Бекітемін:
|
Бөлім: |
10.3С Туынды |
||||||||||||
|
Педагогтің аты-жөні: |
|
||||||||||||
|
Күні: |
|
||||||||||||
|
Сынып: 10 |
Қатысушылар саны: |
Қатыспағандар саны: |
|||||||||||
|
Сабақтың тақырыбы: |
Тригонометриялық функциялардың туындылары |
||||||||||||
|
Оқу бағдарламасына сәйкес оқыту мақсаттары: |
10.4.1.23 - тригонометриялық функциялардың туындыларын табу; |
||||||||||||
|
Құндылықтар: |
Тәуелсіздік және отаншылдық -Отанға адалдықтың маңызын бағалау, елінің тарихы мен мәдениетін құрметтеу -Отбасының дәстүрі мен құндылықтарын білу -Ұлттық және мәдени бірегейлікті сезіну -Мемлекеттік тілдің қолдану аясын кеңейтуге үлес қосу |
||||||||||||
|
Сабақтың барысы: |
|||||||||||||
|
Уақыты |
Кезең дері |
Педагогтің әрекеті |
Оқушының әрекеті |
Бағалау |
Ресурстар |
||||||||
|
5 минут |
Ұйымдас тыру |
Сәлеметсіздерме! Бүгін, Тригонометриялық функциялардың туындылары тақырыбын қарастырамыз. Бүгінгі сабақта меңгеретініңіз: - тригонометриялық функциялардың туындыларын табу; Ұйымдастыру. Үй жұмысын тексеру. |
Амандасады. Үй тапсырмасын айтады. Тақырып бойынша ресурстарды қарап, танысады. |
|
Оқулық |
||||||||
|
10 мин |
Негізгі бөлім |
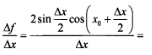
Тригонометриялық функциялардың туындыларын қарастырайық.Функция туындысының анықтамасы бойынша ƒ(x)=sin x функциясының туындысының формуласын қорытып шығайық. 1) Функция өсімшесін табайық: (синустар айырмасының формуласын қоланамыз)
2) Функция өсімшесін аргумент өсімшесіне бөлеміз:
3) Туындыны табамыз:
= 1 cos x0=cos x0 Сонымен f '(х) =cos x екені дәлелденді. Осылайша (cos х)' = - sin x формуласын қорытамыз.
|
Қосымша ақпарат көздерін пайдалана отырып түсінеді Сұрақтарға жауап береді. ТЖ. Екі топқа бөліп тангенс пен котангенстің туындыларын табу формуласы қорытылады. Топтар презентация жасайды. Алдың ала келісілген критерийлер бойынша топтар бірін бірі бағалайды . Тригонометриялық функциялардың туындысын табу кестесін жасайды.
|
«Екі жұлдыз бір ұсыныс» Дескриптор: - күрделі функцияның туындысын таба алады. |
Оқулық |
||||||||
|
25 мин |
Бекіту тапсырма лары |
Тапсырмалар. Функциялардың туындысын табу: І деңгей. ƒ(x)=sin 2x, ƒ(x)=cos (3x+1), ƒ(x)=tg (2x-3), ƒ(x)=ctg(-5x) II деңгей. ƒ(x)=(sin x)2, ƒ(x)=tg (x2) III деңгей. ƒ(x)=(cos x)4 + (sin x)4, ƒ(x)=5sin 10x cos 8x |
Берілген тапсырма бойынша өз ойларын ортаға салып, пікірлерін білдіріп, топтық талдау жасайды. Талқылау нәтижесінде өзара бір келісімге келіп есепті орындайды. Өз бетімен жұмыс.
Оқулықтан №44.4, №44.5. Сергіту сәті. Логикалық тапсырмалар. |
Дескриптор: -Тригонометрия лық функциялардың туындыларын табу формулаларын қолданады - күрделі функцияның туындысын табу ережесін қолданады -Тригономертиялық формуларды қолданады ҚБ «Екi жұлдыз бiр тiлек» әдiсi .Бiрiн-бiрi бағалау |
Интернет ресурстары Жалпы білім беретін мектептің 10–сыныбына арналған оқулық. |
||||||||
|
|
Жеке жұмыс |
Оқулықтан №44.6. |
Оқушылар жеке параққа жұмысты орындайды, нәтижесі жетістік критерийі бойынша бағаланады. |
Парақша лар |
|||||||||
|
5 минут |
|
Бүгінгі сабақта: - тригонометриялық функциялардың туындыларын таба алады. Кері байланыс:
|
Тақырыпты меңгергенін анықтау
Үйге тапсырма. |
Кері байланыс |
|
||||||||
жүктеу мүмкіндігіне ие боласыз
Бұл материал сайт қолданушысы жариялаған. Материалдың ішінде жазылған барлық ақпаратқа жауапкершілікті жариялаған қолданушы жауап береді. Ұстаз тілегі тек ақпаратты таратуға қолдау көрсетеді. Егер материал сіздің авторлық құқығыңызды бұзған болса немесе басқа да себептермен сайттан өшіру керек деп ойласаңыз осында жазыңыз
10 сынып алгебра 3 тоқсан 35 сабақ Тригонометриялық функциялардың туындылары
10 сынып алгебра 3 тоқсан 35 сабақ Тригонометриялық функциялардың туындылары
Бекітемін:
|
Бөлім: |
10.3С Туынды |
||||||||||||
|
Педагогтің аты-жөні: |
|
||||||||||||
|
Күні: |
|
||||||||||||
|
Сынып: 10 |
Қатысушылар саны: |
Қатыспағандар саны: |
|||||||||||
|
Сабақтың тақырыбы: |
Тригонометриялық функциялардың туындылары |
||||||||||||
|
Оқу бағдарламасына сәйкес оқыту мақсаттары: |
10.4.1.23 - тригонометриялық функциялардың туындыларын табу; |
||||||||||||
|
Құндылықтар: |
Тәуелсіздік және отаншылдық -Отанға адалдықтың маңызын бағалау, елінің тарихы мен мәдениетін құрметтеу -Отбасының дәстүрі мен құндылықтарын білу -Ұлттық және мәдени бірегейлікті сезіну -Мемлекеттік тілдің қолдану аясын кеңейтуге үлес қосу |
||||||||||||
|
Сабақтың барысы: |
|||||||||||||
|
Уақыты |
Кезең дері |
Педагогтің әрекеті |
Оқушының әрекеті |
Бағалау |
Ресурстар |
||||||||
|
5 минут |
Ұйымдас тыру |
Сәлеметсіздерме! Бүгін, Тригонометриялық функциялардың туындылары тақырыбын қарастырамыз. Бүгінгі сабақта меңгеретініңіз: - тригонометриялық функциялардың туындыларын табу; Ұйымдастыру. Үй жұмысын тексеру. |
Амандасады. Үй тапсырмасын айтады. Тақырып бойынша ресурстарды қарап, танысады. |
|
Оқулық |
||||||||
|
10 мин |
Негізгі бөлім |
Тригонометриялық функциялардың туындыларын қарастырайық.Функция туындысының анықтамасы бойынша ƒ(x)=sin x функциясының туындысының формуласын қорытып шығайық. 1) Функция өсімшесін табайық: (синустар айырмасының формуласын қоланамыз)
2) Функция өсімшесін аргумент өсімшесіне бөлеміз:
3) Туындыны табамыз:
= 1 cos x0=cos x0 Сонымен f '(х) =cos x екені дәлелденді. Осылайша (cos х)' = - sin x формуласын қорытамыз.
|
Қосымша ақпарат көздерін пайдалана отырып түсінеді Сұрақтарға жауап береді. ТЖ. Екі топқа бөліп тангенс пен котангенстің туындыларын табу формуласы қорытылады. Топтар презентация жасайды. Алдың ала келісілген критерийлер бойынша топтар бірін бірі бағалайды . Тригонометриялық функциялардың туындысын табу кестесін жасайды.
|
«Екі жұлдыз бір ұсыныс» Дескриптор: - күрделі функцияның туындысын таба алады. |
Оқулық |
||||||||
|
25 мин |
Бекіту тапсырма лары |
Тапсырмалар. Функциялардың туындысын табу: І деңгей. ƒ(x)=sin 2x, ƒ(x)=cos (3x+1), ƒ(x)=tg (2x-3), ƒ(x)=ctg(-5x) II деңгей. ƒ(x)=(sin x)2, ƒ(x)=tg (x2) III деңгей. ƒ(x)=(cos x)4 + (sin x)4, ƒ(x)=5sin 10x cos 8x |
Берілген тапсырма бойынша өз ойларын ортаға салып, пікірлерін білдіріп, топтық талдау жасайды. Талқылау нәтижесінде өзара бір келісімге келіп есепті орындайды. Өз бетімен жұмыс.
Оқулықтан №44.4, №44.5. Сергіту сәті. Логикалық тапсырмалар. |
Дескриптор: -Тригонометрия лық функциялардың туындыларын табу формулаларын қолданады - күрделі функцияның туындысын табу ережесін қолданады -Тригономертиялық формуларды қолданады ҚБ «Екi жұлдыз бiр тiлек» әдiсi .Бiрiн-бiрi бағалау |
Интернет ресурстары Жалпы білім беретін мектептің 10–сыныбына арналған оқулық. |
||||||||
|
|
Жеке жұмыс |
Оқулықтан №44.6. |
Оқушылар жеке параққа жұмысты орындайды, нәтижесі жетістік критерийі бойынша бағаланады. |
Парақша лар |
|||||||||
|
5 минут |
|
Бүгінгі сабақта: - тригонометриялық функциялардың туындыларын таба алады. Кері байланыс:
|
Тақырыпты меңгергенін анықтау
Үйге тапсырма. |
Кері байланыс |
|
||||||||
шағым қалдыра аласыз
















