Төртбұрыштар және оның түрлері

#1 слайд
Төртбұрыштар:
параллелограмм, ромб,
квадрат, трапеция
қасиеттері. Фалес
теоремасы.
Орындаған: Қыдырбайқызы Аружан мок-202
Тексерген: Ахмедиярова А.Т
1 слайд
Төртбұрыштар: параллелограмм, ромб, квадрат, трапеция қасиеттері. Фалес теоремасы. Орындаған: Қыдырбайқызы Аружан мок-202 Тексерген: Ахмедиярова А.Т
#2 слайд
Мазмұны
•
Төртбұрыш
•
Параллелограмм
•
Қасиеттері
•
Ромб
•
Қасиеттері
•
Квадрат
•
Қасиеттері
•
Трапеция
•
Қасиеттері
•
Фалес теоремасы
•
Есеп және шығарылу жолы
2 слайд
Мазмұны • Төртбұрыш • Параллелограмм • Қасиеттері • Ромб • Қасиеттері • Квадрат • Қасиеттері • Трапеция • Қасиеттері • Фалес теоремасы • Есеп және шығарылу жолы
#3 слайд
Төртбұрыш
Төртбұрыш — төрт нүктеден және
оларды тізбектей қосатын төрт
кесіндіден тұратын фигура.
Сонда бұл берілген нүктелердін
ешбір үшеуі бір түзудің бойында
жатпауы тиіс, ал оларды қосатын
кесінділер қиылыспайтын болуы
тиіс. берілген нүктелер төрбұрыштың
төбелері деп, ал оларды қосатын
кесінділер төртбұрыштың
қабырғалары деп аталады.
3 слайд
Төртбұрыш Төртбұрыш — төрт нүктеден және оларды тізбектей қосатын төрт кесіндіден тұратын фигура. Сонда бұл берілген нүктелердін ешбір үшеуі бір түзудің бойында жатпауы тиіс, ал оларды қосатын кесінділер қиылыспайтын болуы тиіс. берілген нүктелер төрбұрыштың төбелері деп, ал оларды қосатын кесінділер төртбұрыштың қабырғалары деп аталады.
#4 слайд
Параллелограмм
Параллелограмм –
қарама-қарсы
қабырғалары параллель
болатын, яғни параллель
түзулердің бойында
орналасқан төртбұрыш.
4 слайд
Параллелограмм Параллелограмм – қарама-қарсы қабырғалары параллель болатын, яғни параллель түзулердің бойында орналасқан төртбұрыш.
#5 слайд
Параллелограммның
қасиеттері
●
Қарама – қарсы орналасқан қабырғалары тең. :|AB|=|CD| , |AD|=|BC|}.
●
Қарсы жатқан бұрыштары тең. A=C,B=D.
●
Диагональдары қиылысады және қиылысу нүктесінде қақ бөлінеді. : |AO|=|
OC|}, |BO|=|OD|.
●
Бұрыштарының іргелес біржақты жатқан қабырғаларының қосындысы 180º-
қа тең.
●
Диагональдарының квадраттарының қосындысы оның барлық
қабырғаларының квадраттарының қосындысына тең.
5 слайд
Параллелограммның қасиеттері ● Қарама – қарсы орналасқан қабырғалары тең. :|AB|=|CD| , |AD|=|BC|}. ● Қарсы жатқан бұрыштары тең. A=C,B=D. ● Диагональдары қиылысады және қиылысу нүктесінде қақ бөлінеді. : |AO|=| OC|}, |BO|=|OD|. ● Бұрыштарының іргелес біржақты жатқан қабырғаларының қосындысы 180º- қа тең. ● Диагональдарының квадраттарының қосындысы оның барлық қабырғаларының квадраттарының қосындысына тең.
#6 слайд
Ромб
Ромб (гр. ρομβος) -
Барлық қабырғалары
тең
болатын параллелогра
ммды айтады.
6 слайд
Ромб Ромб (гр. ρομβος) - Барлық қабырғалары тең болатын параллелогра ммды айтады.
#7 слайд
Ромбтың
қасиеттері
•
Параллелограммның барлық
қасиеттері.
•
Дигоналдары перпендикуляр.
•
Диагоналдары өздері шығатын
бұрыштарының
биссектрисалары болып
табылады.
7 слайд
Ромбтың қасиеттері • Параллелограммның барлық қасиеттері. • Дигоналдары перпендикуляр. • Диагоналдары өздері шығатын бұрыштарының биссектрисалары болып табылады.
#8 слайд
Шаршы (Квадрат)
Шаршы деп сыбайлас
қабырғалары өзара
тең тіктөртбұрышты
айтады. Техникада
Шаршы тәрізді
тесіктері бар тетіктер
көп кезігеді.
8 слайд
Шаршы (Квадрат) Шаршы деп сыбайлас қабырғалары өзара тең тіктөртбұрышты айтады. Техникада Шаршы тәрізді тесіктері бар тетіктер көп кезігеді.
#9 слайд
Квадраттың Қасиеттері
●
Квадраттың диагоналдары тең
●
Квадраттың диагоналдары қиылысу нүктесінде тең
екіге бөлінеді
●
Квадраттың диагоналдары өзара перпендикуляр
●
Квадраттың диагоналдары оның бұрыштарының
биссектрисалары болады
9 слайд
Квадраттың Қасиеттері ● Квадраттың диагоналдары тең ● Квадраттың диагоналдары қиылысу нүктесінде тең екіге бөлінеді ● Квадраттың диагоналдары өзара перпендикуляр ● Квадраттың диагоналдары оның бұрыштарының биссектрисалары болады
#10 слайд
Трапеция
Трапеция деп тек
қарама – қарсы екі
қабырғасы параллель,
ал қалған екі қарама-
қарсы қабырғалары
киылысатын
төртбұрышты айтады.
10 слайд
Трапеция Трапеция деп тек қарама – қарсы екі қабырғасы параллель, ал қалған екі қарама- қарсы қабырғалары киылысатын төртбұрышты айтады.
#11 слайд
Трапецияның
қасиеттері
]
Трапеция ауданы былай
есептеледі
Ал орта сызығы1. Трапецияның орта сызығы оның табандарына параллель және сол табандардың
қосындысының жартысына тең болады.
2. Егер трапеция тең бүйірлі болса онда оның диагоналдары және табанындағы
бұрыштары тең болады.
3. Егер трапеция тең бүйірлі болса, онда оған сырттай шеңбер сызуға болады.
4. (3-ке кері.) Егер трапецияға сырттай шеңбер сызуға болатын болса, онда ол тең
бүйірлі. [1]
11 слайд
Трапецияның қасиеттері ] Трапеция ауданы былай есептеледі Ал орта сызығы1. Трапецияның орта сызығы оның табандарына параллель және сол табандардың қосындысының жартысына тең болады. 2. Егер трапеция тең бүйірлі болса онда оның диагоналдары және табанындағы бұрыштары тең болады. 3. Егер трапеция тең бүйірлі болса, онда оған сырттай шеңбер сызуға болады. 4. (3-ке кері.) Егер трапецияға сырттай шеңбер сызуға болатын болса, онда ол тең бүйірлі. [1]
#12 слайд
Фалес теоремасы
Егер бұрыштың қабырғаларын қиятын
параллель түзулер оның бір қабырғасында
тең кесінділер қиса, онда олар екінші
қабырғасында да тең кесінділе р қияды.
Бұрыштың қабырғаларымен қиылысатын
параллель түзулер бұрыштың
қабырғаларында пропорционал кесінділер
қияды.
12 слайд
Фалес теоремасы Егер бұрыштың қабырғаларын қиятын параллель түзулер оның бір қабырғасында тең кесінділер қиса, онда олар екінші қабырғасында да тең кесінділе р қияды. Бұрыштың қабырғаларымен қиылысатын параллель түзулер бұрыштың қабырғаларында пропорционал кесінділер қияды.
#13 слайд
• А1 , А2 нүктелері арқылы ОВ сәулесіне
параллель А1С1 , А2С2кесінділерін
жүргіземіз.
• ∆ А1С1 А2 = ∆А2С2 А3, өйткені ∠ А1С1 А2
= ∠ А2С2 А3
• ∠ С1 А2А1=∠С2 А3А2 –сәйкес бұрыштар,
A1 A2 = A2 A3 ( үшбұрыштар теңдігінің 2-
белгісі). Бұдан А1С1
=А2С2шығады.А1В1В2С1 , А2В2В3
С2параллелограмм болғандықтан, В1В2 =
А1С1 = А2С2 = В2В3 . Қалған кесінділердің
теңдігі(ОВ сәулесіндегі) де осыған ұқсас
дәлелденеді.
13 слайд
• А1 , А2 нүктелері арқылы ОВ сәулесіне параллель А1С1 , А2С2кесінділерін жүргіземіз. • ∆ А1С1 А2 = ∆А2С2 А3, өйткені ∠ А1С1 А2 = ∠ А2С2 А3 • ∠ С1 А2А1=∠С2 А3А2 –сәйкес бұрыштар, A1 A2 = A2 A3 ( үшбұрыштар теңдігінің 2- белгісі). Бұдан А1С1 =А2С2шығады.А1В1В2С1 , А2В2В3 С2параллелограмм болғандықтан, В1В2 = А1С1 = А2С2 = В2В3 . Қалған кесінділердің теңдігі(ОВ сәулесіндегі) де осыған ұқсас дәлелденеді.
#14 слайд
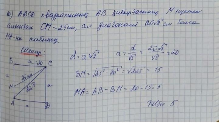
14 слайд
#15 слайд
Назарларыңызға
рахмет!
15 слайд
Назарларыңызға рахмет!
шағым қалдыра аласыз













