Бекітемін:
|
Бөлім: |
Кеңістіктегі тікбұрышты координаталар жүйесі және векторлар |
|
Педагогтің аты-жөні: |
|
|
Күні: |
|
|
Сыныбы: 10 |
Қатысушылар саны: Қатыспағандар саны: |
|
Сабақтың тақырыбы: |
Векторлардың скаляр көбейтіндісі |
|
Оқу бағдарламасына сәйкес оқу мақсаты |
10.4.4 - кеңістіктегі векторлардың скаляр көбейтіндісінің анықтамасы мен қасиеттерін білу; 10.4.16 - координаталық түрдегі векторлардың скаляр көбейтіндісі формуласын білу және оны есептер шығаруда қолдану; |
|
Сабақтың мақсаты: |
Білім алушылар кеңістіктегі векторлардың скаляр көбейтіндісінің анықтамасы мен қасиеттерін біледі. Білім алушылар координаталық түрдегі векторлардың скаляр көбейтіндісі формуласын біледі және оны есептер шығаруда қолданады. Білім алушылар кеңістіктегі екі вектордың арасындағы бұрышты есептейді. |
|
Құндылықтар: |
Еңбекқорлық және кәсіби біліктілік айы -Еңбекті, өзінің және басқалардың еңбек нәтижелерін бағалау - Еңбекті, мамандықтарды практикалық тұрғыда зерттеуге қызығушылық таныту - Еңбек қоғамның және жеке әл-әуқаттың негізі екенін түсіну -Еңбек қызметінің ерекшелігін түсіну, еңбек қатынастарын реттеу, өзін-өзі тәрбиелеу және кәсіби өзін-өзі тәрбиелеу |
Сабақтың барысы:
|
Сабақ кезеңі/Уақыты |
Педагогтің іс-әрекеті |
Оқушының іс-әрекеті |
Бағалау |
Ресурстар |
|
Сабақтың басы Қызығушылықты ояту. 5мин. |
(Ұ). Ұйымдастыру кезеңі: 1.Оқушылармен амандасу, түгендеу. 2.Ынтымақтастық атмосферасын қалыптастыру
1.Мұғалім оқушыларды түгендейді. 2.Амандасады және тілектерін білдіреді. |
1.Оқушылар мұғалім- мен амандасады. 2. Сабаққа дайындалады. Сұрақтарға жауап береді: 1)Скаляр көбейтіндісі қалай белгіленеді? 2)Скаляр квадрат дегеніміз не? 3)Скаляр көбейтіндісін табудың жолдары қандай? |
Оқушылардың белсенділігі үшін «Жарайсың!», деген сақтау сөздерімен бағалайды. |
Оқулық, жұмыс дәптері Кітап, дәптер, қалам |
|
Жаңа сабаққа кіріспе 10мин |
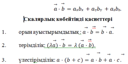
Екі вектордың скаляр көбейтіндісі ? ⋅ ? = |?| ⋅ |?| cos ?, → → мұндағы ? - ? және ? векторлары арасындағы бұрыш. |
Оқушылар скалярлық көбейтіндінің қасиеттерімен танысады; жазып алады
|
Саралау: Бұл жерде
Дескриптор: 1. Әр оқушы өз ойымен бөліседі. 2. Өзгенің пікірін толықтырады. Жалпы- 2 балл. |
Оқулық, жұмыс дәптері Кітап, дәптер, қалам суреттері бейнеленген қима |
|
Сабақтың ортасы 25 мин. |
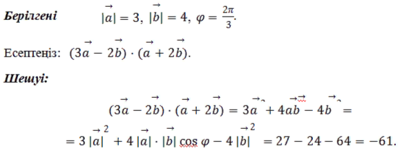
→ → ? = {5; 2; −1}, ? = {−1; 3; 3}. Екі вектор перпендикуляр ма? |
Шешуі: Алдымен бұл екі вектордың скалярлық көбейтіндісін табамыз → → ? ⋅ ? = 5 ⋅ (−1) + 2 ⋅ 3 + (−1) ⋅ 3 = −5 + 6 − 3 = −2. мұнда ? ⋅ ? = −2 ≠ 0, болғандықтан екі вектор перпендикуляр емес. Арасындағы бұрыш перпендикуляр болса 0-ге тең болу керек |
Тақырыпқа байланысты интернет көздерін пайдаланып бөліп шығару мүшелерімен танысады. |
ДК экраны ДК экраны 10-сынып оқулығы. Жұмыс дәптерлері. Слайд. |
|
|
.2-тапсырма
|
Дескриптор: Білім алушы
-екі вектор арасындағы бұрыш формуласын қолданады; -векторлардың скаляр көбейтінділерін табады Арасындағы бұрышты табады |
ДК экраны 10-сынып оқулығы. Жұмыс дәптерлері. Слайд. |
|
|
|
3-тапсырма
|
|
Дескриптор: 1.Векторлардың скаляр көбейтіндісін табады. 2.Жауабын анықтайды. Жалпы - 4 балл. |
ДК экраны 10-сынып оқулығы. Жұмыс дәптерлері. Слайд. |
|
|
4- тапсырманы орындатады, бақылайды, мысал, үлгі көрсетеді. |
Д
|
дескриптор: 1.Есеп мазмұнын түсінеді. 2. Скаляр көбейтіндісін табады. 3.Жауабын анықтайды. Жалпы - 3 балл
|
ДК экраны 10-сынып оқулығы. Жұмыс дәптерлері. Слайд. |
|
|
5 |
|
Дескриптор: 1.Есептің мазмұнын түсінеді; 2.Скалярлық көбейтіндісін табады. Жалпы-3 балл. |
ДК экраны 10-сынып оқулығы. Жұмыс дәптерлері. Слайд. |
|
Сабақтың соңы Ой толғаныс. Рефлексия 5мин. |
«Білім поштасы» әдісі. Мұғалім сабақты оқушылардың пікірін анықтайды. Жинақталған деректердің құнды болуын қадағалайды. Саралау: Бұл кезеңде саралаудың «Қорытынды» тәсілі көрінеді. Үйге тапсырма: №есеп.
|
Оқушылар бүгінгі сабақтың мақсатына жеткізетін тапсырмалар орындауына қарай, өз түсінгенін, пікірін, өз ойын айту арқылы сабаққа қорытынды жасайды.
Хат толтырып, білім поштасына салады
|
оқушылардың сабаққа қатысу белсенділігі бойынша және сабақ кезеңдерінде жинаған баллдарының жалпы есебі ескеріліп 1-10 баллдық шкаламен бағаланады. |
ДК экраны 10сынып оқулығы. Жұмыс дәптерлері. Слайд.
Білім поштасы, хаттар |
жүктеу мүмкіндігіне ие боласыз
Бұл материал сайт қолданушысы жариялаған. Материалдың ішінде жазылған барлық ақпаратқа жауапкершілікті жариялаған қолданушы жауап береді. Ұстаз тілегі тек ақпаратты таратуға қолдау көрсетеді. Егер материал сіздің авторлық құқығыңызды бұзған болса немесе басқа да себептермен сайттан өшіру керек деп ойласаңыз осында жазыңыз
10 сынып геометрия 4 тоқсан 3 сабақ Векторлардың скаляр көбейтіндісі
10 сынып геометрия 4 тоқсан 3 сабақ Векторлардың скаляр көбейтіндісі
Бекітемін:
|
Бөлім: |
Кеңістіктегі тікбұрышты координаталар жүйесі және векторлар |
|
Педагогтің аты-жөні: |
|
|
Күні: |
|
|
Сыныбы: 10 |
Қатысушылар саны: Қатыспағандар саны: |
|
Сабақтың тақырыбы: |
Векторлардың скаляр көбейтіндісі |
|
Оқу бағдарламасына сәйкес оқу мақсаты |
10.4.4 - кеңістіктегі векторлардың скаляр көбейтіндісінің анықтамасы мен қасиеттерін білу; 10.4.16 - координаталық түрдегі векторлардың скаляр көбейтіндісі формуласын білу және оны есептер шығаруда қолдану; |
|
Сабақтың мақсаты: |
Білім алушылар кеңістіктегі векторлардың скаляр көбейтіндісінің анықтамасы мен қасиеттерін біледі. Білім алушылар координаталық түрдегі векторлардың скаляр көбейтіндісі формуласын біледі және оны есептер шығаруда қолданады. Білім алушылар кеңістіктегі екі вектордың арасындағы бұрышты есептейді. |
|
Құндылықтар: |
Еңбекқорлық және кәсіби біліктілік айы -Еңбекті, өзінің және басқалардың еңбек нәтижелерін бағалау - Еңбекті, мамандықтарды практикалық тұрғыда зерттеуге қызығушылық таныту - Еңбек қоғамның және жеке әл-әуқаттың негізі екенін түсіну -Еңбек қызметінің ерекшелігін түсіну, еңбек қатынастарын реттеу, өзін-өзі тәрбиелеу және кәсіби өзін-өзі тәрбиелеу |
Сабақтың барысы:
|
Сабақ кезеңі/Уақыты |
Педагогтің іс-әрекеті |
Оқушының іс-әрекеті |
Бағалау |
Ресурстар |
|
Сабақтың басы Қызығушылықты ояту. 5мин. |
(Ұ). Ұйымдастыру кезеңі: 1.Оқушылармен амандасу, түгендеу. 2.Ынтымақтастық атмосферасын қалыптастыру
1.Мұғалім оқушыларды түгендейді. 2.Амандасады және тілектерін білдіреді. |
1.Оқушылар мұғалім- мен амандасады. 2. Сабаққа дайындалады. Сұрақтарға жауап береді: 1)Скаляр көбейтіндісі қалай белгіленеді? 2)Скаляр квадрат дегеніміз не? 3)Скаляр көбейтіндісін табудың жолдары қандай? |
Оқушылардың белсенділігі үшін «Жарайсың!», деген сақтау сөздерімен бағалайды. |
Оқулық, жұмыс дәптері Кітап, дәптер, қалам |
|
Жаңа сабаққа кіріспе 10мин |
Екі вектордың скаляр көбейтіндісі ? ⋅ ? = |?| ⋅ |?| cos ?, → → мұндағы ? - ? және ? векторлары арасындағы бұрыш. |
Оқушылар скалярлық көбейтіндінің қасиеттерімен танысады; жазып алады
|
Саралау: Бұл жерде
Дескриптор: 1. Әр оқушы өз ойымен бөліседі. 2. Өзгенің пікірін толықтырады. Жалпы- 2 балл. |
Оқулық, жұмыс дәптері Кітап, дәптер, қалам суреттері бейнеленген қима |
|
Сабақтың ортасы 25 мин. |
→ → ? = {5; 2; −1}, ? = {−1; 3; 3}. Екі вектор перпендикуляр ма? |
Шешуі: Алдымен бұл екі вектордың скалярлық көбейтіндісін табамыз → → ? ⋅ ? = 5 ⋅ (−1) + 2 ⋅ 3 + (−1) ⋅ 3 = −5 + 6 − 3 = −2. мұнда ? ⋅ ? = −2 ≠ 0, болғандықтан екі вектор перпендикуляр емес. Арасындағы бұрыш перпендикуляр болса 0-ге тең болу керек |
Тақырыпқа байланысты интернет көздерін пайдаланып бөліп шығару мүшелерімен танысады. |
ДК экраны ДК экраны 10-сынып оқулығы. Жұмыс дәптерлері. Слайд. |
|
|
.2-тапсырма
|
Дескриптор: Білім алушы
-екі вектор арасындағы бұрыш формуласын қолданады; -векторлардың скаляр көбейтінділерін табады Арасындағы бұрышты табады |
ДК экраны 10-сынып оқулығы. Жұмыс дәптерлері. Слайд. |
|
|
|
3-тапсырма
|
|
Дескриптор: 1.Векторлардың скаляр көбейтіндісін табады. 2.Жауабын анықтайды. Жалпы - 4 балл. |
ДК экраны 10-сынып оқулығы. Жұмыс дәптерлері. Слайд. |
|
|
4- тапсырманы орындатады, бақылайды, мысал, үлгі көрсетеді. |
Д
|
дескриптор: 1.Есеп мазмұнын түсінеді. 2. Скаляр көбейтіндісін табады. 3.Жауабын анықтайды. Жалпы - 3 балл
|
ДК экраны 10-сынып оқулығы. Жұмыс дәптерлері. Слайд. |
|
|
5 |
|
Дескриптор: 1.Есептің мазмұнын түсінеді; 2.Скалярлық көбейтіндісін табады. Жалпы-3 балл. |
ДК экраны 10-сынып оқулығы. Жұмыс дәптерлері. Слайд. |
|
Сабақтың соңы Ой толғаныс. Рефлексия 5мин. |
«Білім поштасы» әдісі. Мұғалім сабақты оқушылардың пікірін анықтайды. Жинақталған деректердің құнды болуын қадағалайды. Саралау: Бұл кезеңде саралаудың «Қорытынды» тәсілі көрінеді. Үйге тапсырма: №есеп.
|
Оқушылар бүгінгі сабақтың мақсатына жеткізетін тапсырмалар орындауына қарай, өз түсінгенін, пікірін, өз ойын айту арқылы сабаққа қорытынды жасайды.
Хат толтырып, білім поштасына салады
|
оқушылардың сабаққа қатысу белсенділігі бойынша және сабақ кезеңдерінде жинаған баллдарының жалпы есебі ескеріліп 1-10 баллдық шкаламен бағаланады. |
ДК экраны 10сынып оқулығы. Жұмыс дәптерлері. Слайд.
Білім поштасы, хаттар |
шағым қалдыра аласыз























