|
Мектеп атауы: |
|
||||||||||||
|
Практиканттың аты-жөні: |
Султанниязова Гулмира |
||||||||||||
|
Мерзімі: |
|
||||||||||||
|
Сынып: |
Қатысқандар саны: |
Қатыспағандар саны: |
|||||||||||
|
Пән: |
Геометрия |
||||||||||||
|
Сабақтың түрі |
Жаңа сабақ |
||||||||||||
|
Сабақ тақырыбы |
§22 Трапецияның ауданы |
||||||||||||
|
Сабақ мақсаттары |
|
||||||||||||
|
Күтілетін нәтиже |
|
||||||||||||
|
Сабақ барысы |
|||||||||||||
|
Сабақтың кезеңдері |
Сабақтағы жоспарланған іс-әрекет |
Ресурстар |
|||||||||||
|
Сабақтың басы 1)Ұйымдастыру кезеңі 5-10 мин 2)Үй тапсырмасын тексеру: 2 мин Сабақтың ортасы 3) «Ой қозғау» 3мин 4) Тақырыпты түсіндіру 5) Есептер шығару |
2. Сергіту сәті № 12
Бүгінгі сабағымызды өткен тақырыптармен байланыстырып сұрақтарға жауап берейік. Сұрақтар :
Дескриптор:
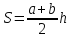
Трапецияның ауданын оның табандары мен биіктігі арқылы табу
Т
h – биіктігі Трапецияның ауданын оның биіктігі мен орта сызығы арқылы табу
S h — биіктігі m — трапецияның орта сызығы Трапецияның ауданын оның диагональдері және олардың арасындағы бұрышы арқылы табу
Тақтада есептер шығару. Тақтаға оқушыларды «Кездейсоқ таңдау ойыны» арқылы тақтаға шығару А және В деңгейінің есептерін шығару №1,2,3,4,5 А-деңгейі №1. Табандары 12см, 16см және биіктігі 15 см болатын трапецияның ауданын табыңыз. Бер: Трапеция AD=16см BC=12см B Табу керек: S-?
№ 6,7,8,9,10 В-деңгейі |
|
|||||||||||
|
Сабақтың соңы Бағалау |
Ұй жұмысы В-деңгейі №8 Рефлексия Дескриптор:
|
Жасыл,қызыл, сары стикерлер |
|||||||||||
жүктеу мүмкіндігіне ие боласыз
Бұл материал сайт қолданушысы жариялаған. Материалдың ішінде жазылған барлық ақпаратқа жауапкершілікті жариялаған қолданушы жауап береді. Ұстаз тілегі тек ақпаратты таратуға қолдау көрсетеді. Егер материал сіздің авторлық құқығыңызды бұзған болса немесе басқа да себептермен сайттан өшіру керек деп ойласаңыз осында жазыңыз
Трапецияның ауданы
Трапецияның ауданы
|
Мектеп атауы: |
|
||||||||||||
|
Практиканттың аты-жөні: |
Султанниязова Гулмира |
||||||||||||
|
Мерзімі: |
|
||||||||||||
|
Сынып: |
Қатысқандар саны: |
Қатыспағандар саны: |
|||||||||||
|
Пән: |
Геометрия |
||||||||||||
|
Сабақтың түрі |
Жаңа сабақ |
||||||||||||
|
Сабақ тақырыбы |
§22 Трапецияның ауданы |
||||||||||||
|
Сабақ мақсаттары |
|
||||||||||||
|
Күтілетін нәтиже |
|
||||||||||||
|
Сабақ барысы |
|||||||||||||
|
Сабақтың кезеңдері |
Сабақтағы жоспарланған іс-әрекет |
Ресурстар |
|||||||||||
|
Сабақтың басы 1)Ұйымдастыру кезеңі 5-10 мин 2)Үй тапсырмасын тексеру: 2 мин Сабақтың ортасы 3) «Ой қозғау» 3мин 4) Тақырыпты түсіндіру 5) Есептер шығару |
2. Сергіту сәті № 12
Бүгінгі сабағымызды өткен тақырыптармен байланыстырып сұрақтарға жауап берейік. Сұрақтар :
Дескриптор:
Трапецияның ауданын оның табандары мен биіктігі арқылы табу
Т
h – биіктігі Трапецияның ауданын оның биіктігі мен орта сызығы арқылы табу
S h — биіктігі m — трапецияның орта сызығы Трапецияның ауданын оның диагональдері және олардың арасындағы бұрышы арқылы табу
Тақтада есептер шығару. Тақтаға оқушыларды «Кездейсоқ таңдау ойыны» арқылы тақтаға шығару А және В деңгейінің есептерін шығару №1,2,3,4,5 А-деңгейі №1. Табандары 12см, 16см және биіктігі 15 см болатын трапецияның ауданын табыңыз. Бер: Трапеция AD=16см BC=12см B Табу керек: S-?
№ 6,7,8,9,10 В-деңгейі |
|
|||||||||||
|
Сабақтың соңы Бағалау |
Ұй жұмысы В-деңгейі №8 Рефлексия Дескриптор:
|
Жасыл,қызыл, сары стикерлер |
|||||||||||
шағым қалдыра аласыз
рапецияның ауданы оның табандарының қосындысының жартысы мен
биіктігінің көбейтіндісіне
тең.
E-h=














