Бекітемін:
«Қысқа мерзімді сабақ жоспары №21
Сабақтың тақырыбы: Екі айнымалысы бар сызықтық теңдеулер жүйесін қосу тәсілімен және алмастыру тәсілімен шешу
|
Ұзақ мерзімді жоспар бөлімі: |
Екі айнымалысы бар сызықтық теңдеулер және олардың жүйелері |
||||
|
Педагогтің аты-жөні: |
|
||||
|
Күні: |
|
||||
|
Сыныбы: 6 «Ә» |
Қатысушылар саны: Қатыспағандар саны: |
||||
|
Сабақтың тақырыбы: |
Екі айнымалысы бар сызықтық теңдеулер жүйесін қосу тәсілімен және алмастыру тәсілімен шешу |
||||
|
Оқу бағдарламасына сәйкес оқу мақсаты: |
6.2.2.19 теңдеулер жүйелерін алмастыру тәсілі және қосу тәсілі арқылы шешу; |
||||
|
Сабақтың мақсаты: |
Теңдеулер жүйесін шешудің алмастыру әдісің алгоритімін білу; Теңдеулер жүйелерін алмастыру тәсілі арқылы шешу; |
||||
|
Сабақтың барысы: |
|||||
|
Сабақ кезеңі/Уақыты |
Педагогтің іс-әрекеті: |
Оқушының іс-әрекеті |
Бағалау |
Ресурстар |
|
|
Ұйысдастыру кезеңі 5минут |
I.Ұйымдастыру кезеңі. Сәлемдесу, түгелдеу, сабаққа дайындықтарын тексеру. Сабақты жағымды ахуалдан бастау. Үй тапсырмасын тексеру: Тақтада тапсырма дұрыс жауабымен көрсетіліп тұрады. |
Шаттық шеңберін құрып «Өзіңе тілегенді,өзгеге тіле»! әдісі арқылы бір-біріне тілек айтып,жақсы көңіл күй сыйлайды. |
«Мадақтау сөз» әдісіарқылы бағалайды: «Жарайсың! Жақсы! Өте жақсы! Талпын!» |
Оқулық, оқу құрал жабдықтары, тақта, бор |
|
|
Сабақтың басы: 10 минут |
Жаңа сабақты қысқаша түсіндіру Екі айнымалысы бар сызықтық теңдеулерді алмастыру тәсілімен шешу үшін: 1).Теңдеудің біреуіндегі бір айнымалыны екіншісі арқылы өрнектеу керек; 2).Табылған өрнекті екінші теңдеудегі осы айнымалының орнына қою керек; 3).Алынған сызықтық теңдеуді шешу керек; 4).Табылған шешімді теңдеулердің кез келгеніне немесе өрнекке қойып, екінші айнымалыны табу керек. |
Оқушылар жаңа сабақты слайдқа қарап түсінеді. Көмек керек болса, мұғалімнің көмегіне жүінеді 1-мысал. Теңдеулер жүйесін алмастыру тәсілімен шеш:
Шешуі: Теңдеулердің әрқайсысын бөлімдерінің ЕКОЕ-не көбейтейік:
Теңдеулерді ықшамдап,
Бір айнымалысы бар сызықтық теңдеуді шешеміз: 280 + 120у +25у = -10
у = -2, х = 35 +
15 Жауабы:(5;-2) |
Оқушылардың сабаққа қатысу белсенділігіне қарай «Мадақтау сөздері» әдісі арқылы бірін-бірі бағалайды. Жарайсың!, Керемет!, Жақсы!, Талпын!,. |
Тақта; Слайд; Оқу құралдары; «Математика», 6-сынып, 2-бөлім |
|
|
Сабақтың ортасы 25 минут |
1-тапсырма
жүйесін алмастыру тәсілімен шешіңдер.
|
Шешуі. Бірінші және екінші теңдеулерді мүшелеп қосамыз: 4х =6. Теңдеудің шешімі
х 1,5 –
2у у = – 1,75 Жауабы:
(1,5; Немесе 4х = 6, х = 1,5 Табылған х-тің мәнін теңдеулердің кез келген біреуіне қоямыз. 3 2у = -3,5 у = -1,75 Жауабы: (1,5; -1,75) |
Дескриптор. Оқушылар: -теңдеулер жүйесін шешудің әдісін таңдайды; Жүйенің шешімін табады; жүйесінің шешімдері болатындай сандар жұбын табады. |
Тақта; Слайд; Оқу құралдары; «Математика», 6-сынып, 2-бөлім |
|
|
|
1438. Теңдеулер жүйесін алмастыру тәсілімен шешіңдер 1451. Теңдеулер жүйесін алмастыру тәсілімен шешіңдер |
|
Дескриптор. Оқушылар: -бөлімдерін ортақ бөлімге келтіреді, -бірінші н\е екішніш теңдеуден х-ті у арқылы өрнектейді немесе керісінше; Екінші жүеге қойып бір айнымалыны табады; Жүйенің шешімін табады; ҚБ: Топтар бірін-бірі елші әдісімен бағалайды |
Тақта; Слайд; Оқу құралдары; «Математика», 6-сынып, 2-бөлім Постер; Маркер |
|
|
|
1448. Жеміс ағаштары егілген жердің ауданы көгөніс егілген жердің ауданынан 6 га артық болған. Жеміс ағаштары егілген жердің ауданын 25%-ке, ал көгөніс егілген жердің ауданын 20%-ке арттырғанда барлығы 32 га болды. Алғашқыда жеміс ағаштары егілген жердің ауданы қандай болды? Көгөніс егілген жердің ауданы қандай болды? А . 16 га; 10 га; В. 15 га; 9 га; С. 17 га; 11 га; D. 20 га; 14 га. |
1454 Алғашқыда шебер үйренушісімен екеуі бірігіп 140 бөлшек даяр- лауды межелеген еді. Шебердің даярлаған бөлшектерінің саны межелегеннен 30%-ке артық болса, үйренушісінікі 10%-ке кем болып, олар барлығы 158 бөлшек даярлады. Алғашқыда шебер неше бөлшек даярлауды, үйренушісі неше бөлшек даярлауды межелеген еді? |
Дескриптор: Мәтіннің мағынасына қарай теңдеулер жүйесін құрады; жүйенің шешімн табады; жауабын жазады ҚБ: Жұпта өзара бағалау «+», « - », қызықты |
Тақта; Слайд; Оқу құралдары; «Математика», 6-сынып, 2-бөлім |
|
|
Сабақтың соңы 5минут |
Сабақты қорытындылау: «Жалғасын тап» әдісі арқылы сабақты қорытындылаймын: Үйге тапсырма беру: № |
Оқушыларға «Білім сандығы» кері байланыс парағы таратылады. Оқушылар өздері белгілейді. Мақсаты: Өз ойын айтып, сабақты бекіту, қорытындылау. |
Жалпы сыныпта оқушының жинаған ұпайы мен белсенділігіне қарай мұғалім 1-10 балл аралығындай балл қояды |
Тақта; Слайд; Оқу құралдары; «Математика», 6-сынып, 2-бөлім |
|
жүктеу мүмкіндігіне ие боласыз
Бұл материал сайт қолданушысы жариялаған. Материалдың ішінде жазылған барлық ақпаратқа жауапкершілікті жариялаған қолданушы жауап береді. Ұстаз тілегі тек ақпаратты таратуға қолдау көрсетеді. Егер материал сіздің авторлық құқығыңызды бұзған болса немесе басқа да себептермен сайттан өшіру керек деп ойласаңыз осында жазыңыз
Екі айнымалысы бар сызықтық теңдеулер жүйесін қосу тәсілімен және алмастыру тәсілімен шешу
Екі айнымалысы бар сызықтық теңдеулер жүйесін қосу тәсілімен және алмастыру тәсілімен шешу
Бекітемін:
«Қысқа мерзімді сабақ жоспары №21
Сабақтың тақырыбы: Екі айнымалысы бар сызықтық теңдеулер жүйесін қосу тәсілімен және алмастыру тәсілімен шешу
|
Ұзақ мерзімді жоспар бөлімі: |
Екі айнымалысы бар сызықтық теңдеулер және олардың жүйелері |
||||
|
Педагогтің аты-жөні: |
|
||||
|
Күні: |
|
||||
|
Сыныбы: 6 «Ә» |
Қатысушылар саны: Қатыспағандар саны: |
||||
|
Сабақтың тақырыбы: |
Екі айнымалысы бар сызықтық теңдеулер жүйесін қосу тәсілімен және алмастыру тәсілімен шешу |
||||
|
Оқу бағдарламасына сәйкес оқу мақсаты: |
6.2.2.19 теңдеулер жүйелерін алмастыру тәсілі және қосу тәсілі арқылы шешу; |
||||
|
Сабақтың мақсаты: |
Теңдеулер жүйесін шешудің алмастыру әдісің алгоритімін білу; Теңдеулер жүйелерін алмастыру тәсілі арқылы шешу; |
||||
|
Сабақтың барысы: |
|||||
|
Сабақ кезеңі/Уақыты |
Педагогтің іс-әрекеті: |
Оқушының іс-әрекеті |
Бағалау |
Ресурстар |
|
|
Ұйысдастыру кезеңі 5минут |
I.Ұйымдастыру кезеңі. Сәлемдесу, түгелдеу, сабаққа дайындықтарын тексеру. Сабақты жағымды ахуалдан бастау. Үй тапсырмасын тексеру: Тақтада тапсырма дұрыс жауабымен көрсетіліп тұрады. |
Шаттық шеңберін құрып «Өзіңе тілегенді,өзгеге тіле»! әдісі арқылы бір-біріне тілек айтып,жақсы көңіл күй сыйлайды. |
«Мадақтау сөз» әдісіарқылы бағалайды: «Жарайсың! Жақсы! Өте жақсы! Талпын!» |
Оқулық, оқу құрал жабдықтары, тақта, бор |
|
|
Сабақтың басы: 10 минут |
Жаңа сабақты қысқаша түсіндіру Екі айнымалысы бар сызықтық теңдеулерді алмастыру тәсілімен шешу үшін: 1).Теңдеудің біреуіндегі бір айнымалыны екіншісі арқылы өрнектеу керек; 2).Табылған өрнекті екінші теңдеудегі осы айнымалының орнына қою керек; 3).Алынған сызықтық теңдеуді шешу керек; 4).Табылған шешімді теңдеулердің кез келгеніне немесе өрнекке қойып, екінші айнымалыны табу керек. |
Оқушылар жаңа сабақты слайдқа қарап түсінеді. Көмек керек болса, мұғалімнің көмегіне жүінеді 1-мысал. Теңдеулер жүйесін алмастыру тәсілімен шеш:
Шешуі: Теңдеулердің әрқайсысын бөлімдерінің ЕКОЕ-не көбейтейік:
Теңдеулерді ықшамдап,
Бір айнымалысы бар сызықтық теңдеуді шешеміз: 280 + 120у +25у = -10
у = -2, х = 35 +
15 Жауабы:(5;-2) |
Оқушылардың сабаққа қатысу белсенділігіне қарай «Мадақтау сөздері» әдісі арқылы бірін-бірі бағалайды. Жарайсың!, Керемет!, Жақсы!, Талпын!,. |
Тақта; Слайд; Оқу құралдары; «Математика», 6-сынып, 2-бөлім |
|
|
Сабақтың ортасы 25 минут |
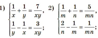
1-тапсырма
жүйесін алмастыру тәсілімен шешіңдер.
|
Шешуі. Бірінші және екінші теңдеулерді мүшелеп қосамыз: 4х =6. Теңдеудің шешімі
х 1,5 –
2у у = – 1,75 Жауабы:
(1,5; Немесе 4х = 6, х = 1,5 Табылған х-тің мәнін теңдеулердің кез келген біреуіне қоямыз. 3 2у = -3,5 у = -1,75 Жауабы: (1,5; -1,75) |
Дескриптор. Оқушылар: -теңдеулер жүйесін шешудің әдісін таңдайды; Жүйенің шешімін табады; жүйесінің шешімдері болатындай сандар жұбын табады. |
Тақта; Слайд; Оқу құралдары; «Математика», 6-сынып, 2-бөлім |
|
|
|
1438. Теңдеулер жүйесін алмастыру тәсілімен шешіңдер 1451. Теңдеулер жүйесін алмастыру тәсілімен шешіңдер |
|
Дескриптор. Оқушылар: -бөлімдерін ортақ бөлімге келтіреді, -бірінші н\е екішніш теңдеуден х-ті у арқылы өрнектейді немесе керісінше; Екінші жүеге қойып бір айнымалыны табады; Жүйенің шешімін табады; ҚБ: Топтар бірін-бірі елші әдісімен бағалайды |
Тақта; Слайд; Оқу құралдары; «Математика», 6-сынып, 2-бөлім Постер; Маркер |
|
|
|
1448. Жеміс ағаштары егілген жердің ауданы көгөніс егілген жердің ауданынан 6 га артық болған. Жеміс ағаштары егілген жердің ауданын 25%-ке, ал көгөніс егілген жердің ауданын 20%-ке арттырғанда барлығы 32 га болды. Алғашқыда жеміс ағаштары егілген жердің ауданы қандай болды? Көгөніс егілген жердің ауданы қандай болды? А . 16 га; 10 га; В. 15 га; 9 га; С. 17 га; 11 га; D. 20 га; 14 га. |
1454 Алғашқыда шебер үйренушісімен екеуі бірігіп 140 бөлшек даяр- лауды межелеген еді. Шебердің даярлаған бөлшектерінің саны межелегеннен 30%-ке артық болса, үйренушісінікі 10%-ке кем болып, олар барлығы 158 бөлшек даярлады. Алғашқыда шебер неше бөлшек даярлауды, үйренушісі неше бөлшек даярлауды межелеген еді? |
Дескриптор: Мәтіннің мағынасына қарай теңдеулер жүйесін құрады; жүйенің шешімн табады; жауабын жазады ҚБ: Жұпта өзара бағалау «+», « - », қызықты |
Тақта; Слайд; Оқу құралдары; «Математика», 6-сынып, 2-бөлім |
|
|
Сабақтың соңы 5минут |
Сабақты қорытындылау: «Жалғасын тап» әдісі арқылы сабақты қорытындылаймын: Үйге тапсырма беру: № |
Оқушыларға «Білім сандығы» кері байланыс парағы таратылады. Оқушылар өздері белгілейді. Мақсаты: Өз ойын айтып, сабақты бекіту, қорытындылау. |
Жалпы сыныпта оқушының жинаған ұпайы мен белсенділігіне қарай мұғалім 1-10 балл аралығындай балл қояды |
Тақта; Слайд; Оқу құралдары; «Математика», 6-сынып, 2-бөлім |
|
шағым қалдыра аласыз




















