1 сұрақ|| вопрос
Жолаушылар 1 км және қалған жолдың жартысын жүргенде, оларға әлі барлық жолдың үштен бір бөлігін және тағы 1 км жол жүру қалды. Барлық жолдың ұзындығы қандай?|| После того как туристы прошли 1 км и половину оставшегося пути, им еще осталось пройти треть всего пути и 1 км. Чему равен путь?
*
A) 4 км
B) 6 км
C) 8 км
D) 9 км
E) 12 км
2 сұрақ|| вопрос
Жыл басында сыныпта 25 оқушы еді. Үш оқушы қосылған соң, сыныпта үздіктер саны 1 пайызға артқан. Қазір сыныпта неше үздіктер бар?|| В начале года в классе учились 25 учеников. После того как туда пришли трое новеньких, количество отличников увеличилось на 1 процент. Сколько теперь отличников в классе?
*
A) 2
B) 3
C) 5
D) 7
E) 8
3 сұрақ|| вопрос
Бір сағатта ұста 3 тетік, ал оқушысы 2 тетік дайындайды. Олар бірігіп, осындай 140 тетікті қаншы уақытты дайындайды?|| Мастер делает 3 изделия в час, а его ученик 2 изделия. За какое время они сделают 140 изделий ?
*
A) 25 сағ||час
B) 28 сағ||час
C) 30 сағ||час
D) 32 сағ||час
E) 35 сағ||час
4 сұрақ|| вопрос
Шеңбер бойына барлық тақ цифрлар кез келген ретпен жазылған. Кез келген қатар тұрған үш цифр сағат бойымен үш таңбалы сан құрайды. Барлық бес үш таңбалы сандардың қосындысын табыңыз.|| По кругу расставлены все нечетные цифры в произвольном порядке. Каждые три цифры, стоящие подряд по часовой стрелке, образуют трёхзначное число. Найдите сумму всех пяти таких чисел.
*
A) 2776
B) 2998
C) 2887
D) 2443
E) 2775
5 сұрақ|| вопрос
Үстел үстінде 4 бірдей алма, 5 бірдей банан және 6 бірдей алмұрт жатыр. Неше тәсілмен осы жемістердің үшеуін анасы ұлына сыйлай алады? || На столе лежат 4 одинаковых яблок, 5 одинаковых бананов и 6 одинаковых груш. Сколькими способами мама может подарить сыну 3 фрукта?
*
A) 9
B) 27
C) 6
D) 3
E) 10
6 сұрақ|| вопрос
Шашки ойыны барысында бос торкөздер саны тастар тұрған торкөздер санынан жеті есе артық екенін байқалды. Егер ойыншылардың біріншісінде екіншісінен 2 тасқа артық болса, бірінші ойыншыда неше тас бар? || Во время игры в шашки было замечено, что пустых клеток на доске было в семь раз больше, чем занятых шашками. Сколько шашек у первого игрока было в это время на доске, если у него на 2 шашек больше, чем у второго?
*
A) 9
B) 4
C) 7
D) 8
E) 5
7 сұрақ|| вопрос
Егер уақыт 3:05 болса, неше минуттан кейін минуттық тіл сағаттық тілді қуып жетеді? || Через сколько минут минутная стрелка догонит часовую стрелку, если сейчас часы показывают 3:05?
*
![]()
A)
![]()
B)
![]()
C)
![]()
D)
![]()
E)
8 сұрақ|| вопрос
Қорапта 11 ақ, 8 көк және 4 сары шарлар бар. Ішінде түстері бірдей 5 шар міндетті түрде табылуы үшін, қораптан қарамай, кем дегенде неше шар алу керек? || В коробке лежат 11 белых, 8 синих и 4 жёлтых шариков. Какое наименьшее количество шариков нужно достать из коробки, чтобы среди них наверняка было не менее 5 шаров одного цвета?
*
A) 11
B) 12
C) 13
D) 14
E) 15
9 сұрақ|| вопрос
Егер қандай да бір үшеуі әрдайым қатар тұруы керек болса, бес кітапты сөреге неше тәсілмен қоюға болады? || Сколькими способами можно расставить пять книг на полке, если известно, что какие то три из них всегда должны стоят рядом?
*
A) 64
B) 81
C) 144
D) 36
E) 25
10 сұрақ|| вопрос
Екі жыл бұрын Талғат пен Мараттың ортақ жасы 15 жыл еді. Екі жылдан кейін Талғат 15 жаста болса, неше жылдан кейін Марат 9 жаста болады?|| Два года назад Талгату и Марату вместе было 15 лет. Через два года Талгату будет 15 лет. Через сколько лет Марату будет 9 лет?
*
A) 1
B) 2
C) 3
D) 4
E) 5
Информатика
1 сұрақ || вопрос
1017 КБ көлеміндегі файл белгілі бір қосылым арқылы 3072 бит/с жылдамдықпен беріледі. Файлды жіберуге қанша секунд қажет болады? || Файл размером 1017КБ передается через некоторое соединение со скоростью 3072 бит/с. Сколько секунд он будет передаваться?
*
A) 24
B) 2712
C) 331
D) 339
E) 993
2 сұрақ || вопрос
128 х 512 нүкте өлшеміндегі сурет 16 түспен боялған. Осы суретті сақтау үшін қажет жад көлемін (КБ) табыңыз. || Рисунок размером 128 х 512 точек раскрашен в 16 цветов. Найдите объем памяти (в Кб), необходимый для хранения этого рисунка.
*
A) 32
B) 128
C) 4
D) 64
E) 1024
3 сұрақ || вопрос
Excel-де C3 ұяшығында = A1 + B2 формуласы жазылған. Бұл формула D3 ұяшығына көшірілді. Осы ұяшықта алынатын формуланы көрсетіңіз. || В ячейке C3 Excel записана формула: = А$1 + B2. Эту формулу скопировали в ячейку D3. Укажите формулу, которая будет получена в этой ячейке.
*
A) =A$1 + B2
B) =A$1 + C2
C) =B$1 + C2
D) =B$1 + C3
4 сұрақ || вопрос
Формулаларды көрсету режимінде электрондық кестенің фрагменті берілген. A2 ұяшықтар диапазонының мәндері бойынша есептеулер жүргізілгеннен кейін диаграмма құрылған. Алынған диаграмманы көрсетіңіз. || Дан фрагмент электронной таблицы в режиме отображения формул. После выполнения вычислений по значениям ячеек диапазона A2:D2 была построена диаграмма. Укажите получившуюся диаграмму.
*

A) диаграмма А
B) диаграмма B
C) диаграмма C
D) диаграмма D
E) диаграмма E
5 сұрақ || вопрос
Бағдарламаның фрагментін орындағаннан кейін A айнымалысының мәнін анықтаңыз. ||Определите значение переменной А после выполнения фрагмента программы.
*

A) 6
B) 3.33333
C) 0.33333
D) 4
E) 5
6 сұрақ || вопрос
Үш таңбалы санның орташа санын табу үшін қандай әрекеттер жасау керек? || Какие действия позволяют найти среднюю цифру трехзначного числа N?
*
A) N // 10 % 10
B) N % 10 // 10
C) N % 10 / 10
D) N % 100 / 10
E) N // 10 % 100
7 сұрақ || вопрос
Бағдарламаның фрагментін орындағаннан кейін N айнымалысының мәнін анықтаңыз. || Определите значение переменной N после выполнения фрагмента программы.
*

A) 10
B) 2
C) 3
D) 8
E) 5
8 сұрақ || вопрос
Бағдарлама экранға қанша сан шығарады? || Сколько чисел выведет на экран программа?
*

A) 1
B) 2
C) 3
D) 5
E) 0
9 сұрақ || вопрос
A > 5 or B < 8 шартын қарастырғанда, оның қарсы шартын таңдаңыз. || Для условия A > 5 or B < 8 выберите противоположное:
*
A) A < 5 and B > 8
B) A <= 5 and B >= 8
C) A < 5 or B > 8
D) A <= 5 or B >= 8
10 сұрақ || вопрос
Бағдарлама фрагменті қандай әрекеттерді орындайды? || Какие действия выполняет фрагмент программы?
*

A) B және C сандарының ішіндегі ең кішісін табады || находит меньшее среди чисел B и C
B) екі санның минимумын табады || находит минимальное из двух чисел
С) екі санның максимумын табады || находит максимальное из двух чисел
D) үш санның минимумын табады || находит минимальное из трех чисел
E) үш санның максимумын табады || находит максимальное из трех чисел
Биология
1 сұрақ || вопрос
Микроскоп арқылы жасушалар тобын бақылап, келесі суретті түсіргеніңізді елестетіп көріңіз. Сіз бұл жасушалардың дененің ішкі мүшелерін жауып, қорғайтынын анықтадыңыз. Олар жататын ұлпа түрін таңдаңыз:
||
Представьте, что вы наблюдали группу клеток под микроскопом и сделали следующий снимок.
Вы обнаружили, что эти клетки покрывают и защищают внутренние органы тела. Выберите тип ткани, к которому они, вероятно, относятся.
*

A) Жүйке ұлпасы / Нервная ткань
B) Дәнекер ұлпа / Сосудистая ткань
C) Эпителий ұлпасы / Эпителиальная ткань
D) Бұлшықет ұлпасы / Мышечная ткань
Е) Жабын ұлпасы / покровная ткань
2 сұрақ || вопрос
Липидтердің полимер болмау себебін таңдаңыз. || Выберите причину, по которой липиды не являются полимерами.
*
A) Олар органикалық молекулалар емес / Они не являются органическими молекулами
B) Олар мономерлерден тұрмайды / Они не состоят из мономеров
C) Олар жасушалардың құрылыс материалы емес / Они не являются строительным материалом для клеток.
D) Олардың молекулалық массасы өте үлкен / У них очень большая молекулярная масса
Е) Оларда ковалентті байланыстар жоқ / У них нет ковалентных связей
3 сұрақ || вопрос
Жалған тұжырымдаманы таңдаңыз: || Выберите ложное утверждение:
*
A) «Моно» кішкентай дегенді білдіреді / «Моно» означает маленький
B) Полимер – қайталанатын бірліктерден құралған қосылыс / Полимер – это соединение, состоящее из повторяющихся единиц
C) Мономер – ірі молекулалардың негізгі қайталанатын бірлігі / Мономер – это основная повторяющаяся единица крупных молекул
D) Ірі органикалық қосылыстар макромолекулалар деп аталады / Крупные органические соединения называются макромолекулами
E) Полимерлер тек табиғи заттардан құралады / Полимеры состоят только из природных веществ
4 сұрақ || вопрос
Көмірсулар – қарапайым қанттардан тұратын макромолекулалар. Қарапайым қанттардан тұратын барлық макромолекулаларды таңдаңыз: || Углеводы — это макромолекулы, состоящие из простых сахаров. Выберите все макромолекулы, состоящие из простых сахаров:
i. Крахмал || Крахмал
ii. Гемоглобин || Гемоглобин
iii. Балауыз || Воск
iv. Целлюлоза || Целлюлоза
v. Гликоген || Гликоген
*
A) i
B) ii және/и iii
C) i, iii және/и v
D) i, iv және/и v
E) i және/и iv
5 сұрақ || вопрос
Төмендегілердің қайсысы ақуыздардың қызметі емес? || Какое из следующих не является функцией белков?
*
A) Молекулаларды тасымалдау / Транспорт молекул
B) Дене бөліктерінің қозғалысы / Движение частей тела
C) Ара ұясының құрылыс материалы / Строительный материал пчелиных сот
D) Адамның шашы мен көзіне түс беру / Придают цвет волосам и глазам человека
E) Жасушаның энергетикалық көзі / Источник энергии для клетки
6 сұрақ || вопрос
Көк-жасыл балдырлар — судағы экожүйелерде фотосинтез жүргізетін организмдер. Экологиялық және физиологиялық аспектілерді ескере отырып, жер үсті ортасымен салыстырғанда суда өмір сүрудің қандай артықшылықтары бар? Дұрыс тұжырымдаманы таңдаңыз: || Водоросли — это фотосинтетические организмы, которые процветают в водной среде. Учитывая экологические и физиологические аспекты, какие преимущества дает жизнь в воде по сравнению с наземной средой? Выберите правильное утверждение:
*
А) су метаболизм процестері үшін пайдалы тұрақты температураны қамтамасыз етеді / / вода обеспечивает стабильную температуру, полезную для метаболических процессов
В) сулы ортада еріген қоректік заттардың концентрациясы топыраққа қарағанда жоғары болады // концентрация растворенных питательных веществ в водной среде выше, чем в почве
C) балдырлар атмосфералық кедергілердің аз болуына байланысты судағы күн сәулесін тиімдірек сіңіре алады // водоросли могут более эффективно поглощать солнечный свет в воде из-за меньшего атмосферного сопротивления
D) cу балдырлардың көлемін құрылымдық шектеулерсіз ұлғайтуына мүмкіндік береді. / вода поддерживает плавучесть, позволяя достигать больших размеров без структурных ограничений.
E) су экожүйесінде ресурстар үшін бәсекелестік жердегі экожүйелермен салыстырғанда төмен, бұл балдырлардың өмір сүруіне тиімді // су экожүйесінде ресурстар үшін бәсекелестік жердегі экожүйелермен салыстырғанда төмен, бұл балдырлардың өмір сүруіне тиімді
7 сұрақ || вопрос
Гүлді өсімдіктерді зерттеуде, екі түрлі топ: даражарнақтылар мен қосжарнақтылардың әртүрлі сипаттамалары оларды жіктеуге көмектеседі. Екі топқа да тән болуы мүмкін жалпы белгілерді ескере отырып, келесі тұжырымдамалардың қайсысы ортақ сипаттаманы көрсетеді? Дұрыс нұсқаны таңдаңыз: || В изучении цветковых растений как двудольные, так и однодольные проявляют различные характеристики, которые помогают в их классифицировать. Учитывая общие признаки, которые могут быть свойственны обеим группам, какое из следующих утверждений точно отражает общую характеристику? Выберите правильный вариант:
*
A) екеуі де тұқым түзеді және жынысты көбеюдің стратегиясы ретінде қосарлы ұрықтануды жүзеге асырады // Оба производят семена и осуществляют двойное оплодотворение как репродуктивную стратегию.
B) екеуінде де жарнақтардың саны бірдей, бұл олардың даражарнақтылар мен қосжарнақтылар ретінде жіктелуіне ықпал етеді. // Оба имеют равное количество семядолей, что способствует их классификации как однодольные и двухдольное.
C) екі топта белгілі бер тіршілік кезеңінде жапырақсыз өмір сүре алады, бұл олардың қоршаған ортаға бейімделуін көрсетеді // Обе группы могут выживать без листьев на определенных этапах жизни, демонстрируя адаптацию к своей среде.
D) екеуі де әдетте кіндік тамыр жүйесіне ие, бұл олардың су сіңіру қабілеттеріне әсер етеді // Оба обычно обладают стержневой корневой системой, что влияет на их способности к поглощению воды.
E) Екеуі де жас өсімдік кезеңінде фотосинтез жасау қабілетіне ие, бұл олардың өсуі мен энергия қажеттіліктеріне ықпал етеді. // Оба типа способны к фотосинтезу на ювенильной стадии, что способствует их росту и энергетическим потребностям.
8 сұрақ || вопрос
Антиденелер-бұл бактерияларды, вирустарды және басқа зиянды қоздырғыштарды бейтараптандыру үшін иммундық жүйе түзетін арнайы ақуыздар. Олардың қандағы түзілуі әртүрлі жағдайларға жауап ретінде артады. Төмендегі тұжырымдаманың қайсысы антиденелер түзілуінің айтарлықтай өсуіне әкелуі мүмкін? Дұрыс нұсқаны таңдаңыз: || Антитела — это специализированные белки, которые производятся иммунной системой для нейтрализации бактерий, вирусов и других вредных патогенов. Их продукция в крови увеличивается в ответ на различные условия. Какой из следующих сценариев наиболее вероятно вызовет значительное увеличение производства антител? Выберите лучший вариант:
*
A) Ағзаға энергия қажет болғанда және көмірсулар мен липидтердің жетіспеушілігі кезінде иммундық жүйенің реакциясын тудырады./ Когда организму требуется энергия, и наблюдается дефицит углеводов и липидов, вызывающий реакцию иммунной системы.
B) Ағзаға инфекцияға байланысты бөгде антигендер түскенде, антиденелер саны артып, иммундық реакцияны тудырады.Когда организм сталкивается с чужеродными антигенами из-за инфекции, что вызывает иммунный ответ с увеличением количества антител.
C) Күн сайын таңғы астан кейін, ағза қоректік заттарды сіңіріп, иммундық реакцияның артуына әкеледі./ Ежедневно после завтрака, когда организм поглощает питательные вещества, что приводит к увеличению иммунного ответа.
D) Шамамен 18 жастан асқанда иммундық жүйенің даму шегіне жетіп, антиденелердің түзілуі артады. / В возрасте около 18 лет, когда иммунная система достигает пика развития, увеличивая продукцию антител.
E) Вакцинация кезінде, иммундық жүйе иммунитетті қалыптастыру үшін патогенді зиянсыз формаға айналдырады / При получении вакцинации, так как иммунная система подвергается воздействию безвредной формы патогена для формирования иммунитета.
9 сұрақ || вопрос
Сізге 2 өсімдіктің құрылымдық суреттері берілген.
Оларды талдап, өсімдіктердің басты айырмашылықтарын сипаттайтын жауапты таңдаңыз:
|| Вам представлены структурные изображения 2 растений.
Проанализируйте их и выберите ответ, описывающий основные различия между этими растениями.
*

A) В өсімдігі жеміс бермейді / Растение В не дает плодов
B) А және В өсімдіктері екеуі де тұқымсыз өсімдіктер / Растения А и В являются бессемянными
C) А өсімдігі даражарнақты, ал В өсімдігі қосжарнақты / Растение А — однодольное, а растение В — двудольное
D) А өсімдігі жабықтұқымды, ал В өсімдігі ашықтұқымды / Растение А — покрытосеменное, а растение В — голосеменное
E) А өсімдігінің тамыр жүйесі шашақты, ал В өсімдігінің тамыры кіндік тәрізді / У растения А мочковатая корневая система, а у растения В стержневая
10 сұрақ || вопрос
Бұдыр эндоплазмалық тор (ЭПТ) көптеген рибосомалармен жабылған, бұл оған өзіне тән көрінісін береді. Бұл құрылымның жасушадағы рөлін анықтап, оның негізгі қызметі туралы жауапты таңдаңыз: || Шероховатая эндоплазматическая сеть часто покрыта множеством рибосом, что придает ей характерный вид. Проанализируйте роль этой структуры в клетке и выберите наиболее полный ответ о ее основной функции:
*
A) Рибосомалардың синтезі үшін генетикалық ақпаратты сақтау / Хранение генетической информации для синтеза рибосом
B) Жасушаны сыртқы зақымданудан қорғау / Защита клетки от внешних повреждений
C) Ақуыздарды синтездеу және оларды тасымалдауға дайындау / Синтез белков и подготовка их к транспортировке
D) Қоректік заттарды АТФ-қа айналдыру арқылы энергия өндіру / Производство энергии путем преобразования питательных веществ в АТФ
E) Жаңадан синтезделген ақуыздарды жинақтау, сапасын бақылау және оларды жасуша ішінде немесе сыртында қажетті орындарға жөнелту / Свертывание, контроль качества и отправка вновь синтезированных белков в целевые места внутри или за пределами клетки
География
1 сұрақ||вопрос
Бұл жануар эндемик. Қай континенттікі? ||
Данное животное – эндемик . Какого материка?
*

A) Оңтүстік Америка || Южная Америка
B) Аустралия || Австралия
C) Африка
D) Антарктида
E) Солтүстік Америка || Северная Америка
2 сұрақ||вопрос
Мұхитта ендік 0 және бойлық 180 нүктесі орналасқан || Точка 0 широты и 180 долготы находится в океане
*
A) Тынық || Тихом
B) Атлант || Атлантическом
C) Солтүстік Мұзды || Северном Ледовитом
D) Үнді || Индийском
E) ондай нүкте жоқ || такой точки нет
3 сұрақ||вопрос
2 минут ішінде бүкіл әлем бойынша саяхатты қандай материкте жасауға болады (батыс және шығыс жарты шарға барыңыз) || Кругосветное путешествие за 2 минуты можно сделать на материке ( побывать и в западном и восточном полушарии)
*
A) Оңтүстік Америка ||Южная Америка
B) Аустралия || Австралия
C) Азия
D) Антарктида
E) Солтүстік Америка || Северная Америка
4 сұрақ||вопрос
Қате мәлімдемені анықтаңыз || Определите неправильное утверждение
*

A) Покровка өзеннің сол жағалауында орналасқан || Покровка стоит на левом берегу реки
B) Покровка өзеннің оң жағалауында орналасқан || Покровка стоит на правом берегу реки
C) Аралас типтегі орман || Лес смешанного типа
D) Картаның сол жағы - Батыс || Левая часть карты- запад
E) Картаның оң жағы-Шығыс || Правая часть карты- восток
5 сұрақ||вопрос
Ең төменгі халық тығыздығы қай нүктеде байқадады? || В какой точке наблюдается наименьшая плотность населения?
*

A) 1
B) 2
C) 3
D) 4
E) 5
6 сұрақ || вопрос
Осы график бойынша анықтауға болады (қате жауапты таңдаңыз) ||По данному графику можно определить ( выбрать неправильный ответ)
*

A) Ең жоғары температура сағат 14-те болды || Самая высокая температура была в 14 часов
B) Ең төменгі температура сағат 6-да болды || Самая низкая температура была в 6 часов
C) Күндізгі амплитуда 7 - градус || Дневная амплитуда составляет 7 градусов
D) Күндізгі амплитуда 9 - градус || Дневная амплитуда составляет 9 градусов
E) түнде ауа температурасы төмендейді || температура ночью будет падать
7 сұрақ||вопрос
Осы екі материкті де шаймайтын мұхитты анықтаңыз ||
Определите океан , который не омывает эти оба материка*

A) Тынық || Тихий
B) Атлант || Атлантический
C) Солтүстік Мұзды || Северный Ледовитый
D) Үнді || Индийский
E) мұндай мұхит жоқ || такого океана нет
8 сұрақ||вопрос
Бұл құрылғы қалай аталады? || Этот прибор как называется?
*

A) курвиметр
B) спидометр
C) гигрометр
D) термометр
E) барометр
9 сұрақ||вопрос
Бұл ағаш арқылы көкжиек тұстарын қалай табуға болады? / Как с помощью данного дерева определить стороны света?
*

A) бұтақтар оңтүстік жағында көбірек || веток больше на южной стороне
B) бұтақтар батыс жағында көбірек || веток больше на западной стороне
C) бұтақтар шығыс жағында көбірек|| веток больше на восточной стороне
D) бұтақтар солтүстік жағында көбірек || веток больше на северной стороне
E) маңызды емес || не играет значения
10 сұрақ||вопрос
Сызбаны пайдаланып, дұрыс жауапты анықтаңыз || Используя схему, определите правильный ответ
*

A) креолдар || креолы
B) метистер || метисы
C) мулаттар || мулаты
D) үндістер || индейцы
E) самбо
Физика
1 сұрақ || вопрос
*

А) Конвекция
В) Конденсация
С) Сәулелену/ Радиация
D) Жұмыс жасау/Работа
E) Жылуөткізгіштік/ Теплопроводность
2 сұрақ || вопрос
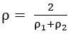
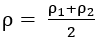
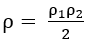
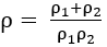
Қыс мезгілінде темірден жасалған затты қардың үстіне тастасақ ол батып кетеді. Бұл құбылыс денелердің тығыздықтарына байланысты болса, төмендегі дұрыс тұжырымды белгілеңіз. || Если в зимнее время бросить железный предмет на снег, он утонет. Если это явление связано с плотностями тел, укажите правильное утверждение.
*
А) Темірдің массасы қардың массасымен бірдей/ Масса железа равна массе снега.
В) Темірдің массасы қардың массасынан аз/ Масса железа меньше массы снега.
С) Темірдің тығыздығы қардың тығыздығынан жоғары/ Плотность железа выше плотности снега
D) Темірдің тығыздығы қардың тығыздығынан аз/Плотность железа ниже плотности снега.
E) Темірдің тығыздығы қардың тығыздығымен бірдей/ Плотность железа равна плотности снега
3 сұрақ || вопрос
*

А) 42,4%
В) 34,1%
С) 52,6%
D) 22,8%
E) 29,9%
4 сұрақ || вопрос
*

А) 22,35°C
В) 29,2 °C
С) 32,4°C
D) 13,6°C
E) 38,9°C
5 сұрақ || вопрос
Бала 2 м биіктіктен допты жерге тастады. Доп жерге соғылғаннан кейін 1,5 м биіктікке қайта көтерілді. Қандай себеппен доп бастапқы биіктіктен төмен көтерілді? Бұл қандай заң? || Ребенок уронил мяч с высоты 2 м. Мяч вернулся на высоту 1,5 м после удара о землю. Почему мяч поднялся ниже начальной высоты? Какой закон это описывает?
*
А) Импульстің сақталу заңы, соғылу кезінде энергетикалық артады/ Закон сохранения импульса, энергия увеличивается при столкновении
В) Импульстің сақталу заңы, соғылу кезінде энергетикалық кемиді/ Закон сохранения импульса, энергия уменшается при столкновении
С) Энергия сақталу заңы, соғылу кезінде энергетикалық артады/ Закон сохранения энергии, энергия увеличивается при столкновении
D) Энергияның сақталу заңы, соғылу кезінде энергия жоғалады/ Закон сохранения энергии гласит, что при столкновениях энергия теряется.
E) Энергияның сақталу заңы, соғылу кезінде энергия өзгермейді/ Закон сохранения энергии гласит, что при столкновениях энергия не изменяется.
6 сұрақ || вопрос
Досжан мен Серік бір-біріне қарама-қарсы бағытта үйлерінен орталық саябаққа қарай велосипедке мініп шықты. Досжан мен Серіктің үйлерінің арақашықтығы 12 км. Досжанның жылдамдығы 36 км/сағат, ал Сержанның жылдамдығы 18 км/сағат болса, олар неше сағаттан кейін кездеседі. || Досжан и Серик на велосипедах выехали из своих домов в противоположных направлениях к центральному парку. Расстояние между домами Досжана и Серика составляет 12 км. Если скорость Досжана 36 км/ч, а скорость Серика 18 км/ч, через сколько часов они встретятся?
*
А) ≈15,64 мин
В) ≈ 14,48 мин
С) ≈13,33 мин
D) ≈18,31 мин
E) ≈12,44 мин
7 сұрақ || вопрос
*

![]()
A)

B)

C)
![]()
D)
![]()
E)
8 сұрақ || вопрос
*

![]()
A)
![]()
B)
![]()
C)
![]()
D)
![]()
E)
9 сұрақ || вопрос
Бала ұзындығы 50 м вагонның соңынан басына дейін барып қайтадан өз орнынан келді. Баланың вагонмен салыстырғандағы жылдамдығы 0,8 м/с. Егер бала поезд вагонының соңына жеткен кезде поезд 3,2 м/с жылдамдықпен қозғала бастаса, онда баланың алғашқы 100 с ішіндегі жермен салыстырғандағы жолын есептеңіз. || Ребенок прошел от конца вагона длиной 50 м до его начала и вернулся на свое место. Скорость ребенка относительно вагона составляет 0,8 м/с. Если поезд начинает двигаться со скоростью 3,2 м/с, когда ребенок доберется до конца вагона, каково расстояние, пройденное ребенком за первые 100 секунд относительно земли?
*
А) 500 м
В) 350 м
С) 400 м
D) 450 м
E) 600 м
10 сұрақ || вопрос
Екі дос бір уақытта ауылдан 2,5 км жерде орналасқан ауылдағы дүкенге жол тартты. Оларда тек бір орындық велосипед бар. Достардың келісуі бойынша әуелі бірінші бала велосипедке мініп, сосын оны жолда қалдырып, жаяу жүрді, сосын екінші бала алдымен жаяу жүріп, велосипедке жеткенде оған отырып, жолдың қалған бөлігін велосипедпен жүріп өтті. Егер екі дос бір мезетте дүкеннің жанына жететін болса, олар жалпы үйден дүкенге дейін қанша уақытта жетті. Жаяу адамның жылдамдығы 4,2 км/сағ, ал велосипедте 18 км/сағ. || Два друга одновременно направились в магазин, который находится в 2,5 км от деревни. У них есть только один велосипед. По договоренности, сначала первый друг садится на велосипед, потом оставляет его и идет пешком, затем второй друг сначала идет пешком, а когда добирается до велосипеда, садится на него и проезжает оставшуюся часть пути. Если оба друга одновременно достигают магазина, сколько времени они потратили на путь от дома до магазина? Скорость пешехода — 4,2 км/ч, а скорость на велосипеде — 18 км/ч.
*
А) ≈56 минут
В) ≈44 минут
С) ≈50 минут
D) ≈36 минут
E) ≈48 минут
Химия
1 сұрақ || вопрос.
Альберт Эйнштейннен кейінгі ХХ ғасырдың ең мықты ғалымдардың бірі, ядролық қауіп – қатерлерге қарсы күрестің белсенді қатысушысы. Нобель сыйлығының иегері: || Один из сильнейших ученых ХХ века после Альберта Эйнштейна, активный участник борьбы с ядерными угрозами. Лауреат Нобелевской премии:
*

A) Д.И.Менделеев;
B) Э.Резерфорд;
C) Н.Бор;
D) А.М.Бутлеров;
E) Н.Н.Бекетов.
2 сұрақ || вопрос.
Мұғалім Маратқа массасы 5 г ас содасын өлшеп берді және тұз қышқылының ерітінідісін берді. Екі затты бір-біріне қосу арқылы қанша көлем (қ.ж.) газ бөлінетінін есептеу керек. Жауабы қандай болмақ? || Учитель дал Марату 5 г пищевой соды и раствор соляной кислоты. Соединяя два вещества вместе, необходимо рассчитать, какой объем (н.у.) газа выделен. Каков будет ответ?
*

![]()
A)
![]()
B)
![]()
C)
![]()
D)
![]()
E)
3 сұрақ || вопрос.
Бала тыныс алғанда тәулігіне 500-600 л (қ.ж.) көмірқышқыл газын қоршаған ортаға шығарады. Осы газдың массасы қаншаға тең болады? || Когда ребенок дышит, он выделяет в окружающую среду 500-600 л углекислого газа в день. На сколько будет равна масса этого газа?
*

![]()
A)
![]()
B)
![]()
C)
![]()
D)
![]()
E)
4 сұрақ || вопрос.
Химиялық элементтердің периодтық жүйесінде 118 элемент бар екені белгілі. Осы элементтердің электрондық қабаттардың – s, - p, -d, -f реті спектр сызықтарына байланысты. Олардың дұрыс атауы: || Известно, что в периодической таблице химических элементов 118 элементов. Порядок – s, - p, -d, -f электронных слоев этих элементов зависит от линий спектра. Назовите их правильное название:
*

A) 0 - s (sharp) – өткір, 1-р (principal) – негізгі, 2- d (diffuse) – диффузиялық, 3- f (fundamental) - фундаментальді; || 0 - s (sharp) – острый, 1-р (principal) – основной, 2- d (diffuse) – диффузийный, 3- f (fundamental) - фундаментальный;
B) 0 - s (principal) – өткір, 1-р (sharp) – негізгі, 2- d (diffuse) – диффузиялық, 3- f (fundamental) - фундаментальді; || 0 - s (principal) – острый, 1-р (sharp) – основной 2- d (diffuse) – диффузийный, 3- f (fundamental) - фундаментальный;
C) 0 - s (sharp) – өткір, 1-р (diffuse) – негізгі, 2- d (principal) – диффузиялық, 3- f (fundamental) - фундаментальді; || 0 - s (sharp) – острый, 1-р (diffuse) – основной, 2- d (principal) – диффузийный, 3- f (fundamental) - фундаментальный;
D) 0 - s (sharp) – өткір, 1-р (principal) – негізгі, 2- d (fundamental) – диффузиялық, 3- f (diffuse) - фундаментальді; || 0 - s (sharp) – острый, 1-р (principal) – основной, 2- d (fundamental) – диффузийный, 3- f (diffuse) - фундаментальный;
E) 0 - s (fundamental) – өткір, 1-р (principal) – негізгі, 2- d (diffuse) – диффузиялық, 3- f (sharp) - фундаментальді; || 0 - s (fundamental) – острый, 1-р (principal) – основной, 2- d (diffuse) – диффузийный, 3- f (sharp) - фундаментальный;
5 сұрақ || вопрос.
Зертхана бөлмесінен лаборант көгілдір мыс (ІІ) сульфатын алды. Қораптан темір тақташасын алып, мыс (ІІ) сульфатына салды. Қандай реакция типі орындалды? || Из помещения лаборатории лаборант взял раствор сульфата меди (II) голубого цвета. Достал из коробки железную пластину и опустил в сульфат меди (II). Какой тип реакции был выполнен?
*

A) Қосылу реакциясы; || Реакция соединения;
B) Орын басу реакциясы; || Реакция замещения;
C) Айырылу реакциясы; || Реакция разложения;
D) Алмасу реакциясы; || Реакция обмена;
E) Тотықсыздану реакциясы. || Реакция восстановления.
6 сұрақ || вопрос.
Біздің заманымыздың ең проблемалы шешілмей тұрған жаhандық мәселенің бірі – қышқыл жаңбырлар. Қышқыл жаңбырдың пайда болуының басты себебі неде? || Одна из самых нерешенных глобальных проблем нашего времени это – кислотные дожди. Что является основной причиной кислотных дождей?
*

A) Көміртек, металл оксидтермен ластануы; || Загрязнение оксидами углерода и оксидами металлов;
B) Күкірт, азот оксидтерімен ластануы; || Загрязнение оксидами серы и азота;
C) Азот, металл оксидтерімен ластануы; || Загрязнение оксидами азота и оксидами металлов;
D) Күкірт, металл оксидтерімен ластануы; || Загрязнение оксидами серы и оксидами металлов;
E) Көміртек оксидтері, инертті газдармен ластануы. || Загрязнение оксидами углерода, инертными газами.
7 сұрақ || вопрос.
Сауле дене шынықтыру сабағында аяғын жарақаттап алды. Мектеп медбикесі «марганцовканың» 5%-дық ерітіндісімен дезинфекциялауды ойластырды. 200 г 5%-тік ерітінді дайындау үшін судың және марганцовканың қандай массаларын дайындап алу керек?
*

A) 40 г «марганцовка», 190 г су; || 40 г «марганцовки», 190 г воды;
B) 30 г «марганцовка», 190 г су; || 30 г «марганцовки», 190 г воды;
C) 20 г «марганцовка», 190 г су; || 20 г «марганцовки», 190 г воды;
D) 10 г «марганцовка», 190 г су; || 10 г «марганцовки», 190 г воды;
E) 5 г «марганцовка», 190 г су. || 5 г «марганцовки», 190 г воды;
8 сұрақ || вопрос.
Өндірісте фосфор (V) оксидіне су қосып, ортофосфор қышқылын алады. Оны ауыл шаруашылығына және медицинада кеңінен қолданады. Массасы 7,1 г фосфор (V) оксидіне су қосқанда, қанша ортофосфор қышқылы алынатынын есептеңіздер. || В производстве добавляют воду к оксиду фосфора (V) и получают ортофосфорную кислоту. Он широко используется в сельском хозяйстве и медицине. Подсчитайте, сколько ортофосфорной кислоты получают при добавлении воды к оксиду фосфора (V) массой 7,1 г.
*

A) 9,5 г;
B) 9,6 г;
C) 9,7 г;
D) 9,8 г;
E) 9,4 г.
9 сұрақ || вопрос.
Көптеген металдар қышқыл ерітінділерінде ериді. Бірақ қышқыл әсеріне тұрақты элемент бар. Бұл элементті 1804 ж. ағылшын ғалымы С.Теннант патша арағында платина ерігеннен кейін қалған қара шөгінділерді зерттеу нәтижесінде анықтады. Бұл қандай элемент? || Многие металлы растворимы в кислотных растворах. Но есть элемент, устойчивый к кислотному воздействию. Этот элемент был обнаружен в 1804 году английским ученым С. Теннантом. Он изучая черный осадок, оставшийся после растворения самородной платины в царской водке, обнаружил этот элемент. Название этого элемента.
*

A) Рутений;
B) Родий;
C) Палладий;
D) Платина;
E) Иридий.
10 сұрақ || вопрос.
Бұрынғы кезде үйдің сыртын ізбеспен ақтағаны сіздерге белгілі. Ол ізбеске су қосқан кезде эндотермиялық реакция жүреді. Сөндірілмеген ізбеске су қосқанда әк сүті пайда болады. Сөндірілмеген ізбес пен әк сүтінің формуласын анықтаңыздар. || Вам известно, что в прежние времена экстерьер дома отбеливали известкой. Когда к известке добавляют воду, происходит эндотермическая реакция. При добавлении воды в с негашенной известью образуется известковое молоко. Определите формулу негашеной извести и известкового молока.
*

![]()
A)
![]()
B)
![]()
C)
![]()
D)
жүктеу мүмкіндігіне ие боласыз
Бұл материал сайт қолданушысы жариялаған. Материалдың ішінде жазылған барлық ақпаратқа жауапкершілікті жариялаған қолданушы жауап береді. Ұстаз тілегі тек ақпаратты таратуға қолдау көрсетеді. Егер материал сіздің авторлық құқығыңызды бұзған болса немесе басқа да себептермен сайттан өшіру керек деп ойласаңыз осында жазыңыз
Ақ бота-2024 тапсырмалары, 8-сынып
Ақ бота-2024 тапсырмалары, 8-сынып
1 сұрақ|| вопрос
Жолаушылар 1 км және қалған жолдың жартысын жүргенде, оларға әлі барлық жолдың үштен бір бөлігін және тағы 1 км жол жүру қалды. Барлық жолдың ұзындығы қандай?|| После того как туристы прошли 1 км и половину оставшегося пути, им еще осталось пройти треть всего пути и 1 км. Чему равен путь?
*
A) 4 км
B) 6 км
C) 8 км
D) 9 км
E) 12 км
2 сұрақ|| вопрос
Жыл басында сыныпта 25 оқушы еді. Үш оқушы қосылған соң, сыныпта үздіктер саны 1 пайызға артқан. Қазір сыныпта неше үздіктер бар?|| В начале года в классе учились 25 учеников. После того как туда пришли трое новеньких, количество отличников увеличилось на 1 процент. Сколько теперь отличников в классе?
*
A) 2
B) 3
C) 5
D) 7
E) 8
3 сұрақ|| вопрос
Бір сағатта ұста 3 тетік, ал оқушысы 2 тетік дайындайды. Олар бірігіп, осындай 140 тетікті қаншы уақытты дайындайды?|| Мастер делает 3 изделия в час, а его ученик 2 изделия. За какое время они сделают 140 изделий ?
*
A) 25 сағ||час
B) 28 сағ||час
C) 30 сағ||час
D) 32 сағ||час
E) 35 сағ||час
4 сұрақ|| вопрос
Шеңбер бойына барлық тақ цифрлар кез келген ретпен жазылған. Кез келген қатар тұрған үш цифр сағат бойымен үш таңбалы сан құрайды. Барлық бес үш таңбалы сандардың қосындысын табыңыз.|| По кругу расставлены все нечетные цифры в произвольном порядке. Каждые три цифры, стоящие подряд по часовой стрелке, образуют трёхзначное число. Найдите сумму всех пяти таких чисел.
*
A) 2776
B) 2998
C) 2887
D) 2443
E) 2775
5 сұрақ|| вопрос
Үстел үстінде 4 бірдей алма, 5 бірдей банан және 6 бірдей алмұрт жатыр. Неше тәсілмен осы жемістердің үшеуін анасы ұлына сыйлай алады? || На столе лежат 4 одинаковых яблок, 5 одинаковых бананов и 6 одинаковых груш. Сколькими способами мама может подарить сыну 3 фрукта?
*
A) 9
B) 27
C) 6
D) 3
E) 10
6 сұрақ|| вопрос
Шашки ойыны барысында бос торкөздер саны тастар тұрған торкөздер санынан жеті есе артық екенін байқалды. Егер ойыншылардың біріншісінде екіншісінен 2 тасқа артық болса, бірінші ойыншыда неше тас бар? || Во время игры в шашки было замечено, что пустых клеток на доске было в семь раз больше, чем занятых шашками. Сколько шашек у первого игрока было в это время на доске, если у него на 2 шашек больше, чем у второго?
*
A) 9
B) 4
C) 7
D) 8
E) 5
7 сұрақ|| вопрос
Егер уақыт 3:05 болса, неше минуттан кейін минуттық тіл сағаттық тілді қуып жетеді? || Через сколько минут минутная стрелка догонит часовую стрелку, если сейчас часы показывают 3:05?
*
![]()
A)
![]()
B)
![]()
C)
![]()
D)
![]()
E)
8 сұрақ|| вопрос
Қорапта 11 ақ, 8 көк және 4 сары шарлар бар. Ішінде түстері бірдей 5 шар міндетті түрде табылуы үшін, қораптан қарамай, кем дегенде неше шар алу керек? || В коробке лежат 11 белых, 8 синих и 4 жёлтых шариков. Какое наименьшее количество шариков нужно достать из коробки, чтобы среди них наверняка было не менее 5 шаров одного цвета?
*
A) 11
B) 12
C) 13
D) 14
E) 15
9 сұрақ|| вопрос
Егер қандай да бір үшеуі әрдайым қатар тұруы керек болса, бес кітапты сөреге неше тәсілмен қоюға болады? || Сколькими способами можно расставить пять книг на полке, если известно, что какие то три из них всегда должны стоят рядом?
*
A) 64
B) 81
C) 144
D) 36
E) 25
10 сұрақ|| вопрос
Екі жыл бұрын Талғат пен Мараттың ортақ жасы 15 жыл еді. Екі жылдан кейін Талғат 15 жаста болса, неше жылдан кейін Марат 9 жаста болады?|| Два года назад Талгату и Марату вместе было 15 лет. Через два года Талгату будет 15 лет. Через сколько лет Марату будет 9 лет?
*
A) 1
B) 2
C) 3
D) 4
E) 5
Информатика
1 сұрақ || вопрос
1017 КБ көлеміндегі файл белгілі бір қосылым арқылы 3072 бит/с жылдамдықпен беріледі. Файлды жіберуге қанша секунд қажет болады? || Файл размером 1017КБ передается через некоторое соединение со скоростью 3072 бит/с. Сколько секунд он будет передаваться?
*
A) 24
B) 2712
C) 331
D) 339
E) 993
2 сұрақ || вопрос
128 х 512 нүкте өлшеміндегі сурет 16 түспен боялған. Осы суретті сақтау үшін қажет жад көлемін (КБ) табыңыз. || Рисунок размером 128 х 512 точек раскрашен в 16 цветов. Найдите объем памяти (в Кб), необходимый для хранения этого рисунка.
*
A) 32
B) 128
C) 4
D) 64
E) 1024
3 сұрақ || вопрос
Excel-де C3 ұяшығында = A1 + B2 формуласы жазылған. Бұл формула D3 ұяшығына көшірілді. Осы ұяшықта алынатын формуланы көрсетіңіз. || В ячейке C3 Excel записана формула: = А$1 + B2. Эту формулу скопировали в ячейку D3. Укажите формулу, которая будет получена в этой ячейке.
*
A) =A$1 + B2
B) =A$1 + C2
C) =B$1 + C2
D) =B$1 + C3
4 сұрақ || вопрос
Формулаларды көрсету режимінде электрондық кестенің фрагменті берілген. A2 ұяшықтар диапазонының мәндері бойынша есептеулер жүргізілгеннен кейін диаграмма құрылған. Алынған диаграмманы көрсетіңіз. || Дан фрагмент электронной таблицы в режиме отображения формул. После выполнения вычислений по значениям ячеек диапазона A2:D2 была построена диаграмма. Укажите получившуюся диаграмму.
*

A) диаграмма А
B) диаграмма B
C) диаграмма C
D) диаграмма D
E) диаграмма E
5 сұрақ || вопрос
Бағдарламаның фрагментін орындағаннан кейін A айнымалысының мәнін анықтаңыз. ||Определите значение переменной А после выполнения фрагмента программы.
*

A) 6
B) 3.33333
C) 0.33333
D) 4
E) 5
6 сұрақ || вопрос
Үш таңбалы санның орташа санын табу үшін қандай әрекеттер жасау керек? || Какие действия позволяют найти среднюю цифру трехзначного числа N?
*
A) N // 10 % 10
B) N % 10 // 10
C) N % 10 / 10
D) N % 100 / 10
E) N // 10 % 100
7 сұрақ || вопрос
Бағдарламаның фрагментін орындағаннан кейін N айнымалысының мәнін анықтаңыз. || Определите значение переменной N после выполнения фрагмента программы.
*

A) 10
B) 2
C) 3
D) 8
E) 5
8 сұрақ || вопрос
Бағдарлама экранға қанша сан шығарады? || Сколько чисел выведет на экран программа?
*

A) 1
B) 2
C) 3
D) 5
E) 0
9 сұрақ || вопрос
A > 5 or B < 8 шартын қарастырғанда, оның қарсы шартын таңдаңыз. || Для условия A > 5 or B < 8 выберите противоположное:
*
A) A < 5 and B > 8
B) A <= 5 and B >= 8
C) A < 5 or B > 8
D) A <= 5 or B >= 8
10 сұрақ || вопрос
Бағдарлама фрагменті қандай әрекеттерді орындайды? || Какие действия выполняет фрагмент программы?
*

A) B және C сандарының ішіндегі ең кішісін табады || находит меньшее среди чисел B и C
B) екі санның минимумын табады || находит минимальное из двух чисел
С) екі санның максимумын табады || находит максимальное из двух чисел
D) үш санның минимумын табады || находит минимальное из трех чисел
E) үш санның максимумын табады || находит максимальное из трех чисел
Биология
1 сұрақ || вопрос
Микроскоп арқылы жасушалар тобын бақылап, келесі суретті түсіргеніңізді елестетіп көріңіз. Сіз бұл жасушалардың дененің ішкі мүшелерін жауып, қорғайтынын анықтадыңыз. Олар жататын ұлпа түрін таңдаңыз:
||
Представьте, что вы наблюдали группу клеток под микроскопом и сделали следующий снимок.
Вы обнаружили, что эти клетки покрывают и защищают внутренние органы тела. Выберите тип ткани, к которому они, вероятно, относятся.
*

A) Жүйке ұлпасы / Нервная ткань
B) Дәнекер ұлпа / Сосудистая ткань
C) Эпителий ұлпасы / Эпителиальная ткань
D) Бұлшықет ұлпасы / Мышечная ткань
Е) Жабын ұлпасы / покровная ткань
2 сұрақ || вопрос
Липидтердің полимер болмау себебін таңдаңыз. || Выберите причину, по которой липиды не являются полимерами.
*
A) Олар органикалық молекулалар емес / Они не являются органическими молекулами
B) Олар мономерлерден тұрмайды / Они не состоят из мономеров
C) Олар жасушалардың құрылыс материалы емес / Они не являются строительным материалом для клеток.
D) Олардың молекулалық массасы өте үлкен / У них очень большая молекулярная масса
Е) Оларда ковалентті байланыстар жоқ / У них нет ковалентных связей
3 сұрақ || вопрос
Жалған тұжырымдаманы таңдаңыз: || Выберите ложное утверждение:
*
A) «Моно» кішкентай дегенді білдіреді / «Моно» означает маленький
B) Полимер – қайталанатын бірліктерден құралған қосылыс / Полимер – это соединение, состоящее из повторяющихся единиц
C) Мономер – ірі молекулалардың негізгі қайталанатын бірлігі / Мономер – это основная повторяющаяся единица крупных молекул
D) Ірі органикалық қосылыстар макромолекулалар деп аталады / Крупные органические соединения называются макромолекулами
E) Полимерлер тек табиғи заттардан құралады / Полимеры состоят только из природных веществ
4 сұрақ || вопрос
Көмірсулар – қарапайым қанттардан тұратын макромолекулалар. Қарапайым қанттардан тұратын барлық макромолекулаларды таңдаңыз: || Углеводы — это макромолекулы, состоящие из простых сахаров. Выберите все макромолекулы, состоящие из простых сахаров:
i. Крахмал || Крахмал
ii. Гемоглобин || Гемоглобин
iii. Балауыз || Воск
iv. Целлюлоза || Целлюлоза
v. Гликоген || Гликоген
*
A) i
B) ii және/и iii
C) i, iii және/и v
D) i, iv және/и v
E) i және/и iv
5 сұрақ || вопрос
Төмендегілердің қайсысы ақуыздардың қызметі емес? || Какое из следующих не является функцией белков?
*
A) Молекулаларды тасымалдау / Транспорт молекул
B) Дене бөліктерінің қозғалысы / Движение частей тела
C) Ара ұясының құрылыс материалы / Строительный материал пчелиных сот
D) Адамның шашы мен көзіне түс беру / Придают цвет волосам и глазам человека
E) Жасушаның энергетикалық көзі / Источник энергии для клетки
6 сұрақ || вопрос
Көк-жасыл балдырлар — судағы экожүйелерде фотосинтез жүргізетін организмдер. Экологиялық және физиологиялық аспектілерді ескере отырып, жер үсті ортасымен салыстырғанда суда өмір сүрудің қандай артықшылықтары бар? Дұрыс тұжырымдаманы таңдаңыз: || Водоросли — это фотосинтетические организмы, которые процветают в водной среде. Учитывая экологические и физиологические аспекты, какие преимущества дает жизнь в воде по сравнению с наземной средой? Выберите правильное утверждение:
*
А) су метаболизм процестері үшін пайдалы тұрақты температураны қамтамасыз етеді / / вода обеспечивает стабильную температуру, полезную для метаболических процессов
В) сулы ортада еріген қоректік заттардың концентрациясы топыраққа қарағанда жоғары болады // концентрация растворенных питательных веществ в водной среде выше, чем в почве
C) балдырлар атмосфералық кедергілердің аз болуына байланысты судағы күн сәулесін тиімдірек сіңіре алады // водоросли могут более эффективно поглощать солнечный свет в воде из-за меньшего атмосферного сопротивления
D) cу балдырлардың көлемін құрылымдық шектеулерсіз ұлғайтуына мүмкіндік береді. / вода поддерживает плавучесть, позволяя достигать больших размеров без структурных ограничений.
E) су экожүйесінде ресурстар үшін бәсекелестік жердегі экожүйелермен салыстырғанда төмен, бұл балдырлардың өмір сүруіне тиімді // су экожүйесінде ресурстар үшін бәсекелестік жердегі экожүйелермен салыстырғанда төмен, бұл балдырлардың өмір сүруіне тиімді
7 сұрақ || вопрос
Гүлді өсімдіктерді зерттеуде, екі түрлі топ: даражарнақтылар мен қосжарнақтылардың әртүрлі сипаттамалары оларды жіктеуге көмектеседі. Екі топқа да тән болуы мүмкін жалпы белгілерді ескере отырып, келесі тұжырымдамалардың қайсысы ортақ сипаттаманы көрсетеді? Дұрыс нұсқаны таңдаңыз: || В изучении цветковых растений как двудольные, так и однодольные проявляют различные характеристики, которые помогают в их классифицировать. Учитывая общие признаки, которые могут быть свойственны обеим группам, какое из следующих утверждений точно отражает общую характеристику? Выберите правильный вариант:
*
A) екеуі де тұқым түзеді және жынысты көбеюдің стратегиясы ретінде қосарлы ұрықтануды жүзеге асырады // Оба производят семена и осуществляют двойное оплодотворение как репродуктивную стратегию.
B) екеуінде де жарнақтардың саны бірдей, бұл олардың даражарнақтылар мен қосжарнақтылар ретінде жіктелуіне ықпал етеді. // Оба имеют равное количество семядолей, что способствует их классификации как однодольные и двухдольное.
C) екі топта белгілі бер тіршілік кезеңінде жапырақсыз өмір сүре алады, бұл олардың қоршаған ортаға бейімделуін көрсетеді // Обе группы могут выживать без листьев на определенных этапах жизни, демонстрируя адаптацию к своей среде.
D) екеуі де әдетте кіндік тамыр жүйесіне ие, бұл олардың су сіңіру қабілеттеріне әсер етеді // Оба обычно обладают стержневой корневой системой, что влияет на их способности к поглощению воды.
E) Екеуі де жас өсімдік кезеңінде фотосинтез жасау қабілетіне ие, бұл олардың өсуі мен энергия қажеттіліктеріне ықпал етеді. // Оба типа способны к фотосинтезу на ювенильной стадии, что способствует их росту и энергетическим потребностям.
8 сұрақ || вопрос
Антиденелер-бұл бактерияларды, вирустарды және басқа зиянды қоздырғыштарды бейтараптандыру үшін иммундық жүйе түзетін арнайы ақуыздар. Олардың қандағы түзілуі әртүрлі жағдайларға жауап ретінде артады. Төмендегі тұжырымдаманың қайсысы антиденелер түзілуінің айтарлықтай өсуіне әкелуі мүмкін? Дұрыс нұсқаны таңдаңыз: || Антитела — это специализированные белки, которые производятся иммунной системой для нейтрализации бактерий, вирусов и других вредных патогенов. Их продукция в крови увеличивается в ответ на различные условия. Какой из следующих сценариев наиболее вероятно вызовет значительное увеличение производства антител? Выберите лучший вариант:
*
A) Ағзаға энергия қажет болғанда және көмірсулар мен липидтердің жетіспеушілігі кезінде иммундық жүйенің реакциясын тудырады./ Когда организму требуется энергия, и наблюдается дефицит углеводов и липидов, вызывающий реакцию иммунной системы.
B) Ағзаға инфекцияға байланысты бөгде антигендер түскенде, антиденелер саны артып, иммундық реакцияны тудырады.Когда организм сталкивается с чужеродными антигенами из-за инфекции, что вызывает иммунный ответ с увеличением количества антител.
C) Күн сайын таңғы астан кейін, ағза қоректік заттарды сіңіріп, иммундық реакцияның артуына әкеледі./ Ежедневно после завтрака, когда организм поглощает питательные вещества, что приводит к увеличению иммунного ответа.
D) Шамамен 18 жастан асқанда иммундық жүйенің даму шегіне жетіп, антиденелердің түзілуі артады. / В возрасте около 18 лет, когда иммунная система достигает пика развития, увеличивая продукцию антител.
E) Вакцинация кезінде, иммундық жүйе иммунитетті қалыптастыру үшін патогенді зиянсыз формаға айналдырады / При получении вакцинации, так как иммунная система подвергается воздействию безвредной формы патогена для формирования иммунитета.
9 сұрақ || вопрос
Сізге 2 өсімдіктің құрылымдық суреттері берілген.
Оларды талдап, өсімдіктердің басты айырмашылықтарын сипаттайтын жауапты таңдаңыз:
|| Вам представлены структурные изображения 2 растений.
Проанализируйте их и выберите ответ, описывающий основные различия между этими растениями.
*

A) В өсімдігі жеміс бермейді / Растение В не дает плодов
B) А және В өсімдіктері екеуі де тұқымсыз өсімдіктер / Растения А и В являются бессемянными
C) А өсімдігі даражарнақты, ал В өсімдігі қосжарнақты / Растение А — однодольное, а растение В — двудольное
D) А өсімдігі жабықтұқымды, ал В өсімдігі ашықтұқымды / Растение А — покрытосеменное, а растение В — голосеменное
E) А өсімдігінің тамыр жүйесі шашақты, ал В өсімдігінің тамыры кіндік тәрізді / У растения А мочковатая корневая система, а у растения В стержневая
10 сұрақ || вопрос
Бұдыр эндоплазмалық тор (ЭПТ) көптеген рибосомалармен жабылған, бұл оған өзіне тән көрінісін береді. Бұл құрылымның жасушадағы рөлін анықтап, оның негізгі қызметі туралы жауапты таңдаңыз: || Шероховатая эндоплазматическая сеть часто покрыта множеством рибосом, что придает ей характерный вид. Проанализируйте роль этой структуры в клетке и выберите наиболее полный ответ о ее основной функции:
*
A) Рибосомалардың синтезі үшін генетикалық ақпаратты сақтау / Хранение генетической информации для синтеза рибосом
B) Жасушаны сыртқы зақымданудан қорғау / Защита клетки от внешних повреждений
C) Ақуыздарды синтездеу және оларды тасымалдауға дайындау / Синтез белков и подготовка их к транспортировке
D) Қоректік заттарды АТФ-қа айналдыру арқылы энергия өндіру / Производство энергии путем преобразования питательных веществ в АТФ
E) Жаңадан синтезделген ақуыздарды жинақтау, сапасын бақылау және оларды жасуша ішінде немесе сыртында қажетті орындарға жөнелту / Свертывание, контроль качества и отправка вновь синтезированных белков в целевые места внутри или за пределами клетки
География
1 сұрақ||вопрос
Бұл жануар эндемик. Қай континенттікі? ||
Данное животное – эндемик . Какого материка?
*

A) Оңтүстік Америка || Южная Америка
B) Аустралия || Австралия
C) Африка
D) Антарктида
E) Солтүстік Америка || Северная Америка
2 сұрақ||вопрос
Мұхитта ендік 0 және бойлық 180 нүктесі орналасқан || Точка 0 широты и 180 долготы находится в океане
*
A) Тынық || Тихом
B) Атлант || Атлантическом
C) Солтүстік Мұзды || Северном Ледовитом
D) Үнді || Индийском
E) ондай нүкте жоқ || такой точки нет
3 сұрақ||вопрос
2 минут ішінде бүкіл әлем бойынша саяхатты қандай материкте жасауға болады (батыс және шығыс жарты шарға барыңыз) || Кругосветное путешествие за 2 минуты можно сделать на материке ( побывать и в западном и восточном полушарии)
*
A) Оңтүстік Америка ||Южная Америка
B) Аустралия || Австралия
C) Азия
D) Антарктида
E) Солтүстік Америка || Северная Америка
4 сұрақ||вопрос
Қате мәлімдемені анықтаңыз || Определите неправильное утверждение
*

A) Покровка өзеннің сол жағалауында орналасқан || Покровка стоит на левом берегу реки
B) Покровка өзеннің оң жағалауында орналасқан || Покровка стоит на правом берегу реки
C) Аралас типтегі орман || Лес смешанного типа
D) Картаның сол жағы - Батыс || Левая часть карты- запад
E) Картаның оң жағы-Шығыс || Правая часть карты- восток
5 сұрақ||вопрос
Ең төменгі халық тығыздығы қай нүктеде байқадады? || В какой точке наблюдается наименьшая плотность населения?
*

A) 1
B) 2
C) 3
D) 4
E) 5
6 сұрақ || вопрос
Осы график бойынша анықтауға болады (қате жауапты таңдаңыз) ||По данному графику можно определить ( выбрать неправильный ответ)
*

A) Ең жоғары температура сағат 14-те болды || Самая высокая температура была в 14 часов
B) Ең төменгі температура сағат 6-да болды || Самая низкая температура была в 6 часов
C) Күндізгі амплитуда 7 - градус || Дневная амплитуда составляет 7 градусов
D) Күндізгі амплитуда 9 - градус || Дневная амплитуда составляет 9 градусов
E) түнде ауа температурасы төмендейді || температура ночью будет падать
7 сұрақ||вопрос
Осы екі материкті де шаймайтын мұхитты анықтаңыз ||
Определите океан , который не омывает эти оба материка*

A) Тынық || Тихий
B) Атлант || Атлантический
C) Солтүстік Мұзды || Северный Ледовитый
D) Үнді || Индийский
E) мұндай мұхит жоқ || такого океана нет
8 сұрақ||вопрос
Бұл құрылғы қалай аталады? || Этот прибор как называется?
*

A) курвиметр
B) спидометр
C) гигрометр
D) термометр
E) барометр
9 сұрақ||вопрос
Бұл ағаш арқылы көкжиек тұстарын қалай табуға болады? / Как с помощью данного дерева определить стороны света?
*

A) бұтақтар оңтүстік жағында көбірек || веток больше на южной стороне
B) бұтақтар батыс жағында көбірек || веток больше на западной стороне
C) бұтақтар шығыс жағында көбірек|| веток больше на восточной стороне
D) бұтақтар солтүстік жағында көбірек || веток больше на северной стороне
E) маңызды емес || не играет значения
10 сұрақ||вопрос
Сызбаны пайдаланып, дұрыс жауапты анықтаңыз || Используя схему, определите правильный ответ
*

A) креолдар || креолы
B) метистер || метисы
C) мулаттар || мулаты
D) үндістер || индейцы
E) самбо
Физика
1 сұрақ || вопрос
*

А) Конвекция
В) Конденсация
С) Сәулелену/ Радиация
D) Жұмыс жасау/Работа
E) Жылуөткізгіштік/ Теплопроводность
2 сұрақ || вопрос
Қыс мезгілінде темірден жасалған затты қардың үстіне тастасақ ол батып кетеді. Бұл құбылыс денелердің тығыздықтарына байланысты болса, төмендегі дұрыс тұжырымды белгілеңіз. || Если в зимнее время бросить железный предмет на снег, он утонет. Если это явление связано с плотностями тел, укажите правильное утверждение.
*
А) Темірдің массасы қардың массасымен бірдей/ Масса железа равна массе снега.
В) Темірдің массасы қардың массасынан аз/ Масса железа меньше массы снега.
С) Темірдің тығыздығы қардың тығыздығынан жоғары/ Плотность железа выше плотности снега
D) Темірдің тығыздығы қардың тығыздығынан аз/Плотность железа ниже плотности снега.
E) Темірдің тығыздығы қардың тығыздығымен бірдей/ Плотность железа равна плотности снега
3 сұрақ || вопрос
*

А) 42,4%
В) 34,1%
С) 52,6%
D) 22,8%
E) 29,9%
4 сұрақ || вопрос
*

А) 22,35°C
В) 29,2 °C
С) 32,4°C
D) 13,6°C
E) 38,9°C
5 сұрақ || вопрос
Бала 2 м биіктіктен допты жерге тастады. Доп жерге соғылғаннан кейін 1,5 м биіктікке қайта көтерілді. Қандай себеппен доп бастапқы биіктіктен төмен көтерілді? Бұл қандай заң? || Ребенок уронил мяч с высоты 2 м. Мяч вернулся на высоту 1,5 м после удара о землю. Почему мяч поднялся ниже начальной высоты? Какой закон это описывает?
*
А) Импульстің сақталу заңы, соғылу кезінде энергетикалық артады/ Закон сохранения импульса, энергия увеличивается при столкновении
В) Импульстің сақталу заңы, соғылу кезінде энергетикалық кемиді/ Закон сохранения импульса, энергия уменшается при столкновении
С) Энергия сақталу заңы, соғылу кезінде энергетикалық артады/ Закон сохранения энергии, энергия увеличивается при столкновении
D) Энергияның сақталу заңы, соғылу кезінде энергия жоғалады/ Закон сохранения энергии гласит, что при столкновениях энергия теряется.
E) Энергияның сақталу заңы, соғылу кезінде энергия өзгермейді/ Закон сохранения энергии гласит, что при столкновениях энергия не изменяется.
6 сұрақ || вопрос
Досжан мен Серік бір-біріне қарама-қарсы бағытта үйлерінен орталық саябаққа қарай велосипедке мініп шықты. Досжан мен Серіктің үйлерінің арақашықтығы 12 км. Досжанның жылдамдығы 36 км/сағат, ал Сержанның жылдамдығы 18 км/сағат болса, олар неше сағаттан кейін кездеседі. || Досжан и Серик на велосипедах выехали из своих домов в противоположных направлениях к центральному парку. Расстояние между домами Досжана и Серика составляет 12 км. Если скорость Досжана 36 км/ч, а скорость Серика 18 км/ч, через сколько часов они встретятся?
*
А) ≈15,64 мин
В) ≈ 14,48 мин
С) ≈13,33 мин
D) ≈18,31 мин
E) ≈12,44 мин
7 сұрақ || вопрос
*

![]()
A)

B)

C)
![]()
D)
![]()
E)
8 сұрақ || вопрос
*

![]()
A)
![]()
B)
![]()
C)
![]()
D)
![]()
E)
9 сұрақ || вопрос
Бала ұзындығы 50 м вагонның соңынан басына дейін барып қайтадан өз орнынан келді. Баланың вагонмен салыстырғандағы жылдамдығы 0,8 м/с. Егер бала поезд вагонының соңына жеткен кезде поезд 3,2 м/с жылдамдықпен қозғала бастаса, онда баланың алғашқы 100 с ішіндегі жермен салыстырғандағы жолын есептеңіз. || Ребенок прошел от конца вагона длиной 50 м до его начала и вернулся на свое место. Скорость ребенка относительно вагона составляет 0,8 м/с. Если поезд начинает двигаться со скоростью 3,2 м/с, когда ребенок доберется до конца вагона, каково расстояние, пройденное ребенком за первые 100 секунд относительно земли?
*
А) 500 м
В) 350 м
С) 400 м
D) 450 м
E) 600 м
10 сұрақ || вопрос
Екі дос бір уақытта ауылдан 2,5 км жерде орналасқан ауылдағы дүкенге жол тартты. Оларда тек бір орындық велосипед бар. Достардың келісуі бойынша әуелі бірінші бала велосипедке мініп, сосын оны жолда қалдырып, жаяу жүрді, сосын екінші бала алдымен жаяу жүріп, велосипедке жеткенде оған отырып, жолдың қалған бөлігін велосипедпен жүріп өтті. Егер екі дос бір мезетте дүкеннің жанына жететін болса, олар жалпы үйден дүкенге дейін қанша уақытта жетті. Жаяу адамның жылдамдығы 4,2 км/сағ, ал велосипедте 18 км/сағ. || Два друга одновременно направились в магазин, который находится в 2,5 км от деревни. У них есть только один велосипед. По договоренности, сначала первый друг садится на велосипед, потом оставляет его и идет пешком, затем второй друг сначала идет пешком, а когда добирается до велосипеда, садится на него и проезжает оставшуюся часть пути. Если оба друга одновременно достигают магазина, сколько времени они потратили на путь от дома до магазина? Скорость пешехода — 4,2 км/ч, а скорость на велосипеде — 18 км/ч.
*
А) ≈56 минут
В) ≈44 минут
С) ≈50 минут
D) ≈36 минут
E) ≈48 минут
Химия
1 сұрақ || вопрос.
Альберт Эйнштейннен кейінгі ХХ ғасырдың ең мықты ғалымдардың бірі, ядролық қауіп – қатерлерге қарсы күрестің белсенді қатысушысы. Нобель сыйлығының иегері: || Один из сильнейших ученых ХХ века после Альберта Эйнштейна, активный участник борьбы с ядерными угрозами. Лауреат Нобелевской премии:
*

A) Д.И.Менделеев;
B) Э.Резерфорд;
C) Н.Бор;
D) А.М.Бутлеров;
E) Н.Н.Бекетов.
2 сұрақ || вопрос.
Мұғалім Маратқа массасы 5 г ас содасын өлшеп берді және тұз қышқылының ерітінідісін берді. Екі затты бір-біріне қосу арқылы қанша көлем (қ.ж.) газ бөлінетінін есептеу керек. Жауабы қандай болмақ? || Учитель дал Марату 5 г пищевой соды и раствор соляной кислоты. Соединяя два вещества вместе, необходимо рассчитать, какой объем (н.у.) газа выделен. Каков будет ответ?
*

![]()
A)
![]()
B)
![]()
C)
![]()
D)
![]()
E)
3 сұрақ || вопрос.
Бала тыныс алғанда тәулігіне 500-600 л (қ.ж.) көмірқышқыл газын қоршаған ортаға шығарады. Осы газдың массасы қаншаға тең болады? || Когда ребенок дышит, он выделяет в окружающую среду 500-600 л углекислого газа в день. На сколько будет равна масса этого газа?
*

![]()
A)
![]()
B)
![]()
C)
![]()
D)
![]()
E)
4 сұрақ || вопрос.
Химиялық элементтердің периодтық жүйесінде 118 элемент бар екені белгілі. Осы элементтердің электрондық қабаттардың – s, - p, -d, -f реті спектр сызықтарына байланысты. Олардың дұрыс атауы: || Известно, что в периодической таблице химических элементов 118 элементов. Порядок – s, - p, -d, -f электронных слоев этих элементов зависит от линий спектра. Назовите их правильное название:
*

A) 0 - s (sharp) – өткір, 1-р (principal) – негізгі, 2- d (diffuse) – диффузиялық, 3- f (fundamental) - фундаментальді; || 0 - s (sharp) – острый, 1-р (principal) – основной, 2- d (diffuse) – диффузийный, 3- f (fundamental) - фундаментальный;
B) 0 - s (principal) – өткір, 1-р (sharp) – негізгі, 2- d (diffuse) – диффузиялық, 3- f (fundamental) - фундаментальді; || 0 - s (principal) – острый, 1-р (sharp) – основной 2- d (diffuse) – диффузийный, 3- f (fundamental) - фундаментальный;
C) 0 - s (sharp) – өткір, 1-р (diffuse) – негізгі, 2- d (principal) – диффузиялық, 3- f (fundamental) - фундаментальді; || 0 - s (sharp) – острый, 1-р (diffuse) – основной, 2- d (principal) – диффузийный, 3- f (fundamental) - фундаментальный;
D) 0 - s (sharp) – өткір, 1-р (principal) – негізгі, 2- d (fundamental) – диффузиялық, 3- f (diffuse) - фундаментальді; || 0 - s (sharp) – острый, 1-р (principal) – основной, 2- d (fundamental) – диффузийный, 3- f (diffuse) - фундаментальный;
E) 0 - s (fundamental) – өткір, 1-р (principal) – негізгі, 2- d (diffuse) – диффузиялық, 3- f (sharp) - фундаментальді; || 0 - s (fundamental) – острый, 1-р (principal) – основной, 2- d (diffuse) – диффузийный, 3- f (sharp) - фундаментальный;
5 сұрақ || вопрос.
Зертхана бөлмесінен лаборант көгілдір мыс (ІІ) сульфатын алды. Қораптан темір тақташасын алып, мыс (ІІ) сульфатына салды. Қандай реакция типі орындалды? || Из помещения лаборатории лаборант взял раствор сульфата меди (II) голубого цвета. Достал из коробки железную пластину и опустил в сульфат меди (II). Какой тип реакции был выполнен?
*

A) Қосылу реакциясы; || Реакция соединения;
B) Орын басу реакциясы; || Реакция замещения;
C) Айырылу реакциясы; || Реакция разложения;
D) Алмасу реакциясы; || Реакция обмена;
E) Тотықсыздану реакциясы. || Реакция восстановления.
6 сұрақ || вопрос.
Біздің заманымыздың ең проблемалы шешілмей тұрған жаhандық мәселенің бірі – қышқыл жаңбырлар. Қышқыл жаңбырдың пайда болуының басты себебі неде? || Одна из самых нерешенных глобальных проблем нашего времени это – кислотные дожди. Что является основной причиной кислотных дождей?
*

A) Көміртек, металл оксидтермен ластануы; || Загрязнение оксидами углерода и оксидами металлов;
B) Күкірт, азот оксидтерімен ластануы; || Загрязнение оксидами серы и азота;
C) Азот, металл оксидтерімен ластануы; || Загрязнение оксидами азота и оксидами металлов;
D) Күкірт, металл оксидтерімен ластануы; || Загрязнение оксидами серы и оксидами металлов;
E) Көміртек оксидтері, инертті газдармен ластануы. || Загрязнение оксидами углерода, инертными газами.
7 сұрақ || вопрос.
Сауле дене шынықтыру сабағында аяғын жарақаттап алды. Мектеп медбикесі «марганцовканың» 5%-дық ерітіндісімен дезинфекциялауды ойластырды. 200 г 5%-тік ерітінді дайындау үшін судың және марганцовканың қандай массаларын дайындап алу керек?
*

A) 40 г «марганцовка», 190 г су; || 40 г «марганцовки», 190 г воды;
B) 30 г «марганцовка», 190 г су; || 30 г «марганцовки», 190 г воды;
C) 20 г «марганцовка», 190 г су; || 20 г «марганцовки», 190 г воды;
D) 10 г «марганцовка», 190 г су; || 10 г «марганцовки», 190 г воды;
E) 5 г «марганцовка», 190 г су. || 5 г «марганцовки», 190 г воды;
8 сұрақ || вопрос.
Өндірісте фосфор (V) оксидіне су қосып, ортофосфор қышқылын алады. Оны ауыл шаруашылығына және медицинада кеңінен қолданады. Массасы 7,1 г фосфор (V) оксидіне су қосқанда, қанша ортофосфор қышқылы алынатынын есептеңіздер. || В производстве добавляют воду к оксиду фосфора (V) и получают ортофосфорную кислоту. Он широко используется в сельском хозяйстве и медицине. Подсчитайте, сколько ортофосфорной кислоты получают при добавлении воды к оксиду фосфора (V) массой 7,1 г.
*

A) 9,5 г;
B) 9,6 г;
C) 9,7 г;
D) 9,8 г;
E) 9,4 г.
9 сұрақ || вопрос.
Көптеген металдар қышқыл ерітінділерінде ериді. Бірақ қышқыл әсеріне тұрақты элемент бар. Бұл элементті 1804 ж. ағылшын ғалымы С.Теннант патша арағында платина ерігеннен кейін қалған қара шөгінділерді зерттеу нәтижесінде анықтады. Бұл қандай элемент? || Многие металлы растворимы в кислотных растворах. Но есть элемент, устойчивый к кислотному воздействию. Этот элемент был обнаружен в 1804 году английским ученым С. Теннантом. Он изучая черный осадок, оставшийся после растворения самородной платины в царской водке, обнаружил этот элемент. Название этого элемента.
*

A) Рутений;
B) Родий;
C) Палладий;
D) Платина;
E) Иридий.
10 сұрақ || вопрос.
Бұрынғы кезде үйдің сыртын ізбеспен ақтағаны сіздерге белгілі. Ол ізбеске су қосқан кезде эндотермиялық реакция жүреді. Сөндірілмеген ізбеске су қосқанда әк сүті пайда болады. Сөндірілмеген ізбес пен әк сүтінің формуласын анықтаңыздар. || Вам известно, что в прежние времена экстерьер дома отбеливали известкой. Когда к известке добавляют воду, происходит эндотермическая реакция. При добавлении воды в с негашенной известью образуется известковое молоко. Определите формулу негашеной извести и известкового молока.
*

![]()
A)
![]()
B)
![]()
C)
![]()
D)
шағым қалдыра аласыз













