Бекітемін:
«Қысқа мерзімді сабақ жоспары №23
Сабақтың тақырыбы: Екі айнымалысы бар сызықтық теңдеулер жүйесін қосу тәсілімен және алмастыру тәсілімен шешу
|
Ұзақ мерзімді жоспар бөлімі: |
Екі айнымалысы бар сызықтық теңдеулер және олардың жүйелері |
||||
|
Педагогтің аты-жөні: |
|
||||
|
Күні: |
|
||||
|
Сыныбы: 6 «Ә» |
Қатысушылар саны: Қатыспағандар саны: |
||||
|
Сабақтың тақырыбы: |
Екі айнымалысы бар сызықтық теңдеулер жүйесін қосу тәсілімен және алмастыру тәсілімен шешу |
||||
|
Оқу бағдарламасына сәйкес оқу мақсаты: |
6.2.2.19 теңдеулер жүйелерін алмастыру тәсілі және қосу тәсілі арқылы шешу; |
||||
|
Сабақтың мақсаты: |
Теңдеулер жүйесін шешудің қосу әдісің алгоритімін білу; Теңдеулер жүйелерін қосу тәсілі арқылы шешу; |
||||
|
Сабақтың барысы: |
|||||
|
Сабақ кезеңі/Уақыты |
Педагогтің іс-әрекеті: |
Оқушының іс-әрекеті |
Бағалау |
Ресурстар |
|
|
Ұйысдастыру кезеңі 5минут |
I.Ұйымдастыру кезеңі. Сәлемдесу, түгелдеу, сабаққа дайындықтарын тексеру. Сабақты жағымды ахуалдан бастау. Үй тапсырмасын тексеру: Тақтада тапсырма дұрыс жауабымен көрсетіліп тұрады. |
Шаттық шеңберін құрып «Өзіңе тілегенді,өзгеге тіле»! әдісі арқылы бір-біріне тілек айтып,жақсы көңіл күй сыйлайды. |
«Мадақтау сөз» әдісіарқылы бағалайды: «Жарайсың! Жақсы! Өте жақсы! Талпын!» |
Оқулық, оқу құрал жабдықтары, тақта, бор |
|
|
Сабақтың басы: 10 минут |
Жаңа сабақты қысқаша түсіндіру Екі айнымалысы бар сызықтық теңдеулер жүйесін қосу тәсілімен шешуді қарастырайық. Екі айнымалысы бар сызықтық теңдеулер жүйесін қосу тәсілімен шешуде айнымалылардың коэффициенттеріне байланысты көбінесе мынадай жағдайлар кездеседі.
І жағдай. Теңдеулер жүйесіндегі айнымалылардың біреуінің коэффициенттері – қарама-қарсы сандар ІІ жағдай. Теңдеулер жүйесіндегі айнымалылардың біреуінің коэффициенттері тең. ІІІ
жағдай. Теңдеулер жүйесіндегі
айнымалылардың ешқайсысының |
Оқушылар жаңа сабақты слайдқа қарап түсінеді. Көмек керек болса, мұғалімнің көмегіне жүінеді Екі айнымалысы бар сызықтық теңдеулер жүйесін қосу тәсілімен шешу үшін: 1) айнымалылардың біреуінің коэффициенттері (бірінші және екінші теңдеудегі) қарама-қарсы сандар болатындай көбейткіштерге(көбейткішке) жүйенің теңдеулерінің екі жағын да (бір теңдеуін)көбейту керек; 2) жүйе теңдеулерінің оң жақтарын және сол жақтарын мүшелеп қосып немесе азайтып, оны бір айнымалысы бар теңдеуге айналдыру керек; 3) шыққан бір айнымалысы бар теңдеуді шешіп, айнымалыныңбіреуінің мәнін табу керек; 4) айнымалылардың біреуінің табылған мәніне сәйкес екіншіайнымалының мәнін табу керек. Егер айнымалылардың біреуінің коэффициенттері қарама-қарсысандар болса, онда жүйені шешуді бірден теңдеулерді мүшелеп қосудан бастау керек.
Жауабы: (11; 7). |
Оқушылардың сабаққа қатысу белсенділігіне қарай «Мадақтау сөздері» әдісі арқылы бірін-бірі бағалайды. Жарайсың!, Керемет!, Жақсы!, Талпын!,. |
Тақта; Слайд; Оқу құралдары; «Математика», 6-сынып, 2-бөлім |
|
|
Сабақтың ортасы 25 минут |
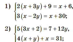
1-тапсырма
Жауабы: (6; 1). |
2-тапсырма
Жауабы: (6; -1). |
Дескриптор. Оқушылар: -теңдеулер жүйесін шешудің әдісін таңдайды; Жүйенің шешімін табады; жүйесінің шешімдері болатындай сандар жұбын табады. |
Тақта; Слайд; Оқу құралдары; «Математика», 6-сынып, 2-бөлім |
|
|
|
3-тапсырма
Жауабы: (4; -2) |
4-тапсырма Теңдеулер жүйесінің шешімін тап:
а)
ә) ҚБ: Топтар бірін-бірі елші әдісімен бағалайды |
Дескриптор. Оқушылар: - Теңдеулердің сол және оң жақтарын мүшелеп қосады: - берілген теңдеулер жүйесімен мәндес жүйені жазады; - теңдеулерді қосу арқылы бір айнымалысы бар теңдеу алады; 1-ші айнымалыны табады; -екінші аййнымалыны табады; Жауабын жазады |
Тақта; Слайд; Оқу құралдары; «Математика», 6-сынып, 2-бөлім Постер; Маркер |
|
|
|
Оқулықтан. А деңгейлі есеп №1461. Теңдеулер жүйесін қосу тәсілімен шешіңдер:
№1465. Екі санның арифметикалық ортасы 19-ға тең, айырмасы 4-ке тең. Осы сандарды табыңдар |
Оқулықтан. В деңгейлі есеп №1476. Теңдеулер жүйесінің шешімін қосу тәсілімен табыңдар
№1478. Елдос пен Мираста 36 марка бар. Егер Елдос Мирасқа өз маркаларының 40%-ін берсе, Елдостың маркалары Мирастың маркаларынан 2 есе кем болады. Алғашқыда Елдоста неше марка,Мираста неше марка болды? |
Дескриптор: -қосу тәсілінің 2 жағдайын біледі; -Теңдеулер жүйесіндегі айнымалылардың біреуінің коэффициенттері қарама-қарсыға ауыстырады, -сәйкес мүшелерін бағандап қосады, -бір айнымалысын табады; Екінші айнымалыны анықтайды -жауабын жазады ҚБ: Жұпта өзара бағалау «+», « - », қызықты |
Тақта; Слайд; Оқу құралдары; «Математика», 6-сынып, 2-бөлім |
|
|
Сабақтың соңы 5минут |
Сабақты қорытындылау: «Жалғасын тап» әдісі арқылы сабақты қорытындылаймын: Үйге тапсырма беру: № |
Оқушыларға «Білім сандығы» кері байланыс парағы таратылады. Оқушылар өздері белгілейді. Мақсаты: Өз ойын айтып, сабақты бекіту, қорытындылау. |
Жалпы сыныпта оқушының жинаған ұпайы мен белсенділігіне қарай мұғалім 1-10 балл аралығындай балл қояды |
Тақта; Слайд; Оқу құралдары; «Математика», 6-сынып, 2-бөлім |
|
жүктеу мүмкіндігіне ие боласыз
Бұл материал сайт қолданушысы жариялаған. Материалдың ішінде жазылған барлық ақпаратқа жауапкершілікті жариялаған қолданушы жауап береді. Ұстаз тілегі тек ақпаратты таратуға қолдау көрсетеді. Егер материал сіздің авторлық құқығыңызды бұзған болса немесе басқа да себептермен сайттан өшіру керек деп ойласаңыз осында жазыңыз
Екі айнымалысы бар сызықтық теңдеулер жүйесін қосу тәсілімен және алмастыру тәсілімен шешу
Екі айнымалысы бар сызықтық теңдеулер жүйесін қосу тәсілімен және алмастыру тәсілімен шешу
Бекітемін:
«Қысқа мерзімді сабақ жоспары №23
Сабақтың тақырыбы: Екі айнымалысы бар сызықтық теңдеулер жүйесін қосу тәсілімен және алмастыру тәсілімен шешу
|
Ұзақ мерзімді жоспар бөлімі: |
Екі айнымалысы бар сызықтық теңдеулер және олардың жүйелері |
||||
|
Педагогтің аты-жөні: |
|
||||
|
Күні: |
|
||||
|
Сыныбы: 6 «Ә» |
Қатысушылар саны: Қатыспағандар саны: |
||||
|
Сабақтың тақырыбы: |
Екі айнымалысы бар сызықтық теңдеулер жүйесін қосу тәсілімен және алмастыру тәсілімен шешу |
||||
|
Оқу бағдарламасына сәйкес оқу мақсаты: |
6.2.2.19 теңдеулер жүйелерін алмастыру тәсілі және қосу тәсілі арқылы шешу; |
||||
|
Сабақтың мақсаты: |
Теңдеулер жүйесін шешудің қосу әдісің алгоритімін білу; Теңдеулер жүйелерін қосу тәсілі арқылы шешу; |
||||
|
Сабақтың барысы: |
|||||
|
Сабақ кезеңі/Уақыты |
Педагогтің іс-әрекеті: |
Оқушының іс-әрекеті |
Бағалау |
Ресурстар |
|
|
Ұйысдастыру кезеңі 5минут |
I.Ұйымдастыру кезеңі. Сәлемдесу, түгелдеу, сабаққа дайындықтарын тексеру. Сабақты жағымды ахуалдан бастау. Үй тапсырмасын тексеру: Тақтада тапсырма дұрыс жауабымен көрсетіліп тұрады. |
Шаттық шеңберін құрып «Өзіңе тілегенді,өзгеге тіле»! әдісі арқылы бір-біріне тілек айтып,жақсы көңіл күй сыйлайды. |
«Мадақтау сөз» әдісіарқылы бағалайды: «Жарайсың! Жақсы! Өте жақсы! Талпын!» |
Оқулық, оқу құрал жабдықтары, тақта, бор |
|
|
Сабақтың басы: 10 минут |
Жаңа сабақты қысқаша түсіндіру Екі айнымалысы бар сызықтық теңдеулер жүйесін қосу тәсілімен шешуді қарастырайық. Екі айнымалысы бар сызықтық теңдеулер жүйесін қосу тәсілімен шешуде айнымалылардың коэффициенттеріне байланысты көбінесе мынадай жағдайлар кездеседі.
І жағдай. Теңдеулер жүйесіндегі айнымалылардың біреуінің коэффициенттері – қарама-қарсы сандар ІІ жағдай. Теңдеулер жүйесіндегі айнымалылардың біреуінің коэффициенттері тең. ІІІ
жағдай. Теңдеулер жүйесіндегі
айнымалылардың ешқайсысының |
Оқушылар жаңа сабақты слайдқа қарап түсінеді. Көмек керек болса, мұғалімнің көмегіне жүінеді Екі айнымалысы бар сызықтық теңдеулер жүйесін қосу тәсілімен шешу үшін: 1) айнымалылардың біреуінің коэффициенттері (бірінші және екінші теңдеудегі) қарама-қарсы сандар болатындай көбейткіштерге(көбейткішке) жүйенің теңдеулерінің екі жағын да (бір теңдеуін)көбейту керек; 2) жүйе теңдеулерінің оң жақтарын және сол жақтарын мүшелеп қосып немесе азайтып, оны бір айнымалысы бар теңдеуге айналдыру керек; 3) шыққан бір айнымалысы бар теңдеуді шешіп, айнымалыныңбіреуінің мәнін табу керек; 4) айнымалылардың біреуінің табылған мәніне сәйкес екіншіайнымалының мәнін табу керек. Егер айнымалылардың біреуінің коэффициенттері қарама-қарсысандар болса, онда жүйені шешуді бірден теңдеулерді мүшелеп қосудан бастау керек.
Жауабы: (11; 7). |
Оқушылардың сабаққа қатысу белсенділігіне қарай «Мадақтау сөздері» әдісі арқылы бірін-бірі бағалайды. Жарайсың!, Керемет!, Жақсы!, Талпын!,. |
Тақта; Слайд; Оқу құралдары; «Математика», 6-сынып, 2-бөлім |
|
|
Сабақтың ортасы 25 минут |
1-тапсырма
Жауабы: (6; 1). |
2-тапсырма
Жауабы: (6; -1). |
Дескриптор. Оқушылар: -теңдеулер жүйесін шешудің әдісін таңдайды; Жүйенің шешімін табады; жүйесінің шешімдері болатындай сандар жұбын табады. |
Тақта; Слайд; Оқу құралдары; «Математика», 6-сынып, 2-бөлім |
|
|
|
3-тапсырма
Жауабы: (4; -2) |
4-тапсырма Теңдеулер жүйесінің шешімін тап:
а)
ә) ҚБ: Топтар бірін-бірі елші әдісімен бағалайды |
Дескриптор. Оқушылар: - Теңдеулердің сол және оң жақтарын мүшелеп қосады: - берілген теңдеулер жүйесімен мәндес жүйені жазады; - теңдеулерді қосу арқылы бір айнымалысы бар теңдеу алады; 1-ші айнымалыны табады; -екінші аййнымалыны табады; Жауабын жазады |
Тақта; Слайд; Оқу құралдары; «Математика», 6-сынып, 2-бөлім Постер; Маркер |
|
|
|
Оқулықтан. А деңгейлі есеп №1461. Теңдеулер жүйесін қосу тәсілімен шешіңдер:
№1465. Екі санның арифметикалық ортасы 19-ға тең, айырмасы 4-ке тең. Осы сандарды табыңдар |
Оқулықтан. В деңгейлі есеп №1476. Теңдеулер жүйесінің шешімін қосу тәсілімен табыңдар
№1478. Елдос пен Мираста 36 марка бар. Егер Елдос Мирасқа өз маркаларының 40%-ін берсе, Елдостың маркалары Мирастың маркаларынан 2 есе кем болады. Алғашқыда Елдоста неше марка,Мираста неше марка болды? |
Дескриптор: -қосу тәсілінің 2 жағдайын біледі; -Теңдеулер жүйесіндегі айнымалылардың біреуінің коэффициенттері қарама-қарсыға ауыстырады, -сәйкес мүшелерін бағандап қосады, -бір айнымалысын табады; Екінші айнымалыны анықтайды -жауабын жазады ҚБ: Жұпта өзара бағалау «+», « - », қызықты |
Тақта; Слайд; Оқу құралдары; «Математика», 6-сынып, 2-бөлім |
|
|
Сабақтың соңы 5минут |
Сабақты қорытындылау: «Жалғасын тап» әдісі арқылы сабақты қорытындылаймын: Үйге тапсырма беру: № |
Оқушыларға «Білім сандығы» кері байланыс парағы таратылады. Оқушылар өздері белгілейді. Мақсаты: Өз ойын айтып, сабақты бекіту, қорытындылау. |
Жалпы сыныпта оқушының жинаған ұпайы мен белсенділігіне қарай мұғалім 1-10 балл аралығындай балл қояды |
Тақта; Слайд; Оқу құралдары; «Математика», 6-сынып, 2-бөлім |
|
шағым қалдыра аласыз





















