Бекітемін:
|
Бөлім: |
10.3В Функцияның шегі және үзіліссіздігі |
||||||||||||
|
Педагогтің аты-жөні: |
|
||||||||||||
|
Күні: |
|
||||||||||||
|
Сынып: 10 |
Қатысушылар саны: |
Қатыспағандар саны: |
|||||||||||
|
Сабақтың тақырыбы: |
Функция графигінің асимптоталары |
||||||||||||
|
Оқу бағдарламасына сәйкес оқыту мақсаттары: |
10.4.1.10 - функция графигіне жүргізілген асимптотаның анықтамасын білу және асимптоталардың теңдеулерін құра білу |
||||||||||||
|
Сабақтың мақсаты: |
- Оқушылар сандық тізбектің шегін табу анықтамасын және қасиеттерін біледі. - Оқушылар функцияның нүктедегі және шексіздіктегі шегі ұғымын оқып біледі, шектерді есептей алады |
||||||||||||
|
Құндылықтар: |
Заң және тәртіп -Құқықтық жүйе мен адам құқықтарының негіздерін білу -Тәртіп пен әділеттілік нормалар мен ережелерін сақтау қажеттілігін түсіну -Қоғамдағы тәртіп пен қауіпсіздікті сақтау үшін құқықтық нормалар мен ережелерге сәйкес әрекет ете алу |
||||||||||||
|
Уақыты |
Кезең дері |
Педагогтің әрекеті |
Оқушының әрекеті |
Бағалау |
Ресурстар |
||||||||
|
5 минут |
Ұйымдас тыру |
Сәлеметсіздерме! Бүгін, Функция графигінің асимптоталары тақырыбын қарастырамыз. Бүгінгі сабақта меңгеретініңіз: - функция графигіне жүргізілген асимптотаның анықтамасын білу және асимптоталардың теңдеулерін құра білу Ұйымдастыру. Үй жұмысын тексеру. |
Амандасады. Үй тапсырмасын айтады. |
|
Оқулық |
||||||||
|
10 мин |
Негізгі бөлім |
Жаңа сабақ Функция графигін салуда бізге функцияның шексіздіктегі және функция анықталмаған нүктелер маңайындағы өзгерісін білу керектігін естеріне салыңыз. «Асимптота» ұғымын енгізіңіз және асимптоталардың геометриялық мағынасын көрсетіңіз. Жоғарыда аталған жағдайларды сипаттау үшін «асимптота» терминін анықтаймыз. Қисықтың асимптотасы деп, қисық нүктесінің қисық бойымен шексіздікке ұмтылғанда шектеусіз түрде жақындай түсетін түзуді айтамыз. Оқушылармен
бірігіп Функция (-1; ∞) интервалында өспелі. Бірақ осы интервалда функция шектеусіз (шексіз) өседі деп тұжырымдамау керек. Осы функция графигінен көріп отырғанымыздай, графигі y=1 түзуіне шексуз жақындай түседі. Мұндай жағдайда
біз y=1 түзуі
Әрі
қарай, х=
-1 болғанда функция анықталмаған.
Функцияның осы нүкте маңайындағы өзгеруін қарасттырайық. Графиктен
көріп отырғанымыздай, осы нүктеге сол жағынан жақындағанда график
плюс шексіздікке ұмтылады, ал осы нүктеге оң жағынан жақындағанда
функция графигі минус шексіздікке ұмтылады. Мұндай
жағдайда х=
-1 түзуі Анықтама.х=а
түзуі f(x) функциясы графигінің вертикаль асимптотасы
болып табылады, егер не
Мысал
1. P(x)=x және
Q(x)=x2-4
болсын. х=2 және
х=-2 f(x) функциясының түбірлері екенін
байқаймыз. Р(-2)≠0 және Р(2)≠0 болғандықтан, х=2 және х=-2
түзулері Анықтама.y=b түзуі
f(x) функциясы
графигінің горизонталь
асимптотасы болып табылады, егер
не
|
Қосымша ақпарат көздерін пайдалана отырып түсінеді Тақырып бойынша ресурстарды қарап, танысады. Сұрақтарға жауап береді.
|
«Екі жұлдыз бір ұсыныс» Дескриптор:
|
Оқулық |
||||||||
|
25 мин |
Бекіту тапсырма лары |
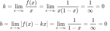
Тапсырмалар: Берілген функциялардың асимптоталарын табыңыздар: №1.
яғни
х
k = 0 көлбеу асимптотасы жоқ
Табылған к мен в мәндерін y = kx + b формуласына қойып,
№2.
№3.
шешуі: вертикаль асимптотасы жоқ
Оқулықтан №39.1, №39.3. Сергіту сәті. Логикалық тапсырмалар. |
Есептер шығарады Берілген тапсырма бойынша өз ойларын ортаға салып, пікірлерін білдіріп, топтық талдау жасайды. Талқылау нәтижесінде өзара бір келісімге келіп есепті орындайды. Өз бетімен жұмыс. №4. №6.
|
Дескриптор:
ҚБ «Екi жұлдыз бiр тiлек» әдiсi .Бiрiн-бiрi бағалау Дескриптор:
|
Интернет ресурстары Жалпы білім беретін мектептің 10–сыныбына арналған оқулық. |
||||||||
|
|
Жеке жұмыс |
№1f(x) функциясы графигінің барлық асимптоталарын табыңыз. 1.
4.
|
Тапсырмаларды орындайды. |
Парақша лар |
|||||||||
|
5 минут |
|
Бүгінгі сабақта: - функция графигіне жүргізілген асимптотаның анықтамасын біледі және асимптоталардың теңдеулерін құра алады Кері байланыс:
|
Тақырыпты меңгергенін анықтау
Үйге тапсырма. №39.2, №39.4. |
Кері байланыс |
|
||||||||
жүктеу мүмкіндігіне ие боласыз
Бұл материал сайт қолданушысы жариялаған. Материалдың ішінде жазылған барлық ақпаратқа жауапкершілікті жариялаған қолданушы жауап береді. Ұстаз тілегі тек ақпаратты таратуға қолдау көрсетеді. Егер материал сіздің авторлық құқығыңызды бұзған болса немесе басқа да себептермен сайттан өшіру керек деп ойласаңыз осында жазыңыз
10 сынып алгебра 3 тоқсан 17 сабақ Функция графигінің асимптоталары
10 сынып алгебра 3 тоқсан 17 сабақ Функция графигінің асимптоталары
Бекітемін:
|
Бөлім: |
10.3В Функцияның шегі және үзіліссіздігі |
||||||||||||
|
Педагогтің аты-жөні: |
|
||||||||||||
|
Күні: |
|
||||||||||||
|
Сынып: 10 |
Қатысушылар саны: |
Қатыспағандар саны: |
|||||||||||
|
Сабақтың тақырыбы: |
Функция графигінің асимптоталары |
||||||||||||
|
Оқу бағдарламасына сәйкес оқыту мақсаттары: |
10.4.1.10 - функция графигіне жүргізілген асимптотаның анықтамасын білу және асимптоталардың теңдеулерін құра білу |
||||||||||||
|
Сабақтың мақсаты: |
- Оқушылар сандық тізбектің шегін табу анықтамасын және қасиеттерін біледі. - Оқушылар функцияның нүктедегі және шексіздіктегі шегі ұғымын оқып біледі, шектерді есептей алады |
||||||||||||
|
Құндылықтар: |
Заң және тәртіп -Құқықтық жүйе мен адам құқықтарының негіздерін білу -Тәртіп пен әділеттілік нормалар мен ережелерін сақтау қажеттілігін түсіну -Қоғамдағы тәртіп пен қауіпсіздікті сақтау үшін құқықтық нормалар мен ережелерге сәйкес әрекет ете алу |
||||||||||||
|
Уақыты |
Кезең дері |
Педагогтің әрекеті |
Оқушының әрекеті |
Бағалау |
Ресурстар |
||||||||
|
5 минут |
Ұйымдас тыру |
Сәлеметсіздерме! Бүгін, Функция графигінің асимптоталары тақырыбын қарастырамыз. Бүгінгі сабақта меңгеретініңіз: - функция графигіне жүргізілген асимптотаның анықтамасын білу және асимптоталардың теңдеулерін құра білу Ұйымдастыру. Үй жұмысын тексеру. |
Амандасады. Үй тапсырмасын айтады. |
|
Оқулық |
||||||||
|
10 мин |
Негізгі бөлім |
Жаңа сабақ Функция графигін салуда бізге функцияның шексіздіктегі және функция анықталмаған нүктелер маңайындағы өзгерісін білу керектігін естеріне салыңыз. «Асимптота» ұғымын енгізіңіз және асимптоталардың геометриялық мағынасын көрсетіңіз. Жоғарыда аталған жағдайларды сипаттау үшін «асимптота» терминін анықтаймыз. Қисықтың асимптотасы деп, қисық нүктесінің қисық бойымен шексіздікке ұмтылғанда шектеусіз түрде жақындай түсетін түзуді айтамыз. Оқушылармен
бірігіп Функция (-1; ∞) интервалында өспелі. Бірақ осы интервалда функция шектеусіз (шексіз) өседі деп тұжырымдамау керек. Осы функция графигінен көріп отырғанымыздай, графигі y=1 түзуіне шексуз жақындай түседі. Мұндай жағдайда
біз y=1 түзуі
Әрі
қарай, х=
-1 болғанда функция анықталмаған.
Функцияның осы нүкте маңайындағы өзгеруін қарасттырайық. Графиктен
көріп отырғанымыздай, осы нүктеге сол жағынан жақындағанда график
плюс шексіздікке ұмтылады, ал осы нүктеге оң жағынан жақындағанда
функция графигі минус шексіздікке ұмтылады. Мұндай
жағдайда х=
-1 түзуі Анықтама.х=а
түзуі f(x) функциясы графигінің вертикаль асимптотасы
болып табылады, егер не
Мысал
1. P(x)=x және
Q(x)=x2-4
болсын. х=2 және
х=-2 f(x) функциясының түбірлері екенін
байқаймыз. Р(-2)≠0 және Р(2)≠0 болғандықтан, х=2 және х=-2
түзулері Анықтама.y=b түзуі
f(x) функциясы
графигінің горизонталь
асимптотасы болып табылады, егер
не
|
Қосымша ақпарат көздерін пайдалана отырып түсінеді Тақырып бойынша ресурстарды қарап, танысады. Сұрақтарға жауап береді.
|
«Екі жұлдыз бір ұсыныс» Дескриптор:
|
Оқулық |
||||||||
|
25 мин |
Бекіту тапсырма лары |
Тапсырмалар: Берілген функциялардың асимптоталарын табыңыздар: №1.
яғни
х
k = 0 көлбеу асимптотасы жоқ
Табылған к мен в мәндерін y = kx + b формуласына қойып,
№2.
№3.
шешуі: вертикаль асимптотасы жоқ
Оқулықтан №39.1, №39.3. Сергіту сәті. Логикалық тапсырмалар. |
Есептер шығарады Берілген тапсырма бойынша өз ойларын ортаға салып, пікірлерін білдіріп, топтық талдау жасайды. Талқылау нәтижесінде өзара бір келісімге келіп есепті орындайды. Өз бетімен жұмыс. №4. №6.
|
Дескриптор:
ҚБ «Екi жұлдыз бiр тiлек» әдiсi .Бiрiн-бiрi бағалау Дескриптор:
|
Интернет ресурстары Жалпы білім беретін мектептің 10–сыныбына арналған оқулық. |
||||||||
|
|
Жеке жұмыс |
№1f(x) функциясы графигінің барлық асимптоталарын табыңыз. 1.
4.
|
Тапсырмаларды орындайды. |
Парақша лар |
|||||||||
|
5 минут |
|
Бүгінгі сабақта: - функция графигіне жүргізілген асимптотаның анықтамасын біледі және асимптоталардың теңдеулерін құра алады Кері байланыс:
|
Тақырыпты меңгергенін анықтау
Үйге тапсырма. №39.2, №39.4. |
Кері байланыс |
|
||||||||
шағым қалдыра аласыз
, не
.
, не
























