Қысқа мерзімді жоспар
|
Бөлімі: |
9.3 В Тербелістер мен толқындар |
|
Педагогтің аты-жөні: |
Самат.Е |
|
Күні: |
26.02.25 |
|
Сыныбы: 9 |
Қатысушылар саны: Қатыспағандар саны: |
|
Сабақтың тақырыбы: |
Толқындық қозғалыс |
|
Оқу бағдарламасына сәйкес оқу мақсаты |
9.2.5.12 толқын
жылдамдығы, жиілігі және толқын ұзындығы формулаларын есеп шығаруда
қолдану; |
|
Сабақтың мақсаты: |
Толқындық қозғалыстың түрлері көлденең және бойлық толқындарды салыстырып, толқын жылдамдығы, жиілігі және толқын ұзындығы формулаларын есеп шығаруда қолданады. |
Сабақтың барысы:
|
Сабақ кезеңі/ Уақыты |
Педагогтің іс-әрекеті |
Оқушының іс-әрекеті |
Бағалау |
Ресурстар |
||||||||||||||||||||
|
Сабақтың басы 10 минут) “Сиқырлы қалам” әдісі
Миға шабуыл. «wordwall әдісі» 5 мин |
Ұйымдастыру: Оқушылармен сәлемдесу, оқушыларды түгендеу. Оқушылардың сабаққа дайындығын тексеру. Бағалау парағымен таныстыру
“Сиқырлы қалам” әдісі бойынша үй жұмысының есебін тексеру
ҚБ: Өзара жұппен тексеріп дескриптор бойынша тексеріп жұппен өзара бағалайды
«Миға шабуыл» ретінде «wordwall» әдісі арқылы өткенді еске түсіру
Тақырыпты ашу «суреттер сөйлейді» әдісі Экраннан суреттер көрсету арқылы сабақ тақырыбын, мақсатын анықтау |
Оқушылар сәлемдеседі
Үй жұмысын жұптасып өзара тексеріп бағалау жүргізеді
Оқушылар өткен тақырып сұрақтарына жылдам жауап беріп, бүгінгі тақырыппен танысады. |
Бағалау критерийлері: көлденең және бойлық толқындардың анықтамасын біледі. көлденең және бойлық толқындарды салыстырады. толқын жылдамдығы, жиілігі және толқын ұзындығы формулаларын есеп шығаруда қолданады.
Дескриптор: -Маятниктің тебеліс периодын табады ЭМ тербеліс периодын табады Жалпы 1 ұпай
ҚБ: Мұғалімнің ауызша мадақтау сөздері
|
Оқулық, Слайд, ДЭ экран,
https://wordwall.net/resource/30027709/
|
||||||||||||||||||||
|
Сабақтың ортасы 30 минут)
Жаңа тақырып 10 мин
|
Жаңа тақырып Презентация арқылы жаңа тақырыпты түсіндіру Толқын дегеніміз не? Толқынның қандай түрлерін білесіңдер? Толқынды қайда кездестіресіңдер?
Тербелістердің серпімді ортаның бір бөлшегінен екінші бөлшегіне таралу процесі механикалық толқын деп аталады. Толқын тербелістегі бөлшектерді тасымалдамайды, тек энергияны ғана тасымалдайды. Бөлшектерінің тербелісі толқынның таралу бағытына перпендикуляр бағытта жүзеге асатын толқынды көлденең толқын деп атайды. Бөлшектерінің тербелісі толқынның таралуы бойында жүзеге асатын толқын бойлық толқын деп аталады. Толқын ұзындығы –Т периодқа тең уақыт аралығында толқын таралатын ара қашықтық.
|
Дескриптор: - толқын анықтамасын біледі -толқын түрлерін біледі - толқын кездесетін ортаны біледі
|
Оқулық, презентация, ДЭ экран.
|
|||||||||||||||||||||
|
«Ойлан-жұптас-бөліс» әдісі 5 мин
|
1-тапсырма «сәйкесін тап»
ЕБҚ ететін оқушы үшін тапсырма Көмек: Еркін тербеліс деп сыртқы күштің әсерінсіз тербеліс жасайтын тербеліс түрін айтады. Еріксіз тербеліс сыртқы күштің әсерінен пайда болатын тербеліс түрін айтады. 1-тапсырма Ережелерді қайталай отырып келесі тапсырманы орында. суреттерді еркін және еріксіз тербеліс түрлеріне жіктеп жаз.
Дескриптор: Еркін тербеліске жататын үш суретті анықтайды -3 ұпай (әр бір дұрыс жауапқа 1-ұпай) Еріксіз тербеліске жататын үш суретті анықтайды -3 ұпай (әр бір дұрыс жауапқа 1-ұпай 2-тапсырма Берілген толқын ұзындығы мен жиілігі бойынша толқынның жылдамдығын есептеңіз. Толқынның ұзындығы 4 м, жиілігі 2 Гц болсын. Көмек: Толқын ұзындығы – λ, толқын жиілігі- ν
Дескриптор: Есептің берілгенін жазады-1 ұпай Негізгі формуланы жазып, түрлендіреді -2 ұпай Дұрыс есептеу жүргізеді -1 ұпай |
Дискрипторлар -физикалық шамаларды формулаларымен дұрыс сәйкестендіреді. 0-3 дұрыс 1-ұпай 3-6 дұрыс 1-ұпай Жалпы 2 ұпай
|
Үлестірмелі парақ
|
|||||||||||||||||||||
|
«Кім жылдам» әдісі 15 мин |
2-тапсырма «Пиза» тапсырмасы №1 Қанат көпірдің үстінде тұрып суға тас лақтырды. 1.1-суретті қараңыз.
Тас су бетіне Х нүктеде түседі. Тас суға түскеннен кейін 0,1 cекунд уақыттан кейін соңғы толқын шебі (фронты) көрсетілген. Нәтижесінде таралу жылдамдығына бағыттас толқын пайда болды. Тапсырма (А) Пайда болған толқын қандай толқын? (Б) Толқынның таралу жылдамдығы 5 см/с. 0,3 с период толқын қандай қашықтыққа таралатынын есептеңіз.
№.2 Теңіз бетіндегі қатар екі толқынның арақашықтығы 4м. Толқында тербелген қайық тербелісінің периоды 1,5 с. Толқын жылдамдығы неге тең? №3.Толқындардың таралу жылдамдығы 6 м/с, тербеліс жиілігі 5 Гц болғандағы толқын ұзындығы қандай? №4 Балықшы қалтқы 10 с ішінде толқынды 20 тербеліс жасағанын, ал көршілес толқын өрнектерінің арақашықтығы 1,2м екендігін байқаған. Толқындардың таралу жылдамдығы қандай? |
Дескриптор Пайда болған толқынды атайды -1 ұпай Есептің берілгенін дұрыс жазады. (ХБЖ айналдыру) -1 ұпай Есепетеу жолын дұрыс жүргізеді. -1 ұпай Жалпы -3 ұпай
Дескриптор 1. Есептің берілгенін дұрыс жазады. 2. Қажетті формуланы дұрыс қолданады. 3. Есептеу жолын дұрыс жүргізеді. Әр есеп 1 ұпай Жалпы 4 ұпай |
Үлестірмелі парақ |
|||||||||||||||||||||
|
Қорытынды 5 мин
|
Бекіту тапсырмасы genially қосымшасы арқылы тапсырма орындау
|
Оқушылар кезекпен сұрақтарға жауап береді. |
https://view.genially.com/67bd635c028b117d75dd36ca/interactive-content-tolyndy-ozalys |
|||||||||||||||||||||
|
Сабақтың соңы. 5 мин)
Кері байланыс
Бағалау
Үй жұмысы
|
Бүгінгі сaбaқта бағдаршам әдісі арқылы кері байланыс жасайды.
145-бет, 5.7-жаттығу есептерін шығару |
Сабақты қорытындылау барысында оқушылар өз ойларын ортада баяндайды.
|
Жалпы сабақты бағалау критерийлер бойынша ең жоғарғы 10 ұпай
|
Үлестірмелі бағалау парағы
Оқулық |
||||||||||||||||||||
Қосымша тапсырма:
№1 Балықшы қалтқы 30 с ішінде толқынды 40 тербеліс жасағанын, ал көршілес толқын өрнектерінің арақашықтығы 2,1м екендігін байқаған. Толқындардың таралу жылдамдығы қандай?
№2 Жиілігі 740 Гц дыбыс толқынының суда таралу жылдамдығы 1480 м/с. Толқын ұзындығы неге тең?
№3 Болаттағы толқынның ең жақын нүктелерінің арақашықтығы 1,54 м болса, дыбыс тербелісінің жиілігі неге тең? Болатта дыбыс толқынының жылдамдығы 5000 м/с.
№4 Қатаңдығы 12,3 Н/м серіппеге ілінген массасы 211 г жүктің тербеліс тербеліс периоды мен жиілігі неге тең? №5 Ай бетіндегі ұзындығы 100 см математикалық маятниктің тербеліс жиілігі неге тең? Айдағы еркін түсу үдеуі 1,62 м/с2
|
|
|
|
|
|
|
|
|
|
Көмек: Еркін тербеліс деп сыртқы күштің әсерінсіз тербеліс жасайтын тербеліс түрін айтады. Еріксіз тербеліс сыртқы күштің әсерінен пайда болатын тербеліс түрін айтады. 1-тапсырма Ережелерді қайталай отырып келесі тапсырманы орындаңыз. Суреттер бойынша еркін және еріксіз тербеліс түрлеріне қарай ажыратып кестені толтырыңыз.
Дескриптр: Еркін тербеліске жататын үш суретті анықтайды -3 ұпай (әр бір дұрыс жауапқа 1-ұпай) Еріксіз тербеліске жататын үш суретті анықтайды -3 ұпай (әр бір дұрыс жауапқа 1-ұпай 2-тапсырма Берілген толқын ұзындығы мен жиілігі бойынша толқынның жылдамдығын есептеңіз. Толқынның ұзындығы 4 м, жиілігі 2 Гц болсын. Көмек: Толқын ұзындығы – λ, толқын жиілігі- ν
Дескриптор: Есептің берілгенін жазады-1 ұпай Негізгі формуланы жазып, түрлендіреді -2 ұпай Дұрыс есептеу жүргізеді -1 ұпай
|
Оқушының аты-жөні:
Күні:
2-тапсырма «Пиза» тапсырмасы
№1 Қанат көпірдің үстінде тұрып суға тас лақтырды. 1.1-суретті қараңыз.
1.1-суретті
Тас су бетіне Х нүктеде түседі. Тас суға түскеннен кейін 0,1 cекунд уақыттан кейін соңғы толқын шебі (фронты) көрсетілген. Нәтижесінде таралу жылдамдығына бағыттас толқын пайда болды.
Тапсырма
(А) Пайда болған толқын қандай толқын?
(Б) Толқынның таралу жылдамдығы 5 см/с. 0,3 с уақытта толқын қандай қашықтыққа таралатынын есептеңіз.
Дескриптор
Пайда болған толқынның атайды -1 ұпай
Есептің берілгенін дұрыс жазады. (ХБЖ айналдыру) -1 ұпай
Есепетеу жолын дұрыс жүргізеді. -1 ұпай
Жалпы -3 ұпай
№.2 Теңіз бетіндегі қатар екі толқынның арақашықтығы 4м. Толқында тербелген қайық тербелісінің периоды 1,5 с. Толқын жылдамдығы неге тең?
№3.Толқындардың таралу жылдамдығы 6 м/с, тербеліс жиілігі 5 Гц болғандағы толқын ұзындығы қандай?
№4 Балықшы қалтқы 10 с ішінде толқынды 20 тербеліс жасағанын, ал көршілес толқын өрнектерінің арақашықтығы 1,2м екендігін байқаған. Толқындардың таралу жылдамдығы қандай?
Дескриптор Әр есеп 1 ұпай
1. Есептің берілгенін дұрыс жазады.
2. Қажетті формуланы дұрыс қолданады.
3. Есептеу жолын дұрыс жүргізеді.
Жалпы 4 ұпай
2-тапсырма «Пиза» тапсырмасы
№1 Қанат көпірдің үстінде тұрып суға тас лақтырды. 1.1-суретті қараңыз.
1.1-суретті
Тас су бетіне Х нүктеде түседі. Тас суға түскеннен кейін 0,1 cекунд уақыттан кейін соңғы толқын шебі (фронты) көрсетілген. Нәтижесінде таралу жылдамдығына бағыттас толқын пайда болды.
Тапсырма
(А) Пайда болған толқын қандай толқын?
(Б) Толқынның таралу жылдамдығы 5 см/с. 0,3 с уақытта толқын қандай қашықтыққа таралатынын есептеңіз.
Дескриптор
Пайда болған толқынның атайды -1 ұпай
Есептің берілгенін дұрыс жазады. (ХБЖ айналдыру) -1 ұпай
Есепетеу жолын дұрыс жүргізеді. -1 ұпай
Жалпы -3 ұпай
№.2 Теңіз бетіндегі қатар екі толқынның арақашықтығы 4м. Толқында тербелген қайық тербелісінің периоды 1,5 с. Толқын жылдамдығы неге тең?
№3.Толқындардың таралу жылдамдығы 6 м/с, тербеліс жиілігі 5 Гц болғандағы толқын ұзындығы қандай?
№4 Балықшы қалтқы 10 с ішінде толқынды 20 тербеліс жасағанын, ал көршілес толқын өрнектерінің арақашықтығы 1,2м екендігін байқаған. Толқындардың таралу жылдамдығы қандай?
Дескриптор Әр есеп 1 ұпай
1. Есептің берілгенін дұрыс жазады.
2. Қажетті формуланы дұрыс қолданады.
3. Есептеу жолын дұрыс жүргізеді.
Жалпы 4 ұпай
|
|
Математикалық маятник периоды |
|
|
Циклдік жиілік |
|
|
Серіппелі маятник периоды |
|
|
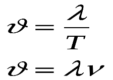
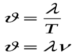
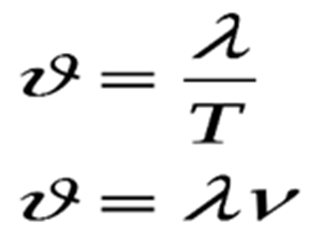
Толқын жылдамдығы |
|
|
Томсон формуласы |
|
|
Жиілік |
|
|
Математикалық маятник периоды |
|
|
Циклдік жиілік |
|
|
Серіппелі маятник периоды |
|
|
Толқын жылдамдығы |
|
|
Томсон формуласы |
|
|
Жиілік |
|
|
Математикалық маятник периоды |
|
|
Циклдік жиілік |
|
|
Серіппелі маятник периоды |
|
|
Толқын жылдамдығы |
|
|
Томсон формуласы |
|
|
Жиілік |
жүктеу мүмкіндігіне ие боласыз
Бұл материал сайт қолданушысы жариялаған. Материалдың ішінде жазылған барлық ақпаратқа жауапкершілікті жариялаған қолданушы жауап береді. Ұстаз тілегі тек ақпаратты таратуға қолдау көрсетеді. Егер материал сіздің авторлық құқығыңызды бұзған болса немесе басқа да себептермен сайттан өшіру керек деп ойласаңыз осында жазыңыз
толқындық қозғалыс 9-сынып, ашық сабақ
толқындық қозғалыс 9-сынып, ашық сабақ
Қысқа мерзімді жоспар
|
Бөлімі: |
9.3 В Тербелістер мен толқындар |
|
Педагогтің аты-жөні: |
Самат.Е |
|
Күні: |
26.02.25 |
|
Сыныбы: 9 |
Қатысушылар саны: Қатыспағандар саны: |
|
Сабақтың тақырыбы: |
Толқындық қозғалыс |
|
Оқу бағдарламасына сәйкес оқу мақсаты |
9.2.5.12 толқын
жылдамдығы, жиілігі және толқын ұзындығы формулаларын есеп шығаруда
қолдану; |
|
Сабақтың мақсаты: |
Толқындық қозғалыстың түрлері көлденең және бойлық толқындарды салыстырып, толқын жылдамдығы, жиілігі және толқын ұзындығы формулаларын есеп шығаруда қолданады. |
Сабақтың барысы:
|
Сабақ кезеңі/ Уақыты |
Педагогтің іс-әрекеті |
Оқушының іс-әрекеті |
Бағалау |
Ресурстар |
||||||||||||||||||||
|
Сабақтың басы 10 минут) “Сиқырлы қалам” әдісі
Миға шабуыл. «wordwall әдісі» 5 мин |
Ұйымдастыру: Оқушылармен сәлемдесу, оқушыларды түгендеу. Оқушылардың сабаққа дайындығын тексеру. Бағалау парағымен таныстыру
“Сиқырлы қалам” әдісі бойынша үй жұмысының есебін тексеру
ҚБ: Өзара жұппен тексеріп дескриптор бойынша тексеріп жұппен өзара бағалайды
«Миға шабуыл» ретінде «wordwall» әдісі арқылы өткенді еске түсіру
Тақырыпты ашу «суреттер сөйлейді» әдісі Экраннан суреттер көрсету арқылы сабақ тақырыбын, мақсатын анықтау |
Оқушылар сәлемдеседі
Үй жұмысын жұптасып өзара тексеріп бағалау жүргізеді
Оқушылар өткен тақырып сұрақтарына жылдам жауап беріп, бүгінгі тақырыппен танысады. |
Бағалау критерийлері: көлденең және бойлық толқындардың анықтамасын біледі. көлденең және бойлық толқындарды салыстырады. толқын жылдамдығы, жиілігі және толқын ұзындығы формулаларын есеп шығаруда қолданады.
Дескриптор: -Маятниктің тебеліс периодын табады ЭМ тербеліс периодын табады Жалпы 1 ұпай
ҚБ: Мұғалімнің ауызша мадақтау сөздері
|
Оқулық, Слайд, ДЭ экран,
https://wordwall.net/resource/30027709/
|
||||||||||||||||||||
|
Сабақтың ортасы 30 минут)
Жаңа тақырып 10 мин
|
Жаңа тақырып Презентация арқылы жаңа тақырыпты түсіндіру Толқын дегеніміз не? Толқынның қандай түрлерін білесіңдер? Толқынды қайда кездестіресіңдер?
Тербелістердің серпімді ортаның бір бөлшегінен екінші бөлшегіне таралу процесі механикалық толқын деп аталады. Толқын тербелістегі бөлшектерді тасымалдамайды, тек энергияны ғана тасымалдайды. Бөлшектерінің тербелісі толқынның таралу бағытына перпендикуляр бағытта жүзеге асатын толқынды көлденең толқын деп атайды. Бөлшектерінің тербелісі толқынның таралуы бойында жүзеге асатын толқын бойлық толқын деп аталады. Толқын ұзындығы –Т периодқа тең уақыт аралығында толқын таралатын ара қашықтық.
|
Дескриптор: - толқын анықтамасын біледі -толқын түрлерін біледі - толқын кездесетін ортаны біледі
|
Оқулық, презентация, ДЭ экран.
|
|||||||||||||||||||||
|
«Ойлан-жұптас-бөліс» әдісі 5 мин
|
1-тапсырма «сәйкесін тап»
ЕБҚ ететін оқушы үшін тапсырма Көмек: Еркін тербеліс деп сыртқы күштің әсерінсіз тербеліс жасайтын тербеліс түрін айтады. Еріксіз тербеліс сыртқы күштің әсерінен пайда болатын тербеліс түрін айтады. 1-тапсырма Ережелерді қайталай отырып келесі тапсырманы орында. суреттерді еркін және еріксіз тербеліс түрлеріне жіктеп жаз.
Дескриптор: Еркін тербеліске жататын үш суретті анықтайды -3 ұпай (әр бір дұрыс жауапқа 1-ұпай) Еріксіз тербеліске жататын үш суретті анықтайды -3 ұпай (әр бір дұрыс жауапқа 1-ұпай 2-тапсырма Берілген толқын ұзындығы мен жиілігі бойынша толқынның жылдамдығын есептеңіз. Толқынның ұзындығы 4 м, жиілігі 2 Гц болсын. Көмек: Толқын ұзындығы – λ, толқын жиілігі- ν
Дескриптор: Есептің берілгенін жазады-1 ұпай Негізгі формуланы жазып, түрлендіреді -2 ұпай Дұрыс есептеу жүргізеді -1 ұпай |
Дискрипторлар -физикалық шамаларды формулаларымен дұрыс сәйкестендіреді. 0-3 дұрыс 1-ұпай 3-6 дұрыс 1-ұпай Жалпы 2 ұпай
|
Үлестірмелі парақ
|
|||||||||||||||||||||
|
«Кім жылдам» әдісі 15 мин |
2-тапсырма «Пиза» тапсырмасы №1 Қанат көпірдің үстінде тұрып суға тас лақтырды. 1.1-суретті қараңыз.
Тас су бетіне Х нүктеде түседі. Тас суға түскеннен кейін 0,1 cекунд уақыттан кейін соңғы толқын шебі (фронты) көрсетілген. Нәтижесінде таралу жылдамдығына бағыттас толқын пайда болды. Тапсырма (А) Пайда болған толқын қандай толқын? (Б) Толқынның таралу жылдамдығы 5 см/с. 0,3 с период толқын қандай қашықтыққа таралатынын есептеңіз.
№.2 Теңіз бетіндегі қатар екі толқынның арақашықтығы 4м. Толқында тербелген қайық тербелісінің периоды 1,5 с. Толқын жылдамдығы неге тең? №3.Толқындардың таралу жылдамдығы 6 м/с, тербеліс жиілігі 5 Гц болғандағы толқын ұзындығы қандай? №4 Балықшы қалтқы 10 с ішінде толқынды 20 тербеліс жасағанын, ал көршілес толқын өрнектерінің арақашықтығы 1,2м екендігін байқаған. Толқындардың таралу жылдамдығы қандай? |
Дескриптор Пайда болған толқынды атайды -1 ұпай Есептің берілгенін дұрыс жазады. (ХБЖ айналдыру) -1 ұпай Есепетеу жолын дұрыс жүргізеді. -1 ұпай Жалпы -3 ұпай
Дескриптор 1. Есептің берілгенін дұрыс жазады. 2. Қажетті формуланы дұрыс қолданады. 3. Есептеу жолын дұрыс жүргізеді. Әр есеп 1 ұпай Жалпы 4 ұпай |
Үлестірмелі парақ |
|||||||||||||||||||||
|
Қорытынды 5 мин
|
Бекіту тапсырмасы genially қосымшасы арқылы тапсырма орындау
|
Оқушылар кезекпен сұрақтарға жауап береді. |
https://view.genially.com/67bd635c028b117d75dd36ca/interactive-content-tolyndy-ozalys |
|||||||||||||||||||||
|
Сабақтың соңы. 5 мин)
Кері байланыс
Бағалау
Үй жұмысы
|
Бүгінгі сaбaқта бағдаршам әдісі арқылы кері байланыс жасайды.
145-бет, 5.7-жаттығу есептерін шығару |
Сабақты қорытындылау барысында оқушылар өз ойларын ортада баяндайды.
|
Жалпы сабақты бағалау критерийлер бойынша ең жоғарғы 10 ұпай
|
Үлестірмелі бағалау парағы
Оқулық |
||||||||||||||||||||
Қосымша тапсырма:
№1 Балықшы қалтқы 30 с ішінде толқынды 40 тербеліс жасағанын, ал көршілес толқын өрнектерінің арақашықтығы 2,1м екендігін байқаған. Толқындардың таралу жылдамдығы қандай?
№2 Жиілігі 740 Гц дыбыс толқынының суда таралу жылдамдығы 1480 м/с. Толқын ұзындығы неге тең?
№3 Болаттағы толқынның ең жақын нүктелерінің арақашықтығы 1,54 м болса, дыбыс тербелісінің жиілігі неге тең? Болатта дыбыс толқынының жылдамдығы 5000 м/с.
№4 Қатаңдығы 12,3 Н/м серіппеге ілінген массасы 211 г жүктің тербеліс тербеліс периоды мен жиілігі неге тең? №5 Ай бетіндегі ұзындығы 100 см математикалық маятниктің тербеліс жиілігі неге тең? Айдағы еркін түсу үдеуі 1,62 м/с2
|
|
|
|
|
|
|
|
|
|
Көмек: Еркін тербеліс деп сыртқы күштің әсерінсіз тербеліс жасайтын тербеліс түрін айтады. Еріксіз тербеліс сыртқы күштің әсерінен пайда болатын тербеліс түрін айтады. 1-тапсырма Ережелерді қайталай отырып келесі тапсырманы орындаңыз. Суреттер бойынша еркін және еріксіз тербеліс түрлеріне қарай ажыратып кестені толтырыңыз.
Дескриптр: Еркін тербеліске жататын үш суретті анықтайды -3 ұпай (әр бір дұрыс жауапқа 1-ұпай) Еріксіз тербеліске жататын үш суретті анықтайды -3 ұпай (әр бір дұрыс жауапқа 1-ұпай 2-тапсырма Берілген толқын ұзындығы мен жиілігі бойынша толқынның жылдамдығын есептеңіз. Толқынның ұзындығы 4 м, жиілігі 2 Гц болсын. Көмек: Толқын ұзындығы – λ, толқын жиілігі- ν
Дескриптор: Есептің берілгенін жазады-1 ұпай Негізгі формуланы жазып, түрлендіреді -2 ұпай Дұрыс есептеу жүргізеді -1 ұпай
|
Оқушының аты-жөні:
Күні:
2-тапсырма «Пиза» тапсырмасы
№1 Қанат көпірдің үстінде тұрып суға тас лақтырды. 1.1-суретті қараңыз.
1.1-суретті
Тас су бетіне Х нүктеде түседі. Тас суға түскеннен кейін 0,1 cекунд уақыттан кейін соңғы толқын шебі (фронты) көрсетілген. Нәтижесінде таралу жылдамдығына бағыттас толқын пайда болды.
Тапсырма
(А) Пайда болған толқын қандай толқын?
(Б) Толқынның таралу жылдамдығы 5 см/с. 0,3 с уақытта толқын қандай қашықтыққа таралатынын есептеңіз.
Дескриптор
Пайда болған толқынның атайды -1 ұпай
Есептің берілгенін дұрыс жазады. (ХБЖ айналдыру) -1 ұпай
Есепетеу жолын дұрыс жүргізеді. -1 ұпай
Жалпы -3 ұпай
№.2 Теңіз бетіндегі қатар екі толқынның арақашықтығы 4м. Толқында тербелген қайық тербелісінің периоды 1,5 с. Толқын жылдамдығы неге тең?
№3.Толқындардың таралу жылдамдығы 6 м/с, тербеліс жиілігі 5 Гц болғандағы толқын ұзындығы қандай?
№4 Балықшы қалтқы 10 с ішінде толқынды 20 тербеліс жасағанын, ал көршілес толқын өрнектерінің арақашықтығы 1,2м екендігін байқаған. Толқындардың таралу жылдамдығы қандай?
Дескриптор Әр есеп 1 ұпай
1. Есептің берілгенін дұрыс жазады.
2. Қажетті формуланы дұрыс қолданады.
3. Есептеу жолын дұрыс жүргізеді.
Жалпы 4 ұпай
2-тапсырма «Пиза» тапсырмасы
№1 Қанат көпірдің үстінде тұрып суға тас лақтырды. 1.1-суретті қараңыз.
1.1-суретті
Тас су бетіне Х нүктеде түседі. Тас суға түскеннен кейін 0,1 cекунд уақыттан кейін соңғы толқын шебі (фронты) көрсетілген. Нәтижесінде таралу жылдамдығына бағыттас толқын пайда болды.
Тапсырма
(А) Пайда болған толқын қандай толқын?
(Б) Толқынның таралу жылдамдығы 5 см/с. 0,3 с уақытта толқын қандай қашықтыққа таралатынын есептеңіз.
Дескриптор
Пайда болған толқынның атайды -1 ұпай
Есептің берілгенін дұрыс жазады. (ХБЖ айналдыру) -1 ұпай
Есепетеу жолын дұрыс жүргізеді. -1 ұпай
Жалпы -3 ұпай
№.2 Теңіз бетіндегі қатар екі толқынның арақашықтығы 4м. Толқында тербелген қайық тербелісінің периоды 1,5 с. Толқын жылдамдығы неге тең?
№3.Толқындардың таралу жылдамдығы 6 м/с, тербеліс жиілігі 5 Гц болғандағы толқын ұзындығы қандай?
№4 Балықшы қалтқы 10 с ішінде толқынды 20 тербеліс жасағанын, ал көршілес толқын өрнектерінің арақашықтығы 1,2м екендігін байқаған. Толқындардың таралу жылдамдығы қандай?
Дескриптор Әр есеп 1 ұпай
1. Есептің берілгенін дұрыс жазады.
2. Қажетті формуланы дұрыс қолданады.
3. Есептеу жолын дұрыс жүргізеді.
Жалпы 4 ұпай
|
|
Математикалық маятник периоды |
|
|
Циклдік жиілік |
|
|
Серіппелі маятник периоды |
|
|
Толқын жылдамдығы |
|
|
Томсон формуласы |
|
|
Жиілік |
|
|
Математикалық маятник периоды |
|
|
Циклдік жиілік |
|
|
Серіппелі маятник периоды |
|
|
Толқын жылдамдығы |
|
|
Томсон формуласы |
|
|
Жиілік |
|
|
Математикалық маятник периоды |
|
|
Циклдік жиілік |
|
|
Серіппелі маятник периоды |
|
|
Толқын жылдамдығы |
|
|
Томсон формуласы |
|
|
Жиілік |
шағым қалдыра аласыз


























