Механикалық тербелістер
Механикалық тербелістер

#1 слайд
Механикалық
тербелістер
Сейсекова Ә.Е.
1 слайд
Механикалық тербелістер Сейсекова Ә.Е.
#2 слайд
Тербеліс
Механикалық тербеліс – дененің бірдей уақыт
аралығында дәлме дәл немесе жуықтап
қайталанып отыратын қозғалысы.
2 слайд
Тербеліс Механикалық тербеліс – дененің бірдей уақыт аралығында дәлме дәл немесе жуықтап қайталанып отыратын қозғалысы.
#3 слайд
Тербелмелі қозғалыс пайда
болуы үшін қажетті
шарттар:
Денені тепе теңдік қалпынан
шығарған кезде бастапқы
қалпына қайтаратын күштің
болуы.
Үйкелістің аз болуы керек.
3 слайд
Тербелмелі қозғалыс пайда болуы үшін қажетті шарттар: Денені тепе теңдік қалпынан шығарған кезде бастапқы қалпына қайтаратын күштің болуы. Үйкелістің аз болуы керек.
#4 слайд
Тербелістің сипаттамалары
•
Дененің тепе теңдік күйден ауытқуы ығысу деп
аталады.
•
Амплитуда – тербелетін бөлшектің тепе теңдік
қалпынан ең үлкен ауытқуы
•
Период – толық бір тербеліс жасауға кеткен
уақыт. м А
x А
max
c T
4 слайд
Тербелістің сипаттамалары • Дененің тепе теңдік күйден ауытқуы ығысу деп аталады. • Амплитуда – тербелетін бөлшектің тепе теңдік қалпынан ең үлкен ауытқуы • Период – толық бір тербеліс жасауға кеткен уақыт. м А x А max c T
#5 слайд
Тербелістің сипаттамалары
•
Жиілік – бірлік уақыт ішінде жасаған тербеліс
саны. (Жиілік – периодқа кері шама.)
Жүйенің еркін тербелісінің жиілігін меншікті
жиілік дейді.T
1
Гц
с
Гц
1
1
1
Циклдің жиілік - 2 π секундтағы тербеліс саны
t
n
n t
T
5 слайд
Тербелістің сипаттамалары • Жиілік – бірлік уақыт ішінде жасаған тербеліс саны. (Жиілік – периодқа кері шама.) Жүйенің еркін тербелісінің жиілігін меншікті жиілік дейді.T 1 Гц с Гц 1 1 1 Циклдің жиілік - 2 π секундтағы тербеліс саны t n n t T
#6 слайд
Тербелістің сипаттамалары
Тербеліс фазасы – уақыт мезетіндегі тербелмелі
жүйенің күйін сипаттайтын шама.
Алғашқы фазасы (ол дененің t= 0 уақыт мезетіндегі
тепе-теңдік жағдайдан ауытқуын көрсетеді). Тербеліс
фазасы (амплитудамен қатар) өзгеретін x шамасының
берілген уақыттағы мәнін анықтайды. Фаза бұрыштық
бірліктермен (градус немесе радиан) өлшенеді. рад
6 слайд
Тербелістің сипаттамалары Тербеліс фазасы – уақыт мезетіндегі тербелмелі жүйенің күйін сипаттайтын шама. Алғашқы фазасы (ол дененің t= 0 уақыт мезетіндегі тепе-теңдік жағдайдан ауытқуын көрсетеді). Тербеліс фазасы (амплитудамен қатар) өзгеретін x шамасының берілген уақыттағы мәнін анықтайды. Фаза бұрыштық бірліктермен (градус немесе радиан) өлшенеді. рад
#7 слайд
Гармоникалық тербеліс
Тербеліп тұрған нүктенің ығысуына пропорционал
және осы ығысуға қарама-қарсы бағытталған
күштер әсерінен туындайтын тербелістер
гармоникалық болып табылады. F=-kx
Гармоникалық
тербеліс – синус
немесе косинус заңы
бойынша өтетін
тербелістер.
7 слайд
Гармоникалық тербеліс Тербеліп тұрған нүктенің ығысуына пропорционал және осы ығысуға қарама-қарсы бағытталған күштер әсерінен туындайтын тербелістер гармоникалық болып табылады. F=-kx Гармоникалық тербеліс – синус немесе косинус заңы бойынша өтетін тербелістер.
#8 слайд
Гармоникалық тербеліс
немесе
мұндағы х — уақыттың t моментіндегі тербеліп тұрған
нүктенің тепе-теңдік қалпынан ауытқуы;
А — тербеліс амплитудасы - тербеліп тұрған нүктенің
тепе-теңдік жағдайынан максимал ауытқуын көрсететін шама;
ω — циклдік жиілік, 2π секунд ішіндегі болатын толық
тербелістердің санын көрсететін шама;
φ
0 ’ = φ
0 +π/2) cos(
0
t A x
) ' sin(
0
t A x
8 слайд
Гармоникалық тербеліс немесе мұндағы х — уақыттың t моментіндегі тербеліп тұрған нүктенің тепе-теңдік қалпынан ауытқуы; А — тербеліс амплитудасы - тербеліп тұрған нүктенің тепе-теңдік жағдайынан максимал ауытқуын көрсететін шама; ω — циклдік жиілік, 2π секунд ішіндегі болатын толық тербелістердің санын көрсететін шама; φ 0 ’ = φ 0 +π/2) cos( 0 t A x ) ' sin( 0 t A x
#9 слайд
Косинус шамасы +1-ден -1-ге
дейін өзгеретін болғандықтан,
x - те А-дан – А - ға дейінгі
мәндерге ие болады
9 слайд
Косинус шамасы +1-ден -1-ге дейін өзгеретін болғандықтан, x - те А-дан – А - ға дейінгі мәндерге ие болады
#10 слайд
Тербеліс графигі
Х
t2
T
4
T
4
3 T
T0А
- А
2
2
3
2
10 слайд
Тербеліс графигі Х t2 T 4 T 4 3 T T0А - А 2 2 3 2
#11 слайд
Тербеліс фазасы
Тербеліс
бірдей фазада
жүреді. Тербеліс қарама
қарсы фазада
жүреді. Тербеліс әр
түрлі фазада
жүреді.0
2
11 слайд
Тербеліс фазасы Тербеліс бірдей фазада жүреді. Тербеліс қарама қарсы фазада жүреді. Тербеліс әр түрлі фазада жүреді.0 2
#12 слайд
Тербелістің түрлері:
•
Еркін тербеліс дене тепе теңдік күйінен шығарылған соң
сыртқа күштердің әсерінсіз болатын тербелістер.
•
Еріксіз тербеліс сыртқы периоды күштің әрекетінен
болатын тербелістер.
•
Автотербелістер деп - өздігінен-өзі қозып, үздіксіз
тербелетінін және тербеліс жиілігі осы жүйенің
қасиеттеріне /параметрлеріне/ байланысты құбылысты
айтады.
12 слайд
Тербелістің түрлері: • Еркін тербеліс дене тепе теңдік күйінен шығарылған соң сыртқа күштердің әсерінсіз болатын тербелістер. • Еріксіз тербеліс сыртқы периоды күштің әрекетінен болатын тербелістер. • Автотербелістер деп - өздігінен-өзі қозып, үздіксіз тербелетінін және тербеліс жиілігі осы жүйенің қасиеттеріне /параметрлеріне/ байланысты құбылысты айтады.
#13 слайд
Тербелмелі жүйе
Тербелмелі жүйе – еркін тербеліс жүре
алатын жүйе.(Маятник).
•
Серіппелі маятник
•
Математикалық маятник.
13 слайд
Тербелмелі жүйе Тербелмелі жүйе – еркін тербеліс жүре алатын жүйе.(Маятник). • Серіппелі маятник • Математикалық маятник.
#14 слайд
Математикалық маятник
0V
V
V V
mg mg mg
mg T
T
mgT T T
V
V
AA X Xg
l
T 2
l
g
T
2
1 1
l
g
T
0
0
2
2
14 слайд
Математикалық маятник 0V V V V mg mg mg mg T T mgT T T V V AA X Xg l T 2 l g T 2 1 1 l g T 0 0 2 2
#15 слайд
F
У VСеріппелі маятник.
ААF
У F
УVVF
У
X X
0 VF
Уk
m
T 2
m
k
T
0
0
2
2
m
k
T
2
1 1
15 слайд
F У VСеріппелі маятник. ААF У F УVVF У X X 0 VF Уk m T 2 m k T 0 0 2 2 m k T 2 1 1
#16 слайд
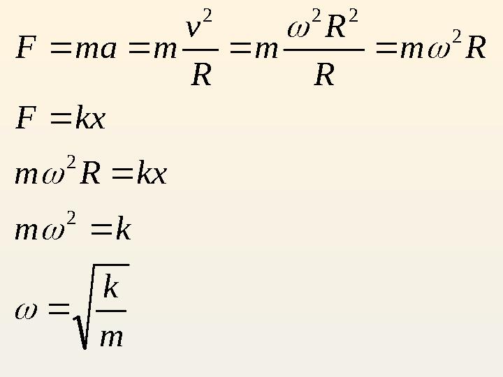
m
k
k m
kx R m
kx F
R m
R
R
m
R
v
m ma F
2
2
2
2 2 2
16 слайд
m k k m kx R m kx F R m R R m R v m ma F 2 2 2 2 2 2
#17 слайд
Резонанс
F внешн
F внешн
F внешн
Резонанс – мәжбүр етуші
күштің тербеліс жиілігі мен
тербелмелі жүйенің меншікті
жиілігі дәл келген кездегі
еріксіз тербелістер
амплитудасының кенет арту
құбылысы А0
F сопр1 < F сопр2
17 слайд
Резонанс F внешн F внешн F внешн Резонанс – мәжбүр етуші күштің тербеліс жиілігі мен тербелмелі жүйенің меншікті жиілігі дәл келген кездегі еріксіз тербелістер амплитудасының кенет арту құбылысы А0 F сопр1 < F сопр2
#18 слайд
Өшетін тербеліс
Тербелістің өшу себебі –
кедергі күштері.
X
t0
18 слайд
Өшетін тербеліс Тербелістің өшу себебі – кедергі күштері. X t0
#19 слайд
Тербелістегі нүкте жылдамдығы : ) sin(
0
t A
dt
dx
)
2
cos(
0
t A
19 слайд
Тербелістегі нүкте жылдамдығы : ) sin( 0 t A dt dx ) 2 cos( 0 t A
#20 слайд
Үдеу: ) cos(
0
2
t A
dt
d
a
) cos(
0
2
t A
2
A а
20 слайд
Үдеу: ) cos( 0 2 t A dt d a ) cos( 0 2 t A 2 A а
#21 слайд
R
R
R
R
v
a
R v
2
2 2 2
21 слайд
R R R R v a R v 2 2 2 2
#22 слайд
29.10.23
22 слайд
29.10.23
#23 слайд
0
2
2 2 2
sin
2 2
t
A m m
Е
кКинети калық энергия :
. 2 cos 1
4
0
2 2
t
A m
23 слайд
0 2 2 2 2 sin 2 2 t A m m Е кКинети калық энергия : . 2 cos 1 4 0 2 2 t A m
#24 слайд
Потенциал дық энергия
x
p
x m
Fdx Е
0
2 2
2
0
2
2 2
cos
2
t
A m
. 2 cos 1
4
0
2 2
t
A m
24 слайд
Потенциал дық энергия x p x m Fdx Е 0 2 2 2 0 2 2 2 cos 2 t A m . 2 cos 1 4 0 2 2 t A m
#25 слайд
2
2 2
A m
Е Е E
p к
Толық энергия:
,
2
2
const
A k
мұндағы
.
2
m k
25 слайд
2 2 2 A m Е Е E p к Толық энергия: , 2 2 const A k мұндағы . 2 m k
#26 слайд
26
29.10.23
26 слайд
26 29.10.23
#27 слайд
27 слайд
#28 слайд
Маятникті жерден айға
апарса , оның тербелістер
периоды қалай өзгереді. Ай
массасы жерден 81 есе кем , ал
жер радиусы айдікінен 3,7 есе
үлкен . Маятникті жерден айға
апарса , оның тербелістер
периоды қалай өзгереді. Ай
массасы жерден 81 есе кем , ал
жер радиусы айдікінен 3,7 есе
үлкен .
28 слайд
Маятникті жерден айға апарса , оның тербелістер периоды қалай өзгереді. Ай массасы жерден 81 есе кем , ал жер радиусы айдікінен 3,7 есе үлкен . Маятникті жерден айға апарса , оның тербелістер периоды қалай өзгереді. Ай массасы жерден 81 есе кем , ал жер радиусы айдікінен 3,7 есе үлкен .
#29 слайд
Маятниктің бірі 10 тербеліс
жасайды. Екіншісі дәл сондай
уақытта 6 тербеліс жасайды.
Маятниктердің ұзындықтарының
айырмасы 16 см. Маятниктердің l
1
және
l
2 ұзындықтарын табыңдар.Маятниктің бірі 10 тербеліс
жасайды. Екіншісі дәл сондай
уақытта 6 тербеліс жасайды.
Маятниктердің ұзындықтарының
айырмасы 16 см. Маятниктердің l
1
және
l
2 ұзындықтарын табыңдар.
29 слайд
Маятниктің бірі 10 тербеліс жасайды. Екіншісі дәл сондай уақытта 6 тербеліс жасайды. Маятниктердің ұзындықтарының айырмасы 16 см. Маятниктердің l 1 және l 2 ұзындықтарын табыңдар.Маятниктің бірі 10 тербеліс жасайды. Екіншісі дәл сондай уақытта 6 тербеліс жасайды. Маятниктердің ұзындықтарының айырмасы 16 см. Маятниктердің l 1 және l 2 ұзындықтарын табыңдар.
#30 слайд
Математикалық маятниктің h= 3,2
км биіктіктегі тербеліс периоды ,
жер бетіндегі тербеліс периодына тең
болу үшін ұзындығын қалай өзгерту
керек.Математикалық маятниктің h= 3,2
км биіктіктегі тербеліс периоды ,
жер бетіндегі тербеліс периодына тең
болу үшін ұзындығын қалай өзгерту
керек.
30 слайд
Математикалық маятниктің h= 3,2 км биіктіктегі тербеліс периоды , жер бетіндегі тербеліс периодына тең болу үшін ұзындығын қалай өзгерту керек.Математикалық маятниктің h= 3,2 км биіктіктегі тербеліс периоды , жер бетіндегі тербеліс периодына тең болу үшін ұзындығын қалай өзгерту керек.
#31 слайд
Амплитудасы 8 см –ге тең , 1 мин
уақыт ішінде 60 тербеліс жасайтын
гармоникалық тербелістің теңдеуін
жазыңдар?Амплитудасы 8 см –ге тең , 1 мин
уақыт ішінде 60 тербеліс жасайтын
гармоникалық тербелістің теңдеуін
жазыңдар?
31 слайд
Амплитудасы 8 см –ге тең , 1 мин уақыт ішінде 60 тербеліс жасайтын гармоникалық тербелістің теңдеуін жазыңдар?Амплитудасы 8 см –ге тең , 1 мин уақыт ішінде 60 тербеліс жасайтын гармоникалық тербелістің теңдеуін жазыңдар?
#32 слайд
Физикалық диктант
1) Дененің бірдей уақыт аралығында
дәлме-дәл немесе жуықтап
қайталанып отыратын қозғалысын
----------- айтады
2. Герц --------------- өлшем бірлігі.
3.Толық бір тербеліске кеткен уақыт
------ деп аталады.
4. = --------- формуласы.
5.Ығысуды ------ әрпімен белгілейді
32 слайд
Физикалық диктант 1) Дененің бірдей уақыт аралығында дәлме-дәл немесе жуықтап қайталанып отыратын қозғалысын ----------- айтады 2. Герц --------------- өлшем бірлігі. 3.Толық бір тербеліске кеткен уақыт ------ деп аталады. 4. = --------- формуласы. 5.Ығысуды ------ әрпімен белгілейді
#33 слайд
Физикалық диктант
1) Дененің бірдей уақыт аралығында
дәлме-дәл немесе жуықтап
қайталанып отыратын қозғалысын
тербеліс деп атайды.
2. Герц тербеліс жиілігінің өлшем
бірлігі.
3.Толық бір тербеліске кеткен уақыт
тербеліс периоды деп аталады.
4. = тербеліс жиілігінің формуласы.
5.Ығысуды х әрпімен белгілейді
33 слайд
Физикалық диктант 1) Дененің бірдей уақыт аралығында дәлме-дәл немесе жуықтап қайталанып отыратын қозғалысын тербеліс деп атайды. 2. Герц тербеліс жиілігінің өлшем бірлігі. 3.Толық бір тербеліске кеткен уақыт тербеліс периоды деп аталады. 4. = тербеліс жиілігінің формуласы. 5.Ығысуды х әрпімен белгілейді
шағым қалдыра аласыз













