Заттың тығыздығы.Тығыздық бойынша есептер шығару.7-сынып

#1 слайд
Сабақ тақырыбы: Заттың тығыздығы және
тығыздықтың өлшем бірлігі. Есептер
шығару
Бөлім: Тығыздық
Пән, сынып: Физика, 7
1 слайд
Сабақ тақырыбы: Заттың тығыздығы және тығыздықтың өлшем бірлігі. Есептер шығару Бөлім: Тығыздық Пән, сынып: Физика, 7
#2 слайд
Оқу мақсаты:
туынды өлшем бірліктер мен негізгі ХБЖ
бірліктерді ажырату;
дұрыс, дұрыс емес пішінді және сұйықтардың
тығыздығын анықтау әдісін сипаттау;
тығыздықтың анықтамасын білу және тығыздық
= масса / көлем формуласы бойынша есеп жүргізу;
2 слайд
Оқу мақсаты: туынды өлшем бірліктер мен негізгі ХБЖ бірліктерді ажырату; дұрыс, дұрыс емес пішінді және сұйықтардың тығыздығын анықтау әдісін сипаттау; тығыздықтың анықтамасын білу және тығыздық = масса / көлем формуласы бойынша есеп жүргізу;
#3 слайд
Сөздік
Масса Mass Масса
Көлем Volume Объем
Өлшеу Measure Измерение
Дене
Body
Тело
Тығыздық Density Плотность
3 слайд
Сөздік Масса Mass Масса Көлем Volume Объем Өлшеу Measure Измерение Дене Body Тело Тығыздық Density Плотность
#4 слайд
Белгіленуі
(грек әрпі «ро»)
ρ
4 слайд
Белгіленуі (грек әрпі «ро») ρ
#5 слайд
Формула
Тығыздық
=
масс
а
көле
м
V
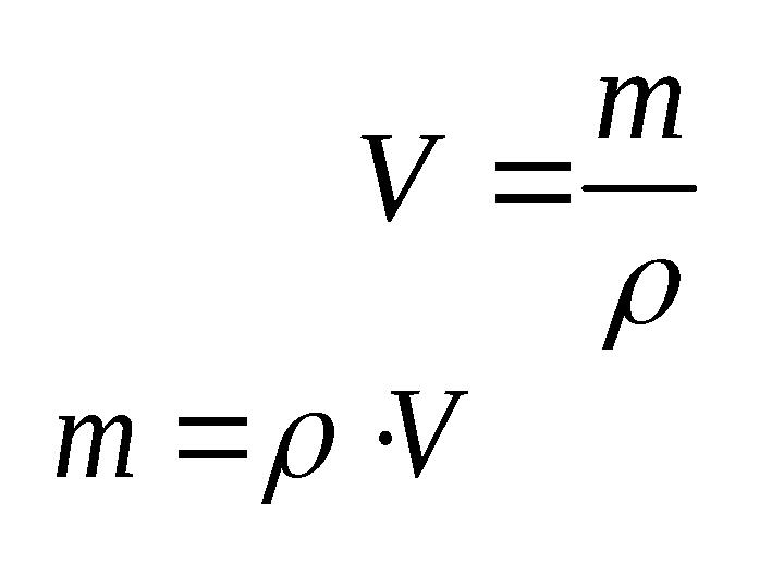
m
5 слайд
Формула Тығыздық = масс а көле м V m
#6 слайд
Vm
m
V
6 слайд
Vm m V
#7 слайд
Өлшем бірліктері
ρ = кг/м
3
ρ = г/см
3
7 слайд
Өлшем бірліктері ρ = кг/м 3 ρ = г/см 3
#8 слайд
1000 5 г/см
3 5000 кг/м
3
8 слайд
1000 5 г/см 3 5000 кг/м 3
#9 слайд
Белгілері
• Скаляр
• Әрбір зат
үшін тұрақты
9 слайд
Белгілері • Скаляр • Әрбір зат үшін тұрақты
#10 слайд
Өлшеу тәсілдері
а
b
c
Дененің массасы мен көлемін өлшеп,
тығыздығын есептеу.
10 слайд
Өлшеу тәсілдері а b c Дененің массасы мен көлемін өлшеп, тығыздығын есептеу.
#11 слайд
Неге бір заттың үш күйінде (қатты, сұйық, газ)
тығыздықтары әр түрлі болады?
900кг/м
3
1000кг/м
3
0,590кг/м
3
Н
2
О
11 слайд
Неге бір заттың үш күйінде (қатты, сұйық, газ) тығыздықтары әр түрлі болады? 900кг/м 3 1000кг/м 3 0,590кг/м 3 Н 2 О
#12 слайд
1.Суретте шарлардың массасы өзара тең.
Заттардың тығыздығы бірдей ме?
12 слайд
1.Суретте шарлардың массасы өзара тең. Заттардың тығыздығы бірдей ме?
#13 слайд
2. Ас тұзының ірі кесектерінің тығыздығы 2160
кг/м
3
, ал майдаланған ұнтақтарының тығыздығы
800 кг/м
3
. Неге?
3°. Газ күйдегі сутектің тығыздығы 0,09 кг/м
3
, ал
сұйық күйінде 69 кг/м
3
, қатты күйінде 80 кг/м
3
.
Сутек тығыздығынын өзгеру себебі неде?
13 слайд
2. Ас тұзының ірі кесектерінің тығыздығы 2160 кг/м 3 , ал майдаланған ұнтақтарының тығыздығы 800 кг/м 3 . Неге? 3°. Газ күйдегі сутектің тығыздығы 0,09 кг/м 3 , ал сұйық күйінде 69 кг/м 3 , қатты күйінде 80 кг/м 3 . Сутек тығыздығынын өзгеру себебі неде?
#14 слайд
4. Ауыз су құйылған шелек пен теңіз суын
құйған дәл сондай шелектің массасы бірдей
ме?
5. Ағаш, алюминий және болат шарлардың
мөлшері бірдей. Олардың қайсысының
массасы ең үлкен, кайсыныкі ең кіші?
14 слайд
4. Ауыз су құйылған шелек пен теңіз суын құйған дәл сондай шелектің массасы бірдей ме? 5. Ағаш, алюминий және болат шарлардың мөлшері бірдей. Олардың қайсысының массасы ең үлкен, кайсыныкі ең кіші?
#15 слайд
5. Табақтары теңелген таразының үстінде
кубиктер орналастырылған. Кубиктер
жасалған заттардың тығыздығы бірдей ме?
15 слайд
5. Табақтары теңелген таразының үстінде кубиктер орналастырылған. Кубиктер жасалған заттардың тығыздығы бірдей ме?
#16 слайд
Үй жұмысы:
32 тақырыпты оқу, ареометр жасау,
4.2. эксперименттік тапсырма
16 слайд
Үй жұмысы: 32 тақырыпты оқу, ареометр жасау, 4.2. эксперименттік тапсырма
шағым қалдыра аласыз













