Таныстым:
Қазақстан Республикасы Оқу-ағарту министрлігі
Момынай жалпы орта білім беретін мектебі
Қысқа мерзімді (сабақ) жоспары
Пәні: Алгебра ЖМБ
Тақырыбы: Функция графигінің асимптоталары
|
Бөлім: |
10.3В Функцияның шегі және үзіліссіздігі |
|
|
Педагогтің Т.А.Ә. |
Алиева Гүлжан Аманкулкызы |
|
|
Күні: |
05.02.2024ж |
|
|
Сынып: 10 «Ә» |
Қатысушылар саны: |
Қатыспағандар саны: |
|
Сабақтың тақырыбы |
Функция графигінің асимптоталары |
|
|
Оқу бағдарламасына сәйкес оқыту мақсаттары |
10.4.1.10 - функция графигіне жүргізілген асимптотаның анықтамасын білу және асимптоталардың теңдеулерін құра білу; |
|
|
Сабақтың мақсаты |
|
|
Сабақтың барысы
|
Сабақтың кезеңі/ уақыт |
Педагогтің әрекеті |
Оқушының әрекеті |
Бағалау |
Ресурс тар |
||||||
|
|
Оқушылармен амандасу, түгендеу, назарын
сабаққа аудару Оқу мақсаттарымен таныстыру. Үй тапсырмасын тексеру. |
Жинақтала ды, сабаққа ынталанады. |
|
Оқулық. |
||||||
|
Сабақтың ортасы |
Жаңа сабақ түсіндіру. Қисықтың асимптотасы деп, қисық нүктесінің қисық бойымен шексіздікке ұмтылғанда шектеусіз түрде жақындай түсетін түзуді айтамыз. Оқушылармен
бірігіп Функция (-1; ∞) интервалында өспелі. Бірақ осы интервалда функция шектеусіз (шексіз) өседі деп тұжырымдамау керек. Осы функция графигінен көріп отырғанымыздай, графигі y=1 түзуіне шексуз жақындай түседі.
Мұндай жағдайда
біз y=1
түзуі
Әрі қарай,
х=
-1 болғанда функция анықталмаған.
Функцияның осы нүкте маңайындағы өзгеруін қарасттырайық. Графиктен
көріп отырғанымыздай, осы нүктеге сол жағынан жақындағанда график
плюс шексіздікке ұмтылады, ал осы нүктеге оң жағынан жақындағанда
функция графигі минус шексіздікке ұмтылады. Мұндай
жағдайда х= -1 түзуі
Анықтама.х=а түзуі
f(x) функциясы
графигінің вертикаль
асимптотасы болып табылады, егер
не Мысал
1. P(x)=x
және Q(x)=x2-4
болсын.
х=2 және х=-2 f(x)
функциясының түбірлері екенін байқаймыз. Р(-2)≠0 және
Р(2)≠0 болғандықтан, х=2 және х=-2 түзулері Анықтама.y=b
түзуі f(x)
функциясы
графигінің горизонталь
асимптотасы болып табылады, егер
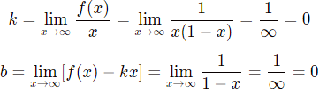
не Тапсырмалар орындау. Жұптық жұмыс Тапсырмалар: Берілген функциялардың асимптоталарын табыңыздар: №1.
яғни х
k = 0 көлбеу асимптотасы жоқ
Табылған к мен в мәндерін y = kx + b формуласына қойып,
№2.
№3.
шешуі: вертикаль асимптотасы жоқ
Өз бетімен жұмыс. №4. №6. |
Жаңа тақырыпты меңгереді. Мысалдарды жазады Оқушылар жұппен жұмыс істеу барысында бір-бірімен кеңесе отырып іс-әрекет жасайды, жұпта шеше алмаған жағдайда мұғалім көмегіне жүгінеді. |
|
bilimland.kz |
||||||
|
Сабақтың соңы |
Үй жұмысы: № есеп Рефлексия. « Принтер » әдісі
|
Үй жұмысын алады. Рефлексияны орындайды |
|
|
жүктеу мүмкіндігіне ие боласыз
Бұл материал сайт қолданушысы жариялаған. Материалдың ішінде жазылған барлық ақпаратқа жауапкершілікті жариялаған қолданушы жауап береді. Ұстаз тілегі тек ақпаратты таратуға қолдау көрсетеді. Егер материал сіздің авторлық құқығыңызды бұзған болса немесе басқа да себептермен сайттан өшіру керек деп ойласаңыз осында жазыңыз
Функция графигінің асимптоталары. ҚМЖ 10 сынып алгебра ЖМБ 3 тоқсан
Функция графигінің асимптоталары. ҚМЖ 10 сынып алгебра ЖМБ 3 тоқсан
Таныстым:
Қазақстан Республикасы Оқу-ағарту министрлігі
Момынай жалпы орта білім беретін мектебі
Қысқа мерзімді (сабақ) жоспары
Пәні: Алгебра ЖМБ
Тақырыбы: Функция графигінің асимптоталары
|
Бөлім: |
10.3В Функцияның шегі және үзіліссіздігі |
|
|
Педагогтің Т.А.Ә. |
Алиева Гүлжан Аманкулкызы |
|
|
Күні: |
05.02.2024ж |
|
|
Сынып: 10 «Ә» |
Қатысушылар саны: |
Қатыспағандар саны: |
|
Сабақтың тақырыбы |
Функция графигінің асимптоталары |
|
|
Оқу бағдарламасына сәйкес оқыту мақсаттары |
10.4.1.10 - функция графигіне жүргізілген асимптотаның анықтамасын білу және асимптоталардың теңдеулерін құра білу; |
|
|
Сабақтың мақсаты |
|
|
Сабақтың барысы
|
Сабақтың кезеңі/ уақыт |
Педагогтің әрекеті |
Оқушының әрекеті |
Бағалау |
Ресурс тар |
||||||
|
|
Оқушылармен амандасу, түгендеу, назарын
сабаққа аудару Оқу мақсаттарымен таныстыру. Үй тапсырмасын тексеру. |
Жинақтала ды, сабаққа ынталанады. |
|
Оқулық. |
||||||
|
Сабақтың ортасы |
Жаңа сабақ түсіндіру. Қисықтың асимптотасы деп, қисық нүктесінің қисық бойымен шексіздікке ұмтылғанда шектеусіз түрде жақындай түсетін түзуді айтамыз. Оқушылармен
бірігіп Функция (-1; ∞) интервалында өспелі. Бірақ осы интервалда функция шектеусіз (шексіз) өседі деп тұжырымдамау керек. Осы функция графигінен көріп отырғанымыздай, графигі y=1 түзуіне шексуз жақындай түседі.
Мұндай жағдайда
біз y=1
түзуі
Әрі қарай,
х=
-1 болғанда функция анықталмаған.
Функцияның осы нүкте маңайындағы өзгеруін қарасттырайық. Графиктен
көріп отырғанымыздай, осы нүктеге сол жағынан жақындағанда график
плюс шексіздікке ұмтылады, ал осы нүктеге оң жағынан жақындағанда
функция графигі минус шексіздікке ұмтылады. Мұндай
жағдайда х= -1 түзуі
Анықтама.х=а түзуі
f(x) функциясы
графигінің вертикаль
асимптотасы болып табылады, егер
не Мысал
1. P(x)=x
және Q(x)=x2-4
болсын.
х=2 және х=-2 f(x)
функциясының түбірлері екенін байқаймыз. Р(-2)≠0 және
Р(2)≠0 болғандықтан, х=2 және х=-2 түзулері Анықтама.y=b
түзуі f(x)
функциясы
графигінің горизонталь
асимптотасы болып табылады, егер
не Тапсырмалар орындау. Жұптық жұмыс Тапсырмалар: Берілген функциялардың асимптоталарын табыңыздар: №1.
яғни х
k = 0 көлбеу асимптотасы жоқ
Табылған к мен в мәндерін y = kx + b формуласына қойып,
№2.
№3.
шешуі: вертикаль асимптотасы жоқ
Өз бетімен жұмыс. №4. №6. |
Жаңа тақырыпты меңгереді. Мысалдарды жазады Оқушылар жұппен жұмыс істеу барысында бір-бірімен кеңесе отырып іс-әрекет жасайды, жұпта шеше алмаған жағдайда мұғалім көмегіне жүгінеді. |
|
bilimland.kz |
||||||
|
Сабақтың соңы |
Үй жұмысы: № есеп Рефлексия. « Принтер » әдісі
|
Үй жұмысын алады. Рефлексияны орындайды |
|
|
шағым қалдыра аласыз























