Бекітемін:
|
Бөлім: |
Туындының қолданылуы |
|
Педагогтің аты-жөні: |
|
|
Күні: |
|
|
Сыныбы: 10 |
Қатысушылар саны: Қатыспағандар саны: |
|
Сабақтың тақырыбы: |
Функцияның өсу және кему белгілері |
|
Оқу бағдарламасына сәйкес оқу мақсаты: |
10.4.1.27 - функцияның өсу (кему) аралықтарын табу |
|
Сабақтың мақсаты: |
Білім алушылар функцияның өсу немесе кему аралықтарын табады. |
|
Құндылықтар: |
Еңбекқорлық және кәсіби біліктілік айы -Еңбекті, өзінің және басқалардың еңбек нәтижелерін бағалау - Еңбекті, мамандықтарды практикалық тұрғыда зерттеуге қызығушылық таныту - Еңбек қоғамның және жеке әл-әуқаттың негізі екенін түсіну -Еңбек қызметінің ерекшелігін түсіну, еңбек қатынастарын реттеу, өзін-өзі тәрбиелеу және кәсіби өзін-өзі тәрбиелеу |
Сабақтың барысы:
|
Сабақ кезеңі/Уақыты |
Педагогтің іс-әрекеті |
Оқушының іс-әрекеті |
Бағалау |
Ресурстар |
|||||
|
Сабақтың басы Қызығушылықты ояту. 5 мин. |
(Ұ). Ұйымдастыру кезеңі: 1.Оқушылар- мен амандасу, түгендеу. 2.Ынтымақ-тастық атмосферасын қалыптастыру 1.Мұғалім оқушыларды түгендейді. 2.Амандасады және тілектерін білдіреді. |
1.Оқушылар мұғалім- мен амандасады. 2. Сабаққа дайындалады.
|
«Жарайсың!», «Керемет!» деген мақтау сөздерімен бағалайды. |
Кітап, дәптер, қалам Тақта слайд |
|||||
|
Жаңа сабаққа кіріспе
10мин |
(Ұ) «Миға шабуыл» Сұрақтар: 1)функцияның өсу, кему аралықтары қалай табылады? |
|
Дескриптор: 1. Әр оқушы өз ойымен бөліседі. 2. Өзгенің пікірін толықтырады. |
Кітап, дәптер, қалам Тақта слайд
|
|||||
|
Мұғалім: Оқулықтағы жаңа сабақтың мәтінін оқуға тапсырма береді. Мысал көрсетеді . 1.Теорема. Функцияның өсу және кемуінің қажетті шарты: Егер f (x ) функциясы берілген аралықта өспелі болса, онда оcы аралықта fʹ (x))>0 болады.
Егер f (x функциясы берілген аралықта кемімелі болса, онда оcы аралықта f (x)˂0болады.
|
Оқушылар:1.Оқулықты оқып танысып шығады. 2.Тірек сөздермен танысып, өз дәптерлеріне жазып алады
2.Функцияның өсу және кему аралығын табу алгоритмі
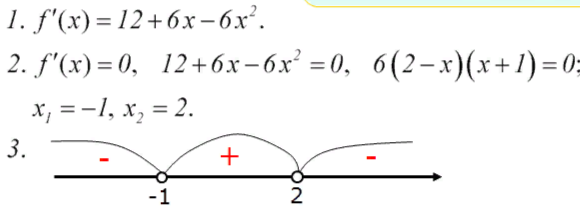
Функцияның кему, өсужағдайынтексеру(f|(x)>0-функция өседі, f/(x)<0 функция кемиді Мысал:
Функциясының өсу , кему аралығын табайық Шешуі:
[1;2] аралығында өседі |
Оқушылардың белсенділігі үшін «Жарайсың!», «Керемет!» деген сақтау сөздерімен бағалайды |
ДК экраны ДК экраны 10-сынып оқулығы. Жұмыс дәптерлері. Слайд. |
||||||
|
Сабақтың ортасы 25минут
Бекіту тапсырмаларын орындайды |
1-тапсырма f(x) функциясының өсу және кему аралығын тап
|
жауабы
|
Дескриптор: Функцияның өсу аралығын табады Функцияның кему аралығын табады
|
ДК экраны 10-сынып оқулығы. Жұмыс дәптерлері. Слайд. |
|||||
|
|
2- тапсырма
Функцияның өсу және кему аралығын табыңыз ; графигін сызыңыз |
|
Дескриптор: -Функцияның анықталу облысын табады; -Функцияның туындысын табады; Функцияның өсу аралығын табады Функцияның кему аралығын табады |
ДК экраны 10-сынып оқулығы. Жұмыс дәптерлері. Слайд. |
|||||
|
3-тапсырма 47.3 y=f(x) функциясының өсу және кему аралықтарын табады. 1)f(x)=7x+1 2)f(x)=3+8x 3)f(x)=-2x-13 4)f(x)=10-4x. |
4-тапсырма 112. y=f(x) функциясының анықталу облысында өспелі болатынын дәлелдейді. 1)f(x)=6x+cosx; 2)f(x)=9x+sinx; 3)f(x)= -7х+cosx.
|
Дескриптор: 1.Есеп мазмұнын түсінеді. 2.Оң болатын аралықтарды табады. 3.Теріс болатын аралықтарды табады. Жалпы - 3 балл
|
ДК экраны 10-сынып Абылкасымов оқулығы. Жұмыс дәптерлері. Слайд |
||||||
|
Қорытынды
Сабақтың соңы Ой толғаныс. Рефлексия 5мин. |
2.f x функциясы өспелі және кемімелі болатын аралықтарды табыңыз.
|
сұрак бойынша: Өсу аралығын табады Ф-ң кему аралығын табады |
Оқушылардың белсенділігі үшін «Жарайсың!», «Керемет!» деген сақтау сөздерімен бағалайды |
ДК экраны 10-сынып оқулығы. Жұмыс дәптерлері. Слайд. |
|||||
|
«Білім поштасы» әдісі. Мұғалім сабақты оқушылардың пікірін анықтайды. Жинақталған деректердің құнды болуын қадағалайды. Саралау: Бұл кезеңде саралаудың «Қорытынды» тәсілі көрінеді. Үйге тапсырма: № есеп |
Оқушылар бүгінгі сабақтың мақсатына жеткізетін тапсырмалар орындауына қарай, өз түсінгенін, пікірін, өз ойын айту арқылы сабаққа қорытынды жасайды. Хат толтырып, білім поштасына салады
|
Мұғалім оқушыларды 1-10 баллдық жүйе бойынша оқушылардың сабаққа қатысу белсенділігі бойынша бағаланады. |
ДК экраны Слайд.
Білім поштасы, хаттар |
||||||
жүктеу мүмкіндігіне ие боласыз
Бұл материал сайт қолданушысы жариялаған. Материалдың ішінде жазылған барлық ақпаратқа жауапкершілікті жариялаған қолданушы жауап береді. Ұстаз тілегі тек ақпаратты таратуға қолдау көрсетеді. Егер материал сіздің авторлық құқығыңызды бұзған болса немесе басқа да себептермен сайттан өшіру керек деп ойласаңыз осында жазыңыз
10 сынып алгебра 4 тоқсан 2 сабақ Функцияның өсу және кему белгілері
10 сынып алгебра 4 тоқсан 2 сабақ Функцияның өсу және кему белгілері
Бекітемін:
|
Бөлім: |
Туындының қолданылуы |
|
Педагогтің аты-жөні: |
|
|
Күні: |
|
|
Сыныбы: 10 |
Қатысушылар саны: Қатыспағандар саны: |
|
Сабақтың тақырыбы: |
Функцияның өсу және кему белгілері |
|
Оқу бағдарламасына сәйкес оқу мақсаты: |
10.4.1.27 - функцияның өсу (кему) аралықтарын табу |
|
Сабақтың мақсаты: |
Білім алушылар функцияның өсу немесе кему аралықтарын табады. |
|
Құндылықтар: |
Еңбекқорлық және кәсіби біліктілік айы -Еңбекті, өзінің және басқалардың еңбек нәтижелерін бағалау - Еңбекті, мамандықтарды практикалық тұрғыда зерттеуге қызығушылық таныту - Еңбек қоғамның және жеке әл-әуқаттың негізі екенін түсіну -Еңбек қызметінің ерекшелігін түсіну, еңбек қатынастарын реттеу, өзін-өзі тәрбиелеу және кәсіби өзін-өзі тәрбиелеу |
Сабақтың барысы:
|
Сабақ кезеңі/Уақыты |
Педагогтің іс-әрекеті |
Оқушының іс-әрекеті |
Бағалау |
Ресурстар |
|||||
|
Сабақтың басы Қызығушылықты ояту. 5 мин. |
(Ұ). Ұйымдастыру кезеңі: 1.Оқушылар- мен амандасу, түгендеу. 2.Ынтымақ-тастық атмосферасын қалыптастыру 1.Мұғалім оқушыларды түгендейді. 2.Амандасады және тілектерін білдіреді. |
1.Оқушылар мұғалім- мен амандасады. 2. Сабаққа дайындалады.
|
«Жарайсың!», «Керемет!» деген мақтау сөздерімен бағалайды. |
Кітап, дәптер, қалам Тақта слайд |
|||||
|
Жаңа сабаққа кіріспе
10мин |
(Ұ) «Миға шабуыл» Сұрақтар: 1)функцияның өсу, кему аралықтары қалай табылады? |
|
Дескриптор: 1. Әр оқушы өз ойымен бөліседі. 2. Өзгенің пікірін толықтырады. |
Кітап, дәптер, қалам Тақта слайд
|
|||||
|
Мұғалім: Оқулықтағы жаңа сабақтың мәтінін оқуға тапсырма береді. Мысал көрсетеді . 1.Теорема. Функцияның өсу және кемуінің қажетті шарты: Егер f (x ) функциясы берілген аралықта өспелі болса, онда оcы аралықта fʹ (x))>0 болады.
Егер f (x функциясы берілген аралықта кемімелі болса, онда оcы аралықта f (x)˂0болады.
|
Оқушылар:1.Оқулықты оқып танысып шығады. 2.Тірек сөздермен танысып, өз дәптерлеріне жазып алады
2.Функцияның өсу және кему аралығын табу алгоритмі
Функцияның кему, өсужағдайынтексеру(f|(x)>0-функция өседі, f/(x)<0 функция кемиді Мысал:
Функциясының өсу , кему аралығын табайық Шешуі:
[1;2] аралығында өседі |
Оқушылардың белсенділігі үшін «Жарайсың!», «Керемет!» деген сақтау сөздерімен бағалайды |
ДК экраны ДК экраны 10-сынып оқулығы. Жұмыс дәптерлері. Слайд. |
||||||
|
Сабақтың ортасы 25минут
Бекіту тапсырмаларын орындайды |
1-тапсырма f(x) функциясының өсу және кему аралығын тап
|
жауабы
|
Дескриптор: Функцияның өсу аралығын табады Функцияның кему аралығын табады
|
ДК экраны 10-сынып оқулығы. Жұмыс дәптерлері. Слайд. |
|||||
|
|
2- тапсырма
Функцияның өсу және кему аралығын табыңыз ; графигін сызыңыз |
|
Дескриптор: -Функцияның анықталу облысын табады; -Функцияның туындысын табады; Функцияның өсу аралығын табады Функцияның кему аралығын табады |
ДК экраны 10-сынып оқулығы. Жұмыс дәптерлері. Слайд. |
|||||
|
3-тапсырма 47.3 y=f(x) функциясының өсу және кему аралықтарын табады. 1)f(x)=7x+1 2)f(x)=3+8x 3)f(x)=-2x-13 4)f(x)=10-4x. |
4-тапсырма 112. y=f(x) функциясының анықталу облысында өспелі болатынын дәлелдейді. 1)f(x)=6x+cosx; 2)f(x)=9x+sinx; 3)f(x)= -7х+cosx.
|
Дескриптор: 1.Есеп мазмұнын түсінеді. 2.Оң болатын аралықтарды табады. 3.Теріс болатын аралықтарды табады. Жалпы - 3 балл
|
ДК экраны 10-сынып Абылкасымов оқулығы. Жұмыс дәптерлері. Слайд |
||||||
|
Қорытынды
Сабақтың соңы Ой толғаныс. Рефлексия 5мин. |
2.f x функциясы өспелі және кемімелі болатын аралықтарды табыңыз.
|
сұрак бойынша: Өсу аралығын табады Ф-ң кему аралығын табады |
Оқушылардың белсенділігі үшін «Жарайсың!», «Керемет!» деген сақтау сөздерімен бағалайды |
ДК экраны 10-сынып оқулығы. Жұмыс дәптерлері. Слайд. |
|||||
|
«Білім поштасы» әдісі. Мұғалім сабақты оқушылардың пікірін анықтайды. Жинақталған деректердің құнды болуын қадағалайды. Саралау: Бұл кезеңде саралаудың «Қорытынды» тәсілі көрінеді. Үйге тапсырма: № есеп |
Оқушылар бүгінгі сабақтың мақсатына жеткізетін тапсырмалар орындауына қарай, өз түсінгенін, пікірін, өз ойын айту арқылы сабаққа қорытынды жасайды. Хат толтырып, білім поштасына салады
|
Мұғалім оқушыларды 1-10 баллдық жүйе бойынша оқушылардың сабаққа қатысу белсенділігі бойынша бағаланады. |
ДК экраны Слайд.
Білім поштасы, хаттар |
||||||
шағым қалдыра аласыз






















