағынының қуатын күшейткенде сызықты тәуелділік бұзылады.
Сызықты емес оптика – қуатты жарық шоқтарының қатты денелерде, сұйықтарда және газдарда таралуын және олардың затпен өзара әрекеттесуін қарастыратын физикалық оптика бөлімі.

Көпфотонды жұтылу – молекула немесе атом электронының сыртқы сәулеленудің екі немесе бірнеше фотондарын жұту нәтижесінде бір стационар күйден басқасына өту процесі. Электрон күйлерінің арасындағы энергиялар айырымы осы жұтылған фотондардың энергияларының қосындысына тең.
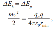
Экрандағы жарқылдар микроскоп көмегімен бөлшектер шоғырының бастапқы бағытына әртүрлі j бұрыштарда бақыланған. a-бөлшектердің басым бөлігі жұқа металл қабатынан ауытқымай өтетіні, ал бөлшектердің аздаған бөлігі 30°-тан артық бұрыштарға ауытқитыны анықталды. a-бөлшектердің кейбірі 180°-қа жуық бұрыштарға ауытқиды, бұл тек атомның барлық оң заряды ядрода шоғырланған жағдайда ғана мүмкін болады. Резерфорд a-бөлшектердің бастапқы кинетикалық энергиясын оның ядромен өзара әрекеттесуінің потенциалдық энергиясына теңестіріп, атом ядросының радиусын анықтады, ол өз кезегінде тоқтау моменті мен қозғалыс бағытының өзгерісіне сәйкес келеді:

Ядро радиусы ретінде қабылданған a-бөлшектің
ядроға жақындауының ең аз қашықтығы
10-15 м-ге жуық екені анықталды, оның
10-10
м атом өлшемімен салыстырғанда айтарлықтай аз
екені ғалымдарды таңқалдырды, алайда тәжірибе нәтижелері теориялық
есептеулермен сәйкес келді.
Резерфорд атомының моделі
Микробөлшектердің қозғалысы жайлы классикалық көзқарасқа сүйеніп, Резерфорд атомның планетарлық моделін ұсынды. Осы модельге сәйкес атом центрінде атомның барлық массасы шоғырланған оң зарядталған ядро орналасады. Кулондық күштердің әсерінен электрондар ядроны айнала қозғалады (228-сурет). Атом – бейтарап. Егер электрон зарядын 1-ге тең деп қабылдасақ, онда ядро заряды осы элементтің Менделеев кестесіндегі реттік санына тең болады.
Резерфорд моделі атомның құрылымын және заттың
химиялық қасиеттерін түсіндіруде үлкен рөл атқарады. Алайда
сызықтық спектрді түсіндіруде толықтай айқындылық болмады. Ядроны
айнала үдеумен қозғалатын электрон сәуле шығарып, ядроға дейінгі
қашықтық үздіксіз азайып, айналу жиілігі артуы керек. Осылайша
спектр үзіліссіз болып, атом орнықсыз болуы керек. Шамамен
10-8
c уақыт аралығында электрон өзінің барлық
энергиясын жұмсап, ядроға құлауы керек. Ал шын мәнінде атом
орнықты, энергия шығара алады, оның сәулеленуіне сызықтық спектр
тән. Резерфорд классикалық физика шеңберінде қалып,
қарамақайшылықтардан құтыла алмады.
№2 мәтін
үзіндісі
Мәжбүрлі сәулелену
1939 жылы Кеңес Одағының физигі В.А.Фабрикант мәжбүрлі сәулелену құбылысын пайдалану негізінде жарықты күшейту әдісін ұсынды. Кейбір заттардың атомдары бірнеше секундқа дейін қозған стационар күйінде болуы мүмкін, бұл күй метатұрақтылық деп аталады.
Сәулеленіп отырған электрмагниттік толқындардың жиілігі қатаң түрде анықталған нақты мәнге ие, ол атомның стационар күйлерінің энергияларының айырымына тәуелді:


Атомның стационар m күйден n күйге өтуі кезінде электрон сәулелену кезіндегідей жиіліктегі энергия квантын жұтады. Атомдар шығаратын электрмагниттік толқындардың жиілігі электрондардың атомдағы айналу жиілігімен емес, стационар күйлердің энергияларының айырымымен анықталады.
Сутек атомының сәулеленуінің спектрлік сериялары
Бор постулаттары және ол ұсынған атом моделі көптеген ғалымдар тәжірибе жүзінде алған сутек спектріндегі сәулелену сызықтарына толықтай сәйкес келеді. 1885 жылы швейцариялық физик И.Бальмер сутектің көрінетін спектрін зерттеу барысында спектрдің көрінетін бөлігінде сутекпен сәулеленетін толқындардың ұзындықтары үшін эмпирикалық заңдылықты анықтады:


мұндағы тұрақты шама R = 3,29 · 1015 c-1 Ридберг тұрақтысы деген атауға ие болды, ал (6) қатынас Бальмер формуласы деп аталады.
Сергіту сәті
«Қызықты сұрақ» әдісі
1.Кім барлық тілде сөйлейді? (жаңғырық)
2.Теңізде қандай тастар табылмайды? (құрғақ)
3.Елеуішпен су әкелуге болады ма? (болады, қар мен мұзды)
4.Стақандағы суды ішіп қойса, ішінде не қалады? (ауа, бу)
5.Беті ашық ыдыстағы су неге азаяды? (буланады)
6. Неліктен су отты сөндіреді? (су ауа жібермейді, от ауасыз жанбайды)
7. Өлшемдері бірдей екі қағазды бір мезетте тастайтын болсақ, онда екеуінің жерге бірдей түсетінін байқаймыз. Қандай жағдайда қағаздың бірі екіншісіне қарағанда жылдам түсе алады? (қағазды мыжамыз)
ІV Жаңа тақырыпты бекіту
Физикалық
диктант 2 нұсқада жасалады.
Студенттерден
алдын ала
кітап, оқулықтарды жауып қоя тұруын
сұраймыз.
І-нұсқа
1.
Сиретілген ....
немесе кез
келген ....
элементтің
буларын қыздырғанда ....
шығара
бастайды.
2.Егер
осы .....
жіңішке
шоғын ......
арқылы
өткізіп, ......
жіктейтін
болсақ, жіңішке жарқыраған
айқын .....
көрінеді.
Осындай сызықтар
жиынтығы ......
....... деп
аталады.
3. Әр
газдың өзіне тән .......
болады.
4.
Спектрдің әрбір сызығына нақты
бір .....
......, яғни жиілік
сәйкес келеді.
5.
Сызықтық спектрдің ішіндегі ең
қарапайымы - .....
.......
ІІ-нұсқа
1. Сутегі
спектрінің көрінетін бөлігіндегі барлық
сызықтардың ......
анықтауға
арналған формула ......
...... деп
аталады.
2. Спектрлерді көзбен
көруге арналған
аппарат ......
деп
аталады.
3.
Ол ....., .....
және .... .....
тұрады.
4. Спектр
бойынша заттың ......
...... анықтау әдісін
– ......
...... немесе
.....
..... деп
атайды.
5) Бальмер
формуласы:
І-нұсқа
1.
Сиретілген ....
немесе кез
келген ....
элементтің
буларын қыздырғанда ....
шығара
бастайды.
2.Егер
осы .....
жіңішке
шоғын ......
арқылы
өткізіп, ......
жіктейтін
болсақ, жіңішке жарқыраған
айқын .....
көрінеді.
Осындай сызықтар
жиынтығы ......
....... деп
аталады.
3. Әр
газдың өзіне тән .......
болады.
4.
Спектрдің әрбір сызығына нақты
бір .....
......, яғни жиілік
сәйкес келеді.
5.
Сызықтық спектрдің ішіндегі ең
қарапайымы - .....
.......
ІІ-нұсқа
1. Сутегі
спектрінің көрінетін бөлігіндегі барлық
сызықтардың ......
анықтауға
арналған формула ......
...... деп
аталады.
2. Спектрлерді көзбен
көруге арналған
аппарат ......
деп
аталады.
3.
Ол ....., .....
және .... .....
тұрады.
4. Спектр
бойынша заттың ......
...... анықтау әдісін
– ......
...... немесе
.....
..... деп
атайды.
5) Бальмер
формуласы:
І-нұсқа
1.
Сиретілген ....
немесе кез
келген ....
элементтің
буларын қыздырғанда ....
шығара
бастайды.
2.Егер
осы .....
жіңішке
шоғын ......
арқылы
өткізіп, ......
жіктейтін
болсақ, жіңішке жарқыраған
айқын .....
көрінеді.
Осындай сызықтар
жиынтығы ......
....... деп
аталады.
3. Әр
газдың өзіне тән .......
болады.
4.
Спектрдің әрбір сызығына нақты
бір .....
......, яғни жиілік
сәйкес келеді.
5.
Сызықтық спектрдің ішіндегі ең
қарапайымы - .....
.......
ІІ-нұсқа
1. Сутегі
спектрінің көрінетін бөлігіндегі барлық
сызықтардың ......
анықтауға
арналған формула ......
...... деп
аталады.
2. Спектрлерді көзбен
көруге арналған
аппарат ......
деп
аталады.
3.
Ол ....., .....
және .... .....
тұрады.
4. Спектр
бойынша заттың ......
...... анықтау әдісін
– ......
...... немесе
.....
..... деп
атайды.
5) Бальмер
формуласы:
V Қорытындылап, баға қою
Оқушылардың үй тапсырмасын орындауы және сабақтағы белсенділіктерін, берген жауаптарын, жұмысқа жұмсалған уақыт, еңбек мәдениеті, жұмыс орнының және өзінің тазалығын ескере отырып баға қою.
VI Үй тапсырмасы
Н.А.Закирова, Р.Р.Аширов. «Физика» Жалпы білім беретін мектептің 11-сыныбының жаратылыстану-математикалық бағытына арналған оқулық, «Арман-ПВ» баспасы, 215-220 б.
жүктеу мүмкіндігіне ие боласыз
Бұл материал сайт қолданушысы жариялаған. Материалдың ішінде жазылған барлық ақпаратқа жауапкершілікті жариялаған қолданушы жауап береді. Ұстаз тілегі тек ақпаратты таратуға қолдау көрсетеді. Егер материал сіздің авторлық құқығыңызды бұзған болса немесе басқа да себептермен сайттан өшіру керек деп ойласаңыз осында жазыңыз
Сызықты емес оптика туралы түсінік. Лазерлер
Сызықты емес оптика туралы түсінік. Лазерлер
|
|
ТҮРКІСТАН ОБЛЫСЫ ДЕНСАУЛЫҚ САҚТАУ БАСҚАРМАСЫ «ЖЕТІСАЙ ЖОҒАРЫ МЕДИЦИНА КОЛЛЕДЖІ» ШЖҚ МКК САПА МЕНЕДЖМЕНТІ ЖҮЙЕСІ БП-01/4ӘДІСТЕМЕЛІК ЖҰМЫСТАР ПРОЦЕСІН ҰЙЫМДАСТЫРУ |
БП-01/4-ӘП11 Шығарылым: 5, 2023 ж. Қайта қарау: 4 Беттер 8- 5 |
Оқу сабағының жоспары
Сабақ тақырыбы: Сызықты емес оптика туралы түсінік. Лазерлер.
Модуль/пән атауы: ЖБП 08 - Физика
Дайындаған педагог: Тойлыбаева Динара Касымхановна
2024-2025 оқу жылы «___»_________
1.Жалпы мәліметтер
Курс, оқу жылы, топ_______________________________________
Сабақ типі: аралас сабақ
Сабақтың әдісі: «миға шабуыл», «Джигсо», интербелсенді әдіс
2.Мақсаты, міндеттері:
-
Сызықты емес оптика туралы түсінік;
-
Мәжбүрлі сәулелену құбылысын қолдана отырып, лазерлер жұмысын түсіндіре алу;
Білімділік:
-
Лазерлер туралы түсінік;
-
Голография туралы түсінік;
-
Голограмманың қолданылуын;
Тәрбиелік:
-
Таңдаған мамандығына деген жауапкершілігін, қызығушылығын қалыптастыру.
-
Оқушыларды ізеттілікке, мәдениеттілікке тәрбиелеу
-
Өзгенің затына жауапкершілікпен қарауға тәрбиелеу
Дамытушылық:
-
Өз пікірін дұрыс жеткізуді дамыту
-
Тақырыпты дұрыс баяндауды дамыту
-
Сабақтан алған ақпараттарды талдауды үйрету
-
Алған білімдерін басқа пәндерде, тәжірибе сабағында қолдана білуге үйрету
-
Ғылыми оқу және анықтамалық әдебиеттермен өз бетінше жұмыс істей білуге үйрету
2.1.Оқу сабақтары барысында білім алушылар игеретін кәсіби біліктердің тізбесі
-
Рентген сәулелері. Релятивистік эффектілер
Сабақтың уақыты: 90 минут(2 сағаттық)
3.Сабақты жабдықтау
3.1 Оқу-әдістемелік құрал-жабдықтар, анықтамалық әдебиеттер
1.Н.А.Закирова, Р.Р.Аширов «Физика» Жалпы білім беретін мектептің 11-сыныбының жаратылыстану-математикалық бағытына арналған оқулық, «Арман-ПВ» баспасы, 2020 ж.
2.Топтық тапсырмалар, кестелер, стикер
3.2 Техникалық құралдар, материалдар:
Компьютер, проектор, флэш-карта
https://www.youtube.com/watch?v=OiDla_VGtlA
Сабақтың хронокартасы
І. Ұйымдастыру кезеңі – 3 мин
ІІ. Үй тапсырмасын тексеру – 20 мин
ІІІ. Жаңа тақырыпты түсіндіру – 45 мин
ІV. Жаңа тақырыпты бекіту – 15 мин
V. Қорытындылау – 4 мин
VІ. Үйге тапсырма – 3 мин
Сабақтың барысы
І Ұйымдастыру кезеңі
Оқытушы оқу бөлмесінің тазалығына, оқушылардың киіміне назар аударады. Оқушылардың сабаққа қатысуы мен дайындығын тексеріп, жоқ оқушыларды түгелдеп, оларды сабақтың бағдарламасы және мақсатымен таныстырады.
Психологиялық дайындық!!!!
Күлімдеп күн бүгін,
Қарады маған да!
Күлімдеп күн бүгін,
Қарады саған да!
Сәлем деймін достарға,
Сәлем барша ұстазға!
Тату болып
халықтар,
Аман болсын балалар!
ІІ Үй тапсырмасын тексеру
Сәйкестендіру №1

ІІІ Жаңа тақырыпты түсіндіру
Жаңа тақырыпты түсіндіру үшін «Джигсо» әдісін қолданамын. Оқушыларды 3 топқа бөліп, оларға нөмірленген мәтін үзінділерін таратамын. Әрбір топ өзіне тиесілі мәтін мазмұнын бөлісіп алып, қорғап шығады.
№1 мәтін үзіндісі
Сызықты емес оптика
Когерентті сәулеленудің қуатты көздері – лазерлердің пайда болуына байланысты ғалымдар жаңа оптикалық эффектілерді анықтады. Қуаты 109 –1010 Вт аралығындағы жарық өрісінде құбылыстардың сипаты айтарлықтай түрленеді, яғни ортаның оптикалық сипаттамалары: сыну көрсеткіші, жұтылу коэффициенті өзгереді. Олар электр өрісі Е кернеулігінің функцияларына айналады. Егер жарық қарқындылығының аз мәнінде оның затпен өзара әрекеттесуін сипаттайтын шамалардың тәуелділігі сызықты болса, онда жарық ағынының қуатын күшейткенде сызықты тәуелділік бұзылады.
Сызықты емес оптика – қуатты жарық шоқтарының қатты денелерде, сұйықтарда және газдарда таралуын және олардың затпен өзара әрекеттесуін қарастыратын физикалық оптика бөлімі.

Көпфотонды жұтылу – молекула немесе атом электронының сыртқы сәулеленудің екі немесе бірнеше фотондарын жұту нәтижесінде бір стационар күйден басқасына өту процесі. Электрон күйлерінің арасындағы энергиялар айырымы осы жұтылған фотондардың энергияларының қосындысына тең.
Экрандағы жарқылдар микроскоп көмегімен бөлшектер шоғырының бастапқы бағытына әртүрлі j бұрыштарда бақыланған. a-бөлшектердің басым бөлігі жұқа металл қабатынан ауытқымай өтетіні, ал бөлшектердің аздаған бөлігі 30°-тан артық бұрыштарға ауытқитыны анықталды. a-бөлшектердің кейбірі 180°-қа жуық бұрыштарға ауытқиды, бұл тек атомның барлық оң заряды ядрода шоғырланған жағдайда ғана мүмкін болады. Резерфорд a-бөлшектердің бастапқы кинетикалық энергиясын оның ядромен өзара әрекеттесуінің потенциалдық энергиясына теңестіріп, атом ядросының радиусын анықтады, ол өз кезегінде тоқтау моменті мен қозғалыс бағытының өзгерісіне сәйкес келеді:

Ядро радиусы ретінде қабылданған a-бөлшектің
ядроға жақындауының ең аз қашықтығы
10-15 м-ге жуық екені анықталды, оның
10-10
м атом өлшемімен салыстырғанда айтарлықтай аз
екені ғалымдарды таңқалдырды, алайда тәжірибе нәтижелері теориялық
есептеулермен сәйкес келді.
Резерфорд атомының моделі
Микробөлшектердің қозғалысы жайлы классикалық көзқарасқа сүйеніп, Резерфорд атомның планетарлық моделін ұсынды. Осы модельге сәйкес атом центрінде атомның барлық массасы шоғырланған оң зарядталған ядро орналасады. Кулондық күштердің әсерінен электрондар ядроны айнала қозғалады (228-сурет). Атом – бейтарап. Егер электрон зарядын 1-ге тең деп қабылдасақ, онда ядро заряды осы элементтің Менделеев кестесіндегі реттік санына тең болады.
Резерфорд моделі атомның құрылымын және заттың
химиялық қасиеттерін түсіндіруде үлкен рөл атқарады. Алайда
сызықтық спектрді түсіндіруде толықтай айқындылық болмады. Ядроны
айнала үдеумен қозғалатын электрон сәуле шығарып, ядроға дейінгі
қашықтық үздіксіз азайып, айналу жиілігі артуы керек. Осылайша
спектр үзіліссіз болып, атом орнықсыз болуы керек. Шамамен
10-8
c уақыт аралығында электрон өзінің барлық
энергиясын жұмсап, ядроға құлауы керек. Ал шын мәнінде атом
орнықты, энергия шығара алады, оның сәулеленуіне сызықтық спектр
тән. Резерфорд классикалық физика шеңберінде қалып,
қарамақайшылықтардан құтыла алмады.
№2 мәтін
үзіндісі
Мәжбүрлі сәулелену
1939 жылы Кеңес Одағының физигі В.А.Фабрикант мәжбүрлі сәулелену құбылысын пайдалану негізінде жарықты күшейту әдісін ұсынды. Кейбір заттардың атомдары бірнеше секундқа дейін қозған стационар күйінде болуы мүмкін, бұл күй метатұрақтылық деп аталады.
Сәулеленіп отырған электрмагниттік толқындардың жиілігі қатаң түрде анықталған нақты мәнге ие, ол атомның стационар күйлерінің энергияларының айырымына тәуелді:


Атомның стационар m күйден n күйге өтуі кезінде электрон сәулелену кезіндегідей жиіліктегі энергия квантын жұтады. Атомдар шығаратын электрмагниттік толқындардың жиілігі электрондардың атомдағы айналу жиілігімен емес, стационар күйлердің энергияларының айырымымен анықталады.
Сутек атомының сәулеленуінің спектрлік сериялары
Бор постулаттары және ол ұсынған атом моделі көптеген ғалымдар тәжірибе жүзінде алған сутек спектріндегі сәулелену сызықтарына толықтай сәйкес келеді. 1885 жылы швейцариялық физик И.Бальмер сутектің көрінетін спектрін зерттеу барысында спектрдің көрінетін бөлігінде сутекпен сәулеленетін толқындардың ұзындықтары үшін эмпирикалық заңдылықты анықтады:


мұндағы тұрақты шама R = 3,29 · 1015 c-1 Ридберг тұрақтысы деген атауға ие болды, ал (6) қатынас Бальмер формуласы деп аталады.
Сергіту сәті
«Қызықты сұрақ» әдісі
1.Кім барлық тілде сөйлейді? (жаңғырық)
2.Теңізде қандай тастар табылмайды? (құрғақ)
3.Елеуішпен су әкелуге болады ма? (болады, қар мен мұзды)
4.Стақандағы суды ішіп қойса, ішінде не қалады? (ауа, бу)
5.Беті ашық ыдыстағы су неге азаяды? (буланады)
6. Неліктен су отты сөндіреді? (су ауа жібермейді, от ауасыз жанбайды)
7. Өлшемдері бірдей екі қағазды бір мезетте тастайтын болсақ, онда екеуінің жерге бірдей түсетінін байқаймыз. Қандай жағдайда қағаздың бірі екіншісіне қарағанда жылдам түсе алады? (қағазды мыжамыз)
ІV Жаңа тақырыпты бекіту
Физикалық
диктант 2 нұсқада жасалады.
Студенттерден
алдын ала
кітап, оқулықтарды жауып қоя тұруын
сұраймыз.
І-нұсқа
1.
Сиретілген ....
немесе кез
келген ....
элементтің
буларын қыздырғанда ....
шығара
бастайды.
2.Егер
осы .....
жіңішке
шоғын ......
арқылы
өткізіп, ......
жіктейтін
болсақ, жіңішке жарқыраған
айқын .....
көрінеді.
Осындай сызықтар
жиынтығы ......
....... деп
аталады.
3. Әр
газдың өзіне тән .......
болады.
4.
Спектрдің әрбір сызығына нақты
бір .....
......, яғни жиілік
сәйкес келеді.
5.
Сызықтық спектрдің ішіндегі ең
қарапайымы - .....
.......
ІІ-нұсқа
1. Сутегі
спектрінің көрінетін бөлігіндегі барлық
сызықтардың ......
анықтауға
арналған формула ......
...... деп
аталады.
2. Спектрлерді көзбен
көруге арналған
аппарат ......
деп
аталады.
3.
Ол ....., .....
және .... .....
тұрады.
4. Спектр
бойынша заттың ......
...... анықтау әдісін
– ......
...... немесе
.....
..... деп
атайды.
5) Бальмер
формуласы:
І-нұсқа
1.
Сиретілген ....
немесе кез
келген ....
элементтің
буларын қыздырғанда ....
шығара
бастайды.
2.Егер
осы .....
жіңішке
шоғын ......
арқылы
өткізіп, ......
жіктейтін
болсақ, жіңішке жарқыраған
айқын .....
көрінеді.
Осындай сызықтар
жиынтығы ......
....... деп
аталады.
3. Әр
газдың өзіне тән .......
болады.
4.
Спектрдің әрбір сызығына нақты
бір .....
......, яғни жиілік
сәйкес келеді.
5.
Сызықтық спектрдің ішіндегі ең
қарапайымы - .....
.......
ІІ-нұсқа
1. Сутегі
спектрінің көрінетін бөлігіндегі барлық
сызықтардың ......
анықтауға
арналған формула ......
...... деп
аталады.
2. Спектрлерді көзбен
көруге арналған
аппарат ......
деп
аталады.
3.
Ол ....., .....
және .... .....
тұрады.
4. Спектр
бойынша заттың ......
...... анықтау әдісін
– ......
...... немесе
.....
..... деп
атайды.
5) Бальмер
формуласы:
І-нұсқа
1.
Сиретілген ....
немесе кез
келген ....
элементтің
буларын қыздырғанда ....
шығара
бастайды.
2.Егер
осы .....
жіңішке
шоғын ......
арқылы
өткізіп, ......
жіктейтін
болсақ, жіңішке жарқыраған
айқын .....
көрінеді.
Осындай сызықтар
жиынтығы ......
....... деп
аталады.
3. Әр
газдың өзіне тән .......
болады.
4.
Спектрдің әрбір сызығына нақты
бір .....
......, яғни жиілік
сәйкес келеді.
5.
Сызықтық спектрдің ішіндегі ең
қарапайымы - .....
.......
ІІ-нұсқа
1. Сутегі
спектрінің көрінетін бөлігіндегі барлық
сызықтардың ......
анықтауға
арналған формула ......
...... деп
аталады.
2. Спектрлерді көзбен
көруге арналған
аппарат ......
деп
аталады.
3.
Ол ....., .....
және .... .....
тұрады.
4. Спектр
бойынша заттың ......
...... анықтау әдісін
– ......
...... немесе
.....
..... деп
атайды.
5) Бальмер
формуласы:
V Қорытындылап, баға қою
Оқушылардың үй тапсырмасын орындауы және сабақтағы белсенділіктерін, берген жауаптарын, жұмысқа жұмсалған уақыт, еңбек мәдениеті, жұмыс орнының және өзінің тазалығын ескере отырып баға қою.
VI Үй тапсырмасы
Н.А.Закирова, Р.Р.Аширов. «Физика» Жалпы білім беретін мектептің 11-сыныбының жаратылыстану-математикалық бағытына арналған оқулық, «Арман-ПВ» баспасы, 215-220 б.
шағым қалдыра аласыз














