Интегралды есептеу
Интегралды есептеу

#1 слайд
1 слайд
#2 слайд
õ
2 слайд
õ
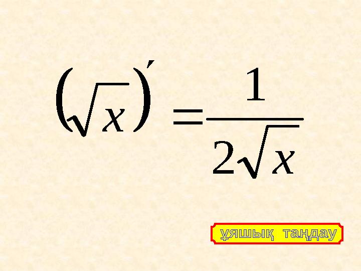
#3 слайд
x
x
2
1
3 слайд
x x 2 1
#4 слайд
x
a
4 слайд
x a
#5 слайд
a a a
x x
ln
5 слайд
a a a x x ln
#6 слайд
ctgx
6 слайд
ctgx
#7 слайд
x
ctgx
2
sin
1
7 слайд
x ctgx 2 sin 1
#8 слайд
n
x
8 слайд
n x
#9 слайд
. 1 ,
1
1
n C
n
x
dx x
n
n
9 слайд
. 1 , 1 1 n C n x dx x n n
#10 слайд
x
a
log
10 слайд
x a log
#11 слайд
a x
x
a
ln
1
log
11 слайд
a x x a ln 1 log
#12 слайд
x
a
12 слайд
x a
#13 слайд
C
a
a
dx a
x
x
ln
13 слайд
C a a dx a x x ln
#14 слайд
x
1
14 слайд
x 1
#15 слайд
C x dx
x
ln
1
15 слайд
C x dx x ln 1
#16 слайд
tgx
16 слайд
tgx
#17 слайд
C x tgxdx
cos ln
17 слайд
C x tgxdx cos ln
#18 слайд
x
2
cos
1
18 слайд
x 2 cos 1
#19 слайд
C tgx dx
x
2
cos
1
19 слайд
C tgx dx x 2 cos 1
шағым қалдыра аласыз













