Екінші ретті дифференциалдық теңдеулер презентация
Екінші ретті дифференциалдық теңдеулер презентация

#1 слайд
“ Медициналық биофизика және ақпараттық технологиялар” кафедрасы
Презентация
Тақырыбы: Екінші ретті дифференциалдық теңдеулер
Орындаған :
Тобы:
Қабылданған:
Шымкент 2099ж
1 слайд
“ Медициналық биофизика және ақпараттық технологиялар” кафедрасы Презентация Тақырыбы: Екінші ретті дифференциалдық теңдеулер Орындаған : Тобы: Қабылданған: Шымкент 2099ж
#2 слайд
Жоспар
Кіріспе
Негізгі бөлім
1) дифференциалдық теңдеудің жалпы шешімі
2) Екінші ретті дифференциалдық теңдеулердің қарапайым түрлері
Қорытынды
Пайдаланылған әдебиеттер
2 слайд
Жоспар Кіріспе Негізгі бөлім 1) дифференциалдық теңдеудің жалпы шешімі 2) Екінші ретті дифференциалдық теңдеулердің қарапайым түрлері Қорытынды Пайдаланылған әдебиеттер
#3 слайд
3 слайд
#4 слайд
4 слайд
#5 слайд
5 слайд
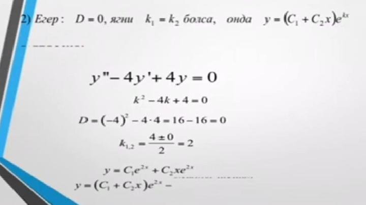
#6 слайд
6 слайд
#7 слайд
7 слайд
#8 слайд
8 слайд
#9 слайд
9 слайд
#10 слайд
10 слайд
#11 слайд
11 слайд
#12 слайд
Пайдаланылған әдебиеттер
1) Аширбаева Н.Қ.Жоғары математика курсының негіздері.Алматы
ЭСПИ2023-304 б
2)Ахметова А.У. Математический анализ Алматы 2023 -132с
3)Базарбекова А.А. Жоғары математика Алматы 2023-368б
4) Рахимжанова С.К.Теория вероятностей и математическая
статистика Алматы 2023-188с
12 слайд
Пайдаланылған әдебиеттер 1) Аширбаева Н.Қ.Жоғары математика курсының негіздері.Алматы ЭСПИ2023-304 б 2)Ахметова А.У. Математический анализ Алматы 2023 -132с 3)Базарбекова А.А. Жоғары математика Алматы 2023-368б 4) Рахимжанова С.К.Теория вероятностей и математическая статистика Алматы 2023-188с
шағым қалдыра аласыз













