Сабақ жоспары: №9
|
Ұзақ мерзімді жоспардың тарауы: Алгебралық бөлшектер |
||
|
Күні: |
Мектеп: Мұғалімнің аты-жөні: |
|
|
Сынып: 7 «ә» |
Қатысқандар: Қатыспағандар: |
|
|
Сабақтың тақырыбы |
Алгебралық бөлшектерге амалдар қолдану
|
|
|
Оқу бағдарламасына сәйкес оқыту мақсаттары: |
7.2.1.19алгебралық бөлшектердіқосу және азайтуды орындау; 7.2.1.20алгебралық бөлшектерді көбейту және бөлуді, дәрежеге шығаруды орындау; |
|
|
Сабақтың мақсаты |
алгебралық бөлшектердіқосу және азайтуды орындау; алгебралық бөлшектерді көбейту және бөлуді, дәрежеге шығаруды орындау; |
|
Сабақтың барысы
|
Сабақтың кезеңі |
Педагогтың әрекеті |
Оқушының әрекеті |
Бағалау |
Ресурстар |
||||||
|
Сабақтың басы 5мин |
Жағымды ахуал тудыру мақсатында Ширату жаттығу. Сабақтың мақсаты таныстырылады. «Миға шабуыл» әдісі арқылы сұрақ жауап Үйге берілген тапсырманы сұрақ-жауап арқылы диалогқа түсіру. Топ бойынша өткен тақырыптар бойынша сұрақ- жауаптарға дайындық жасау.
|
Сәлемдесу Үй тапсырмасын тексерту Сабақ мақсатын мұғаліммен бірігіп анықтау |
Оқушылардың белсенділіген байланысты бағаланады. |
Оқулық Алгебра 7
|
||||||
|
Сабақтың ортвсы 10мин |
Алгебралық бөлшектерді қосу немесе азайту алгоритмі:
Бейнеүзінді: Тапсырма: |
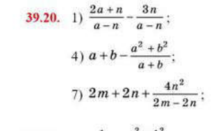
№1 . Амалды орында:
|
Оқушылардың белсенділіген байланысты бағаланады. |
ДК экраны 7-сынып оқулығы. Жұмыс дәптерлері. Слайд. |
||||||
|
Бекіту тапсырмаларын орындау 25 мин |
|
|
оқушылардың белсенділіген байланысты бағаланады |
Тақта, бор, оқу құралдары |
||||||
|
|
|
2 Ш |
оқушылардың белсенділіген байланысты бағаланады |
ДК экраны 7-сынып оқулығы. Жұмыс дәптерлері. Слайд. |
||||||
|
3 тапсырма |
|
|
оқушылардың белсенділіген байланысты бағаланады. |
Тақта, бор, оқу құралдары
|
||||||
|
4тапсырма |
|
|
Оқушылардың белсенділіген байланысты бағаланады. |
Тақта, бор, оқу құралдары
|
||||||
|
Сабақтың аяғы 5мин |
Рефлексия.
|
Бүгінгі меңгерілген материал бойынша 5 сұраққа жылдам жауап береді.
Кестені толтырады
Үй тапсрмасын алады № |
Оқушылардың белсенділіген байланысты бағаланады. |
Тақта, бор, оқу құралдары
|
жүктеу мүмкіндігіне ие боласыз
Бұл материал сайт қолданушысы жариялаған. Материалдың ішінде жазылған барлық ақпаратқа жауапкершілікті жариялаған қолданушы жауап береді. Ұстаз тілегі тек ақпаратты таратуға қолдау көрсетеді. Егер материал сіздің авторлық құқығыңызды бұзған болса немесе басқа да себептермен сайттан өшіру керек деп ойласаңыз осында жазыңыз
Алгебралық бөлшектерге амалдар қолдану
Алгебралық бөлшектерге амалдар қолдану
Сабақ жоспары: №9
|
Ұзақ мерзімді жоспардың тарауы: Алгебралық бөлшектер |
||
|
Күні: |
Мектеп: Мұғалімнің аты-жөні: |
|
|
Сынып: 7 «ә» |
Қатысқандар: Қатыспағандар: |
|
|
Сабақтың тақырыбы |
Алгебралық бөлшектерге амалдар қолдану
|
|
|
Оқу бағдарламасына сәйкес оқыту мақсаттары: |
7.2.1.19алгебралық бөлшектердіқосу және азайтуды орындау; 7.2.1.20алгебралық бөлшектерді көбейту және бөлуді, дәрежеге шығаруды орындау; |
|
|
Сабақтың мақсаты |
алгебралық бөлшектердіқосу және азайтуды орындау; алгебралық бөлшектерді көбейту және бөлуді, дәрежеге шығаруды орындау; |
|
Сабақтың барысы
|
Сабақтың кезеңі |
Педагогтың әрекеті |
Оқушының әрекеті |
Бағалау |
Ресурстар |
||||||
|
Сабақтың басы 5мин |
Жағымды ахуал тудыру мақсатында Ширату жаттығу. Сабақтың мақсаты таныстырылады. «Миға шабуыл» әдісі арқылы сұрақ жауап Үйге берілген тапсырманы сұрақ-жауап арқылы диалогқа түсіру. Топ бойынша өткен тақырыптар бойынша сұрақ- жауаптарға дайындық жасау.
|
Сәлемдесу Үй тапсырмасын тексерту Сабақ мақсатын мұғаліммен бірігіп анықтау |
Оқушылардың белсенділіген байланысты бағаланады. |
Оқулық Алгебра 7
|
||||||
|
Сабақтың ортвсы 10мин |
Алгебралық бөлшектерді қосу немесе азайту алгоритмі:
Бейнеүзінді: Тапсырма: |
№1 . Амалды орында:
|
Оқушылардың белсенділіген байланысты бағаланады. |
ДК экраны 7-сынып оқулығы. Жұмыс дәптерлері. Слайд. |
||||||
|
Бекіту тапсырмаларын орындау 25 мин |
|
|
оқушылардың белсенділіген байланысты бағаланады |
Тақта, бор, оқу құралдары |
||||||
|
|
|
2 Ш |
оқушылардың белсенділіген байланысты бағаланады |
ДК экраны 7-сынып оқулығы. Жұмыс дәптерлері. Слайд. |
||||||
|
3 тапсырма |
|
|
оқушылардың белсенділіген байланысты бағаланады. |
Тақта, бор, оқу құралдары
|
||||||
|
4тапсырма |
|
|
Оқушылардың белсенділіген байланысты бағаланады. |
Тақта, бор, оқу құралдары
|
||||||
|
Сабақтың аяғы 5мин |
Рефлексия.
|
Бүгінгі меңгерілген материал бойынша 5 сұраққа жылдам жауап береді.
Кестені толтырады
Үй тапсрмасын алады № |
Оқушылардың белсенділіген байланысты бағаланады. |
Тақта, бор, оқу құралдары
|
шағым қалдыра аласыз







-тапсырма.Азайтуды
орындаңыз:
ешімі:















