Бекітемін:
|
Бөлім: |
Функция. Функцияның графигі |
||||||||||||||||||
|
Педагогтің аты-жөні: |
Шәмшадин Б.Д |
||||||||||||||||||
|
Күні: |
19.11.24 ж |
||||||||||||||||||
|
Сынып: 7 |
Қатысқандар саны: Қатыспағандар саны: |
||||||||||||||||||
|
Сабақтың тақырыбы: |
Сызықтық функциялардың графиктерінің өзара орналасуы |
||||||||||||||||||
|
Оқу бағдарламасына сәйкес оқыту мақсаттары: |
7.4.1.8 сызықтық функция графиктерінің өзара орналасуы олардың коэффициенттеріне тәуелді болатынын негіздеу |
||||||||||||||||||
|
Сабақтың мақсаты:
|
1.Сызықты функцияларды түсіну 2.Сызықтық функция графиктерінің өзара орналасуы олардың коэффициенттеріне тәуелділігін білу. 3. Сызықты функция графиктерінің тәуелділіктерін есеп шығаруда қолдану |
||||||||||||||||||
|
Құндылықтар: |
Бірлік және ынтымақ - Командада жұмыс істей білу ; -Өзгелерге мейірімділік, жанашырлық таныта білу ; - Айналасындағыларға көмек көрсету; Әділдік және жауапкершілік - Басқалар үшін маңызды тапсырмаларды орындаудың қажеттілігі мен маңыздылығын түсіну. - Бастаған ісін соңына дейін жеткізе білу |
||||||||||||||||||
|
Уақыты/ кезеңдері |
Педагогтің әрекеті |
Оқушының әрекеті |
Бағалау |
Ресурстар |
|||||||||||||||
|
Ұйымдас- тыру кезеңі 5мин |
Сәлемдесу; Сыныптағы оқушылардың көңіл күйлерін сұрап, жағымды ахуал туындату; Оқушыларды түгелдеу; Сабақтың мақсатымен таныстыру |
Мұғаліммен сәлемдесу; Сыныпта жағымды ахуал туындату, бір-біріне жақсы тілектерін білдіру; Сабақтың мақсатын мұғаліммен бірге ашу, сұрақтар туындаса мұғалімнің көмегіне жүгіну |
Ауызша бағалауды қоданамын «Өте жақсы» «Жарайсың» |
Тақта; Оқулық; |
|||||||||||||||
|
Сабақтың басы 10 минут |
Жаңа тақырыпты түсіндіру Жаңа тақырыпты түсіндіру П.23. Сызықтық функциялар графиктерінің өзара орналасуы Сызықтық функцияның графигі – түзу, демек, сызықтық функциялардың графиктері бір нүктеде қиылысады немесе параллель болады, немесе беттеседі. Өзара қиылысатын екі түзудің бір ғана ортақ нүктесі болатыны белгілі. Сондықтан екі сызықтық функцияның графиктері болатын екі түзу қиылысуы үшін, оларға бір ғана нүкте ортақ болуы керек. Бұл жағдайда екі функция үшін, у-тің бір ғана мәніне х-тің бір ғана сәйкес келеді. х пен у-тің осы мәндері екі түзудің қиылысу нүктесінің координаталары болады. Қиылысу нүктесіндегі х-тің мәнін табу үшін функцияларды теңестіру қажет. М ы с а л. у=2х+1 функциясының графигі мен у=0,5х+4 функциясының графиктерінің қиылысу нүктесін табайық. Ол үшін 2х+1=0,5х+4 теңдеуінің түбірін табу қажет 2х+1=0,5х+4; 2х-0,5х=4-1; 1,5х=3;
х х=2 болғанда: у=2х+1=2•2+1=5; у=5; у=0,5х+4=0,5 • 2+4; у=5. Демек, х=2 болғанда екі функция да 5-ке тең бір ғана мәнді қабылдайды. А(2;5) нүктесі у=2х+1 функциясының графигіне де, у=0,5х+4 функциясының графигіне де тиісті. Онда бұл функциялардың графиктері болатын түзулер қиылысады. Егер сызықтық функциялардың графигі болатын түзулердің бұрыштық коэффициенттері әр түрлі (тең емес) болса, онда түзулер қиылысады. Бір координаталық жазықтықта орналасқан екі сызықтық функцияның графиктері болатын түзулердің ортақ нүктесі болмағанда ғана олардың параллель болатыны белгілі |
Мақтау, мадақтау арқылы бағалау: Жарайсың! Өте жақсы! Жақсы! Керемет! |
Тақта; Слайд; Оқулық 7-сынып, Алгебра, авторы АЕ Әбілқасымова..-Алматы,Мектеп 2017 |
||||||||||||||||
|
Сабақтың ортасы 25минут |
Бекіту тапсырмаларын орындатамын №23.7 y=1,4x+2 және y=x+2 y=-x+1,5 және y=2x-3 y=7+9x және y=-9x-0.9 y=-5\11x+2 және y=x-14 сызықтық функциясының графиктерін салып, олардың өзара орналасуын анықтаңдар |
Берілген тапсырмаларды орындайды №23.8 y=-4
y= y=0 функциясының графигіне параллель болатын бірнеше функцияның формуласын жазыңдар |
Оқушылар дайын жауаппен, жұпта қатар отырған оқушылар бірін-бірі тексеріп бағалайды. |
Тақта; Слайд; Оқулық 7-сынып, Алгебра, авторы АЕ Әбілқасымова..-Алматы,Мектеп 2017 |
|||||||||||||||
|
|
№23.11 Егер y=3x+b, y=4x+b, y=-x+b, y=2.2x+b сызықтық функциясының графиктері
Сызықтық функция графикерімен бір нүктеде қиылысса, b санын табыңдар. |
№23.12 Графигі координаталар басы арқылы өтетін және 1)y=7x+5 2)y=3,2x-4
3)y= 4)y=-4,5x-8 Функциясы графигіне параллель болатын, y=kx+b Функциясының графигі қай ширекте орналасқан? |
Оқушылар дайын жауаппен, жұпта қатар отырған оқушылар бірін-бірі тексеріп бағалайды. |
Тақта; Слайд; Оқулық 7-сынып, Алгебра, авторы АЕ Әбілқасымова..-Алматы,Мектеп 2017 |
|||||||||||||||
|
|
№23.9 b=-3; 5 болғанда y=0,5x+b
k=4;
- формуласымен берілген функциялардың графиктерін бір координаталық жақықтықтарға сал |
№23.10 Ордината өсін 1)A(0;-3,5)
B(0;-2
C(0; D(0;-4,8) Кесіндісінде қиятын және А) y=4x-7 Ә) y=10-2.5x Функциясының графигіне параллель болатын сызықтық функцияның формуласын жаз |
ҚБ: Жұпта өзара бағалау «+», « - », қызықты |
Слайд Тақта Бор Кітап Дәптер |
|||||||||||||||
|
|
№2. у=kx функциясы үшін кестедегі бос орындарды толтырыңдар.
Кесте бойынша берілген функцияны формуламен жазыңдар. №3. А(1;9), B(-3;3), C(-2;0), D(2;6), E(-3;-3) нүктелерінің қайсысы y=3x+6 функциясының графигіне тиісті? II деңгей тапсырмалары №4. Берілген у=kx үшін k-ны табыңдар: 1) f(2)=6 4) f(0,5)=4
2)
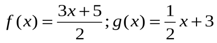
f(7)=-35 5) 3) f(3)=27 6) f(4)=-32 №5. Жұлдызшаның орнына мына сызықтық функциялардың графиктері параллель болатындай сандарды қойыңдар: 1) у=9х-7 және y=*x-5 2) y=*x-6 және у=0,8х+3 3) у=10х-7 және у=*х-8 4) у=0,6х-3 және у=*х-9 III деңгей тапсырмалары №6. х-тің қандай мәндерінде f(x) және g(x) функцияларының графиктері қиылысады:
|
ҚБ: Дайын жауаптар арқылы Жұпта өзара бағалау «+», « - », қызықты |
Слайд Тақта Бор
Кітап Дәптер |
||||||||||||||||
|
Сабақтың соңы 5 минут |
Қорытындылау. Рефлексия. Тіркесті толықтырыңыз: «Бүгін мен сабақта ... білдім» «Бүгін мен сабақта ... үйрендім» «Бүгін мен сабақта ... таныстым» «Бүгін мен сабақта ... қайталадым» «Бүгін мен сабақта ... бекіттім» Үй тапсырмасын беремін |
Сабақты қорытындылау: Өтілген мақсат бойынша сұрақтар қою арқылы сабақты қорытындылаймын. 1.Сабақтың мақсаты қандай болды? 2.Сабақтың мақсатына жету үшін нені білу керек? 3.Нені түсінбедіңдер? Сабақ соңында оқушылардан рефлексия алу: - тақырып бойынша не білемін? - тағы не білгім келеді? - не істей аламын? Үйге тапсырма:№ |
Ынталандыру сөздерін қолдану «жақсы», «жарайсың», «өте жақсы» 1-10 баллдық жүйеде бағаланады.
|
Бағалау парақтары; оқулық; |
|||||||||||||||
жүктеу мүмкіндігіне ие боласыз
Бұл материал сайт қолданушысы жариялаған. Материалдың ішінде жазылған барлық ақпаратқа жауапкершілікті жариялаған қолданушы жауап береді. Ұстаз тілегі тек ақпаратты таратуға қолдау көрсетеді. Егер материал сіздің авторлық құқығыңызды бұзған болса немесе басқа да себептермен сайттан өшіру керек деп ойласаңыз осында жазыңыз
Сызықтық функциялардың графиктерінің өзара орналасуы
Сызықтық функциялардың графиктерінің өзара орналасуы
Бекітемін:
|
Бөлім: |
Функция. Функцияның графигі |
||||||||||||||||||
|
Педагогтің аты-жөні: |
Шәмшадин Б.Д |
||||||||||||||||||
|
Күні: |
19.11.24 ж |
||||||||||||||||||
|
Сынып: 7 |
Қатысқандар саны: Қатыспағандар саны: |
||||||||||||||||||
|
Сабақтың тақырыбы: |
Сызықтық функциялардың графиктерінің өзара орналасуы |
||||||||||||||||||
|
Оқу бағдарламасына сәйкес оқыту мақсаттары: |
7.4.1.8 сызықтық функция графиктерінің өзара орналасуы олардың коэффициенттеріне тәуелді болатынын негіздеу |
||||||||||||||||||
|
Сабақтың мақсаты:
|
1.Сызықты функцияларды түсіну 2.Сызықтық функция графиктерінің өзара орналасуы олардың коэффициенттеріне тәуелділігін білу. 3. Сызықты функция графиктерінің тәуелділіктерін есеп шығаруда қолдану |
||||||||||||||||||
|
Құндылықтар: |
Бірлік және ынтымақ - Командада жұмыс істей білу ; -Өзгелерге мейірімділік, жанашырлық таныта білу ; - Айналасындағыларға көмек көрсету; Әділдік және жауапкершілік - Басқалар үшін маңызды тапсырмаларды орындаудың қажеттілігі мен маңыздылығын түсіну. - Бастаған ісін соңына дейін жеткізе білу |
||||||||||||||||||
|
Уақыты/ кезеңдері |
Педагогтің әрекеті |
Оқушының әрекеті |
Бағалау |
Ресурстар |
|||||||||||||||
|
Ұйымдас- тыру кезеңі 5мин |
Сәлемдесу; Сыныптағы оқушылардың көңіл күйлерін сұрап, жағымды ахуал туындату; Оқушыларды түгелдеу; Сабақтың мақсатымен таныстыру |
Мұғаліммен сәлемдесу; Сыныпта жағымды ахуал туындату, бір-біріне жақсы тілектерін білдіру; Сабақтың мақсатын мұғаліммен бірге ашу, сұрақтар туындаса мұғалімнің көмегіне жүгіну |
Ауызша бағалауды қоданамын «Өте жақсы» «Жарайсың» |
Тақта; Оқулық; |
|||||||||||||||
|
Сабақтың басы 10 минут |
Жаңа тақырыпты түсіндіру Жаңа тақырыпты түсіндіру П.23. Сызықтық функциялар графиктерінің өзара орналасуы Сызықтық функцияның графигі – түзу, демек, сызықтық функциялардың графиктері бір нүктеде қиылысады немесе параллель болады, немесе беттеседі. Өзара қиылысатын екі түзудің бір ғана ортақ нүктесі болатыны белгілі. Сондықтан екі сызықтық функцияның графиктері болатын екі түзу қиылысуы үшін, оларға бір ғана нүкте ортақ болуы керек. Бұл жағдайда екі функция үшін, у-тің бір ғана мәніне х-тің бір ғана сәйкес келеді. х пен у-тің осы мәндері екі түзудің қиылысу нүктесінің координаталары болады. Қиылысу нүктесіндегі х-тің мәнін табу үшін функцияларды теңестіру қажет. М ы с а л. у=2х+1 функциясының графигі мен у=0,5х+4 функциясының графиктерінің қиылысу нүктесін табайық. Ол үшін 2х+1=0,5х+4 теңдеуінің түбірін табу қажет 2х+1=0,5х+4; 2х-0,5х=4-1; 1,5х=3;
х х=2 болғанда: у=2х+1=2•2+1=5; у=5; у=0,5х+4=0,5 • 2+4; у=5. Демек, х=2 болғанда екі функция да 5-ке тең бір ғана мәнді қабылдайды. А(2;5) нүктесі у=2х+1 функциясының графигіне де, у=0,5х+4 функциясының графигіне де тиісті. Онда бұл функциялардың графиктері болатын түзулер қиылысады. Егер сызықтық функциялардың графигі болатын түзулердің бұрыштық коэффициенттері әр түрлі (тең емес) болса, онда түзулер қиылысады. Бір координаталық жазықтықта орналасқан екі сызықтық функцияның графиктері болатын түзулердің ортақ нүктесі болмағанда ғана олардың параллель болатыны белгілі |
Мақтау, мадақтау арқылы бағалау: Жарайсың! Өте жақсы! Жақсы! Керемет! |
Тақта; Слайд; Оқулық 7-сынып, Алгебра, авторы АЕ Әбілқасымова..-Алматы,Мектеп 2017 |
||||||||||||||||
|
Сабақтың ортасы 25минут |
Бекіту тапсырмаларын орындатамын №23.7 y=1,4x+2 және y=x+2 y=-x+1,5 және y=2x-3 y=7+9x және y=-9x-0.9 y=-5\11x+2 және y=x-14 сызықтық функциясының графиктерін салып, олардың өзара орналасуын анықтаңдар |
Берілген тапсырмаларды орындайды №23.8 y=-4
y= y=0 функциясының графигіне параллель болатын бірнеше функцияның формуласын жазыңдар |
Оқушылар дайын жауаппен, жұпта қатар отырған оқушылар бірін-бірі тексеріп бағалайды. |
Тақта; Слайд; Оқулық 7-сынып, Алгебра, авторы АЕ Әбілқасымова..-Алматы,Мектеп 2017 |
|||||||||||||||
|
|
№23.11 Егер y=3x+b, y=4x+b, y=-x+b, y=2.2x+b сызықтық функциясының графиктері
Сызықтық функция графикерімен бір нүктеде қиылысса, b санын табыңдар. |
№23.12 Графигі координаталар басы арқылы өтетін және 1)y=7x+5 2)y=3,2x-4
3)y= 4)y=-4,5x-8 Функциясы графигіне параллель болатын, y=kx+b Функциясының графигі қай ширекте орналасқан? |
Оқушылар дайын жауаппен, жұпта қатар отырған оқушылар бірін-бірі тексеріп бағалайды. |
Тақта; Слайд; Оқулық 7-сынып, Алгебра, авторы АЕ Әбілқасымова..-Алматы,Мектеп 2017 |
|||||||||||||||
|
|
№23.9 b=-3; 5 болғанда y=0,5x+b
k=4;
- формуласымен берілген функциялардың графиктерін бір координаталық жақықтықтарға сал |
№23.10 Ордината өсін 1)A(0;-3,5)
B(0;-2
C(0; D(0;-4,8) Кесіндісінде қиятын және А) y=4x-7 Ә) y=10-2.5x Функциясының графигіне параллель болатын сызықтық функцияның формуласын жаз |
ҚБ: Жұпта өзара бағалау «+», « - », қызықты |
Слайд Тақта Бор Кітап Дәптер |
|||||||||||||||
|
|
№2. у=kx функциясы үшін кестедегі бос орындарды толтырыңдар.
Кесте бойынша берілген функцияны формуламен жазыңдар. №3. А(1;9), B(-3;3), C(-2;0), D(2;6), E(-3;-3) нүктелерінің қайсысы y=3x+6 функциясының графигіне тиісті? II деңгей тапсырмалары №4. Берілген у=kx үшін k-ны табыңдар: 1) f(2)=6 4) f(0,5)=4
2)
f(7)=-35 5) 3) f(3)=27 6) f(4)=-32 №5. Жұлдызшаның орнына мына сызықтық функциялардың графиктері параллель болатындай сандарды қойыңдар: 1) у=9х-7 және y=*x-5 2) y=*x-6 және у=0,8х+3 3) у=10х-7 және у=*х-8 4) у=0,6х-3 және у=*х-9 III деңгей тапсырмалары №6. х-тің қандай мәндерінде f(x) және g(x) функцияларының графиктері қиылысады:
|
ҚБ: Дайын жауаптар арқылы Жұпта өзара бағалау «+», « - », қызықты |
Слайд Тақта Бор
Кітап Дәптер |
||||||||||||||||
|
Сабақтың соңы 5 минут |
Қорытындылау. Рефлексия. Тіркесті толықтырыңыз: «Бүгін мен сабақта ... білдім» «Бүгін мен сабақта ... үйрендім» «Бүгін мен сабақта ... таныстым» «Бүгін мен сабақта ... қайталадым» «Бүгін мен сабақта ... бекіттім» Үй тапсырмасын беремін |
Сабақты қорытындылау: Өтілген мақсат бойынша сұрақтар қою арқылы сабақты қорытындылаймын. 1.Сабақтың мақсаты қандай болды? 2.Сабақтың мақсатына жету үшін нені білу керек? 3.Нені түсінбедіңдер? Сабақ соңында оқушылардан рефлексия алу: - тақырып бойынша не білемін? - тағы не білгім келеді? - не істей аламын? Үйге тапсырма:№ |
Ынталандыру сөздерін қолдану «жақсы», «жарайсың», «өте жақсы» 1-10 баллдық жүйеде бағаланады.
|
Бағалау парақтары; оқулық; |
|||||||||||||||
шағым қалдыра аласыз
=2.














