Ақтөбе облысы
Алға ауданы
Болгар мектеп - бақшасы
Математика және информатика пәндерінің мұғалімі
Соловьева Людмила Григорьевна
|
Класс |
10 |
||||||||||||||||||||||||||||||
|
Тема занятия: |
Творческо-исследовательский урок на тему: «Графики функций в нашей жизни» |
||||||||||||||||||||||||||||||
|
Ссылки: |
Шуба М. Ю. Занимательные задания в обучении
математики М., Просвещение, 1995г. http://www.ibo.org |
||||||||||||||||||||||||||||||
|
Цели: |
Образовательная цель: сформировать у учащихся умение применять математический аппарат к решению графических задач по физике, литературе, биологии. Выявить связь функций с явлениями окружающего мира и практической деятельностью человека, показать, что понятие «функция» находит широкое применение в жизни. Развивающая цель: развивать математические способности учащихся, умение анализировать, выделять общие и отличительные свойства, развивать исследовательские способности умение применять теоретические знания на практике, развивать память, внимание, наблюдательность. Воспитательная цель: воспитывать устойчивый интерес к изучению математики и физики через реализацию межпредметных связей, воспитывать взаимопомощь и объективность оценки знаний; стимулировать учащихся к самовыражению, создавая ситуацию успеха. |
||||||||||||||||||||||||||||||
|
Ожидаемые результаты: |
Научится «видеть» и понимать значимость применения функциональной зависимости в различных сферах человеческой деятельности, углубить знания и понимания по теме «Функция» |
||||||||||||||||||||||||||||||
|
Ключевые идеи, новые понятия: |
Функция, степенная функция, график |
||||||||||||||||||||||||||||||
|
Содержание урока 1.Постановка цели занятия (3 мин) Проблема. На уроках математики мы познакомились с различными функциями, их свойствами и графиками, но мы мало знаем о том, где в реальной жизни можно встретиться с этой моделью, и как человек использует функции в своей практической деятельности. Актуальность темы. Реальные процессы обычно связаны с большим количеством переменных и зависимостей между ними. Описать эти зависимости можно с помощью функций. Знание свойств функций позволяет понять суть происходящих процессов, предсказать ход их развития, управлять ими. Изучение функций является актуальным всегда. Цель. выявить связь функций с явлениями окружающего мира и практической деятельностью человека, показать, что понятие «функция» находит широкое применение в жизни.
2.Работа над концептуальными картами (3мин(работа)+2мин(проверка)=5 мин) Прежде чем приступить к решению задач, проверим насколько хорошо вы знакомы со свойствами основных видов функций Сейчас вы будете работать в парах. Я предлагаю вам задание: перед вами график функции и на отдельных карточках их свойства. Вы должны в течение 3 минут выбрать те свойства данного графика функции, которые будут относится именно к нему, а остальные отбросить (Проверка осуществляется с помощью презентации) 3.Индивидуальная работа (взаимопроверка)
Заполнить таблицу, согласно готовому данному графику функции 3. Творческо – исследовательская работа в группах Человек издавна стал замечать соответствия между отдельными предметами и явлениями окружающего мира. Дым столбом – зимой к морозу, а летом к дождю. Лягушки по берегу скачут – к дождю. Курица на одной ноге стоит – к морозу. Систематизируя наиболее устойчивые взаимозависимости, человек научился рассматривать их как частный случай неких соотношений. Человек назвал их законами природы. Знание законов природы даёт человеку возможность объяснять и предсказывать разнообразные природные явления. Каждая область знаний : физика, химия, биология, экономика, архитектура, теоретическая механика, имеет свои объекты изучения, устанавливает свойства и взаимосвязи этих объектов. Математическими портретами этих взаимосвязей ( закономерностей) служат функции. Функции – одно из основных математических и общенаучных понятий. Оно играет большую роль в познании реального мира. Что е такое «функция»? Функция – это работа, производимая органом, организмом ( одна из функций печени – это фильтрация токсинов и синтез белков) Функция - возможность программы или прибора ( мобильный телефон выполняет функцию фотоаппарата). Функция – обязанность, круг деятельности ( одной из функций классного руководителя является работа по сплочению детского коллектива). Функция – роль персонажа в литературном произведении ( функция репки в одноимённой сказке показать роль и силу семьи).
У
Х
У
Х
ФУНКЦИЯ
НЕ ФУНКЦИЯ
переменной Х соответствует единственное значение зависимой переменной У. С функцией мы встречаемся не то, что каждый день, а на каждом шагу!
1 группа. Информатика Проверка гипотезы с помощью компьютерной техники, программного обеспечения. План выполнения работы.
После запуска Excel экран содержит пять областей:
Все эти пять областей называются рабочей областью книги. Выполнение работы:
Вариант I
Вариант II
Вариант III
Вариант IV
После выполнения задания на компьютере сравниваются результаты работы, сделанные от руки и с помощью электронных таблиц. 2 группа. Литература Введение «Математическими портретами закономерностей природы служат функции» Современная математика знает множество функций, и у каждой своей неповторимый облик, как неповторим облик каждого из миллиардов людей, живущих на земле. Однако при всей непохожести одного человека на другого у каждого есть руки и голова, уши и рот. Точно так же облик каждой функции можно представить сложенным из набора характерных деталей. В них появляются основные свойства функций. Функции – это математические портреты устойчивых закономерностей, Познаваемых человеком. Чтобы проиллюстрировать характерные свойства функций, нам показалось естественным обратиться к пословицам. Ведь пословицы – это отображение устойчивых закономерностей, выверенное многовековым опытом народа.
Цель исследования:
Изучение понятия «функция», ознакомление со способами исследования функциональных зависимостей, применение на практике изученных способов для построения графиков к пословицам на основе их функциональных зависимостей.
Показать, что понимание человечеством функциональных связей и взаимосвязей между отдельными качествами жизни послужило источником происхождения многих пословиц и поговорок, без которых наша речь была бы невыразительной и обыденной. Предмет исследования:
Количественные соотношения, являющиеся функциональными зависимостями величин.
Задачи:
1)изучить и сравнить определения функции, которые даются в математической литературе
2)изучить способы задания функции;
3)построить графики на основе пословиц Методы исследования:
работа с литературой, практика, анализ, обобщение. Все примеры в данной таблице таковы, что их можно увидеть, потрогать руками, просчитать по формуле. Но многие знания народ передаёт из уст в уста в виде примет, пословиц и поговорок. Что же такое «пословица»? Пословица – это краткое народное изречение с назидательным содержанием. Пословица – это опыт народа, передаваемый из уст в уста. Пословица – показывает закономерности нашей жизни, выверенные многовековым опытом народа. А функции – это математические портреты устойчивых закономерностей. Чтобы доказать связь между функциями и пословицами, приведём примеры пословиц, которые проиллюстрируют основные функции и их свойства. 3 группа. Биология Понятие биоритмов и их основные виды . Конечно, если мы не инженеры, то и графики функций мы ежедневно не строим и не используем. Да и используя пословицы в своей речи мы не переводим их в графики. Где же в повседневной жизни мы можем использовать графики? Ответ прост : биоритмы. Линия биоритма очень похожа на знакомую рам синусоиду. Что же такое биоритм и как построить его график? Биоритм – периодическое изменение состояния человека. Основное влияние на человека оказывают физический, эмоциональный и интеллектуальный биоритмы. Они контролируют три различные области поведения, но сами по себе не являются ни причиной, ни следствием каких-либо событий. Однако график биоритмов позволяет планировать свою деятельность, определять совместимость различных людей. Задание: постройте график основных биоритмов для молодого человека рожденного 22 января 1996 года Однажды Морис Клайн американский математик сказал: «Музыка может возвышать или умиротворять душу, живопись – радовать глаз, поэзия – пробуждать чувства, философия – удовлетворять потребности разума, инженерное дело – совершенствовать материальную сторону жизни людей, а математика способна достичь всех этих целей!» Рефлексия «Учитесь так, словно вы постоянно ощущаете нехватку своих знаний, и так словно вы постоянно боитесь растерять свои знания». Конфуций
Анкетирование учащихся.
УВАЖАЕМЫЕ РЕБЯТА! Просим Вас ответить на данные вопросы.
Спасибо за ответы. Домашнее задание 1 задание - практическое. Исследуйте любую из предложенных функций, на основе проведённого исследования постройте графики этой функции в тетради, затем проверьте посторенние графика в виртуальной лаборатории с помощью компьютера. Задания а) – среднего уровня, б)- уровня выше среднего, в) – высокого уровня 1 вариант а) у=(х+1)3 (х-2)
б) у=
в) у= 2 вариант а) у=(х+2)2 (х-2)
б) у= в)у= Творческое задание Указание: отыщите функцию в таблице, исходя из её «автобиографии». Найдите область определения, корень, точку разрыва, промежуток возрастания и убывания. Я – функция
сложная, это известно,
|
|||||||||||||||||||||||||||||||
|
Оценивание |
Постройте график, отражающий ваше состояние на разных этапах урока |
||||||||||||||||||||||||||||||
|
Дополнительные задания, домашнее задание |
|
||||||||||||||||||||||||||||||
Приложение № 1. (Группа № 1. Литература)
|
Функция, график |
Свойство функции |
пословица |
По оси ОХ |
По оси ОУ |
|
Обратная пропорциональность |
убывание |
много пить – добру не быть. (чем больше человек пьёт, тем меньше добра он излучает в мир) |
Кол-во выпитого |
Кол-во добра |
|
Звону много, а толку мало. (о человеке, который много говорит, но мало делает) |
Кол-во звона |
Кол-во толка |
||
|
Мягко стелет, да жёстко спать. |
«мягкость»постели |
Качество сна |
||
|
Линейная функция |
возрастание |
Чем выше встанешь, тем больше увидишь. (если сидеть на месте, то ничего и не увидишь;чтобы чего-то достичь, надо встать и двигаться вперёд, выше) |
Высота, на которой находишься |
Кол-во увиденного |
|
Без труда не вынешь и рыбку из пруда. |
Кол-во вложенного труда |
улов |
||
|
Как аукнется, так и откликнется. (т.к. кол-во «ау» |
Кол-во «ау» |
Кол-во откликов |
||
|
монотонность |
Сколько волка ни корми, всё равно в лес смотрит. |
Кол-во еды |
Направление взгляда |
|
|
Долго думал, да ничего не выдумал. |
Время «думанья» |
Результат «думанья» |
||
|
Светит да не греет. |
Время «освещения» |
Кол-во тепла |
||
|
Квадратичная функция |
Max , min функции |
Кто высоко взлетает, тот низко падает. |
Время движения |
Высота взлёта-падения |
|
Упавшему на самое дно путь только наверх. |
Время движения |
Высота падения-подъёма |
||
|
Недосол на столе – пересол на спине. ( без соли невкусно, с увеличением количества соли улучшается и вкус пищи, но наступает момент, когда крупинка соли всё испортит, есть станет невозможно) |
Кол-во соли |
Вкус пищи |
||
|
Тригонометрическая функция |
Ограниченность сверху и снизу, периодичность |
День дню рознь : нынче тепло, а завтра – мороз. |
дни |
температура |
|
Выше головы не прыгнешь. |
прыжки |
Уровень головы, высота прыжка |
Вывод: Прочитать пословицу можно и не зная математики. Но понять ее, увидеть ее, то, что скрыто за внешними образами речи можно лишь с помощью точной науки. Только она позволяет заметить, что в словах есть формы и ритмы, недоступные глазу созерцателя, но открытые глазу аналитика.
Характерные свойства функций проиллюстрировали с помощью пословиц и выяснили, что это способствует лучшему усвоению основных свойств функций и глубокого понимания богатства смысла и краткости народного языка.
Пословицы - это жизнь народа, человеческий опыт, просеянный через сито веков, духовный мир русского человека, его мысли, чувства и переживания.
Приложение № 2. (Группа № 2. Биология).
Замечание: График построить в табличном процессоре
Понятие биоритмов и их основные виды .
Конечно, если мы не инженеры, то и графики функций мы ежедневно не строим и не используем. Да и используя пословицы в своей речи мы не переводим их в графики. Где же в повседневной жизни мы можем использовать графики? Ответ прост : биоритмы. Линия биоритма очень похожа на знакомую рам синусоиду. Что же такое биоритм и как построить его график?
Биоритм – периодическое изменение состояния человека. Основное влияние на человека оказывают физический, эмоциональный и интеллектуальный биоритмы. Они контролируют три различные области поведения, но сами по себе не являются ни причиной, ни следствием каких-либо событий. Однако график биоритмов позволяет планировать свою деятельность, определять совместимость различных людей.
|
биоритм |
Краткая характеристика |
период |
Критич.дни |
|
О с н о в н ы е б и о р и т м ы |
|||
|
физический |
Отражает состояние мышечной системы, способность выполнять физическую работу, сопротивляемость организма. В течении первой половины периода ( верхняя часть графика) человек легко справляется с физическими нагрузками, испытывает общий подъём. Для второй половины характерна быстрая утомляемость, меньшая выносливость. |
23 |
1 и 12 |
|
эмоциональный |
Отражает состояние нейрогуморальной системы. В первой половине наблюдается повышенная чувствительность и общительность , жизнерадостное настроение. Во второй половине преобладают раздражительность, нетерпимость к окружающим. |
28 |
1 и 14 |
|
интеллектуальный |
Обусловлен деятельностью головного мозга. Первая половина характеризуется повышенной способностью к запоминанию, анализу и усвоению информации, активизацией творческого мышления. |
33 |
1 и 16 |
Эти периоды одинаковы для любого человека, независимо от возраста, пола и состоянии здоровья. Каждый период равен точно целому числу суток, как-будто внутренний механизм отсчитывает дни и ночи.
Когда 2 или 3 ритма проходят через средний уровень ( горизонтальная ось, критические дни, ритм=0), надо быть особенно осторожным : в это время человек более подвержен несчастным случаям.
Дни, когда 2 цикла находятся ниже среднего уровня или когда один находится в максимуме, а другой – в минимуме, тоже опасны.
Последовательность таких дней, начиная с рождения, совершенно одинакова для каждого человека.
Для построения графика биоритма надо:
1.вычислить количество прожитых дней на расчётный день. Помнить о високосных годах!
2.разделить полученное число на период биоритма.
3.частное показывает, сколько полных циклов данного ритма прошло с момента рождения до расчётного дня. Остаток от деления показывает, сколько дней нового цикла прошло на расчётный день.
4.построить график и сделать выводы.
Пример расчёта.
Дата рождения – 22 января 1996 года.
Расчётный день – 22 января 2014 года.
Прожито дней – 18лет*365дней + 5 дней високосных годов ( 1996, 2000, 2004, 2008 и 2012) = 6575 дней
Физический цикл – 6575 : 23 = 285 (ост. 20 ) – через 3 дня ,т.е.25.01,начнётся новый цикл.
Эмоциональный - 6575 : 28 = 234 (ост.23 ) – через 5 дней,т.е. 27.01 , начнётся новый цикл
Интеллектуальный - 6575 : 33 = 199 (ост.8) – 8 дней назад,т.е. 14.01, начался новый цикл.
Расчёты можно так же вести по формуле %ритма=sin(2П*количество прожитых дней:цикл ритма)
Полученные результаты оформляем для наглядность в виде графиков на одной координатной плоскости :

Некоторые рекомендации :
|
дата |
Примерные показатели |
рекомендации |
||
|
Физ. |
Эмоц. |
Интел. |
||
|
25.01 |
0 |
-15 |
85 |
Ум хочет, тело не может. Лучше все тяжёлые нагрузки свести к минимуму, решать интеллектуальные задачи. |
|
5.02 |
0 |
60 |
-90 |
Соблюдать осторожность; в виду пониженной концентрации внимания отложить поездки (особенно за рулём), принятие важных решений; посвятить это время общению с друзьями, просмотру фильмов. |
|
10.02 |
-100 |
0 |
-95 |
Очень трудный период – «сонная муха», не способная принять даже самого простого решения. |
|
17.02 |
0 |
-100 |
10 |
Соблюдать осторожность, воздержаться от мероприятий, содержащих элементы опасности; общение ограничить,т.к. это время повышенной «стервозности» (раздражительность, придирки и т.д.) |
|
24.02 |
100 |
0 |
100 |
Очень высокая физическая активность, хорошо сдавать нормативы по физкультуре, участвовать в спортивных соревнованиях, ходить в походы. На высоте и творчество – хорошо внедрять новые проекты, строить планы на будущее, но встречи с людьми, вызывающее трудное общение, лучше отложить. |
жүктеу мүмкіндігіне ие боласыз
Бұл материал сайт қолданушысы жариялаған. Материалдың ішінде жазылған барлық ақпаратқа жауапкершілікті жариялаған қолданушы жауап береді. Ұстаз тілегі тек ақпаратты таратуға қолдау көрсетеді. Егер материал сіздің авторлық құқығыңызды бұзған болса немесе басқа да себептермен сайттан өшіру керек деп ойласаңыз осында жазыңыз
Ашық сабақ "Графиуки функций в нашей жизни" 10 класс
Ақтөбе облысы
Алға ауданы
Болгар мектеп - бақшасы
Математика және информатика пәндерінің мұғалімі
Соловьева Людмила Григорьевна
|
Класс |
10 |
||||||||||||||||||||||||||||||
|
Тема занятия: |
Творческо-исследовательский урок на тему: «Графики функций в нашей жизни» |
||||||||||||||||||||||||||||||
|
Ссылки: |
Шуба М. Ю. Занимательные задания в обучении
математики М., Просвещение, 1995г. http://www.ibo.org |
||||||||||||||||||||||||||||||
|
Цели: |
Образовательная цель: сформировать у учащихся умение применять математический аппарат к решению графических задач по физике, литературе, биологии. Выявить связь функций с явлениями окружающего мира и практической деятельностью человека, показать, что понятие «функция» находит широкое применение в жизни. Развивающая цель: развивать математические способности учащихся, умение анализировать, выделять общие и отличительные свойства, развивать исследовательские способности умение применять теоретические знания на практике, развивать память, внимание, наблюдательность. Воспитательная цель: воспитывать устойчивый интерес к изучению математики и физики через реализацию межпредметных связей, воспитывать взаимопомощь и объективность оценки знаний; стимулировать учащихся к самовыражению, создавая ситуацию успеха. |
||||||||||||||||||||||||||||||
|
Ожидаемые результаты: |
Научится «видеть» и понимать значимость применения функциональной зависимости в различных сферах человеческой деятельности, углубить знания и понимания по теме «Функция» |
||||||||||||||||||||||||||||||
|
Ключевые идеи, новые понятия: |
Функция, степенная функция, график |
||||||||||||||||||||||||||||||
|
Содержание урока 1.Постановка цели занятия (3 мин) Проблема. На уроках математики мы познакомились с различными функциями, их свойствами и графиками, но мы мало знаем о том, где в реальной жизни можно встретиться с этой моделью, и как человек использует функции в своей практической деятельности. Актуальность темы. Реальные процессы обычно связаны с большим количеством переменных и зависимостей между ними. Описать эти зависимости можно с помощью функций. Знание свойств функций позволяет понять суть происходящих процессов, предсказать ход их развития, управлять ими. Изучение функций является актуальным всегда. Цель. выявить связь функций с явлениями окружающего мира и практической деятельностью человека, показать, что понятие «функция» находит широкое применение в жизни.
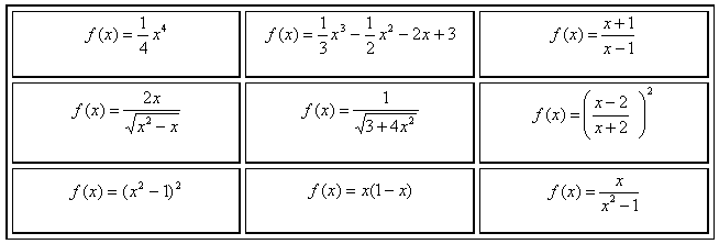
2.Работа над концептуальными картами (3мин(работа)+2мин(проверка)=5 мин) Прежде чем приступить к решению задач, проверим насколько хорошо вы знакомы со свойствами основных видов функций Сейчас вы будете работать в парах. Я предлагаю вам задание: перед вами график функции и на отдельных карточках их свойства. Вы должны в течение 3 минут выбрать те свойства данного графика функции, которые будут относится именно к нему, а остальные отбросить (Проверка осуществляется с помощью презентации) 3.Индивидуальная работа (взаимопроверка)
Заполнить таблицу, согласно готовому данному графику функции 3. Творческо – исследовательская работа в группах Человек издавна стал замечать соответствия между отдельными предметами и явлениями окружающего мира. Дым столбом – зимой к морозу, а летом к дождю. Лягушки по берегу скачут – к дождю. Курица на одной ноге стоит – к морозу. Систематизируя наиболее устойчивые взаимозависимости, человек научился рассматривать их как частный случай неких соотношений. Человек назвал их законами природы. Знание законов природы даёт человеку возможность объяснять и предсказывать разнообразные природные явления. Каждая область знаний : физика, химия, биология, экономика, архитектура, теоретическая механика, имеет свои объекты изучения, устанавливает свойства и взаимосвязи этих объектов. Математическими портретами этих взаимосвязей ( закономерностей) служат функции. Функции – одно из основных математических и общенаучных понятий. Оно играет большую роль в познании реального мира. Что е такое «функция»? Функция – это работа, производимая органом, организмом ( одна из функций печени – это фильтрация токсинов и синтез белков) Функция - возможность программы или прибора ( мобильный телефон выполняет функцию фотоаппарата). Функция – обязанность, круг деятельности ( одной из функций классного руководителя является работа по сплочению детского коллектива). Функция – роль персонажа в литературном произведении ( функция репки в одноимённой сказке показать роль и силу семьи).
У
Х
У
Х
ФУНКЦИЯ
НЕ ФУНКЦИЯ
переменной Х соответствует единственное значение зависимой переменной У. С функцией мы встречаемся не то, что каждый день, а на каждом шагу!
1 группа. Информатика Проверка гипотезы с помощью компьютерной техники, программного обеспечения. План выполнения работы.
После запуска Excel экран содержит пять областей:
Все эти пять областей называются рабочей областью книги. Выполнение работы:
Вариант I
Вариант II
Вариант III
Вариант IV
После выполнения задания на компьютере сравниваются результаты работы, сделанные от руки и с помощью электронных таблиц. 2 группа. Литература Введение «Математическими портретами закономерностей природы служат функции» Современная математика знает множество функций, и у каждой своей неповторимый облик, как неповторим облик каждого из миллиардов людей, живущих на земле. Однако при всей непохожести одного человека на другого у каждого есть руки и голова, уши и рот. Точно так же облик каждой функции можно представить сложенным из набора характерных деталей. В них появляются основные свойства функций. Функции – это математические портреты устойчивых закономерностей, Познаваемых человеком. Чтобы проиллюстрировать характерные свойства функций, нам показалось естественным обратиться к пословицам. Ведь пословицы – это отображение устойчивых закономерностей, выверенное многовековым опытом народа.
Цель исследования:
Изучение понятия «функция», ознакомление со способами исследования функциональных зависимостей, применение на практике изученных способов для построения графиков к пословицам на основе их функциональных зависимостей.
Показать, что понимание человечеством функциональных связей и взаимосвязей между отдельными качествами жизни послужило источником происхождения многих пословиц и поговорок, без которых наша речь была бы невыразительной и обыденной. Предмет исследования:
Количественные соотношения, являющиеся функциональными зависимостями величин.
Задачи:
1)изучить и сравнить определения функции, которые даются в математической литературе
2)изучить способы задания функции;
3)построить графики на основе пословиц Методы исследования:
работа с литературой, практика, анализ, обобщение. Все примеры в данной таблице таковы, что их можно увидеть, потрогать руками, просчитать по формуле. Но многие знания народ передаёт из уст в уста в виде примет, пословиц и поговорок. Что же такое «пословица»? Пословица – это краткое народное изречение с назидательным содержанием. Пословица – это опыт народа, передаваемый из уст в уста. Пословица – показывает закономерности нашей жизни, выверенные многовековым опытом народа. А функции – это математические портреты устойчивых закономерностей. Чтобы доказать связь между функциями и пословицами, приведём примеры пословиц, которые проиллюстрируют основные функции и их свойства. 3 группа. Биология Понятие биоритмов и их основные виды . Конечно, если мы не инженеры, то и графики функций мы ежедневно не строим и не используем. Да и используя пословицы в своей речи мы не переводим их в графики. Где же в повседневной жизни мы можем использовать графики? Ответ прост : биоритмы. Линия биоритма очень похожа на знакомую рам синусоиду. Что же такое биоритм и как построить его график? Биоритм – периодическое изменение состояния человека. Основное влияние на человека оказывают физический, эмоциональный и интеллектуальный биоритмы. Они контролируют три различные области поведения, но сами по себе не являются ни причиной, ни следствием каких-либо событий. Однако график биоритмов позволяет планировать свою деятельность, определять совместимость различных людей. Задание: постройте график основных биоритмов для молодого человека рожденного 22 января 1996 года Однажды Морис Клайн американский математик сказал: «Музыка может возвышать или умиротворять душу, живопись – радовать глаз, поэзия – пробуждать чувства, философия – удовлетворять потребности разума, инженерное дело – совершенствовать материальную сторону жизни людей, а математика способна достичь всех этих целей!» Рефлексия «Учитесь так, словно вы постоянно ощущаете нехватку своих знаний, и так словно вы постоянно боитесь растерять свои знания». Конфуций
Анкетирование учащихся.
УВАЖАЕМЫЕ РЕБЯТА! Просим Вас ответить на данные вопросы.
Спасибо за ответы. Домашнее задание 1 задание - практическое. Исследуйте любую из предложенных функций, на основе проведённого исследования постройте графики этой функции в тетради, затем проверьте посторенние графика в виртуальной лаборатории с помощью компьютера. Задания а) – среднего уровня, б)- уровня выше среднего, в) – высокого уровня 1 вариант а) у=(х+1)3 (х-2)
б) у=
в) у= 2 вариант а) у=(х+2)2 (х-2)
б) у= в)у= Творческое задание Указание: отыщите функцию в таблице, исходя из её «автобиографии». Найдите область определения, корень, точку разрыва, промежуток возрастания и убывания. Я – функция
сложная, это известно,
|
|||||||||||||||||||||||||||||||
|
Оценивание |
Постройте график, отражающий ваше состояние на разных этапах урока |
||||||||||||||||||||||||||||||
|
Дополнительные задания, домашнее задание |
|
||||||||||||||||||||||||||||||
Приложение № 1. (Группа № 1. Литература)
|
Функция, график |
Свойство функции |
пословица |
По оси ОХ |
По оси ОУ |
|
Обратная пропорциональность |
убывание |
много пить – добру не быть. (чем больше человек пьёт, тем меньше добра он излучает в мир) |
Кол-во выпитого |
Кол-во добра |
|
Звону много, а толку мало. (о человеке, который много говорит, но мало делает) |
Кол-во звона |
Кол-во толка |
||
|
Мягко стелет, да жёстко спать. |
«мягкость»постели |
Качество сна |
||
|
Линейная функция |
возрастание |
Чем выше встанешь, тем больше увидишь. (если сидеть на месте, то ничего и не увидишь;чтобы чего-то достичь, надо встать и двигаться вперёд, выше) |
Высота, на которой находишься |
Кол-во увиденного |
|
Без труда не вынешь и рыбку из пруда. |
Кол-во вложенного труда |
улов |
||
|
Как аукнется, так и откликнется. (т.к. кол-во «ау» |
Кол-во «ау» |
Кол-во откликов |
||
|
монотонность |
Сколько волка ни корми, всё равно в лес смотрит. |
Кол-во еды |
Направление взгляда |
|
|
Долго думал, да ничего не выдумал. |
Время «думанья» |
Результат «думанья» |
||
|
Светит да не греет. |
Время «освещения» |
Кол-во тепла |
||
|
Квадратичная функция |
Max , min функции |
Кто высоко взлетает, тот низко падает. |
Время движения |
Высота взлёта-падения |
|
Упавшему на самое дно путь только наверх. |
Время движения |
Высота падения-подъёма |
||
|
Недосол на столе – пересол на спине. ( без соли невкусно, с увеличением количества соли улучшается и вкус пищи, но наступает момент, когда крупинка соли всё испортит, есть станет невозможно) |
Кол-во соли |
Вкус пищи |
||
|
Тригонометрическая функция |
Ограниченность сверху и снизу, периодичность |
День дню рознь : нынче тепло, а завтра – мороз. |
дни |
температура |
|
Выше головы не прыгнешь. |
прыжки |
Уровень головы, высота прыжка |
Вывод: Прочитать пословицу можно и не зная математики. Но понять ее, увидеть ее, то, что скрыто за внешними образами речи можно лишь с помощью точной науки. Только она позволяет заметить, что в словах есть формы и ритмы, недоступные глазу созерцателя, но открытые глазу аналитика.
Характерные свойства функций проиллюстрировали с помощью пословиц и выяснили, что это способствует лучшему усвоению основных свойств функций и глубокого понимания богатства смысла и краткости народного языка.
Пословицы - это жизнь народа, человеческий опыт, просеянный через сито веков, духовный мир русского человека, его мысли, чувства и переживания.
Приложение № 2. (Группа № 2. Биология).
Замечание: График построить в табличном процессоре
Понятие биоритмов и их основные виды .
Конечно, если мы не инженеры, то и графики функций мы ежедневно не строим и не используем. Да и используя пословицы в своей речи мы не переводим их в графики. Где же в повседневной жизни мы можем использовать графики? Ответ прост : биоритмы. Линия биоритма очень похожа на знакомую рам синусоиду. Что же такое биоритм и как построить его график?
Биоритм – периодическое изменение состояния человека. Основное влияние на человека оказывают физический, эмоциональный и интеллектуальный биоритмы. Они контролируют три различные области поведения, но сами по себе не являются ни причиной, ни следствием каких-либо событий. Однако график биоритмов позволяет планировать свою деятельность, определять совместимость различных людей.
|
биоритм |
Краткая характеристика |
период |
Критич.дни |
|
О с н о в н ы е б и о р и т м ы |
|||
|
физический |
Отражает состояние мышечной системы, способность выполнять физическую работу, сопротивляемость организма. В течении первой половины периода ( верхняя часть графика) человек легко справляется с физическими нагрузками, испытывает общий подъём. Для второй половины характерна быстрая утомляемость, меньшая выносливость. |
23 |
1 и 12 |
|
эмоциональный |
Отражает состояние нейрогуморальной системы. В первой половине наблюдается повышенная чувствительность и общительность , жизнерадостное настроение. Во второй половине преобладают раздражительность, нетерпимость к окружающим. |
28 |
1 и 14 |
|
интеллектуальный |
Обусловлен деятельностью головного мозга. Первая половина характеризуется повышенной способностью к запоминанию, анализу и усвоению информации, активизацией творческого мышления. |
33 |
1 и 16 |
Эти периоды одинаковы для любого человека, независимо от возраста, пола и состоянии здоровья. Каждый период равен точно целому числу суток, как-будто внутренний механизм отсчитывает дни и ночи.
Когда 2 или 3 ритма проходят через средний уровень ( горизонтальная ось, критические дни, ритм=0), надо быть особенно осторожным : в это время человек более подвержен несчастным случаям.
Дни, когда 2 цикла находятся ниже среднего уровня или когда один находится в максимуме, а другой – в минимуме, тоже опасны.
Последовательность таких дней, начиная с рождения, совершенно одинакова для каждого человека.
Для построения графика биоритма надо:
1.вычислить количество прожитых дней на расчётный день. Помнить о високосных годах!
2.разделить полученное число на период биоритма.
3.частное показывает, сколько полных циклов данного ритма прошло с момента рождения до расчётного дня. Остаток от деления показывает, сколько дней нового цикла прошло на расчётный день.
4.построить график и сделать выводы.
Пример расчёта.
Дата рождения – 22 января 1996 года.
Расчётный день – 22 января 2014 года.
Прожито дней – 18лет*365дней + 5 дней високосных годов ( 1996, 2000, 2004, 2008 и 2012) = 6575 дней
Физический цикл – 6575 : 23 = 285 (ост. 20 ) – через 3 дня ,т.е.25.01,начнётся новый цикл.
Эмоциональный - 6575 : 28 = 234 (ост.23 ) – через 5 дней,т.е. 27.01 , начнётся новый цикл
Интеллектуальный - 6575 : 33 = 199 (ост.8) – 8 дней назад,т.е. 14.01, начался новый цикл.
Расчёты можно так же вести по формуле %ритма=sin(2П*количество прожитых дней:цикл ритма)
Полученные результаты оформляем для наглядность в виде графиков на одной координатной плоскости :

Некоторые рекомендации :
|
дата |
Примерные показатели |
рекомендации |
||
|
Физ. |
Эмоц. |
Интел. |
||
|
25.01 |
0 |
-15 |
85 |
Ум хочет, тело не может. Лучше все тяжёлые нагрузки свести к минимуму, решать интеллектуальные задачи. |
|
5.02 |
0 |
60 |
-90 |
Соблюдать осторожность; в виду пониженной концентрации внимания отложить поездки (особенно за рулём), принятие важных решений; посвятить это время общению с друзьями, просмотру фильмов. |
|
10.02 |
-100 |
0 |
-95 |
Очень трудный период – «сонная муха», не способная принять даже самого простого решения. |
|
17.02 |
0 |
-100 |
10 |
Соблюдать осторожность, воздержаться от мероприятий, содержащих элементы опасности; общение ограничить,т.к. это время повышенной «стервозности» (раздражительность, придирки и т.д.) |
|
24.02 |
100 |
0 |
100 |
Очень высокая физическая активность, хорошо сдавать нормативы по физкультуре, участвовать в спортивных соревнованиях, ходить в походы. На высоте и творчество – хорошо внедрять новые проекты, строить планы на будущее, но встречи с людьми, вызывающее трудное общение, лучше отложить. |
шағым қалдыра аласыз


























