Сабақ жоспары: №12
|
Ұзақ мерзімді жоспардың тарауы: |
Алгебралық бөлшектер |
|
Мұғалімнің аты-жөні: |
|
|
Күні: |
|
|
Сынып: |
Қатысқандар саны: Қатыспағандар саны: |
|
Сабақтың тақырыбы |
Алгебралық бөлшектерге амалдар қолдану
|
|
Оқу бағдарламасына сәйкес оқыту мақсаттары: |
7.2.1.20алгебралық бөлшектерді көбейту және бөлуді, дәрежеге шығаруды орындау; |
|
Сабақтың мақсаты |
алгебралық бөлшектерді көбейту және бөлуді, дәрежеге шығаруды орындау; |
|
Сабақтың барысы: |
|
|
Сабақтың кезеңдері/ уақыты: |
Педагогтің әрекеті: |
Оқушының әрекеті: |
Бағалау: |
Ресурстар |
|||||||
|
Ұйымдастыру кезеңі 5мин |
Сәлемдесу; Түгелдеу Жағымды ахуал тудыру мақсатында Ширату жаттығу. Сабақтың мақсаты таныстырылады. «Миға шабуыл» әдісі арқылы сұрақ жауап Үйге берілген тапсырманы сұрақ-жауап арқылы диалогқа түсіру. Топ бойынша өткен тақырыптар бойынша сұрақ- жауаптарға дайындық жасау. |
Сәлемдесу Үй тапсырмасын тексерту Сабақ мақсатын мұғаліммен бірігіп анықтау |
оқушылардың белсенділіген байланысты бағаланады. |
Тақта, бор, оқу құралдары |
|||||||
|
Сабақтың басы: 10мин |
Өзара кері сандар ұғымын қайталайық.
Айнымалысы бар өзара кері өрнектер туралы, тура осылай айтуға болады.
Мысалы,
|
Жай бөлшектерді бөлу үшін бірінші бөлшекті екінші бөлшектің кері бөлшегіне көбейтетіні белгілі.
Осы ереже рационал бөлшектерді бөлу кезінде де қолданылады. Бір рационал бөлшекті екінші рационал бөлшекке бөлу үшін бірінші бөлшекті екінші бөлшекке кері бөлшекке көбейту керек. Бейнеүзінді: https://bilimland.kz/kk/subject/algebra/7-synyp/algebralyq-bolshekterdi-bolu?mid=e4ba2f90-9ee4-11e9-a361-1f1ed251dcfe Бір рационал бөлшекті екінші рационал бөлшекке бөлу үшін бірінші бөлшекті екінші бөлшекке кері бөлшекке көбейту керек.
Бейнеүзінді: https://www.youtube.com/watch?v=ke4bjtrOSp0 |
оқушылардың белсенділіген байланысты ауызша мақтау сөздермен бағаланады. |
ДК экраны 7-сынып оқулығы. Жұмыс дәптерлері |
|||||||
|
Сабақтың ортасы: 25мин |
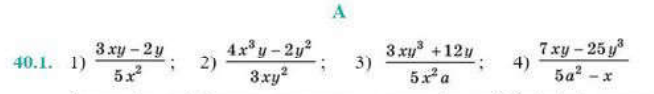
Амалды орында: |
|
Дескриптор: -бірінші бөлшекке екінші бөлшектің керісін көбейтеді; -қысқаратындары болса қысқартып, бөлшектерді көбейтеді; -жауабын жазады; |
ДК экраны 7-сынып оқулығы. Жұмыс дәптерлері |
|||||||
|
2-тапсырма |
|
Шешуі: |
Дескриптор: -бірінші бөлшекке екінші бөлшектің керісін көбейтеді; -қысқаратындары болса қысқартып, бөлшектерді көбейтеді; -жауабын жазады; |
7-сынып оқулығы. Жұмыс дәптерлері |
|||||||
|
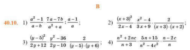
3-тапсырма |
|
Дескриптор: -бірінші бөлшекке екінші бөлшектің керісін көбейтеді; -қысқаратындары болса қысқартып, бөлшектерді көбейтеді; -жауабын жазады; |
7-сынып оқулығы. Жұмыс дәптерлері |
||||||||
|
4-тапсырма |
|
|
Дескриптор: -бірінші бөлшекке екінші бөлшектің керісін көбейтеді; -қысқаратындары болса қысқартып, бөлшектерді көбейтеді; -жауабын жазады; |
7-сынып оқулығы. Жұмыс дәптерлері |
|||||||
|
|
|
|
Дескриптор: -бірінші бөлшекке екінші бөлшектің керісін көбейтеді; -қысқаратындары болса қысқартып, бөлшектерді көбейтеді; -жауабын жазады; |
7-сынып оқулығы. Жұмыс дәптерлері |
|||||||
|
Сабақтың соңы: 5мин |
Рефлексия. «Таңда да таста» әдісі бойынша оқушылар бүгінгі сабақта мен не үйрендім, мен үшін не қызық болды, маған не түсініксіз болды деген 3 сұраққа жауап беріп, өзара дебрифиг жүргізеді. |
Бүгінгі меңгерілген материал бойынша 5 сұраққа жылдам жауап береді.
Кестені толтырады
Үй тапсрмасын алады № |
Сабақта жинаған ұпайларымен қоса белсенділіктеріне қарай 1-10 баллдық шкаламен бағалау |
|
|||||||
жүктеу мүмкіндігіне ие боласыз
Бұл материал сайт қолданушысы жариялаған. Материалдың ішінде жазылған барлық ақпаратқа жауапкершілікті жариялаған қолданушы жауап береді. Ұстаз тілегі тек ақпаратты таратуға қолдау көрсетеді. Егер материал сіздің авторлық құқығыңызды бұзған болса немесе басқа да себептермен сайттан өшіру керек деп ойласаңыз осында жазыңыз
Алгебралық бөлшектерге амалдар қолдану
Алгебралық бөлшектерге амалдар қолдану
Сабақ жоспары: №12
|
Ұзақ мерзімді жоспардың тарауы: |
Алгебралық бөлшектер |
|
Мұғалімнің аты-жөні: |
|
|
Күні: |
|
|
Сынып: |
Қатысқандар саны: Қатыспағандар саны: |
|
Сабақтың тақырыбы |
Алгебралық бөлшектерге амалдар қолдану
|
|
Оқу бағдарламасына сәйкес оқыту мақсаттары: |
7.2.1.20алгебралық бөлшектерді көбейту және бөлуді, дәрежеге шығаруды орындау; |
|
Сабақтың мақсаты |
алгебралық бөлшектерді көбейту және бөлуді, дәрежеге шығаруды орындау; |
|
Сабақтың барысы: |
|
|
Сабақтың кезеңдері/ уақыты: |
Педагогтің әрекеті: |
Оқушының әрекеті: |
Бағалау: |
Ресурстар |
|||||||
|
Ұйымдастыру кезеңі 5мин |
Сәлемдесу; Түгелдеу Жағымды ахуал тудыру мақсатында Ширату жаттығу. Сабақтың мақсаты таныстырылады. «Миға шабуыл» әдісі арқылы сұрақ жауап Үйге берілген тапсырманы сұрақ-жауап арқылы диалогқа түсіру. Топ бойынша өткен тақырыптар бойынша сұрақ- жауаптарға дайындық жасау. |
Сәлемдесу Үй тапсырмасын тексерту Сабақ мақсатын мұғаліммен бірігіп анықтау |
оқушылардың белсенділіген байланысты бағаланады. |
Тақта, бор, оқу құралдары |
|||||||
|
Сабақтың басы: 10мин |
Өзара кері сандар ұғымын қайталайық.
Айнымалысы бар өзара кері өрнектер туралы, тура осылай айтуға болады.
Мысалы,
|
Жай бөлшектерді бөлу үшін бірінші бөлшекті екінші бөлшектің кері бөлшегіне көбейтетіні белгілі.
Осы ереже рационал бөлшектерді бөлу кезінде де қолданылады. Бір рационал бөлшекті екінші рационал бөлшекке бөлу үшін бірінші бөлшекті екінші бөлшекке кері бөлшекке көбейту керек. Бейнеүзінді: https://bilimland.kz/kk/subject/algebra/7-synyp/algebralyq-bolshekterdi-bolu?mid=e4ba2f90-9ee4-11e9-a361-1f1ed251dcfe Бір рационал бөлшекті екінші рационал бөлшекке бөлу үшін бірінші бөлшекті екінші бөлшекке кері бөлшекке көбейту керек.
Бейнеүзінді: https://www.youtube.com/watch?v=ke4bjtrOSp0 |
оқушылардың белсенділіген байланысты ауызша мақтау сөздермен бағаланады. |
ДК экраны 7-сынып оқулығы. Жұмыс дәптерлері |
|||||||
|
Сабақтың ортасы: 25мин |
Амалды орында: |
|
Дескриптор: -бірінші бөлшекке екінші бөлшектің керісін көбейтеді; -қысқаратындары болса қысқартып, бөлшектерді көбейтеді; -жауабын жазады; |
ДК экраны 7-сынып оқулығы. Жұмыс дәптерлері |
|||||||
|
2-тапсырма |
|
Шешуі: |
Дескриптор: -бірінші бөлшекке екінші бөлшектің керісін көбейтеді; -қысқаратындары болса қысқартып, бөлшектерді көбейтеді; -жауабын жазады; |
7-сынып оқулығы. Жұмыс дәптерлері |
|||||||
|
3-тапсырма |
|
Дескриптор: -бірінші бөлшекке екінші бөлшектің керісін көбейтеді; -қысқаратындары болса қысқартып, бөлшектерді көбейтеді; -жауабын жазады; |
7-сынып оқулығы. Жұмыс дәптерлері |
||||||||
|
4-тапсырма |
|
|
Дескриптор: -бірінші бөлшекке екінші бөлшектің керісін көбейтеді; -қысқаратындары болса қысқартып, бөлшектерді көбейтеді; -жауабын жазады; |
7-сынып оқулығы. Жұмыс дәптерлері |
|||||||
|
|
|
|
Дескриптор: -бірінші бөлшекке екінші бөлшектің керісін көбейтеді; -қысқаратындары болса қысқартып, бөлшектерді көбейтеді; -жауабын жазады; |
7-сынып оқулығы. Жұмыс дәптерлері |
|||||||
|
Сабақтың соңы: 5мин |
Рефлексия. «Таңда да таста» әдісі бойынша оқушылар бүгінгі сабақта мен не үйрендім, мен үшін не қызық болды, маған не түсініксіз болды деген 3 сұраққа жауап беріп, өзара дебрифиг жүргізеді. |
Бүгінгі меңгерілген материал бойынша 5 сұраққа жылдам жауап береді.
Кестені толтырады
Үй тапсрмасын алады № |
Сабақта жинаған ұпайларымен қоса белсенділіктеріне қарай 1-10 баллдық шкаламен бағалау |
|
|||||||
шағым қалдыра аласыз























