Бекітемін:
|
Бөлім: |
Кеңістіктегі тікбұрышты координаталар жүйесі және векторлар |
|
Педагогтің аты-жөні: |
|
|
Күні: |
|
|
Сыныбы: 10 |
Қатысушылар саны: Қатыспағандар саны: |
|
Сабақтың тақырыбы: |
Векторлардың скаляр көбейтіндісі |
|
Оқу бағдарламасына сәйкес оқу мақсаты: |
10.4.18 - кеңістіктегі векторлардың перпендикулярлық шартын білу және қолдану. |
|
Сабақтың мақсаты: |
Білім алушылар кеңістіктегі векторлардың скаляр көбейтіндісінің анықтамасы мен қасиеттерін біледі. Білім алушылар координаталық түрдегі векторлардың скаляр көбейтіндісі формуласын біледі және оны есептер шығаруда қолданады. Білім алушылар кеңістіктегі екі вектордың арасындағы бұрышты есептейді. |
|
Құндылықтар: |
Еңбекқорлық және кәсіби біліктілік айы -Еңбекті, өзінің және басқалардың еңбек нәтижелерін бағалау - Еңбекті, мамандықтарды практикалық тұрғыда зерттеуге қызығушылық таныту - Еңбек қоғамның және жеке әл-әуқаттың негізі екенін түсіну -Еңбек қызметінің ерекшелігін түсіну, еңбек қатынастарын реттеу, өзін-өзі тәрбиелеу және кәсіби өзін-өзі тәрбиелеу |
Сабақтың барысы:
|
Сабақ кезеңі/Уақыты |
Педагогтің іс-әрекеті |
Оқушының іс-әрекеті |
Бағалау |
Ресурстар |
|||
|
Сабақтың басы Қызығушылықты ояту. 5 мин. |
(Ұ). Ұйымдастыру кезеңі: 1.Оқушылар- мен амандасу, түгендеу. 2.Ынтымақ-тастық атмосферасын қалыптастыру
1.Мұғалім оқушыларды түгендейді. 2.Амандасадыжәне тілектерін білдіреді. |
1.Оқушылар мұғалім- мен амандасады. 2. Сабаққа дайындалады.
Мақсаты: Оқушылар бір-біріне тілек білдіреді, тыңдау дағдыларын дамытуға бағытталады, сондай-ақ барлық оқушылардың қатыстырылуы арқылы сабаққа белсенділігі артады. |
Оқушылардың белсенділігі үшін «Жарайсың!», «Керемет!» деген сақтау сөздерімен бағалайды. |
Оқулық, жұмыс дәптері Кітап, дәптер, қалам суреттері бейнеленген қима қағаздар топтамасы ДК экраны |
|||
|
Сабақтың басы Мағынаны ашу. 10 мин. |
Оқулықтағы жаңа сабақтың мәтінін оқуға тапсырма береді 1.Оқулықты оқып танысып шығады. 2.Тірек сөздермен танысып, өз дәптерлеріне жазып алады.
|
Тақырыпқа байланысты интернет көздерін пайдаланып есептерді шығару мүшелерімен танысады. |
Слайд ДК экраны |
||||
|
Сабақтың ортасы Бекіту тапсырмаларын орындау
25мин |
1 тапсырма векторлардың арасындағы бұрышты тап:
|
|
ҚБ: «Екі жұлдыз, бір ұсыныс» бойынша мұғалімнің бағалауы
|
ДК экраны 10-сынып оқулығы. Жұмыс дәптерлері. Слайд.
|
|||
|
|
2-тапсырма Тең векторлар жұбын көрсетіңіз А(2;7;-3); В(1;0;3); С(-3;-4;5); М(-2;3;-1)
|
3-тапсырма Берілгені Табу керек: 2 4
|
Дескриптор Білім алушы: -тең векторларды біледі; -векторларға амалдар қолдануды біледі |
ДК экраны 10-сынып оқулығы. Жұмыс дәптерлері. Слайд. |
|||
|
|
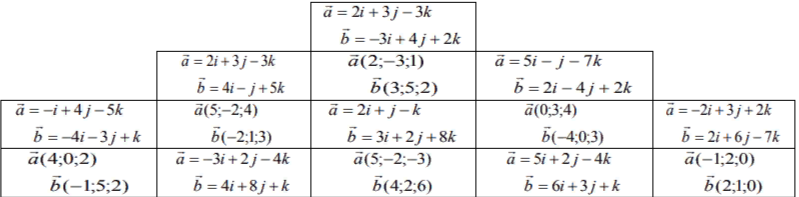
5-Тапсырма: Перпендикуляр векторлары бар ұяшықтарды бояп шық
Дескриптор: Білім алушы
перпендикуляр векторларды анықтайды |
Дескриптор Білім алушы векторлардың перпендикулярлық шартын қолданады; перпендикуляр векторларды анықтайды |
ДК экраны 10-сынып оқулығы. Жұмыс дәптерлері. Слайд.
|
||||
|
Сабақтың соңы Ой толғаныс. Рефлексия 5мин. |
«Білім поштасы» әдісі. Мұғалім сабақты оқушылардың пікірін анықтайды. Жинақталған деректердің құнды болуын қадағалайды. Саралау: Бұл кезеңде саралаудың «Қорытынды» тәсілі көрінеді. Үйге тапсырма: №1090 есеп.
|
Оқушылар бүгінгі сабақтың мақсатына жеткізетін тапсырмалар орындауына қарай, өз түсінгенін, пікірін, өз ойын айту арқылы сабаққа қорытынды жасайды.
Хат толтырып, білім поштасына салады
|
оқушылардың сабаққа қатысу белсенділігі бойынша және сабақ кезеңдерінде жинаған баллдарының жалпы есебі ескеріліп 1-10 баллдық шкаламен бағаланады. |
ДК экраны 10сынып оқулығы. Жұмыс дәптерлері. Слайд.
Білім поштасы, хаттар |
|||
жүктеу мүмкіндігіне ие боласыз
Бұл материал сайт қолданушысы жариялаған. Материалдың ішінде жазылған барлық ақпаратқа жауапкершілікті жариялаған қолданушы жауап береді. Ұстаз тілегі тек ақпаратты таратуға қолдау көрсетеді. Егер материал сіздің авторлық құқығыңызды бұзған болса немесе басқа да себептермен сайттан өшіру керек деп ойласаңыз осында жазыңыз
10 сынып геометрия 4 тоқсан 5 сабақ Векторлардың скаляр көбейтіндісі
10 сынып геометрия 4 тоқсан 5 сабақ Векторлардың скаляр көбейтіндісі
Бекітемін:
|
Бөлім: |
Кеңістіктегі тікбұрышты координаталар жүйесі және векторлар |
|
Педагогтің аты-жөні: |
|
|
Күні: |
|
|
Сыныбы: 10 |
Қатысушылар саны: Қатыспағандар саны: |
|
Сабақтың тақырыбы: |
Векторлардың скаляр көбейтіндісі |
|
Оқу бағдарламасына сәйкес оқу мақсаты: |
10.4.18 - кеңістіктегі векторлардың перпендикулярлық шартын білу және қолдану. |
|
Сабақтың мақсаты: |
Білім алушылар кеңістіктегі векторлардың скаляр көбейтіндісінің анықтамасы мен қасиеттерін біледі. Білім алушылар координаталық түрдегі векторлардың скаляр көбейтіндісі формуласын біледі және оны есептер шығаруда қолданады. Білім алушылар кеңістіктегі екі вектордың арасындағы бұрышты есептейді. |
|
Құндылықтар: |
Еңбекқорлық және кәсіби біліктілік айы -Еңбекті, өзінің және басқалардың еңбек нәтижелерін бағалау - Еңбекті, мамандықтарды практикалық тұрғыда зерттеуге қызығушылық таныту - Еңбек қоғамның және жеке әл-әуқаттың негізі екенін түсіну -Еңбек қызметінің ерекшелігін түсіну, еңбек қатынастарын реттеу, өзін-өзі тәрбиелеу және кәсіби өзін-өзі тәрбиелеу |
Сабақтың барысы:
|
Сабақ кезеңі/Уақыты |
Педагогтің іс-әрекеті |
Оқушының іс-әрекеті |
Бағалау |
Ресурстар |
|||
|
Сабақтың басы Қызығушылықты ояту. 5 мин. |
(Ұ). Ұйымдастыру кезеңі: 1.Оқушылар- мен амандасу, түгендеу. 2.Ынтымақ-тастық атмосферасын қалыптастыру
1.Мұғалім оқушыларды түгендейді. 2.Амандасадыжәне тілектерін білдіреді. |
1.Оқушылар мұғалім- мен амандасады. 2. Сабаққа дайындалады.
Мақсаты: Оқушылар бір-біріне тілек білдіреді, тыңдау дағдыларын дамытуға бағытталады, сондай-ақ барлық оқушылардың қатыстырылуы арқылы сабаққа белсенділігі артады. |
Оқушылардың белсенділігі үшін «Жарайсың!», «Керемет!» деген сақтау сөздерімен бағалайды. |
Оқулық, жұмыс дәптері Кітап, дәптер, қалам суреттері бейнеленген қима қағаздар топтамасы ДК экраны |
|||
|
Сабақтың басы Мағынаны ашу. 10 мин. |
Оқулықтағы жаңа сабақтың мәтінін оқуға тапсырма береді 1.Оқулықты оқып танысып шығады. 2.Тірек сөздермен танысып, өз дәптерлеріне жазып алады.
|
Тақырыпқа байланысты интернет көздерін пайдаланып есептерді шығару мүшелерімен танысады. |
Слайд ДК экраны |
||||
|
Сабақтың ортасы Бекіту тапсырмаларын орындау
25мин |
1 тапсырма векторлардың арасындағы бұрышты тап:
|
|
ҚБ: «Екі жұлдыз, бір ұсыныс» бойынша мұғалімнің бағалауы
|
ДК экраны 10-сынып оқулығы. Жұмыс дәптерлері. Слайд.
|
|||
|
|
2-тапсырма Тең векторлар жұбын көрсетіңіз А(2;7;-3); В(1;0;3); С(-3;-4;5); М(-2;3;-1)
|
3-тапсырма Берілгені Табу керек: 2 4
|
Дескриптор Білім алушы: -тең векторларды біледі; -векторларға амалдар қолдануды біледі |
ДК экраны 10-сынып оқулығы. Жұмыс дәптерлері. Слайд. |
|||
|
|
5-Тапсырма: Перпендикуляр векторлары бар ұяшықтарды бояп шық
Дескриптор: Білім алушы
перпендикуляр векторларды анықтайды |
Дескриптор Білім алушы векторлардың перпендикулярлық шартын қолданады; перпендикуляр векторларды анықтайды |
ДК экраны 10-сынып оқулығы. Жұмыс дәптерлері. Слайд.
|
||||
|
Сабақтың соңы Ой толғаныс. Рефлексия 5мин. |
«Білім поштасы» әдісі. Мұғалім сабақты оқушылардың пікірін анықтайды. Жинақталған деректердің құнды болуын қадағалайды. Саралау: Бұл кезеңде саралаудың «Қорытынды» тәсілі көрінеді. Үйге тапсырма: №1090 есеп.
|
Оқушылар бүгінгі сабақтың мақсатына жеткізетін тапсырмалар орындауына қарай, өз түсінгенін, пікірін, өз ойын айту арқылы сабаққа қорытынды жасайды.
Хат толтырып, білім поштасына салады
|
оқушылардың сабаққа қатысу белсенділігі бойынша және сабақ кезеңдерінде жинаған баллдарының жалпы есебі ескеріліп 1-10 баллдық шкаламен бағаланады. |
ДК экраны 10сынып оқулығы. Жұмыс дәптерлері. Слайд.
Білім поштасы, хаттар |
|||
шағым қалдыра аласыз










(2;-3;0)
(0; -6; 1)

+ 4
















