9 сынып. Сабақ жоспары №1
Бекітемін:
|
Бөлім: |
9.3А Үшбұрыштарды шешу |
||||||
|
Педагогтің аты; тегі; әкесінің аты (бар болған жағдайда) |
|
||||||
|
Пән/Сынып: |
9 сынып |
||||||
|
Күні: |
|
||||||
|
Сабақтың тақырыбы: |
Косинустар теоремасы. |
||||||
|
Оқу бағдарламасына сәйкес оқыту мақсаты: |
9.1.3.6 косинустар теоремасын білу және қолдану; |
||||||
|
Сабақтың мақсаты: |
-Косинустар теоремасын дәлелдей алу; -Үшбұрыштың белгілі екі қабырғасымен олардың арасындағы бұрыш арқылы үшбұрыштың белгісіз қабырғалары мен бұрыштарын табу үшін косиунстар теоремасын қолдану;. -Косинустар теоремасын есеп шығаруда қолдану. |
||||||
|
Құндылықтарды дарыту |
Жұптық және топтық жұмыстар жасауда әділдікке, патриоттыққа тәрбиелеу,адамгершілік қасиеттерін дамыту |
||||||
|
Сабақтың барысы: |
|||||||
|
Уақыты |
Кезең дері |
Педагогтің әрекеті |
Оқушының әрекеті |
Бағалау |
Ресурстар |
||
|
5 минут |
Ұйымдастыру |
Сәлеметсіздерме! Бүгін, Косинустар теоремасы тақырыбын қарастырамыз Бүгінгі сабақта меңгеретініңіз: - косинустар теоремасын есеп шығаруда қолдану. Үйге тапсырмасын тексеру. Өтілген тақырып тапсырмаларын тексеру 1.Ұқсас үшбұрыш дегеніміз не? 2.Үшбұрыштардың ұқсастығының бірінші белгісін ата. 3.Үшбұрыштардың ұқсастығының екінші белгісін ата. 4.Үшбұрыштардың ұқсастығының үшінші белгісін ата. |
Амандасады, тақырыпты жазады. Сұрақтарға жауап береді |
Бағалау: Ауызша бағалау. Дескриптор: -Ұқсас үшбұрыштың анықтамасын айтады. -Ұқсас үшбұрыштың 1,2,3-ші белгісі айтады.
|
Оқу құралдары; оқулық; тақта; . |
||
|
10 мин |
Жаңа сабақ |
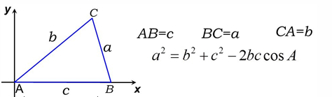
Жаңа сабақ. Косинустар теоремасын дәлелдеу, тұжырымын ұсыну. Теорема:Үшбұрыштың кез келген қабырғасының квадраты қалған қабырғаларының квадраттарның қосындысынан екі еселенген қабырғаларынның көбейтіндісінің арасындағы бұрышының косинусына көбейтіндісінің айрымына тең.
Дәлелдеу: 1.AC2AB2BC22ABBCcosB немесе b2a2c22accos 2.AB2BC2AC22ABACcosC немесе c2a2b22abcos 3.BC2AB2AC22ABACcosA немесе a2b2c22bccos Оқушыларға бірдей үшбұрыш сызбасы таратылады. Оқушылар топта жұмыс жасайды,дәлелдеуін қағазға (флипчарт) орындайды.Оқушылар өз жұмыстарын әр топ 2 минут ішінде қорғайды.
А қабырғасына қай бұрыш қарсы жатады егер a²> c²+ b² a²=b²+c² a²<b²+c болса? Жауабыңызды негіздеңіз.
|
Тақырып бойынша ресурстарды қарап, танысады Қажетті анықтамаларды жазып, сызбаны сызады.
«Бұзық телефон» әдісі . Оқушылар шаттық шеңберге жиналып бір оқушы косинус теоремасын айтады, ал қалған оқушылар теореманы айтып шығу керек Оқушылар есептің сызбасын сызады. |
|
Жалпы білім беретін мектептің 9–сыныбына арналған оқулық.
Интернет ресурстары. |
||
|
15 минут |
Бекіту тапсырмасы |
Топтық тапсырмалар
Тапсырма.
1.
Тапсырма. 2.
Тапсырма. 3.
Тапсырма. 4.
1.Сызба бойынша косинустар теоремасын
қолданып, үшбұрыштың белгісіз элементтерін
анықтайды 2.Үшбұрыштың екі қабырғасы а мен b,ал арасындағы бұрышы-60 Еﹾгер а=8 см b=15 см болса оның үшінші қабырғасын табыңдар. |
Білім алушы дескрипторға сәйкес тапсырмаларды орындайды. Оқулықтан үшбұрыш ұқсастығына есеп шығарады.
«Тарелка» ойыны Үш топқа есептер беріледі. Есептер шығарылып болғаннан кейін жауаптарымен ауысады.
Шешуі:с²=a²+b²-2ab cosἀ c²=64+225-2*8*15*0,9=289-216=73 с=8,5 Жауабы:8,5
|
Дескриптор: Білім алушы -косинустар теоремасын біледі; -косинустар теоремасын қолданады. ҚБ: Топтар бірін-бірі екі жұлдыз , бір тілек арқылы бағалайды
Дескриптор: -АВ қабырғасы ның ұзындығын анықтайды . ҚБ:
|
Слайд
Жалпы білім беретін мектептің 9–сыныбына арналған оқулық. Интернет ресурстары Оқу құралдары; оқулық; тақта; Презентация |
||
|
10мин |
Жеке жұмыс |
О |
Оқулықтан тапсырмаларды орндайды |
Дескриптор: Білім алушы -косинустар теоремасын біледі; -косинустар теоремасын қолданады. ҚБ:
|
Оқу құралдары; оқулық; тақта; Презентация |
||
|
5 минут |
|
Бүгінгі сабақта: - Косинустар теоремасы. - Косинустар теоремасын есеп шығаруда қолдану Кері байланыс.
Үйге тапсырма. №2.
|
Тақырыпты меңгергенін анықтау Кері байланыс жасайды. |
|
Оқу құралдары; оқулық; тақта; Презентация |
||
Сабақ жоспары №2
Бекітемін:
|
Педагогтің аты; тегі; әкесінің аты (бар болған жағдайда) |
|
|||||||
|
Пән/Сынып: |
9 сынып |
|||||||
|
Күні: |
|
|||||||
|
Бөлім: |
9.3А Үшбұрыштарды шешу |
|||||||
|
Сабақтың тақырыбы: |
Косинустар теоремасы. |
|||||||
|
Оқу бағдарламасына сәйкес оқыту мақсаты: |
9.1.3.6 косинустар теоремасын білу және қолдану; |
|||||||
|
Сабақтың мақсаты: |
-Косинустар теоремасын есеп шығаруда қолдану. |
|||||||
|
Құндылықтарды дарыту |
Жұптық және топтық жұмыстар жасауда әділдікке, патриоттыққа тәрбиелеу,адамгершілік қасиеттерін дамыту |
|||||||
|
Сабақтың барысы: |
||||||||
|
Уақыты |
Кезең дері |
Педагогтің әрекеті |
Оқушының әрекеті |
Бағалау |
Ресурстар |
|||
|
5 минут |
Ұйымдастыру |
Сәлеметсіздерме! Бүгін, Косинустар теоремасы тақырыбын қарастырамыз Бүгінгі сабақта меңгеретініңіз: - косинустар теоремасын есеп шығаруда қолдану. Үйге тапсырмасын тексеру. Өтілген тақырып тапсырмаларын тексеру 1.Ұқсас үшбұрыш дегеніміз не? 2.Үшбұрыштардың ұқсастығының бірінші белгісін ата. 3.Үшбұрыштардың ұқсастығының екінші белгісін ата. 4.Үшбұрыштардың ұқсастығының үшінші белгісін ата.
Бағалау: Ауызша бағалау.
|
Амандасады, тақырыпты жазады. Сұрақтарға жауап береді |
Дескриптор: -Ұқсас үшбұрыштың анықтамасын айтады. -Ұқсас үшбұрыштың 1,2,3-ші белгісі айтады.
|
Оқу құралдары; оқулық; тақта; . |
|||
|
10 мин |
Жаңа сабақты бекіту. |
Теорема. Кез келген үшбұрыштың бір қабырғасының квадраты қалған екі қабырғасының квадраттарының қосындысынан олардың ұзындықтары мен арасындағы бұрыштың косинусының екі еселенген көбейтіндісін азайтқанға тең.
BC 2 AB2 AC 2 2AB AC cos A немесе a2 b2 c2 2bc cos
1.а)Егер үшбұрыштың екі қабырғасы және олардың арасындағы бұрыш берілсе; ә)егер үшбұрыштың екі қабырғасы және олардың арасындағы бұрыштан басқа бұрыштар берілсе,онда косинустар теоремасы үшінші қабырғаны табуға мүмкіндік береді; 2.Үшбұрыштың үш қабырғасы берілсе, онда үшбұрыштың бұрыштары косинустар теоремасы арқылы есептеуге болады. |
Тақырып бойынша ресурстарды қарап, танысады Қажетті анықтамаларды жазып, сызбаны сызады. |
|
Жалпы білім беретін мектептің 9–сыныбына арналған оқулық. |
|||
|
Бекіту тапсырмасы 25 минут |
Жеке жұмыс |
|
Тапсырманы орындайды
|
Дескриптор: Білім алушы -косинустар теоремасын біледі; -косинустар теоремасын қолданады. ҚБ:
|
Оқу құралдары; оқулық; тақта; Презентация |
|||
|
|
|
|
Тапсырманы орындайды
|
Дескриптор: Білім алушы: -косинустар теоремасын біледі; -косинустар теоремасын қолданады. -АВ қабырғасын табады |
Оқу құралдары; оқулық; тақта; Презентация |
|||
|
|
|
Тапсырма. 1. Есептер шығару:
1. a=8,
b=15,
2.
а 3. a = 4, b = 6, c = 7,5
4. a = 9, b =
11,
5. a = 40, b = 13, c = 37,
cos
Тест 1.Егер үшбұрыштың қабырғасының квадраты басқа қабырғаларының квадраттарының қосындысына тең болса, онда бұл қабырға: а)доғал бұрышты б)тік бұрышты в)сүйір бұрышты
2.АВС үшбұрышында АВ және ВС қабырғалары белгілі болса,онда АС қабырғасын табу үшін а) А бұрышының б) В бұрышының в) С бұрышының градустық өлшемі белгілі болу керек
3. Үшбұрыш қабырғалары 5,6 және 7см болса: а)Сүйір бұрыш б)тікбұрышты в)доғалбұрышты үшбұрыш болып табылады 4.Егер АВС үшбұрыш берілген. А=48°; В=72°болса онда ең үлкен қабырғасы: а) АВ б) АС в) ВСболады 5. Егер үшбұрыштың екі қабырғасының қосындысы Үшінші қабырғасының квадратынан үлкен болса, Онда үшінші қабырға қандай бұрышқа қарама-қарсы орналасқан? а)сүйір бұрышына б)Тік бұрышына в)Доғал бұрышына |
Оқушылар есептің сызбасын сызады. Оқулықтан есеп шығарады. Білім алушы дескрипторға сәйкес тапсырмаларды орындайды
Өзіндік тексеру жауаптары: 1.б 2.б 3.а 4.б 5.в
|
Дескриптор: Білім алушы -косинустар теоремасын біледі; -косинустар теоремасын қолданады. ҚБ:
-Тақырыпқа қатысты есептерді талдайды. |
Слайд
Жалпы білім беретін мектептің 9–сыныбына арналған оқулық. Интернет ресурстары |
|||
|
5 минут |
Сабақтың соңы |
Сабақ қорытындысы. Рефлексия (алты қалпақ)
|
Тақырыпты меңгергенін анықтау Кері байланыс жасайды. Үйге тапсырма № |
|
Оқу құралдары; оқулық; тақта; Презентация |
|||
Сабақ жоспары №3
Бекітемін:
|
Педагогтің аты; тегі; әкесінің аты (бар болған жағдайда) |
|
||||||
|
Пән/Сынып: |
9 сынып |
||||||
|
Күні: |
|
||||||
|
Бөлім: |
9.3А Үшбұрыштарды шешу |
||||||
|
Сабақтың тақырыбы: |
Косинустар теоремасы. |
||||||
|
Оқу бағдарламасына сәйкес оқыту мақсаты: |
9.1.3.6 косинустар теоремасын білу және қолдану; |
||||||
|
Сабақтың мақсаты: |
-Косинустар теоремасын есеп шығаруда қолдану. |
||||||
|
Сабақтың барысы: |
|||||||
|
Уақыты |
Кезең дері |
Педагогтің әрекеті |
Оқушының әрекеті |
Бағалау |
Ресурстар |
||
|
5 минут |
Ұйымдастыру |
Сәлеметсіздерме! Бүгін, Косинустар теоремасы тақырыбын қарастырамыз Бүгінгі сабақта меңгеретініңіз: - косинустар теоремасын есеп шығаруда қолдану. Үйге тапсырмасын тексеру. Өтілген тақырып тапсырмаларын тексеру 1.Ұқсас үшбұрыш дегеніміз не? 2.Үшбұрыштардың ұқсастығының бірінші белгісін ата. 3.Үшбұрыштардың ұқсастығының екінші белгісін ата. 4.Үшбұрыштардың ұқсастығының үшінші белгісін ата.
Бағалау: Ауызша бағалау.
|
Амандасады, тақырыпты жазады. Сұрақтарға жауап береді |
Дескриптор: -Ұқсас үшбұрыштың анықтамасын айтады. -Ұқсас үшбұрыштың 1,2,3-ші белгісі айтады.
|
Оқу құралдары; оқулық; тақта; . |
||
|
5 мин |
Жаңа сабақты бекіту. |
Теорема. Кез келген үшбұрыштың бір қабырғасының квадраты қалған екі қабырғасының квадраттарының қосындысынан олардың ұзындықтары мен арасындағы бұрыштың косинусының екі еселенген көбейтіндісін азайтқанға тең.
BC 2 AB2 AC 2 2AB AC cos A немесе a2 b2 c2 2bc cos
1.а)Егер үшбұрыштың екі қабырғасы және олардың арасындағы бұрыш берілсе; ә)егер үшбұрыштың екі қабырғасы және олардың арасындағы бұрыштан басқа бұрыштар берілсе,онда косинустар теоремасы үшінші қабырғаны табуға мүмкіндік береді; 2.Үшбұрыштың үш қабырғасы берілсе, онда үшбұрыштың бұрыштары косинустар теоремасы арқылы есептеуге болады.
|
Тақырып бойынша ресурстарды қарап, танысады Қажетті анықтамаларды жазып, сызбаны сызады. |
|
Жалпы білім беретін мектептің 9–сыныбына арналған оқулық. Оқулық авторлары: В.А.Смирнов, Е.А.Тұяқов Алматы «Мектеп» баспасы 2019 жыл |
||
|
20 минут |
Бекіту тапсырмасы |
Тапсырма. Есептер шығару: №1 Үшбұрыштың үш қабырғасы берілген.Оның бұрыштары мен ауданын табу керек. 1.a=7см,b=3см,c=8см 2.a=15м,b=24м,c=18м 3.a=3дм,b=4дм,c=5дм
2 тапсырма
Сәйкестендіру 1.АС=2см,ВС=4см, 2.a=14, b=16,
c=10 3.Үшбұрыш қабырғалары
13,14,15.Үлкен бұрышының косинусын 4. Үшбұрыш қабырғалары 13,14,15.кіші бұрышының косинусын табыңдар ----0,5 5.
Оқулықтан №7, №8 |
Оқушылар есептің сызбасын сызады.
Дескриптор: -үшбұрыштың белгісіз элементтерін анықтайды -есептің шешімін табады
Оқулықтан есеп шығарады.
білім алушы дескрипторға сәйкес тапсырмаларды орындайды. |
Дескриптор: -Үшбұрыштың бұрыштарын табады - ауданын табады -жауабын жазады Білім алушы -косинустар теоремасын біледі; -косинустар теоремасын қолданады. ҚБ:
|
Слайд
Жалпы білім беретін мектептің 9–сыныбына арналған оқулық. Оқулық авторлары: В.А.Смирнов, Е.А.Тұяқов Алматы «Мектеп» баспасы 2019 жыл Интернет ресурстары |
||
|
10мин |
Жеке жұмыс |
|
Тапсырманы орындайды
|
Дескриптор: - Білім алушы -косинустар теоремасын біледі; -косинустар теоремасын қолданады. АВ қабырғасын табады |
Оқу құралдары; оқулық; тақта; Презентация |
||
|
5минут |
|
Бүгінгі сабақта: - Косинустар теоремасы. - Косинустар теоремасын есеп шығаруда қолдану Кері байланыс. Бүгін сабақта мен.....үйрендім Бүгін сабақта маған....ұнады Бүгін сабақта мен.....қайталадым Бүгін сабақта мен өзіме....деген баға қойдым Үйге тапсырма. №12.
|
Тақырыпты меңгергенін анықтау Кері байланыс жасайды. |
|
Оқу құралдары; оқулық; тақта; Презентация |
||
Сабақ жоспары №4
Бекітемін:
|
Педагогтің аты; тегі; әкесінің аты (бар болған жағдайда) |
|
|||||
|
Пән/Сынып: |
9 сынып |
|||||
|
Күні: |
|
|||||
|
Бөлім: |
9.3А Үшбұрыштарды шешу |
|||||
|
Сабақтың тақырыбы: |
Косинустар теоремасы. |
|||||
|
Оқу бағдарламасына сәйкес оқыту мақсаты: |
9.1.3.6 косинустар теоремасын білу және қолдану; |
|||||
|
Сабақтың мақсаты: |
-Косинустар теоремасын есеп шығаруда қолдану. |
|||||
|
Сабақтың барысы: |
||||||
|
Уақыты |
Кезең дері |
Педагогтің әрекеті |
Оқушының әрекеті |
Бағалау |
Ресурстар |
|
|
5 минут |
Ұйымдастыру |
Сәлеметсіздерме! Бүгін, Косинустар теоремасы тақырыбын қарастырамыз Бүгінгі сабақта меңгеретініңіз: - косинустар теоремасын есеп шығаруда қолдану. Үйге тапсырмасын тексеру. Өтілген тақырып тапсырмаларын тексеру
Бағалау: Ауызша бағалау.
|
Амандасады, тақырыпты жазады. Сұрақтарға жауап береді |
Дескриптор: -Ұқсас үшбұрыштың анықтамасын айтады. -Ұқсас үшбұрыштың 1,2,3-ші белгісі айтады.
|
Оқу құралдары; оқулық; тақта; . |
|
|
5 мин |
Жаңа сабақты бекіту. |
Теорема. Кез келген үшбұрыштың бір қабырғасының квадраты қалған екі қабырғасының квадраттарының қосындысынан олардың ұзындықтары мен арасындағы бұрыштың косинусының екі еселенген көбейтіндісін азайтқанға тең.
BC 2 AB2 AC 2 2AB AC cos A немесе a2 b2 c2 2bc cos
1.а)Егер үшбұрыштың екі қабырғасы және олардың арасындағы бұрыш берілсе; ә)егер үшбұрыштың екі қабырғасы және олардың арасындағы бұрыштан басқа бұрыштар берілсе,онда косинустар теоремасы үшінші қабырғаны табуға мүмкіндік береді; 2.Үшбұрыштың үш қабырғасы берілсе, онда үшбұрыштың бұрыштары косинустар теоремасы арқылы есептеуге болады.
|
Тақырып бойынша ресурстарды қарап, танысады Қажетті анықтамаларды жазып, сызбаны сызады. |
|
Жалпы білім беретін мектептің 9–сыныбына арналған оқулық. Оқулық авторлары: В.А.Смирнов, Е.А.Тұяқов Алматы «Мектеп» баспасы 2019 жыл |
|
|
20 минут |
Бекіту тапсырмасы |
Тапсырма. Есептер шығару: №1 Үшбұрыштың үш қабырғасы берілген.Оның бұрыштары мен ауданын табу керек. 1.a=15м,b=24м,c=18м 2.a=3дм,b=4дм,c=5дм
№2.
а=1
в=
В
а2=с2+в2-2вс
⦟С=180°-30°-60°=90°
Жауабы: Есептер.
1.Үшбұрыштың үш қабырғасы
берілген: 13, 14, 15. Осы үшбұрыштың үлкен бұрышының косинусын
табыңыз.
Жауабы:
Жауабы: Жауабы: 10 см Оқулықтан №13,15
|
Оқушылар есептің сызбасын сызады.
Дескриптор: -үшбұрыштың белгісіз элементтерін анықтайды -есептің шешімін табады
Оқулықтан есеп шығарады.
Білім алушы дескрипторға сәйкес тапсырмаларды орындайды.
|
Дескриптор: -Үшбұрыштың бұрыштарын табады - ауданын табады -жауабын жазады
Білім алушы -косинустар теоремасын біледі; -косинустар теоремасын қолданады. ҚБ:
-Тақырыпқа қатысты есептерді талдайды. |
Слайд
Жалпы білім беретін мектептің 9–сыныбына арналған оқулық. Оқулық авторлары: В.А.Смирнов, Е.А.Тұяқов Алматы «Мектеп» баспасы 2019 жыл Интернет ресурстары |
|
|
10мин |
Жеке жұмыс |
Оқулықтан есептер шығару |
Тапсырманы орындайды |
Мониторинг |
|
|
|
5 минут |
|
Бүгінгі сабақта: - Косинустар теоремасы. - Косинустар теоремасын есеп шығаруда қолдану Кері байланыс. Бүгін сабақта мен.....үйрендім Бүгін сабақта маған....ұнады Бүгін сабақта мен.....қайталадым Бүгін сабақта мен өзіме....деген баға қойдым
Үйге тапсырма. №17.
|
Тақырыпты меңгергенін анықтау Кері байланыс жасайды. |
|
Оқу құралдары; оқулық; тақта; Презентация |
|
\
Сабақ жоспары №5 Бекітемін:
|
Педагогтің аты; тегі; әкесінің аты (бар болған жағдайда) |
|
|||||
|
Пән/Сынып: |
9 сынып |
|||||
|
Күні: |
|
|||||
|
Бөлім: |
9.3А Үшбұрыштарды шешу |
|||||
|
Сабақтың тақырыбы: |
Синустар теоремасы. |
|||||
|
Оқу бағдарламасына сәйкес оқыту мақсаты: |
9.1.3.7 синустар теоремасын білу және қолдану; |
|||||
|
Сабақтың мақсаты: |
-Синустар теоремасын есеп шығаруда қолдану. |
|||||
|
Сабақтың барысы: |
||||||
|
Уақыты |
Кезең дері |
Педагогтің әрекеті |
Оқушының әрекеті |
Бағалау |
Ресурстар |
|
|
5 минут |
Ұйымдастыру |
Сәлеметсіздерме! Бүгін, Синустар теоремасы тақырыбын қарастырамыз - Синустар теоремасы. - Синустар теоремасын есеп шығаруда қолдану Бүгінгі сабақта меңгеретініңіз: Үйге тапсырмасын тексеру. Өтілген тақырып тапсырмаларын тексеру Бағалау: Ауызша бағалау.
|
Амандасады, тақырыпты жазады. Сұрақтарға жауап береді |
|
Оқу құралдары; оқулық; тақта; . |
|
|
5 мин |
Жаңа сабақты бекіту |
Сұрақтар. 1.Синустар теоремасын айтыңыз. 2. Косинустар теоремасын айтыңыз. 3. Синустар теоремасын жазыңыз. 4. Косинустар теоремасын жазыңыз. 5. sin30°, Sin45°, Sin 60° - мәндері неге тең? 6. cos 30°cos 45°cos 60° - мәндері неге тең? 7. Косинустар теоремасын түрлендіріп жазыңыз. 8. Үшбұрыштарды шешу дегеніміз не?
|
Тақырып бойынша ресурстарды қарап, танысады Қажетті анықтамаларды жазып, сызбаны сызады.
|
Дескриптор: -Үшбұрыштың бұрыштарын табады - синустар теоремасын қолданады |
Оқу құралдары; оқулық; тақта; |
|
|
15 мин |
Бекіту тапсырмасы |
Тест тапсырмасы
|
Тапсырманы орындайды
|
Дескриптор: -Үшбұрыштың бұрыштарын табады - синустар теоремасын қолданады |
Оқу құралдары; оқулық; тақта; |
|
|
15 минут |
|
Тапсырма. Есептер жинағынан Әр оқушыға тест тапсырмасы беріледі 1.
A) 1
B) 2. Радиусы 10-ға тең шеңбердің центрінен ұзындығы 12-ге тең хордасына дейінгі қашықтықты табыңыз. A) 6.B) 8.C) 10.D) 9. E) 12. 3.
Үшбұрыштың А)
В)
С)
Д)
Е)
|
Оқушылар есептің сызбасын сызады.
үшбұрыштың белгісіз элементтерін анықтайды, есептің шешімін табады оқулықтан есеп шығарады. Білім алушы дескрипторға сәйкес тапсырмаларды орындайды.
|
Дескриптор: -Үшбұрыштың бұрыштарын табады - синустар теоремасын қолданады Дескриптор: Есептің шартына байланысты теореманы дұрыс таңдайды; Формуланы дұрыс жазады; Белгісіз шаманы табады; Жауабын жазады. ҚБ:
-Тақырыпқа қатысты есептерді талдайды. |
Слайд
Жалпы білім беретін мектептің 9–сыныбына арналған оқулық. Оқулық авторлары: В.А.Смирнов, Е.А.Тұяқов Алматы «Мектеп» баспасы 2019 жыл Интернет ресурстары |
|
|
5 минут |
|
Бүгінгі сабақта: - Синустар теоремасы. - Синустар теоремасын есеп шығаруда қолдану Кері байланыс. Бүгін сабақта мен.....үйрендім Бүгін сабақта маған....ұнады Бүгін сабақта мен.....қайталадым Бүгін сабақта мен өзіме....деген баға қойдым
Үйге тапсырма. № |
Тақырыпты меңгергенін анықтау Кері байланыс жасайды. |
|
Оқу құралдары; оқулық; тақта; Презентация |
|
Сабақ жоспары №6
Бекітемін:
|
Педагогтің аты; тегі; әкесінің аты (бар болған жағдайда) |
|
|||||
|
Пән/Сынып: |
9 сынып |
|||||
|
Күні: |
|
|||||
|
Бөлім: |
9.3А Үшбұрыштарды шешу |
|||||
|
Сабақтың тақырыбы: |
Синустар теоремасы. |
|||||
|
Оқу бағдарламасына сәйкес оқыту мақсаты: |
9.1.3.7 синустар теоремасын білу және қолдану; |
|||||
|
Сабақтың мақсаты: |
-Синустар теоремасын есеп шығаруда қолдану. |
|||||
|
Сабақтың барысы: |
||||||
|
Уақыты |
Кезең дері |
Педагогтің әрекеті |
Оқушының әрекеті |
Бағалау |
Ресурстар |
|
|
5 минут |
Ұйымдастыру |
Сәлеметсіздерме! Бүгін, Синустар теоремасы тақырыбын қарастырамыз - Синустар теоремасы. - Синустар теоремасын есеп шығаруда қолдану Бүгінгі сабақта меңгеретініңіз: . Үйге тапсырмасын тексеру. Өтілген тақырып тапсырмаларын тексеру Бағалау: Ауызша бағалау.
|
Амандасады, тақырыпты жазады. Сұрақтарға жауап береді |
|
Оқу құралдары; оқулық; тақта; . |
|
|
5 мин |
Жаңа сабақты бекіту |
Сұрақтар. 1.Синустар теоремасын айтыңыз. 2. Косинустар теоремасын айтыңыз. 3. Синустар теоремасын жазыңыз. 4. Косинустар теоремасын жазыңыз. 5. sin30°, Sin45°, Sin 60° - мәндері неге тең? 6. cos 30°cos 45°cos 60° - мәндері неге тең? 7. Косинустар теоремасын түрлендіріп жазыңыз. 8. Үшбұрыштарды шешу дегеніміз не? |
Тақырып бойынша ресурстарды қарап, танысады Қажетті анықтамаларды жазып, сызбаны сызады. |
|
|
|
|
20 минут |
Бекіту тапсырмасы |
Тапсырма. Есептер шығару:
Әр оқушыға тест тапсырмасы беріледі 1.
A) 1
B) 2. Радиусы 10-ға тең шеңбердің центрінен ұзындығы 12-ге тең хордасына дейінгі қашықтықты табыңыз. A) 6.B) 8.C) 10.D) 9. E) 12. 3.
Үшбұрыштың А)
В)
С)
Д)
Е)
Оқулықтан №2,3 |
Оқушылар есептің сызбасын сызады.
үшбұрыштың белгісіз элементтерін анықтайды, есептің шешімін табады
Оқулықтан есеп шығарады.
Білім алушы дескрипторға сәйкес тапсырмаларды орындайды.
|
Дескриптор: Есептің шартына байланысты теореманы дұрыс таңдайды; Формуланы дұрыс жазады; Белгісіз шаманы табады; Жауабын жазады. ҚБ:
-Тақырыпқа қатысты есептерді талдайды. |
Слайд
Жалпы білім беретін мектептің 9–сыныбына арналған оқулық. Оқулық авторлары: В.А.Смирнов, Е.А.Тұяқов Алматы «Мектеп» баспасы 2019 жыл Интернет ресурстары |
|
|
10мин |
Жеке жұмыс |
Оқулықтан есептер шығару
|
Тапсырманы орындайды
|
Дескриптор: -Үшбұрыштың бұрыштарын табады - синустар теоремасын қолданады
Дескриптор: -Үшбұрыштың бұрыштарын табады - синустар теоремасын қолданады |
h |
|
|
5 минут |
|
Бүгінгі сабақта: - Синустар теоремасы. - Синустар теоремасын есеп шығаруда қолдану Кері байланыс. Бүгін сабақта мен.....үйрендім Бүгін сабақта маған....ұнады Бүгін сабақта мен.....қайталадым Бүгін сабақта мен өзіме....деген баға қойдым
Үйге тапсырма. №4. |
Тақырыпты меңгергенін анықтау Кері байланыс жасайды. |
|
Оқу құралдары; оқулық; тақта; Презентация |
|
Сабақ жоспары №7
Бекітемін:
|
Педагогтің аты; тегі; әкесінің аты (бар болған жағдайда) |
|
||||||||||||
|
Пән/Сынып: |
9 сынып |
||||||||||||
|
Күні: |
|
||||||||||||
|
Бөлім: |
9.3А Үшбұрыштарды шешу |
||||||||||||
|
Сабақтың тақырыбы: |
Синустар теоремасы. |
||||||||||||
|
Оқу бағдарламасына сәйкес оқыту мақсаты: |
9.1.3.7 синустар теоремасын білу және қолдану; |
||||||||||||
|
Сабақтың мақсаты: |
-Синустар теоремасын есеп шығаруда қолдану. |
||||||||||||
|
Сабақтың барысы: |
|||||||||||||
|
Уақыты |
Кезең дері |
Педагогтің әрекеті |
Оқушының әрекеті |
Бағалау |
Ресурстар |
||||||||
|
5 минут |
Ұйымдастыру |
Сәлеметсіздерме! Бүгін, Синустар теоремасы тақырыбын қарастырамыз - Синустар теоремасы. - Синустар теоремасын есеп шығаруда қолдану Бүгінгі сабақта меңгеретініңіз: . Үйге тапсырмасын тексеру. Өтілген тақырып тапсырмаларын тексеру
Бағалау: Ауызша бағалау.
|
Амандасады, тақырыпты жазады. Сұрақтарға жауап береді |
|
Оқу құралдары; оқулық; тақта; . |
||||||||
|
5 мин |
Жаңа сабақты бекіту |
Сұрақтар. 1.Синустар теоремасын айтыңыз. 2. Косинустар теоремасын айтыңыз. 3. Синустар теоремасын жазыңыз. 4. Косинустар теоремасын жазыңыз. 5. sin30°, Sin45°, Sin 60° - мәндері неге тең? 6. cos 30°cos 45°cos 60° - мәндері неге тең? 7. Косинустар теоремасын түрлендіріп жазыңыз. 8. Үшбұрыштарды шешу дегеніміз не? Теорема:Үшбұрыштың қабырғалары қарсы жатқан бұрыштардың синустарына пропорционал болады
Ү
теңдігі орындалады. Б
Д/к Дәлелдеу үшін: СД биіктік түсірейік.
б
Осы сияқты В төбесінен биіктігін түсіру
арқылы дәлелдеуге болады. |
Тақырып бойынша ресурстарды қарап, танысады Қажетті анықтамаларды жазып, сызбаны сызады.
|
|
|
||||||||
|
30 минут |
Бекіту тапсырмасы |
Тапсырма. Есептер жинағынан №1 АВС үшбұрышы берілген. ے С=300, ے В=450 , АВ=4 см болса, АС қабырғасының ұзындығын табу керек. №2 АВС үшбұрышында А,В,С бұрыштарының қатынасы 1:2:3 қатынасындай және ВС =8 см. АВ және АС қабырғаларының ұзындығын табыңдар. Жауаптары
ےА=300, ے В=600ے С=900,
№3 АВС үшбұрышының ВС және АС қабырғалары мен ВС қабырғасына қарсы А бұрышы берілген. Қалған бұрыштары мен үшінші қабырғасын табу керек.
Оқулықтан №11, №13. |
Оқушылар есептің сызбасын сызады.
үшбұрыштың белгісіз элементтерін анықтайды, есептің шешімін табады
Оқулықтан есеп шығарады.
Білім алушы дескрипторға сәйкес тапсырмаларды орындайды.
|
Дескриптор: -Үшбұрыштың қабырғаларын табады - синустар теоремасын қолданады
Дескриптор: Есептің шартына байланысты теореманы дұрыс таңдайды; Формуланы дұрыс жазады; Белгісіз шаманы табады; Жауабын жазады. ҚБ:
-Тақырыпқа қатысты есептерді талдайды. |
Слайд
Жалпы білім беретін мектептің 9–сыныбына арналған оқулық. Оқулық авторлары: В.А.Смирнов, Е.А.Тұяқов Алматы «Мектеп» баспасы 2019 жыл Интернет ресурстары |
||||||||
|
|
Жеке жұмыс |
Жеке жұмыс І Есептер шығару:
1. a = 20, b = 7, c = 27,
cos
2. Үшбұрыштың a=7м, b=5м
қабырғаларымен а қабырғасына қарсы жатқан
3. АВС үшбұрышының
қабырғасы және екі бұрышы берілген. Оның үшінші бұрышы мен қалған
екі қабырғасын есептеңдер.ВС
4. a=16,
b=10, |
Тапсырманы орындайды
|
|
|
||||||||
|
5 минут |
|
Бүгінгі сабақта: - Синустар теоремасы. - Синустар теоремасын есеп шығаруда қолдану Кері байланыс.
Үйге тапсырма. №15. |
Тақырыпты меңгергенін анықтау
Кері байланыс жасайды. |
|
Оқу құралдары; оқулық; тақта;
Презентация
|
||||||||
Сабақ жоспары №10
Бекітемін:
|
Педагогтің аты; тегі; әкесінің аты (бар болған жағдайда) |
|
||||||
|
Пән/Сынып: |
9 сынып |
||||||
|
Күні: |
|
||||||
|
Бөлім: |
9.3А Үшбұрыштарды шешу |
||||||
|
Сабақтың тақырыбы: |
Іштей сызылған үшбұрыш пен сырттай сызылған үшбұрыштың аудандары. |
||||||
|
Оқу бағдарламасына сәйкес оқыту мақсаты: |
9.1.3.8 іштей сызылған
үшбұрыштың ауданын ( |
||||||
|
Сабақтың мақсаты: |
Үшбұрыштарға сырттай және іштей сызылған шеңберлердің радиустарын таба алу. Ол формулаларды шатаспай қай кезде қолданылатындығын есте сақтау. Қолданбалы есептерді шығара білу. |
||||||
|
Сабақтың барысы: |
|||||||
|
Уақыты |
Кезең дері |
Педагогтің әрекеті |
Оқушының әрекеті |
Бағалау |
Ресурстар |
||
|
5 минут |
Ұйымдастыру |
Сәлеметсіздерме! Бүгін, Іштей сызылған үшбұрыш пен сырттай сызылған көпбұрыштың аудандары тақырыбын қарастырамыз Бүгінгі сабақта меңгеретініңіз: -шеңберге іштей сызылған үшбұрыш ауданының формуласы. -шеңберге іштей сызылған үшбұрыш ауданының формуласын есептер шығаруда қолдану. Үйге тапсырмасын тексеру. Өтілген тақырып тапсырмаларын тексеру
Бағалау: Ауызша бағалау.
|
Амандасады, тақырыпты жазады. Сұрақтарға жауап береді |
|
Оқу құралдары; оқулық; тақта; . |
||
|
15мин |
Жаңа сабақ |
|
Тақырып бойынша ресурстарды қарап, танысады
Қажетті анықтамаларды жазып, сызбаны сызады.
|
|
|
||
|
20 минут |
Бекіту тапсырмасы |
1-тапсырма. Көпбұрыштың периметрін 14 см шеңберге сырттай сызылған көпбұрыштың ауданы 32 см2. Шеңбердің радиусын табыңдар. 2- тапсырма. Үшбұрыштың қабырғалары 5, 5, 8. Оған сырттай сызылған шеңбердің радуисын табыңдар. 3- тапсырма. Тік бұрышты үшбұрыштың катеттері 3см, 4 см. Оған сырттай сызылған шеңбердің радуисын табыңдар. Жеке жұмыс:
|
Оқушылар есептің сызбасын сызады.
үшбұрыштың белгісіз элементтерін анықтайды, есептің шешімін табады
Оқулықтан есеп шығарады.
Білім алушы дескрипторға сәйкес тапсырмаларды орындайды.
|
Дескриптор: -Үшбұрыштың қабырғаларын табады - синустар теоремасын қолданады
дескриптор: Есептің шартына байланысты теореманы дұрыс таңдайды; Формуланы дұрыс жазады; Белгісіз шаманы табады; Жауабын жазады.
ҚБ:
-Тақырыпқа қатысты есептерді талдайды. |
Слайд
Жалпы білім беретін мектептің 9–сыныбына арналған оқулық. Оқулық авторлары: В.А.Смирнов, Е.А.Тұяқов Алматы «Мектеп» баспасы 2019 жыл Интернет ресурстары |
||
|
5 минут |
|
Бүгінгі сабақта: -шеңберге іштей сызылған үшбұрыш ауданының формуласы. -шеңберге іштей сызылған үшбұрыш ауданының формуласын есептер шығаруда қолдану. Кері байланыс: «Басбармақ» Рефлексия: - нені білдім, нені үйрендім - нені толық түсінбедім - немен жұмысты жалғастыру қажет Үйге тапсырма. №11, №12. |
Тақырыпты меңгергенін анықта Кері байланыс жасайды. |
|
Оқу құралдары; оқулық; тақта; Презентация |
||
Сабақ жоспары №11
Бекітемін:
|
Педагогтің аты; тегі; әкесінің аты (бар болған жағдайда) |
|
|||||
|
Пән/Сынып: |
9 сынып |
|||||
|
Күні: |
|
|||||
|
Бөлім: |
9.3А Үшбұрыштарды шешу |
|||||
|
Сабақтың тақырыбы: |
Іштей сызылған үшбұрыш пен сырттай сызылған көпбұрыштың аудандары. |
|||||
|
Оқу бағдарламасына сәйкес оқыту мақсаты: |
9.1.3.8 іштей сызылған
үшбұрыштың ауданын ( |
|||||
|
Сабақтың мақсаты: |
іштей сызылған үшбұрыштың
ауданын ( |
|||||
|
Сабақтың барысы: |
||||||
|
Уақыты |
Кезең дері |
Педагогтің әрекеті |
Оқушының әрекеті |
Бағалау |
Ресурстар |
|
|
5 минут |
Ұйымдастыру |
Сәлеметсіздерме! Бүгін, Іштей сызылған үшбұрыш пен сырттай сызылған көпбұрыштың аудандары тақырыбын қарастырамыз Бүгінгі сабақта меңгеретініңіз: -шеңберге іштей сызылған үшбұрыш ауданының формуласы. -шеңберге іштей сызылған үшбұрыш ауданының формуласын есептер шығаруда қолдану. Үйге тапсырмасын тексеру. Өтілген тақырып тапсырмаларын тексеру
Бағалау: Ауызша бағалау.
|
Амандасады, тақырыпты жазады. Сұрақтарға жауап береді |
|
Оқу құралдары; оқулық; тақта; . |
|
|
5 мин |
Жаңа сабақ |
Үшбұрышқа сырттай
сызылған
Мұндағы,
Синустар
теоремасындағы Үшбұрыштың ауданы үшін Герон формуласын қорытып шығарыңдар:
Оқушыларға 15 минут уақыт беріледі. Осы уақыт ішінде оқушылар өздеріне берілген тапсырмаларды орындайды және тақтаның алдына шығып қорғайды. Өзге топтар қорғаған дәлелдеулерді тыңдайды. Осы тапсырмаларды орындағаннан кейін формативтік жұмыс орындайды. |
Тақырып бойынша ресурстарды қарап, танысады Қажетті анықтамаларды жазып, сызбаны сызады.
|
|
|
|
|
25 минут |
Бекіту тапсырмасы |
Тапсырма. 1) Шеңберге іштей сызылған бұрыш 22030/ - қа тең. Осы бұрыш тірелетін доғаның градустық шамасын есептеңдер. 2) Шеңбер хордаларымен 1:2:3 қатынасында бөлінген. Пайда болған үшбұрыштың бұрыштарын есептеңдер. 3) Іштей сызылған АВС бұрышы АС доғасына тіреледі. АС доғасы 570- қа тең. АВС бұрышы неге тең? 4) АВ және СД хордалары Е нүктесінде қиылысады. АЕ=5 см6 ВЕ=2 см, СЕ=2,5 см. ЕД кесіндісінің ұзындығы есептеңдер. 5) АВ және СД хордалары Е нүктесінде қиылысады. АЕ=7 см, ВЕ=5 см, СЕ=2,5 см. ЕД кесіндісінің ұзындығы есептеңдер. 6) АВ және СД хордалары Е нүктесінде қиылысады. АЕ=8 см, ВЕ=9 см, СЕ=3,5см. ЕД кесіндісінің ұзындығы есептеңдер.
Пысықтау сұрақтары.
1. Центірлік бұрыш дегеніміз не? 2. Центрлік бұрышқа сәйкес шеңбер доғасы деп қандай доғаны айтады? 3. Шеңбер доғасының градустық өлшемі қалай анықталады? 4. Шеңберге іштей сызылған бұрыш деп қандай бұрышты атайды? 5. Диаметрге тірелетін бұрыш қандай бұрыш болады? 6. Өзара қиылысатын хордалар кесінділерінің қасиеттерін дәлелдеңдер? Оқулықтан №15, №16. |
Оқушылар есептің сызбасын сызады.
үшбұрыштың белгісіз элементтерін анықтайды, есептің шешімін табады
Оқулықтан есеп шығарады. Білім алушы дескрипторға сәйкес тапсырмаларды орындайды.
|
Дескриптор: -Үшбұрыштың қабырғаларын табады - синустар теоремасын қолданады
Дескриптор: Есептің шартына байланысты теореманы дұрыс таңдайды; Формуланы дұрыс жазады; Белгісіз шаманы табады; Жауабын жазады. ҚБ:
-Тақырыпқа қатысты есептерді талдайды. |
Слайд
Жалпы білім беретін мектептің 9–сыныбына арналған оқулық. Оқулық авторлары: В.А.Смирнов, Е.А.Тұяқов Алматы «Мектеп» баспасы 2019 жыл Интернет ресурстары |
|
|
5 мин |
Жеке жұмыс |
№12.АС хордасы мен шеңберге жүргізілген ВС жанамасының
арасындағы бұрыш
|
Тапсырманы орындайды. Жауабы: |
|
|
|
|
5 минут |
|
Бүгінгі сабақта: -шеңберге іштей сызылған үшбұрыш ауданының формуласы. -шеңберге іштей сызылған үшбұрыш ауданының формуласын есептер шығаруда қолдану. Кері байланыс: «Басбармақ» Рефлексия: - нені білдім, нені үйрендім - нені толық түсінбедім - немен жұмысты жалғастыру қажет Үйге тапсырма. №22. |
Тақырыпты меңгергенін анықтау Кері байланыс жасайды. |
|
Оқу құралдары; оқулық; тақта; Презентация |
|
Сабақ жоспары №12
Бекітемін:
|
Педагогтің аты; тегі; әкесінің аты (бар болған жағдайда) |
|
|||||||||||
|
Пән/Сынып: |
9 сынып |
|||||||||||
|
Күні: |
|
|||||||||||
|
Бөлім: |
9.3А Үшбұрыштарды шешу |
|||||||||||
|
Сабақтың тақырыбы: |
Іштей сызылған үшбұрыш пен сырттай сызылған көпбұрыштың аудандары. |
|||||||||||
|
Оқу бағдарламасына сәйкес оқыту мақсаты: |
9.1.3.8 іштей сызылған
үшбұрыштың ауданын ( |
|||||||||||
|
Сабақтың мақсаты: |
9.1.3.8 іштей сызылған
үшбұрыштың ауданын ( |
|||||||||||
|
Сабақтың барысы: |
||||||||||||
|
Уақыты |
Кезең дері |
Педагогтің әрекеті |
Оқушының әрекеті |
Бағалау |
Ресурстар |
|||||||
|
5 минут |
Ұйымдастыру |
Сәлеметсіздерме! Бүгін, Іштей сызылған үшбұрыш пен сырттай сызылған көпбұрыштың аудандары тақырыбын қарастырамыз Бүгінгі сабақта меңгеретініңіз: -шеңберге іштей сызылған үшбұрыш ауданының формуласы. -шеңберге іштей сызылған үшбұрыш ауданының формуласын есептер шығаруда қолдану. Үйге тапсырмасын тексеру. Өтілген тақырып тапсырмаларын тексеру
Бағалау: Ауызша бағалау.
|
Амандасады, тақырыпты жазады. Сұрақтарға жауап береді |
|
Оқу құралдары; оқулық; тақта; . |
|||||||
|
5 мин |
Жаңа сабақ |
Үшбұрышқа сырттай
сызылған
Мұндағы,
Синустар
теоремасындағы Үшбұрыштың ауданы үшін Герон формуласын қорытып шығарыңдар:
Оқушыларға 15 минут уақыт беріледі. Осы уақыт ішінде оқушылар өздеріне берілген тапсырмаларды орындайды және тақтаның алдына шығып қорғайды. Өзге топтар қорғаған дәлелдеулерді тыңдайды. Осы тапсырмаларды орындағаннан кейін формативтік жұмыс орындайды. |
Тақырып бойынша ресурстарды қарап, танысады Қажетті анықтамаларды жазып, сызбаны сызады.
|
|
|
|||||||
|
25 минут |
Бекіту тапсырмасы |
О |
Оқушылар есептің сызбасын сызады.
үшбұрыштың белгісіз элементтерін анықтайды, есептің шешімін табады
Оқулықтан есеп шығарады. Білім алушы дескрипторға сәйкес тапсырмаларды орындайды.
|
Дескриптор: -Үшбұрыштың қабырғаларын табады - синустар теоремасын қолданады
Дескриптор: Есептің шартына байланысты теореманы дұрыс таңдайды; Формуланы дұрыс жазады; Белгісіз шаманы табады; Жауабын жазады. ҚБ:
-Тақырыпқа қатысты есептерді талдайды. |
Слайд
Жалпы білім беретін мектептің 9–сыныбына арналған оқулық. Оқулық авторлары: В.А.Смирнов, Е.А.Тұяқов Алматы «Мектеп» баспасы 2019 жыл Интернет ресурстары |
|||||||
|
5 мин |
Жеке жұмыс |
№12.АС хордасы мен шеңберге жүргізілген ВС жанамасының
арасындағы бұрыш
|
Тапсырманы орындайды. Жауабы: |
|
|
|||||||
|
5 минут |
|
Бүгінгі сабақта: -шеңберге іштей сызылған үшбұрыш ауданының формуласы. -шеңберге іштей сызылған үшбұрыш ауданының формуласын есептер шығаруда қолдану. Кері байланыс:
Үйге тапсырма. №3,4. |
Тақырыпты меңгергенін анықтау
Кері байланыс жасайды. |
|
Оқу құралдары; оқулық; тақта;
Презентация
|
|||||||
Сабақ жоспары №13
Бекітемін:
|
Педагогтің аты; тегі; әкесінің аты (бар болған жағдайда) |
|
|||||||||||
|
Пән/Сынып: |
9 сынып |
|||||||||||
|
Күні: |
|
|||||||||||
|
Бөлім: |
9.3А Үшбұрыштарды шешу |
|||||||||||
|
Сабақтың тақырыбы: |
Шеңберге іштей немесе сырттай сызылған үшбұрыштың ауданын пайдаланып, шеңбердің радиусын табу формулалары |
|||||||||||
|
Оқу бағдарламасына сәйкес оқыту мақсаты: |
9.1.3.9 шеңберге іштей немесе сырттай сызылған үшбұрыштардың аудандарын пайдаланып шеңбердің радиусын табу формулаларын білу және қолдану; |
|||||||||||
|
Сабақтың мақсаты: |
Үшбұрыштың белгісіз элементтерін табу үшін іштей/сырттай сызылған үшбұрыштың/көпбұрыштың ауданының формуласын қолданады, есеп шығару |
|||||||||||
|
Сабақтың барысы: |
||||||||||||
|
Уақыты |
Кезең дері |
Педагогтің әрекеті |
Оқушының әрекеті |
Бағалау |
Ресурстар |
|||||||
|
5 минут |
Ұйымдастыру |
Сәлеметсіздерме! Бүгін, Шеңберге іштей немесе сырттай сызылған үшбұрыштың ауданын пайдаланып, шеңбердің радиусын табу формулалары тақырыбын қарастырамыз Бүгінгі сабақта меңгеретініңіз:
Үйге тапсырмасын тексеру. Өтілген тақырып тапсырмаларын тексеру
Бағалау: Ауызша бағалау.
|
Амандасады, тақырыпты жазады. Сұрақтарға жауап береді |
|
Оқу құралдары; оқулық; тақта; . |
|||||||
|
5 мин |
Жаңа сабақ |
Шеңберге іштей сызылған үшбұрыш Егер үшбұрыштың барлық төбелері шеңбердің бойында жатса, онда үшбұрыш шеңберге іштей сызылған деп аталады. Басқаша айтқанда, бұл жағдайда шеңбер үшбұрышқа сырттай сызылған деп те аталады. ⠀Теорема. Кез келген үшбұрышқа сырттай шеңбер сызуға болады. Оның центрі үшбұрыштың қабырғаларына жүргізілген орта перпендикулярлардың қиылысу нүктесі болады. 1- топ тапсырмасы:
2- топ тапсырмасы:
3- топ тапсырмасы:
|
Тақырып бойынша ресурстарды қарап, танысады
Қажетті анықтамаларды жазып, сызбаны сызады.
|
|
|
|||||||
|
25 минут
|
Бекіту тапсырмасы |
1-тапсырма. Көпбұрыштың периметрін 14 см шеңберге сырттай сызылған көпбұрыштың ауданы 32 см2. Шеңбердің радиусын табыңдар. 2- тапсырма. Үшбұрыштың қабырғалары 5, 5, 8. Оған сырттай сызылған шеңбердің радуисын табыңдар. 3- тапсырма. Тік бұрышты үшбұрыштың катеттері 3см, 4 см. Оған сырттай сызылған шеңбердің радуисын табыңдар. Жеке жұмыс:
Оқулықпен жұмыс.
|
Оқушылар есептің сызбасын сызады.
үшбұрыштың белгісіз элементтерін анықтайды, есептің шешімін табады
Оқулықтан есеп шығарады. Білім алушы дескрипторға сәйкес тапсырмаларды орындайды.
|
Дескриптор: -Шеңберге сырттай сызылған көпбұрыштың ауданын табу формуласын қолданады. -Шеңбердің радиусын табады. Дескриптор: 1. Үшбұрыштың үшінші қабырғасын табады; 2. Үшбұрыштың ауданын табады; 3. Сырттай сызылған шеңбердің ауданын табу формуласын қолданып, радуисын табады; ҚБ:
|
Слайд
Жалпы білім беретін мектептің 9–сыныбына арналған оқулық. Оқулық авторлары: В.А.Смирнов, Е.А.Тұяқов Алматы «Мектеп» баспасы 2019 жыл
Интернет ресурстары |
|||||||
|
5 мин |
Жеке жұмыс |
№12.АС хордасы мен шеңберге жүргізілген ВС жанамасының
арасындағы бұрыш
|
Тапсырманы орындайды.
Жауабы:
|
|
|
|||||||
|
5минут
|
|
Бүгінгі сабақта:
-әртүрлі үшбұрыштарға сырттай сызылған шеңберлер центрлерінің орналасу жағадайлары Кері байланыс:
Үйге тапсырма. №6,7. |
Тақырыпты меңгергенін анықтау
Кері байланыс жасайды. |
|
Оқу құралдары; оқулық; тақта;
Презентация
|
|||||||
Сабақ жоспары 13
Бекітемін:
|
Педагогтің аты; тегі; әкесінің аты (бар болған жағдайда) |
|
|||||||||||
|
Пән/Сынып: |
9 сынып |
|||||||||||
|
Күні: |
|
|||||||||||
|
Бөлім: |
9.3А Үшбұрыштарды шешу |
|||||||||||
|
Сабақтың тақырыбы: |
Шеңберге іштей немесе сырттай сызылған үшбұрыштың ауданын пайдаланып, шеңбердің радиусын табу формулалары |
|||||||||||
|
Оқу бағдарламасына сәйкес оқыту мақсаты: |
9.1.3.9 шеңберге іштей немесе сырттай сызылған үшбұрыштардың аудандарын пайдаланып шеңбердің радиусын табу формулаларын білу және қолдану; |
|||||||||||
|
Сабақтың мақсаты: |
Үшбұрыштың белгісіз элементтерін табу үшін іштей/сырттай сызылған үшбұрыштың/көпбұрыштың ауданының формуласын қолданады, есеп шығарады. |
|||||||||||
|
Сабақтың барысы: |
||||||||||||
|
Уақыты |
Кезең дері |
Педагогтің әрекеті |
Оқушының әрекеті |
Бағалау |
Ресурстар |
|||||||
|
5 минут |
Ұйымдастыру |
Сәлеметсіздерме! Бүгін, Шеңберге іштей немесе сырттай сызылған үшбұрыштың ауданын пайдаланып, шеңбердің радиусын табу формулалары тақырыбын қарастырамыз Бүгінгі сабақта меңгеретініңіз:
Үйге тапсырмасын тексеру. Өтілген тақырып тапсырмаларын тексеру
Бағалау: Ауызша бағалау.
|
Амандасады, тақырыпты жазады. Сұрақтарға жауап береді |
|
Оқу құралдары; оқулық; тақта; . |
|||||||
|
5 мин |
Жаңа сабақ |
Шеңберге іштей сызылған үшбұрыш Егер үшбұрыштың барлық төбелері шеңбердің бойында жатса, онда үшбұрыш шеңберге іштей сызылған деп аталады. Басқаша айтқанда, бұл жағдайда шеңбер үшбұрышқа сырттай сызылған деп те аталады. ⠀Теорема. Кез келген үшбұрышқа сырттай шеңбер сызуға болады. Оның центрі үшбұрыштың қабырғаларына жүргізілген орта перпендикулярлардың қиылысу нүктесі болады. 1- топ тапсырмасы:
2- топ тапсырмасы:
3- топ тапсырмасы:
|
Тақырып бойынша ресурстарды қарап, танысады
Қажетті анықтамаларды жазып, сызбаны сызады.
|
|
|
|||||||
|
25 минут
|
Бекіту тапсырмасы |
. Жеке жұмыс: 1)Радиусы 3 дм шеңберге сырттай сызылған көпбұрыштың ауданы 60 дм2. Көпбұрыштың периметрін табыңдар. 2) №2. АВС үшбұрышына іштей сызылған шеңбер АВ, ВС және АС қабырғаларына сәйкесінше М, К және Р нүктелерімен жанасады.. АВС үшбұрышының периметрін табыңыз, егер АР = 4 см, ВМ = 6 см, СК = 3 см екені белгілі болса.
|
Оқушылар есептің сызбасын сызады.
үшбұрыштың белгісіз элементтерін анықтайды, есептің шешімін табады
Оқулықтан есеп шығарады. Білім алушы дескрипторға сәйкес тапсырмаларды орындайды.
|
Дескриптор: -Шеңберге сырттай сызылған көпбұрыштың ауданын табу формуласын қолданады. -Шеңбердің радиусын табады. Дескриптор: 1. Үшбұрыштың үшінші қабырғасын табады; 2. Үшбұрыштың ауданын табады; 3. Сырттай сызылған шеңбердің ауданын табу формуласын қолданып, радуисын табады; ҚБ:
|
Слайд
Жалпы білім беретін мектептің 9–сыныбына арналған оқулық. Оқулық авторлары: В.А.Смирнов, Е.А.Тұяқов Алматы «Мектеп» баспасы 2019 жыл
Интернет ресурстары |
|||||||
|
5 мин |
Жеке жұмыс |
№12.АС хордасы мен шеңберге жүргізілген ВС жанамасының
арасындағы бұрыш
|
Тапсырманы орындайды.
Жауабы:
|
|
|
|||||||
|
5минут
|
|
Бүгінгі сабақта:
-әртүрлі үшбұрыштарға сырттай сызылған шеңберлер центрлерінің орналасу жағадайлары Кері байланыс:
Үйге тапсырма. №6,7. |
Тақырыпты меңгергенін анықтау
Кері байланыс жасайды. |
|
Оқу құралдары; оқулық; тақта;
Презентация
|
|||||||
Сабақ жоспары №14
Бекітемін:
|
Педагогтің аты; тегі; әкесінің аты (бар болған жағдайда) |
|
|||||||||||
|
Пән/Сынып: |
9 сынып |
|||||||||||
|
Күні: |
|
|||||||||||
|
Бөлім: |
9.3А Үшбұрыштарды шешу |
|||||||||||
|
Сабақтың тақырыбы: |
Шеңберге іштей немесе сырттай сызылған үшбұрыштың ауданын пайдаланып, шеңбердің радиусын табу формулалары |
|||||||||||
|
Оқу бағдарламасына сәйкес оқыту мақсаты: |
9.1.3.9 шеңберге іштей немесе сырттай сызылған үшбұрыштардың аудандарын пайдаланып шеңбердің радиусын табу формулаларын білу және қолдану; |
|||||||||||
|
Сабақтың мақсаты: |
Үшбұрыштың белгісіз элементтерін табу үшін іштей/сырттай сызылған үшбұрыштың/көпбұрыштың ауданының формуласын қолданады, есеп шығарады. |
|||||||||||
|
Сабақтың барысы: |
||||||||||||
|
Уақыты |
Кезең дері |
Педагогтің әрекеті |
Оқушының әрекеті |
Бағалау |
Ресурстар |
|||||||
|
5минут |
Ұйымдастыру |
Сәлеметсіздерме! Бүгін, Шеңберге іштей немесе сырттай сызылған үшбұрыштың ауданын пайдаланып, шеңбердің радиусын табу формулалары тақырыбын қарастырамыз Бүгінгі сабақта меңгеретініңіз:
Үйге тапсырмасын тексеру. Өтілген тақырып тапсырмаларын тексеру Өткенді қайталау Тест тапсырмалары 10 бұрыштың неше диагоналі бар? А) 7; В)30; С) 54 Д) 35 2) Көпбұрыштың бір төбесінен 16 диагональ жүргізуге болады. Бұл қандай көпбұрыш? А) 21; В) 20; С) 104 Д) 13 3) Сегізбұрыштың ішкі бұрыштарының қосындысы неге тең? А) 360; В) 1080; С) 1440; Д) 135 4) Он екі бұрыштың әр төбесінен неше диагональ жүргізуге болады? А)10 В)8 С) 7 Д) 9 Е)5 5)Дұрыс бесбұрыштың әр бұрышы? 6) Бір бұрышы 1440-қа тең көбұрыштың қабырғалар саны неге тең? А) 10 В) 12 С) 8 Д) 9 7) Бір доғаға тірелетін, АОВ центрлік бұрышы үшін іштей сызылған АОВ бұрышының градустық өлшемін табыңыз. АСВ бұрышы 800-қа тең.
А) 600 В) 400 С) 1600 Д) 1800 Е) 1200 8. АВ түзуі радиуысы 15 см центрі О нүктесі шеңберді В нүктесінде жанайды ОА=17 см болса, АВ тап. A)7 B)10 C)8 D)11 E)2 9. Сыртай сызылған АВСDтөртбұрышында АВ=8см, СD=13 см, DA=16см болса, ВС тап. A)7 B)9 C)10 D)5 E)3 10. {-6;k} және {3;2} векторлары k-ның қандай мәнінде өзара перпендикуляр болады. A) 11 B) 3 C) 9 D) 1 E) 5 Бағалау: Ауызша бағалау.
|
Амандасады, тақырыпты жазады. Сұрақтарға жауап береді Тест тапсырмаларын орындайды |
|
Оқу құралдары; оқулық; тақта; . |
|||||||
|
5 мин |
Жаңа сабақ |
Шеңберге іштей сызылған үшбұрыш Егер үшбұрыштың барлық төбелері шеңбердің бойында жатса, онда үшбұрыш шеңберге іштей сызылған деп аталады. Басқаша айтқанда, бұл жағдайда шеңбер үшбұрышқа сырттай сызылған деп те аталады. ⠀Теорема. Кез келген үшбұрышқа сырттай шеңбер сызуға болады. Оның центрі үшбұрыштың қабырғаларына жүргізілген орта перпендикулярлардың қиылысу нүктесі болады. 1- топ тапсырмасы:
2- топ тапсырмасы:
3- топ тапсырмасы:
Шеңберге іштей және сырттай сызылған үшбұрыштардың аудандарын пайдаланып, шеңберлердің радиустарын табу формулалары әртүрлі қабырғалы үшбұрышқа сыртай және іштей сызылған шеңбердің радиусын табу формуласы түсіндіріліп, есептер, мысалдар мен тапсырмалар беріледі. Жинаған білімдерін пайдаланып есептер шығарады. Оқушыларға өткен сабақтардан белгілі формулаларды жаттауы үшін қиынды қағаздар беріледі. Сол қағаздарға формулалар жазылған. Берілген формулаларды құрастыру арқылы Герон формуласын шығады
|
Тақырып бойынша ресурстарды қарап, танысады
Қажетті анықтамаларды жазып, сызбаны сызады.
|
|
|
|||||||
|
25 минут
|
Бекіту тапсырмасы |
Есептер шығару №1. Шеңберге сырттай сызылған теңбүйірлі трапеция берілген. Оның орта сызығы 1см, ал бір бұрышы 300. Шеңбердің радиусын тап Радиусы 2м-ге тең шеңберге сырттай сызылған теңбүйірлі трапецияның бүйір қабырғасы 5м. Табу керек: Трапецияның табандарының ұзындығын; Сырттай сызылған шеңбердің радиусын
№2. Шеңберге сырттай сызылған теңбүйірлі трапецияның табандарының ұзындығы 4 және 16 м. Табу керек: Сырттай сызылған шеңбердің радиусын Іштей сызылған шеңбердің радиусын
№3.Диагональдары 6м және 8м болатын ромбтың ішіне шеңбер сызылған. Осы шеңбердің радиустарын табыңдар. Оқулықпен жұмыс. №21.
|
Оқушылар есептің сызбасын сызады.
үшбұрыштың белгісіз элементтерін анықтайды, есептің шешімін табады
Оқулықтан есеп шығарады.
|
Дескриптор: -Шеңберге сырттай сызылған көпбұрыштың ауданын табу формуласын қолданады. -Шеңбердің радиусын табады. Дескриптор: 1. Үшбұрыштың үшінші қабырғасын табады; 2. Үшбұрыштың ауданын табады; 3. Сырттай сызылған шеңбердің ауданын табу формуласын қолданып, радуисын табады; ҚБ:
|
Слайд
Жалпы білім беретін мектептің 9–сыныбына арналған оқулық. Оқулық авторлары: В.А.Смирнов, Е.А.Тұяқов Алматы «Мектеп» баспасы 2019 жыл
Интернет ресурстары |
|||||||
|
5 мин |
Жеке жұмыс |
Есептер жинағынан №12, 13 |
Тапсырманы орындайды.
|
|
|
|||||||
|
5минут
|
|
Бүгінгі сабақта:
-әртүрлі үшбұрыштарға сырттай сызылған шеңберлер центрлерінің орналасу жағадайлары Кері байланыс:
Үйге тапсырма. №14. |
Тақырыпты меңгергенін анықтау
Кері байланыс жасайды. |
|
Оқу құралдары; оқулық; тақта;
Презентация
|
|||||||
Сабақ жоспары №15
Бекітемін:
|
Педагогтің аты; тегі; әкесінің аты (бар болған жағдайда) |
|
|||||||||||
|
Пән/Сынып: |
9 сынып |
|||||||||||
|
Күні: |
|
|||||||||||
|
Бөлім: |
9.3А Үшбұрыштарды шешу |
|||||||||||
|
Сабақтың тақырыбы: |
Шеңберге іштей немесе сырттай сызылған үшбұрыштың ауданын пайдаланып, шеңбердің радиусын табу формулалары |
|||||||||||
|
Оқу бағдарламасына сәйкес оқыту мақсаты: |
9.1.3.9 шеңберге іштей немесе сырттай сызылған үшбұрыштардың аудандарын пайдаланып шеңбердің радиусын табу формулаларын білу және қолдану; |
|||||||||||
|
Сабақтың мақсаты: |
Үшбұрыштың белгісіз элементтерін табу үшін іштей/сырттай сызылған үшбұрыштың/көпбұрыштың ауданының формуласын қолданады, есеп шығарады. |
|||||||||||
|
Сабақтың барысы: |
||||||||||||
|
Уақыты |
Кезең дері |
Педагогтің әрекеті |
Оқушының әрекеті |
Бағалау |
Ресурстар |
|||||||
|
5мин |
Ұйымдастыру |
Сәлеметсіздерме! Бүгін, Шеңберге іштей немесе сырттай сызылған үшбұрыштың ауданын пайдаланып, шеңбердің радиусын табу формулалары тақырыбын қарастырамыз Бүгінгі сабақта меңгеретініңіз:
Үйге тапсырмасын тексеру. Өтілген тақырып тапсырмаларын тексеру Өткенді қайталау Тест тапсырмалары 10 бұрыштың неше диагоналі бар? А) 7; В)30; С) 54 Д) 35 2) Көпбұрыштың бір төбесінен 16 диагональ жүргізуге болады. Бұл қандай көпбұрыш? А) 21; В) 20; С) 104 Д) 13 3) Сегізбұрыштың ішкі бұрыштарының қосындысы неге тең? А) 360; В) 1080; С) 1440; Д) 135 4) Он екі бұрыштың әр төбесінен неше диагональ жүргізуге болады? А)10 В)8 С) 7 Д) 9 Е)5 5)Дұрыс бесбұрыштың әр бұрышы? Бағалау: Ауызша бағалау.
|
Амандасады, тақырыпты жазады. Сұрақтарға жауап береді Тест тапсырмаларын орындайды |
|
Оқу құралдары; оқулық; тақта; . |
|||||||
|
5 мин |
Жаңа сабақ |
Шеңберге іштей сызылған үшбұрыш Егер үшбұрыштың барлық төбелері шеңбердің бойында жатса, онда үшбұрыш шеңберге іштей сызылған деп аталады. Басқаша айтқанда, бұл жағдайда шеңбер үшбұрышқа сырттай сызылған деп те аталады. ⠀Теорема. Кез келген үшбұрышқа сырттай шеңбер сызуға болады. Оның центрі үшбұрыштың қабырғаларына жүргізілген орта перпендикулярлардың қиылысу нүктесі болады. 1- топ тапсырмасы:
2- топ тапсырмасы:
3- топ тапсырмасы:
Шеңберге іштей және сырттай сызылған үшбұрыштардың аудандарын пайдаланып, шеңберлердің радиустарын табу формулалары әртүрлі қабырғалы үшбұрышқа сыртай және іштей сызылған шеңбердің радиусын табу формуласы түсіндіріліп, есептер, мысалдар мен тапсырмалар беріледі. Жинаған білімдерін пайдаланып есептер шығарады. Оқушыларға өткен сабақтардан белгілі формулаларды жаттауы үшін қиынды қағаздар беріледі. Сол қағаздарға формулалар жазылған. Берілген формулаларды құрастыру арқылы Герон формуласын шығады
|
Тақырып бойынша ресурстарды қарап, танысады
Есептер шығару №1. Шеңберге сырттай сызылған теңбүйірлі трапеция берілген. Оның орта сызығы 1см, ал бір бұрышы 300. Шеңбердің радиусын тап Радиусы 2м-ге тең шеңберге сырттай сызылған теңбүйірлі трапецияның бүйір қабырғасы 5м. Табу керек: Трапецияның табандарының ұзындығын; Сырттай сызылған шеңбердің радиусын
№2. Шеңберге сырттай сызылған теңбүйірлі трапецияның табандарының ұзындығы 4 және 16 м. Табу керек: Сырттай сызылған шеңбердің радиусын Іштей сызылған шеңбердің радиусын
№3.Диагональдары 6м және 8м болатын ромбтың ішіне шеңбер сызылған. Осы шеңбердің радиустарын табыңдар.
|
|
|
|||||||
|
10 минут
|
Бекіту тапсырмасы |
|
Оқушылар есептің сызбасын сызады. үшбұрыштың белгісіз элементтерін анықтайды, есептің шешімін табады
Оқулықтан есеп шығарады.
|
Дескриптор: -Шеңберге сырттай сызылған көпбұрыштың ауданын табу формуласын қолданады. -Шеңбердің радиусын табады.
|
Слайд
Жалпы білім беретін мектептің 9–сыныбына арналған оқулық. Оқулық авторлары: В.А.Смирнов, Е.А.Тұяқов Алматы «Мектеп» баспасы 2019 жыл
|
|||||||
|
20 мин |
Жеке жұмыс |
ББЖБ тапсырмаларын орындайды |
Тапсырманы орындайды.
|
|
|
|||||||
|
5 минут
|
|
Бүгінгі сабақта:
-әртүрлі үшбұрыштарға сырттай сызылған шеңберлер центрлерінің орналасу жағадайлары Кері байланыс:
Үйге тапсырма. №14. |
Тақырыпты меңгергенін анықтау
Кері байланыс жасайды. |
|
Оқу құралдары; оқулық; тақта;
Презентация
|
|||||||
Сабақ жоспары 17
Бекітемін:
|
Педагогтің аты; тегі; әкесінің аты (бар болған жағдайда) |
|
|||||||||||
|
Пән/Сынып: |
9 сынып |
|||||||||||
|
Күні: |
|
|||||||||||
|
Бөлім: |
9.3А Үшбұрыштарды шешу |
|||||||||||
|
Сабақтың тақырыбы: |
Синус және косинус теоремаларын үшбұрыштарды шешуде қолдану |
|||||||||||
|
Оқу бағдарламасына сәйкес оқыту мақсаты: |
9.1.3.10 синустар және косинустар теоремаларын үшбұрыштарды шешуде және қолданбалы есептерді шығаруда қолдану; |
|||||||||||
|
Сабақтың мақсаты: |
Үшбұрыштың белгісіз элементтерін табу үшін іштей/сырттай сызылған үшбұрыштың/көпбұрыштың ауданының формуласын қолданады, есеп шығарады. |
|||||||||||
|
Сабақтың барысы: |
||||||||||||
|
Уақыты |
Кезең дері |
Педагогтің әрекеті |
Оқушының әрекеті |
Бағалау |
Ресурстар |
|||||||
|
5 минут |
Ұйымдастыру |
Сәлеметсіздерме! Бүгін, Синус және косинус теоремаларын үшбұрыштарды шешуде қолдану тақырыбын қарастырамыз Бүгінгі сабақта меңгеретініңіз:
Үйге тапсырмасын тексеру. Өтілген тақырып тапсырмаларын тексеру «Допты лақтыру» әдісі арқылы өткен сабақты 3 топ бір-біріне алдыңғы тақырыптар бойынша сұрақтар қояды 1. Косинустар теоремасын тұжырымдаңдар. 2. Үшбұрыштың тамаша нүктесі? 3. Үшбұрыштарды шешу деп нені түсінесіңдер? 4. Пифагор теоремасы? 5. Синустар теоремасын дәлеледеп беріңдер. 6.Үшбұрыш ауданы неге тең? Бағалау: Ауызша бағалау.
|
Амандасады, тақырыпты жазады. Сұрақтарға жауап береді Тест тапсырмаларын орындайды |
|
Оқу құралдары; оқулық; тақта; . |
|||||||
|
5 мин |
Жаңа сабақ |
«Үшбұрыштарды шешу» тақырыбына видеоролик көрсетіп, сабақты түсіндіріп өтемін. Үшбұрыштарды шешу дегеніміз – берілген элементтері бойынша барлық белгісіз қабырғалары мен бұрыштарын табу. Үшбұрыш қабырғаларын a, b,c, ал оларға қарсы жатқан бұрыштарды α, β, γ деп белгілейік. Үшбұрыштарды шешуде синустар мен косинустар теоремасы пайдаланылады. Синустар теоремасының қолданылуы: -егер үшбұрыштың екі бұрышы мен бір қабырғасы берілсе, оның белгісіз қабырғаларын есептеу үшін; -егер үшбұрыштың екі қабырғасы мен бір бұрышы берілсе, оның белгісіз бұрыштарын есептеу үшін. Косинустар теоремасының қолданылуы: -егер үшбұрыштың екі қабырғасы мен олардың арасындағы бұрышы берілсе, оның белгісіз қабырғаларын есептеу үшін; -егер үшбұрыштың барлық қабырғалары берілсе, оның белгісіз бұрышының косинусын есептеу үшін.
|
Тақырып бойынша ресурстарды қарап, танысады
Қажетті анықтамаларды жазып, сызбаны сызады. |
|
Интернет ресурстары |
|||||||
|
20 минут |
Бекіту тапсырмасы |
Есептер шығару.
«Өзіңді тексер» әдісі арқылы тест аламын. Тест 1. Үшбұрыштың үш қабырғасы берілген: 13, 14, 15. Осы үшбұрыштың үлкен бұрышының косинусын тап. А.
2. Үшбұрыштың үш қабырғасы берілген: 13, 14, 15. Осы үшбұрыштың кіші бұрышының косинусын тап. А.
3. АВС үшбұрышында АВС
<A=45, <B=15, BC= А. 5
В.15 4. АВС үшбұрышында АС=1, <A=60, <B=45. Үшбұрыштың ВС қабырғасын тап. А. 4
В.5 Оқулықпен жұмыс. №21.
|
Оқушылар есептің сызбасын сызады. Берілген тапсырма бойынша есепті орындайды 1 Жауабы:
R= 2 Жауабы:
R= 3 Жауабы:
R=
үшбұрыштың белгісіз элементтерін анықтайды, есептің шешімін табады
Оқулықтан есеп шығарады.
|
Дескриптор: - қажетті формуланы пайдаланады; -үшбұрышқа іштей және сырттай сызылған шеңбер радиустарын табады.
Дескриптор: 1. Үшбұрыштың үшінші қабырғасын табады; 2. Үшбұрыштың ауданын табады; 3. Сырттай сызылған шеңбердің ауданын табу формуласын қолданып, радуисын табады; ҚБ:
|
Слайд
Жалпы білім беретін мектептің 9–сыныбына арналған оқулық. Оқулық авторлары: В.А.Смирнов, Е.А.Тұяқов Алматы «Мектеп» баспасы 2019 жыл Интернет ресурстары |
|||||||
|
10мин |
Жеке жұмыс |
Есептер жинағынан тапсырмалар орындайды |
Тапсырманы орындайды.
|
|
Есептер жинағы |
|||||||
|
5 минут |
|
Бүгінгі сабақта: -шеңберге іштей сызылған үшбұрыштың ауданын табу формуласы; -әртүрлі үшбұрыштарға сырттай сызылған шеңберлер центрлерінің орналасу жағадайлары Кері байланыс:
Үйге тапсырма.
|
Тақырыпты меңгергенін анықтау
Кері байланыс жасайды. |
|
Оқу құралдары; оқулық; тақта;
Презентация
|
|||||||
Сабақ жоспары 18
Бекітемін:
|
Педагогтің аты; тегі; әкесінің аты (бар болған жағдайда) |
|
|||||||||||
|
Пән/Сынып: |
9 сынып |
|||||||||||
|
Күні: |
|
|||||||||||
|
Бөлім: |
9.3А Үшбұрыштарды шешу |
|||||||||||
|
Сабақтың тақырыбы: |
Синус және косинус теоремаларын үшбұрыштарды шешуде қолдану |
|||||||||||
|
Оқу бағдарламасына сәйкес оқыту мақсаты: |
9.1.3.10 синустар және косинустар теоремаларын үшбұрыштарды шешуде және қолданбалы есептерді шығаруда қолдану; |
|||||||||||
|
Сабақтың мақсаты: |
Үшбұрыштың белгісіз элементтерін табу үшін іштей/сырттай сызылған үшбұрыштың/көпбұрыштың ауданының формуласын қолданады, есеп шығарады. |
|||||||||||
|
Сабақтың барысы: |
||||||||||||
|
Уақыты |
Кезең дері |
Педагогтің әрекеті |
Оқушының әрекеті |
Бағалау |
Ресурстар |
|||||||
|
5 минут |
Ұйымдастыру |
Сәлеметсіздерме! Бүгін, Синус және косинус теоремаларын үшбұрыштарды шешуде қолдану тақырыбын қарастырамыз Бүгінгі сабақта меңгеретініңіз:
Үйге тапсырмасын тексеру. Өтілген тақырып тапсырмаларын тексеру «Допты лақтыру» әдісі арқылы өткен сабақты 3 топ бір-біріне алдыңғы тақырыптар бойынша сұрақтар қояды 1. Косинустар теоремасын тұжырымдаңдар. 2. Үшбұрыштың тамаша нүктесі? 3. Үшбұрыштарды шешу деп нені түсінесіңдер? 4. Пифагор теоремасы? 5. Синустар теоремасын дәлеледеп беріңдер. 6.Үшбұрыш ауданы неге тең? Бағалау: Ауызша бағалау.
|
Амандасады, тақырыпты жазады. Сұрақтарға жауап береді Тест тапсырмаларын орындайды |
|
Оқу құралдары; оқулық; тақта; . |
|||||||
|
5 мин |
Жаңа сабақ |
«Үшбұрыштарды шешу» тақырыбына видеоролик көрсетіп, сабақты түсіндіріп өтемін. Үшбұрыштарды шешу дегеніміз – берілген элементтері бойынша барлық белгісіз қабырғалары мен бұрыштарын табу. Үшбұрыш қабырғаларын a, b,c, ал оларға қарсы жатқан бұрыштарды α, β, γ деп белгілейік. Үшбұрыштарды шешуде синустар мен косинустар теоремасы пайдаланылады. Синустар теоремасының қолданылуы: -егер үшбұрыштың екі бұрышы мен бір қабырғасы берілсе, оның белгісіз қабырғаларын есептеу үшін; -егер үшбұрыштың екі қабырғасы мен бір бұрышы берілсе, оның белгісіз бұрыштарын есептеу үшін. Косинустар теоремасының қолданылуы: -егер үшбұрыштың екі қабырғасы мен олардың арасындағы бұрышы берілсе, оның белгісіз қабырғаларын есептеу үшін; -егер үшбұрыштың барлық қабырғалары берілсе, оның белгісіз бұрышының косинусын есептеу үшін.
|
Тақырып бойынша ресурстарды қарап, танысады
Қажетті анықтамаларды жазып, сызбаны сызады. |
|
Интернет ресурстары |
|||||||
|
20 минут |
Бекіту тапсырмасы |
Есептер шығару.
«Өзіңді тексер» әдісі арқылы тест аламын. Тест 1. Үшбұрыштың үш қабырғасы берілген: 13, 14, 15. Осы үшбұрыштың үлкен бұрышының косинусын тап. А.
2. Үшбұрыштың үш қабырғасы берілген: 13, 14, 15. Осы үшбұрыштың кіші бұрышының косинусын тап. А.
3. АВС үшбұрышында АВС
<A=45, <B=15, BC= А. 5
В.15 4. АВС үшбұрышында АС=1, <A=60, <B=45. Үшбұрыштың ВС қабырғасын тап. А. 4
В.5 Оқулықпен жұмыс. №21.
|
Оқушылар есептің сызбасын сызады. Берілген тапсырма бойынша есепті орындайды 1 Жауабы:
R= 2 Жауабы:
R= 3 Жауабы:
R=
үшбұрыштың белгісіз элементтерін анықтайды, есептің шешімін табады
Оқулықтан есеп шығарады.
|
Дескриптор: - қажетті формуланы пайдаланады; -үшбұрышқа іштей және сырттай сызылған шеңбер радиустарын табады.
Дескриптор: 1. Үшбұрыштың үшінші қабырғасын табады; 2. Үшбұрыштың ауданын табады; 3. Сырттай сызылған шеңбердің ауданын табу формуласын қолданып, радуисын табады; ҚБ:
|
Слайд
Жалпы білім беретін мектептің 9–сыныбына арналған оқулық. Оқулық авторлары: В.А.Смирнов, Е.А.Тұяқов Алматы «Мектеп» баспасы 2019 жыл Интернет ресурстары |
|||||||
|
10мин |
Жеке жұмыс |
Есептер жинағынан тапсырмалар орындайды |
Тапсырманы орындайды.
|
|
Есептер жинағы |
|||||||
|
5минут |
|
Бүгінгі сабақта: -шеңберге іштей сызылған үшбұрыштың ауданын табу формуласы; -әртүрлі үшбұрыштарға сырттай сызылған шеңберлер центрлерінің орналасу жағадайлары Кері байланыс:
Үйге тапсырма.
|
Тақырыпты меңгергенін анықтау
Кері байланыс жасайды. |
|
Оқу құралдары; оқулық; тақта;
Презентация
|
|||||||
жүктеу мүмкіндігіне ие боласыз
Бұл материал сайт қолданушысы жариялаған. Материалдың ішінде жазылған барлық ақпаратқа жауапкершілікті жариялаған қолданушы жауап береді. Ұстаз тілегі тек ақпаратты таратуға қолдау көрсетеді. Егер материал сіздің авторлық құқығыңызды бұзған болса немесе басқа да себептермен сайттан өшіру керек деп ойласаңыз осында жазыңыз
геометрия 9 сынып қмж 3 тоқсан толық 130 бұйрық
9 сынып. Сабақ жоспары №1
Бекітемін:
|
Бөлім: |
9.3А Үшбұрыштарды шешу |
||||||
|
Педагогтің аты; тегі; әкесінің аты (бар болған жағдайда) |
|
||||||
|
Пән/Сынып: |
9 сынып |
||||||
|
Күні: |
|
||||||
|
Сабақтың тақырыбы: |
Косинустар теоремасы. |
||||||
|
Оқу бағдарламасына сәйкес оқыту мақсаты: |
9.1.3.6 косинустар теоремасын білу және қолдану; |
||||||
|
Сабақтың мақсаты: |
-Косинустар теоремасын дәлелдей алу; -Үшбұрыштың белгілі екі қабырғасымен олардың арасындағы бұрыш арқылы үшбұрыштың белгісіз қабырғалары мен бұрыштарын табу үшін косиунстар теоремасын қолдану;. -Косинустар теоремасын есеп шығаруда қолдану. |
||||||
|
Құндылықтарды дарыту |
Жұптық және топтық жұмыстар жасауда әділдікке, патриоттыққа тәрбиелеу,адамгершілік қасиеттерін дамыту |
||||||
|
Сабақтың барысы: |
|||||||
|
Уақыты |
Кезең дері |
Педагогтің әрекеті |
Оқушының әрекеті |
Бағалау |
Ресурстар |
||
|
5 минут |
Ұйымдастыру |
Сәлеметсіздерме! Бүгін, Косинустар теоремасы тақырыбын қарастырамыз Бүгінгі сабақта меңгеретініңіз: - косинустар теоремасын есеп шығаруда қолдану. Үйге тапсырмасын тексеру. Өтілген тақырып тапсырмаларын тексеру 1.Ұқсас үшбұрыш дегеніміз не? 2.Үшбұрыштардың ұқсастығының бірінші белгісін ата. 3.Үшбұрыштардың ұқсастығының екінші белгісін ата. 4.Үшбұрыштардың ұқсастығының үшінші белгісін ата. |
Амандасады, тақырыпты жазады. Сұрақтарға жауап береді |
Бағалау: Ауызша бағалау. Дескриптор: -Ұқсас үшбұрыштың анықтамасын айтады. -Ұқсас үшбұрыштың 1,2,3-ші белгісі айтады.
|
Оқу құралдары; оқулық; тақта; . |
||
|
10 мин |
Жаңа сабақ |
Жаңа сабақ. Косинустар теоремасын дәлелдеу, тұжырымын ұсыну. Теорема:Үшбұрыштың кез келген қабырғасының квадраты қалған қабырғаларының квадраттарның қосындысынан екі еселенген қабырғаларынның көбейтіндісінің арасындағы бұрышының косинусына көбейтіндісінің айрымына тең.
Дәлелдеу: 1.AC2AB2BC22ABBCcosB немесе b2a2c22accos 2.AB2BC2AC22ABACcosC немесе c2a2b22abcos 3.BC2AB2AC22ABACcosA немесе a2b2c22bccos Оқушыларға бірдей үшбұрыш сызбасы таратылады. Оқушылар топта жұмыс жасайды,дәлелдеуін қағазға (флипчарт) орындайды.Оқушылар өз жұмыстарын әр топ 2 минут ішінде қорғайды.
А қабырғасына қай бұрыш қарсы жатады егер a²> c²+ b² a²=b²+c² a²<b²+c болса? Жауабыңызды негіздеңіз.
|
Тақырып бойынша ресурстарды қарап, танысады Қажетті анықтамаларды жазып, сызбаны сызады.
«Бұзық телефон» әдісі . Оқушылар шаттық шеңберге жиналып бір оқушы косинус теоремасын айтады, ал қалған оқушылар теореманы айтып шығу керек Оқушылар есептің сызбасын сызады. |
|
Жалпы білім беретін мектептің 9–сыныбына арналған оқулық.
Интернет ресурстары. |
||
|
15 минут |
Бекіту тапсырмасы |
Топтық тапсырмалар
Тапсырма.
1.
Тапсырма. 2.
Тапсырма. 3.
Тапсырма. 4.
1.Сызба бойынша косинустар теоремасын
қолданып, үшбұрыштың белгісіз элементтерін
анықтайды 2.Үшбұрыштың екі қабырғасы а мен b,ал арасындағы бұрышы-60 Еﹾгер а=8 см b=15 см болса оның үшінші қабырғасын табыңдар. |
Білім алушы дескрипторға сәйкес тапсырмаларды орындайды. Оқулықтан үшбұрыш ұқсастығына есеп шығарады.
«Тарелка» ойыны Үш топқа есептер беріледі. Есептер шығарылып болғаннан кейін жауаптарымен ауысады.
Шешуі:с²=a²+b²-2ab cosἀ c²=64+225-2*8*15*0,9=289-216=73 с=8,5 Жауабы:8,5
|
Дескриптор: Білім алушы -косинустар теоремасын біледі; -косинустар теоремасын қолданады. ҚБ: Топтар бірін-бірі екі жұлдыз , бір тілек арқылы бағалайды
Дескриптор: -АВ қабырғасы ның ұзындығын анықтайды . ҚБ:
|
Слайд
Жалпы білім беретін мектептің 9–сыныбына арналған оқулық. Интернет ресурстары Оқу құралдары; оқулық; тақта; Презентация |
||
|
10мин |
Жеке жұмыс |
О |
Оқулықтан тапсырмаларды орндайды |
Дескриптор: Білім алушы -косинустар теоремасын біледі; -косинустар теоремасын қолданады. ҚБ:
|
Оқу құралдары; оқулық; тақта; Презентация |
||
|
5 минут |
|
Бүгінгі сабақта: - Косинустар теоремасы. - Косинустар теоремасын есеп шығаруда қолдану Кері байланыс.
Үйге тапсырма. №2.
|
Тақырыпты меңгергенін анықтау Кері байланыс жасайды. |
|
Оқу құралдары; оқулық; тақта; Презентация |
||
Сабақ жоспары №2
Бекітемін:
|
Педагогтің аты; тегі; әкесінің аты (бар болған жағдайда) |
|
|||||||
|
Пән/Сынып: |
9 сынып |
|||||||
|
Күні: |
|
|||||||
|
Бөлім: |
9.3А Үшбұрыштарды шешу |
|||||||
|
Сабақтың тақырыбы: |
Косинустар теоремасы. |
|||||||
|
Оқу бағдарламасына сәйкес оқыту мақсаты: |
9.1.3.6 косинустар теоремасын білу және қолдану; |
|||||||
|
Сабақтың мақсаты: |
-Косинустар теоремасын есеп шығаруда қолдану. |
|||||||
|
Құндылықтарды дарыту |
Жұптық және топтық жұмыстар жасауда әділдікке, патриоттыққа тәрбиелеу,адамгершілік қасиеттерін дамыту |
|||||||
|
Сабақтың барысы: |
||||||||
|
Уақыты |
Кезең дері |
Педагогтің әрекеті |
Оқушының әрекеті |
Бағалау |
Ресурстар |
|||
|
5 минут |
Ұйымдастыру |
Сәлеметсіздерме! Бүгін, Косинустар теоремасы тақырыбын қарастырамыз Бүгінгі сабақта меңгеретініңіз: - косинустар теоремасын есеп шығаруда қолдану. Үйге тапсырмасын тексеру. Өтілген тақырып тапсырмаларын тексеру 1.Ұқсас үшбұрыш дегеніміз не? 2.Үшбұрыштардың ұқсастығының бірінші белгісін ата. 3.Үшбұрыштардың ұқсастығының екінші белгісін ата. 4.Үшбұрыштардың ұқсастығының үшінші белгісін ата.
Бағалау: Ауызша бағалау.
|
Амандасады, тақырыпты жазады. Сұрақтарға жауап береді |
Дескриптор: -Ұқсас үшбұрыштың анықтамасын айтады. -Ұқсас үшбұрыштың 1,2,3-ші белгісі айтады.
|
Оқу құралдары; оқулық; тақта; . |
|||
|
10 мин |
Жаңа сабақты бекіту. |
Теорема. Кез келген үшбұрыштың бір қабырғасының квадраты қалған екі қабырғасының квадраттарының қосындысынан олардың ұзындықтары мен арасындағы бұрыштың косинусының екі еселенген көбейтіндісін азайтқанға тең.
BC 2 AB2 AC 2 2AB AC cos A немесе a2 b2 c2 2bc cos
1.а)Егер үшбұрыштың екі қабырғасы және олардың арасындағы бұрыш берілсе; ә)егер үшбұрыштың екі қабырғасы және олардың арасындағы бұрыштан басқа бұрыштар берілсе,онда косинустар теоремасы үшінші қабырғаны табуға мүмкіндік береді; 2.Үшбұрыштың үш қабырғасы берілсе, онда үшбұрыштың бұрыштары косинустар теоремасы арқылы есептеуге болады. |
Тақырып бойынша ресурстарды қарап, танысады Қажетті анықтамаларды жазып, сызбаны сызады. |
|
Жалпы білім беретін мектептің 9–сыныбына арналған оқулық. |
|||
|
Бекіту тапсырмасы 25 минут |
Жеке жұмыс |
|
Тапсырманы орындайды
|
Дескриптор: Білім алушы -косинустар теоремасын біледі; -косинустар теоремасын қолданады. ҚБ:
|
Оқу құралдары; оқулық; тақта; Презентация |
|||
|
|
|
|
Тапсырманы орындайды
|
Дескриптор: Білім алушы: -косинустар теоремасын біледі; -косинустар теоремасын қолданады. -АВ қабырғасын табады |
Оқу құралдары; оқулық; тақта; Презентация |
|||
|
|
|
Тапсырма. 1. Есептер шығару:
1. a=8,
b=15,
2.
а 3. a = 4, b = 6, c = 7,5
4. a = 9, b =
11,
5. a = 40, b = 13, c = 37,
cos
Тест 1.Егер үшбұрыштың қабырғасының квадраты басқа қабырғаларының квадраттарының қосындысына тең болса, онда бұл қабырға: а)доғал бұрышты б)тік бұрышты в)сүйір бұрышты
2.АВС үшбұрышында АВ және ВС қабырғалары белгілі болса,онда АС қабырғасын табу үшін а) А бұрышының б) В бұрышының в) С бұрышының градустық өлшемі белгілі болу керек
3. Үшбұрыш қабырғалары 5,6 және 7см болса: а)Сүйір бұрыш б)тікбұрышты в)доғалбұрышты үшбұрыш болып табылады 4.Егер АВС үшбұрыш берілген. А=48°; В=72°болса онда ең үлкен қабырғасы: а) АВ б) АС в) ВСболады 5. Егер үшбұрыштың екі қабырғасының қосындысы Үшінші қабырғасының квадратынан үлкен болса, Онда үшінші қабырға қандай бұрышқа қарама-қарсы орналасқан? а)сүйір бұрышына б)Тік бұрышына в)Доғал бұрышына |
Оқушылар есептің сызбасын сызады. Оқулықтан есеп шығарады. Білім алушы дескрипторға сәйкес тапсырмаларды орындайды
Өзіндік тексеру жауаптары: 1.б 2.б 3.а 4.б 5.в
|
Дескриптор: Білім алушы -косинустар теоремасын біледі; -косинустар теоремасын қолданады. ҚБ:
-Тақырыпқа қатысты есептерді талдайды. |
Слайд
Жалпы білім беретін мектептің 9–сыныбына арналған оқулық. Интернет ресурстары |
|||
|
5 минут |
Сабақтың соңы |
Сабақ қорытындысы. Рефлексия (алты қалпақ)
|
Тақырыпты меңгергенін анықтау Кері байланыс жасайды. Үйге тапсырма № |
|
Оқу құралдары; оқулық; тақта; Презентация |
|||
Сабақ жоспары №3
Бекітемін:
|
Педагогтің аты; тегі; әкесінің аты (бар болған жағдайда) |
|
||||||
|
Пән/Сынып: |
9 сынып |
||||||
|
Күні: |
|
||||||
|
Бөлім: |
9.3А Үшбұрыштарды шешу |
||||||
|
Сабақтың тақырыбы: |
Косинустар теоремасы. |
||||||
|
Оқу бағдарламасына сәйкес оқыту мақсаты: |
9.1.3.6 косинустар теоремасын білу және қолдану; |
||||||
|
Сабақтың мақсаты: |
-Косинустар теоремасын есеп шығаруда қолдану. |
||||||
|
Сабақтың барысы: |
|||||||
|
Уақыты |
Кезең дері |
Педагогтің әрекеті |
Оқушының әрекеті |
Бағалау |
Ресурстар |
||
|
5 минут |
Ұйымдастыру |
Сәлеметсіздерме! Бүгін, Косинустар теоремасы тақырыбын қарастырамыз Бүгінгі сабақта меңгеретініңіз: - косинустар теоремасын есеп шығаруда қолдану. Үйге тапсырмасын тексеру. Өтілген тақырып тапсырмаларын тексеру 1.Ұқсас үшбұрыш дегеніміз не? 2.Үшбұрыштардың ұқсастығының бірінші белгісін ата. 3.Үшбұрыштардың ұқсастығының екінші белгісін ата. 4.Үшбұрыштардың ұқсастығының үшінші белгісін ата.
Бағалау: Ауызша бағалау.
|
Амандасады, тақырыпты жазады. Сұрақтарға жауап береді |
Дескриптор: -Ұқсас үшбұрыштың анықтамасын айтады. -Ұқсас үшбұрыштың 1,2,3-ші белгісі айтады.
|
Оқу құралдары; оқулық; тақта; . |
||
|
5 мин |
Жаңа сабақты бекіту. |
Теорема. Кез келген үшбұрыштың бір қабырғасының квадраты қалған екі қабырғасының квадраттарының қосындысынан олардың ұзындықтары мен арасындағы бұрыштың косинусының екі еселенген көбейтіндісін азайтқанға тең.
BC 2 AB2 AC 2 2AB AC cos A немесе a2 b2 c2 2bc cos
1.а)Егер үшбұрыштың екі қабырғасы және олардың арасындағы бұрыш берілсе; ә)егер үшбұрыштың екі қабырғасы және олардың арасындағы бұрыштан басқа бұрыштар берілсе,онда косинустар теоремасы үшінші қабырғаны табуға мүмкіндік береді; 2.Үшбұрыштың үш қабырғасы берілсе, онда үшбұрыштың бұрыштары косинустар теоремасы арқылы есептеуге болады.
|
Тақырып бойынша ресурстарды қарап, танысады Қажетті анықтамаларды жазып, сызбаны сызады. |
|
Жалпы білім беретін мектептің 9–сыныбына арналған оқулық. Оқулық авторлары: В.А.Смирнов, Е.А.Тұяқов Алматы «Мектеп» баспасы 2019 жыл |
||
|
20 минут |
Бекіту тапсырмасы |
Тапсырма. Есептер шығару: №1 Үшбұрыштың үш қабырғасы берілген.Оның бұрыштары мен ауданын табу керек. 1.a=7см,b=3см,c=8см 2.a=15м,b=24м,c=18м 3.a=3дм,b=4дм,c=5дм
2 тапсырма
Сәйкестендіру 1.АС=2см,ВС=4см, 2.a=14, b=16,
c=10 3.Үшбұрыш қабырғалары
13,14,15.Үлкен бұрышының косинусын 4. Үшбұрыш қабырғалары 13,14,15.кіші бұрышының косинусын табыңдар ----0,5 5.
Оқулықтан №7, №8 |
Оқушылар есептің сызбасын сызады.
Дескриптор: -үшбұрыштың белгісіз элементтерін анықтайды -есептің шешімін табады
Оқулықтан есеп шығарады.
білім алушы дескрипторға сәйкес тапсырмаларды орындайды. |
Дескриптор: -Үшбұрыштың бұрыштарын табады - ауданын табады -жауабын жазады Білім алушы -косинустар теоремасын біледі; -косинустар теоремасын қолданады. ҚБ:
|
Слайд
Жалпы білім беретін мектептің 9–сыныбына арналған оқулық. Оқулық авторлары: В.А.Смирнов, Е.А.Тұяқов Алматы «Мектеп» баспасы 2019 жыл Интернет ресурстары |
||
|
10мин |
Жеке жұмыс |
|
Тапсырманы орындайды
|
Дескриптор: - Білім алушы -косинустар теоремасын біледі; -косинустар теоремасын қолданады. АВ қабырғасын табады |
Оқу құралдары; оқулық; тақта; Презентация |
||
|
5минут |
|
Бүгінгі сабақта: - Косинустар теоремасы. - Косинустар теоремасын есеп шығаруда қолдану Кері байланыс. Бүгін сабақта мен.....үйрендім Бүгін сабақта маған....ұнады Бүгін сабақта мен.....қайталадым Бүгін сабақта мен өзіме....деген баға қойдым Үйге тапсырма. №12.
|
Тақырыпты меңгергенін анықтау Кері байланыс жасайды. |
|
Оқу құралдары; оқулық; тақта; Презентация |
||
Сабақ жоспары №4
Бекітемін:
|
Педагогтің аты; тегі; әкесінің аты (бар болған жағдайда) |
|
|||||
|
Пән/Сынып: |
9 сынып |
|||||
|
Күні: |
|
|||||
|
Бөлім: |
9.3А Үшбұрыштарды шешу |
|||||
|
Сабақтың тақырыбы: |
Косинустар теоремасы. |
|||||
|
Оқу бағдарламасына сәйкес оқыту мақсаты: |
9.1.3.6 косинустар теоремасын білу және қолдану; |
|||||
|
Сабақтың мақсаты: |
-Косинустар теоремасын есеп шығаруда қолдану. |
|||||
|
Сабақтың барысы: |
||||||
|
Уақыты |
Кезең дері |
Педагогтің әрекеті |
Оқушының әрекеті |
Бағалау |
Ресурстар |
|
|
5 минут |
Ұйымдастыру |
Сәлеметсіздерме! Бүгін, Косинустар теоремасы тақырыбын қарастырамыз Бүгінгі сабақта меңгеретініңіз: - косинустар теоремасын есеп шығаруда қолдану. Үйге тапсырмасын тексеру. Өтілген тақырып тапсырмаларын тексеру
Бағалау: Ауызша бағалау.
|
Амандасады, тақырыпты жазады. Сұрақтарға жауап береді |
Дескриптор: -Ұқсас үшбұрыштың анықтамасын айтады. -Ұқсас үшбұрыштың 1,2,3-ші белгісі айтады.
|
Оқу құралдары; оқулық; тақта; . |
|
|
5 мин |
Жаңа сабақты бекіту. |
Теорема. Кез келген үшбұрыштың бір қабырғасының квадраты қалған екі қабырғасының квадраттарының қосындысынан олардың ұзындықтары мен арасындағы бұрыштың косинусының екі еселенген көбейтіндісін азайтқанға тең.
BC 2 AB2 AC 2 2AB AC cos A немесе a2 b2 c2 2bc cos
1.а)Егер үшбұрыштың екі қабырғасы және олардың арасындағы бұрыш берілсе; ә)егер үшбұрыштың екі қабырғасы және олардың арасындағы бұрыштан басқа бұрыштар берілсе,онда косинустар теоремасы үшінші қабырғаны табуға мүмкіндік береді; 2.Үшбұрыштың үш қабырғасы берілсе, онда үшбұрыштың бұрыштары косинустар теоремасы арқылы есептеуге болады.
|
Тақырып бойынша ресурстарды қарап, танысады Қажетті анықтамаларды жазып, сызбаны сызады. |
|
Жалпы білім беретін мектептің 9–сыныбына арналған оқулық. Оқулық авторлары: В.А.Смирнов, Е.А.Тұяқов Алматы «Мектеп» баспасы 2019 жыл |
|
|
20 минут |
Бекіту тапсырмасы |
Тапсырма. Есептер шығару: №1 Үшбұрыштың үш қабырғасы берілген.Оның бұрыштары мен ауданын табу керек. 1.a=15м,b=24м,c=18м 2.a=3дм,b=4дм,c=5дм
№2.
а=1
в=
В
а2=с2+в2-2вс
⦟С=180°-30°-60°=90°
Жауабы: Есептер.
1.Үшбұрыштың үш қабырғасы
берілген: 13, 14, 15. Осы үшбұрыштың үлкен бұрышының косинусын
табыңыз.
Жауабы:
Жауабы: Жауабы: 10 см Оқулықтан №13,15
|
Оқушылар есептің сызбасын сызады.
Дескриптор: -үшбұрыштың белгісіз элементтерін анықтайды -есептің шешімін табады
Оқулықтан есеп шығарады.
Білім алушы дескрипторға сәйкес тапсырмаларды орындайды.
|
Дескриптор: -Үшбұрыштың бұрыштарын табады - ауданын табады -жауабын жазады
Білім алушы -косинустар теоремасын біледі; -косинустар теоремасын қолданады. ҚБ:
-Тақырыпқа қатысты есептерді талдайды. |
Слайд
Жалпы білім беретін мектептің 9–сыныбына арналған оқулық. Оқулық авторлары: В.А.Смирнов, Е.А.Тұяқов Алматы «Мектеп» баспасы 2019 жыл Интернет ресурстары |
|
|
10мин |
Жеке жұмыс |
Оқулықтан есептер шығару |
Тапсырманы орындайды |
Мониторинг |
|
|
|
5 минут |
|
Бүгінгі сабақта: - Косинустар теоремасы. - Косинустар теоремасын есеп шығаруда қолдану Кері байланыс. Бүгін сабақта мен.....үйрендім Бүгін сабақта маған....ұнады Бүгін сабақта мен.....қайталадым Бүгін сабақта мен өзіме....деген баға қойдым
Үйге тапсырма. №17.
|
Тақырыпты меңгергенін анықтау Кері байланыс жасайды. |
|
Оқу құралдары; оқулық; тақта; Презентация |
|
\
Сабақ жоспары №5 Бекітемін:
|
Педагогтің аты; тегі; әкесінің аты (бар болған жағдайда) |
|
|||||
|
Пән/Сынып: |
9 сынып |
|||||
|
Күні: |
|
|||||
|
Бөлім: |
9.3А Үшбұрыштарды шешу |
|||||
|
Сабақтың тақырыбы: |
Синустар теоремасы. |
|||||
|
Оқу бағдарламасына сәйкес оқыту мақсаты: |
9.1.3.7 синустар теоремасын білу және қолдану; |
|||||
|
Сабақтың мақсаты: |
-Синустар теоремасын есеп шығаруда қолдану. |
|||||
|
Сабақтың барысы: |
||||||
|
Уақыты |
Кезең дері |
Педагогтің әрекеті |
Оқушының әрекеті |
Бағалау |
Ресурстар |
|
|
5 минут |
Ұйымдастыру |
Сәлеметсіздерме! Бүгін, Синустар теоремасы тақырыбын қарастырамыз - Синустар теоремасы. - Синустар теоремасын есеп шығаруда қолдану Бүгінгі сабақта меңгеретініңіз: Үйге тапсырмасын тексеру. Өтілген тақырып тапсырмаларын тексеру Бағалау: Ауызша бағалау.
|
Амандасады, тақырыпты жазады. Сұрақтарға жауап береді |
|
Оқу құралдары; оқулық; тақта; . |
|
|
5 мин |
Жаңа сабақты бекіту |
Сұрақтар. 1.Синустар теоремасын айтыңыз. 2. Косинустар теоремасын айтыңыз. 3. Синустар теоремасын жазыңыз. 4. Косинустар теоремасын жазыңыз. 5. sin30°, Sin45°, Sin 60° - мәндері неге тең? 6. cos 30°cos 45°cos 60° - мәндері неге тең? 7. Косинустар теоремасын түрлендіріп жазыңыз. 8. Үшбұрыштарды шешу дегеніміз не?
|
Тақырып бойынша ресурстарды қарап, танысады Қажетті анықтамаларды жазып, сызбаны сызады.
|
Дескриптор: -Үшбұрыштың бұрыштарын табады - синустар теоремасын қолданады |
Оқу құралдары; оқулық; тақта; |
|
|
15 мин |
Бекіту тапсырмасы |
Тест тапсырмасы
|
Тапсырманы орындайды
|
Дескриптор: -Үшбұрыштың бұрыштарын табады - синустар теоремасын қолданады |
Оқу құралдары; оқулық; тақта; |
|
|
15 минут |
|
Тапсырма. Есептер жинағынан Әр оқушыға тест тапсырмасы беріледі 1.
A) 1
B) 2. Радиусы 10-ға тең шеңбердің центрінен ұзындығы 12-ге тең хордасына дейінгі қашықтықты табыңыз. A) 6.B) 8.C) 10.D) 9. E) 12. 3.
Үшбұрыштың А)
В)
С)
Д)
Е)
|
Оқушылар есептің сызбасын сызады.
үшбұрыштың белгісіз элементтерін анықтайды, есептің шешімін табады оқулықтан есеп шығарады. Білім алушы дескрипторға сәйкес тапсырмаларды орындайды.
|
Дескриптор: -Үшбұрыштың бұрыштарын табады - синустар теоремасын қолданады Дескриптор: Есептің шартына байланысты теореманы дұрыс таңдайды; Формуланы дұрыс жазады; Белгісіз шаманы табады; Жауабын жазады. ҚБ:
-Тақырыпқа қатысты есептерді талдайды. |
Слайд
Жалпы білім беретін мектептің 9–сыныбына арналған оқулық. Оқулық авторлары: В.А.Смирнов, Е.А.Тұяқов Алматы «Мектеп» баспасы 2019 жыл Интернет ресурстары |
|
|
5 минут |
|
Бүгінгі сабақта: - Синустар теоремасы. - Синустар теоремасын есеп шығаруда қолдану Кері байланыс. Бүгін сабақта мен.....үйрендім Бүгін сабақта маған....ұнады Бүгін сабақта мен.....қайталадым Бүгін сабақта мен өзіме....деген баға қойдым
Үйге тапсырма. № |
Тақырыпты меңгергенін анықтау Кері байланыс жасайды. |
|
Оқу құралдары; оқулық; тақта; Презентация |
|
Сабақ жоспары №6
Бекітемін:
|
Педагогтің аты; тегі; әкесінің аты (бар болған жағдайда) |
|
|||||
|
Пән/Сынып: |
9 сынып |
|||||
|
Күні: |
|
|||||
|
Бөлім: |
9.3А Үшбұрыштарды шешу |
|||||
|
Сабақтың тақырыбы: |
Синустар теоремасы. |
|||||
|
Оқу бағдарламасына сәйкес оқыту мақсаты: |
9.1.3.7 синустар теоремасын білу және қолдану; |
|||||
|
Сабақтың мақсаты: |
-Синустар теоремасын есеп шығаруда қолдану. |
|||||
|
Сабақтың барысы: |
||||||
|
Уақыты |
Кезең дері |
Педагогтің әрекеті |
Оқушының әрекеті |
Бағалау |
Ресурстар |
|
|
5 минут |
Ұйымдастыру |
Сәлеметсіздерме! Бүгін, Синустар теоремасы тақырыбын қарастырамыз - Синустар теоремасы. - Синустар теоремасын есеп шығаруда қолдану Бүгінгі сабақта меңгеретініңіз: . Үйге тапсырмасын тексеру. Өтілген тақырып тапсырмаларын тексеру Бағалау: Ауызша бағалау.
|
Амандасады, тақырыпты жазады. Сұрақтарға жауап береді |
|
Оқу құралдары; оқулық; тақта; . |
|
|
5 мин |
Жаңа сабақты бекіту |
Сұрақтар. 1.Синустар теоремасын айтыңыз. 2. Косинустар теоремасын айтыңыз. 3. Синустар теоремасын жазыңыз. 4. Косинустар теоремасын жазыңыз. 5. sin30°, Sin45°, Sin 60° - мәндері неге тең? 6. cos 30°cos 45°cos 60° - мәндері неге тең? 7. Косинустар теоремасын түрлендіріп жазыңыз. 8. Үшбұрыштарды шешу дегеніміз не? |
Тақырып бойынша ресурстарды қарап, танысады Қажетті анықтамаларды жазып, сызбаны сызады. |
|
|
|
|
20 минут |
Бекіту тапсырмасы |
Тапсырма. Есептер шығару:
Әр оқушыға тест тапсырмасы беріледі 1.
A) 1
B) 2. Радиусы 10-ға тең шеңбердің центрінен ұзындығы 12-ге тең хордасына дейінгі қашықтықты табыңыз. A) 6.B) 8.C) 10.D) 9. E) 12. 3.
Үшбұрыштың А)
В)
С)
Д)
Е)
Оқулықтан №2,3 |
Оқушылар есептің сызбасын сызады.
үшбұрыштың белгісіз элементтерін анықтайды, есептің шешімін табады
Оқулықтан есеп шығарады.
Білім алушы дескрипторға сәйкес тапсырмаларды орындайды.
|
Дескриптор: Есептің шартына байланысты теореманы дұрыс таңдайды; Формуланы дұрыс жазады; Белгісіз шаманы табады; Жауабын жазады. ҚБ:
-Тақырыпқа қатысты есептерді талдайды. |
Слайд
Жалпы білім беретін мектептің 9–сыныбына арналған оқулық. Оқулық авторлары: В.А.Смирнов, Е.А.Тұяқов Алматы «Мектеп» баспасы 2019 жыл Интернет ресурстары |
|
|
10мин |
Жеке жұмыс |
Оқулықтан есептер шығару
|
Тапсырманы орындайды
|
Дескриптор: -Үшбұрыштың бұрыштарын табады - синустар теоремасын қолданады
Дескриптор: -Үшбұрыштың бұрыштарын табады - синустар теоремасын қолданады |
h |
|
|
5 минут |
|
Бүгінгі сабақта: - Синустар теоремасы. - Синустар теоремасын есеп шығаруда қолдану Кері байланыс. Бүгін сабақта мен.....үйрендім Бүгін сабақта маған....ұнады Бүгін сабақта мен.....қайталадым Бүгін сабақта мен өзіме....деген баға қойдым
Үйге тапсырма. №4. |
Тақырыпты меңгергенін анықтау Кері байланыс жасайды. |
|
Оқу құралдары; оқулық; тақта; Презентация |
|
Сабақ жоспары №7
Бекітемін:
|
Педагогтің аты; тегі; әкесінің аты (бар болған жағдайда) |
|
||||||||||||
|
Пән/Сынып: |
9 сынып |
||||||||||||
|
Күні: |
|
||||||||||||
|
Бөлім: |
9.3А Үшбұрыштарды шешу |
||||||||||||
|
Сабақтың тақырыбы: |
Синустар теоремасы. |
||||||||||||
|
Оқу бағдарламасына сәйкес оқыту мақсаты: |
9.1.3.7 синустар теоремасын білу және қолдану; |
||||||||||||
|
Сабақтың мақсаты: |
-Синустар теоремасын есеп шығаруда қолдану. |
||||||||||||
|
Сабақтың барысы: |
|||||||||||||
|
Уақыты |
Кезең дері |
Педагогтің әрекеті |
Оқушының әрекеті |
Бағалау |
Ресурстар |
||||||||
|
5 минут |
Ұйымдастыру |
Сәлеметсіздерме! Бүгін, Синустар теоремасы тақырыбын қарастырамыз - Синустар теоремасы. - Синустар теоремасын есеп шығаруда қолдану Бүгінгі сабақта меңгеретініңіз: . Үйге тапсырмасын тексеру. Өтілген тақырып тапсырмаларын тексеру
Бағалау: Ауызша бағалау.
|
Амандасады, тақырыпты жазады. Сұрақтарға жауап береді |
|
Оқу құралдары; оқулық; тақта; . |
||||||||
|
5 мин |
Жаңа сабақты бекіту |
Сұрақтар. 1.Синустар теоремасын айтыңыз. 2. Косинустар теоремасын айтыңыз. 3. Синустар теоремасын жазыңыз. 4. Косинустар теоремасын жазыңыз. 5. sin30°, Sin45°, Sin 60° - мәндері неге тең? 6. cos 30°cos 45°cos 60° - мәндері неге тең? 7. Косинустар теоремасын түрлендіріп жазыңыз. 8. Үшбұрыштарды шешу дегеніміз не? Теорема:Үшбұрыштың қабырғалары қарсы жатқан бұрыштардың синустарына пропорционал болады
Ү
теңдігі орындалады. Б
Д/к Дәлелдеу үшін: СД биіктік түсірейік.
б
Осы сияқты В төбесінен биіктігін түсіру
арқылы дәлелдеуге болады. |
Тақырып бойынша ресурстарды қарап, танысады Қажетті анықтамаларды жазып, сызбаны сызады.
|
|
|
||||||||
|
30 минут |
Бекіту тапсырмасы |
Тапсырма. Есептер жинағынан №1 АВС үшбұрышы берілген. ے С=300, ے В=450 , АВ=4 см болса, АС қабырғасының ұзындығын табу керек. №2 АВС үшбұрышында А,В,С бұрыштарының қатынасы 1:2:3 қатынасындай және ВС =8 см. АВ және АС қабырғаларының ұзындығын табыңдар. Жауаптары
ےА=300, ے В=600ے С=900,
№3 АВС үшбұрышының ВС және АС қабырғалары мен ВС қабырғасына қарсы А бұрышы берілген. Қалған бұрыштары мен үшінші қабырғасын табу керек.
Оқулықтан №11, №13. |
Оқушылар есептің сызбасын сызады.
үшбұрыштың белгісіз элементтерін анықтайды, есептің шешімін табады
Оқулықтан есеп шығарады.
Білім алушы дескрипторға сәйкес тапсырмаларды орындайды.
|
Дескриптор: -Үшбұрыштың қабырғаларын табады - синустар теоремасын қолданады
Дескриптор: Есептің шартына байланысты теореманы дұрыс таңдайды; Формуланы дұрыс жазады; Белгісіз шаманы табады; Жауабын жазады. ҚБ:
-Тақырыпқа қатысты есептерді талдайды. |
Слайд
Жалпы білім беретін мектептің 9–сыныбына арналған оқулық. Оқулық авторлары: В.А.Смирнов, Е.А.Тұяқов Алматы «Мектеп» баспасы 2019 жыл Интернет ресурстары |
||||||||
|
|
Жеке жұмыс |
Жеке жұмыс І Есептер шығару:
1. a = 20, b = 7, c = 27,
cos
2. Үшбұрыштың a=7м, b=5м
қабырғаларымен а қабырғасына қарсы жатқан
3. АВС үшбұрышының
қабырғасы және екі бұрышы берілген. Оның үшінші бұрышы мен қалған
екі қабырғасын есептеңдер.ВС
4. a=16,
b=10, |
Тапсырманы орындайды
|
|
|
||||||||
|
5 минут |
|
Бүгінгі сабақта: - Синустар теоремасы. - Синустар теоремасын есеп шығаруда қолдану Кері байланыс.
Үйге тапсырма. №15. |
Тақырыпты меңгергенін анықтау
Кері байланыс жасайды. |
|
Оқу құралдары; оқулық; тақта;
Презентация
|
||||||||
Сабақ жоспары №10
Бекітемін:
|
Педагогтің аты; тегі; әкесінің аты (бар болған жағдайда) |
|
||||||
|
Пән/Сынып: |
9 сынып |
||||||
|
Күні: |
|
||||||
|
Бөлім: |
9.3А Үшбұрыштарды шешу |
||||||
|
Сабақтың тақырыбы: |
Іштей сызылған үшбұрыш пен сырттай сызылған үшбұрыштың аудандары. |
||||||
|
Оқу бағдарламасына сәйкес оқыту мақсаты: |
9.1.3.8 іштей сызылған
үшбұрыштың ауданын ( |
||||||
|
Сабақтың мақсаты: |
Үшбұрыштарға сырттай және іштей сызылған шеңберлердің радиустарын таба алу. Ол формулаларды шатаспай қай кезде қолданылатындығын есте сақтау. Қолданбалы есептерді шығара білу. |
||||||
|
Сабақтың барысы: |
|||||||
|
Уақыты |
Кезең дері |
Педагогтің әрекеті |
Оқушының әрекеті |
Бағалау |
Ресурстар |
||
|
5 минут |
Ұйымдастыру |
Сәлеметсіздерме! Бүгін, Іштей сызылған үшбұрыш пен сырттай сызылған көпбұрыштың аудандары тақырыбын қарастырамыз Бүгінгі сабақта меңгеретініңіз: -шеңберге іштей сызылған үшбұрыш ауданының формуласы. -шеңберге іштей сызылған үшбұрыш ауданының формуласын есептер шығаруда қолдану. Үйге тапсырмасын тексеру. Өтілген тақырып тапсырмаларын тексеру
Бағалау: Ауызша бағалау.
|
Амандасады, тақырыпты жазады. Сұрақтарға жауап береді |
|
Оқу құралдары; оқулық; тақта; . |
||
|
15мин |
Жаңа сабақ |
|
Тақырып бойынша ресурстарды қарап, танысады
Қажетті анықтамаларды жазып, сызбаны сызады.
|
|
|
||
|
20 минут |
Бекіту тапсырмасы |
1-тапсырма. Көпбұрыштың периметрін 14 см шеңберге сырттай сызылған көпбұрыштың ауданы 32 см2. Шеңбердің радиусын табыңдар. 2- тапсырма. Үшбұрыштың қабырғалары 5, 5, 8. Оған сырттай сызылған шеңбердің радуисын табыңдар. 3- тапсырма. Тік бұрышты үшбұрыштың катеттері 3см, 4 см. Оған сырттай сызылған шеңбердің радуисын табыңдар. Жеке жұмыс:
|
Оқушылар есептің сызбасын сызады.
үшбұрыштың белгісіз элементтерін анықтайды, есептің шешімін табады
Оқулықтан есеп шығарады.
Білім алушы дескрипторға сәйкес тапсырмаларды орындайды.
|
Дескриптор: -Үшбұрыштың қабырғаларын табады - синустар теоремасын қолданады
дескриптор: Есептің шартына байланысты теореманы дұрыс таңдайды; Формуланы дұрыс жазады; Белгісіз шаманы табады; Жауабын жазады.
ҚБ:
-Тақырыпқа қатысты есептерді талдайды. |
Слайд
Жалпы білім беретін мектептің 9–сыныбына арналған оқулық. Оқулық авторлары: В.А.Смирнов, Е.А.Тұяқов Алматы «Мектеп» баспасы 2019 жыл Интернет ресурстары |
||
|
5 минут |
|
Бүгінгі сабақта: -шеңберге іштей сызылған үшбұрыш ауданының формуласы. -шеңберге іштей сызылған үшбұрыш ауданының формуласын есептер шығаруда қолдану. Кері байланыс: «Басбармақ» Рефлексия: - нені білдім, нені үйрендім - нені толық түсінбедім - немен жұмысты жалғастыру қажет Үйге тапсырма. №11, №12. |
Тақырыпты меңгергенін анықта Кері байланыс жасайды. |
|
Оқу құралдары; оқулық; тақта; Презентация |
||
Сабақ жоспары №11
Бекітемін:
|
Педагогтің аты; тегі; әкесінің аты (бар болған жағдайда) |
|
|||||
|
Пән/Сынып: |
9 сынып |
|||||
|
Күні: |
|
|||||
|
Бөлім: |
9.3А Үшбұрыштарды шешу |
|||||
|
Сабақтың тақырыбы: |
Іштей сызылған үшбұрыш пен сырттай сызылған көпбұрыштың аудандары. |
|||||
|
Оқу бағдарламасына сәйкес оқыту мақсаты: |
9.1.3.8 іштей сызылған
үшбұрыштың ауданын ( |
|||||
|
Сабақтың мақсаты: |
іштей сызылған үшбұрыштың
ауданын ( |
|||||
|
Сабақтың барысы: |
||||||
|
Уақыты |
Кезең дері |
Педагогтің әрекеті |
Оқушының әрекеті |
Бағалау |
Ресурстар |
|
|
5 минут |
Ұйымдастыру |
Сәлеметсіздерме! Бүгін, Іштей сызылған үшбұрыш пен сырттай сызылған көпбұрыштың аудандары тақырыбын қарастырамыз Бүгінгі сабақта меңгеретініңіз: -шеңберге іштей сызылған үшбұрыш ауданының формуласы. -шеңберге іштей сызылған үшбұрыш ауданының формуласын есептер шығаруда қолдану. Үйге тапсырмасын тексеру. Өтілген тақырып тапсырмаларын тексеру
Бағалау: Ауызша бағалау.
|
Амандасады, тақырыпты жазады. Сұрақтарға жауап береді |
|
Оқу құралдары; оқулық; тақта; . |
|
|
5 мин |
Жаңа сабақ |
Үшбұрышқа сырттай
сызылған
Мұндағы,
Синустар
теоремасындағы Үшбұрыштың ауданы үшін Герон формуласын қорытып шығарыңдар:
Оқушыларға 15 минут уақыт беріледі. Осы уақыт ішінде оқушылар өздеріне берілген тапсырмаларды орындайды және тақтаның алдына шығып қорғайды. Өзге топтар қорғаған дәлелдеулерді тыңдайды. Осы тапсырмаларды орындағаннан кейін формативтік жұмыс орындайды. |
Тақырып бойынша ресурстарды қарап, танысады Қажетті анықтамаларды жазып, сызбаны сызады.
|
|
|
|
|
25 минут |
Бекіту тапсырмасы |
Тапсырма. 1) Шеңберге іштей сызылған бұрыш 22030/ - қа тең. Осы бұрыш тірелетін доғаның градустық шамасын есептеңдер. 2) Шеңбер хордаларымен 1:2:3 қатынасында бөлінген. Пайда болған үшбұрыштың бұрыштарын есептеңдер. 3) Іштей сызылған АВС бұрышы АС доғасына тіреледі. АС доғасы 570- қа тең. АВС бұрышы неге тең? 4) АВ және СД хордалары Е нүктесінде қиылысады. АЕ=5 см6 ВЕ=2 см, СЕ=2,5 см. ЕД кесіндісінің ұзындығы есептеңдер. 5) АВ және СД хордалары Е нүктесінде қиылысады. АЕ=7 см, ВЕ=5 см, СЕ=2,5 см. ЕД кесіндісінің ұзындығы есептеңдер. 6) АВ және СД хордалары Е нүктесінде қиылысады. АЕ=8 см, ВЕ=9 см, СЕ=3,5см. ЕД кесіндісінің ұзындығы есептеңдер.
Пысықтау сұрақтары.
1. Центірлік бұрыш дегеніміз не? 2. Центрлік бұрышқа сәйкес шеңбер доғасы деп қандай доғаны айтады? 3. Шеңбер доғасының градустық өлшемі қалай анықталады? 4. Шеңберге іштей сызылған бұрыш деп қандай бұрышты атайды? 5. Диаметрге тірелетін бұрыш қандай бұрыш болады? 6. Өзара қиылысатын хордалар кесінділерінің қасиеттерін дәлелдеңдер? Оқулықтан №15, №16. |
Оқушылар есептің сызбасын сызады.
үшбұрыштың белгісіз элементтерін анықтайды, есептің шешімін табады
Оқулықтан есеп шығарады. Білім алушы дескрипторға сәйкес тапсырмаларды орындайды.
|
Дескриптор: -Үшбұрыштың қабырғаларын табады - синустар теоремасын қолданады
Дескриптор: Есептің шартына байланысты теореманы дұрыс таңдайды; Формуланы дұрыс жазады; Белгісіз шаманы табады; Жауабын жазады. ҚБ:
-Тақырыпқа қатысты есептерді талдайды. |
Слайд
Жалпы білім беретін мектептің 9–сыныбына арналған оқулық. Оқулық авторлары: В.А.Смирнов, Е.А.Тұяқов Алматы «Мектеп» баспасы 2019 жыл Интернет ресурстары |
|
|
5 мин |
Жеке жұмыс |
№12.АС хордасы мен шеңберге жүргізілген ВС жанамасының
арасындағы бұрыш
|
Тапсырманы орындайды. Жауабы: |
|
|
|
|
5 минут |
|
Бүгінгі сабақта: -шеңберге іштей сызылған үшбұрыш ауданының формуласы. -шеңберге іштей сызылған үшбұрыш ауданының формуласын есептер шығаруда қолдану. Кері байланыс: «Басбармақ» Рефлексия: - нені білдім, нені үйрендім - нені толық түсінбедім - немен жұмысты жалғастыру қажет Үйге тапсырма. №22. |
Тақырыпты меңгергенін анықтау Кері байланыс жасайды. |
|
Оқу құралдары; оқулық; тақта; Презентация |
|
Сабақ жоспары №12
Бекітемін:
|
Педагогтің аты; тегі; әкесінің аты (бар болған жағдайда) |
|
|||||||||||
|
Пән/Сынып: |
9 сынып |
|||||||||||
|
Күні: |
|
|||||||||||
|
Бөлім: |
9.3А Үшбұрыштарды шешу |
|||||||||||
|
Сабақтың тақырыбы: |
Іштей сызылған үшбұрыш пен сырттай сызылған көпбұрыштың аудандары. |
|||||||||||
|
Оқу бағдарламасына сәйкес оқыту мақсаты: |
9.1.3.8 іштей сызылған
үшбұрыштың ауданын ( |
|||||||||||
|
Сабақтың мақсаты: |
9.1.3.8 іштей сызылған
үшбұрыштың ауданын ( |
|||||||||||
|
Сабақтың барысы: |
||||||||||||
|
Уақыты |
Кезең дері |
Педагогтің әрекеті |
Оқушының әрекеті |
Бағалау |
Ресурстар |
|||||||
|
5 минут |
Ұйымдастыру |
Сәлеметсіздерме! Бүгін, Іштей сызылған үшбұрыш пен сырттай сызылған көпбұрыштың аудандары тақырыбын қарастырамыз Бүгінгі сабақта меңгеретініңіз: -шеңберге іштей сызылған үшбұрыш ауданының формуласы. -шеңберге іштей сызылған үшбұрыш ауданының формуласын есептер шығаруда қолдану. Үйге тапсырмасын тексеру. Өтілген тақырып тапсырмаларын тексеру
Бағалау: Ауызша бағалау.
|
Амандасады, тақырыпты жазады. Сұрақтарға жауап береді |
|
Оқу құралдары; оқулық; тақта; . |
|||||||
|
5 мин |
Жаңа сабақ |
Үшбұрышқа сырттай
сызылған
Мұндағы,
Синустар
теоремасындағы Үшбұрыштың ауданы үшін Герон формуласын қорытып шығарыңдар:
Оқушыларға 15 минут уақыт беріледі. Осы уақыт ішінде оқушылар өздеріне берілген тапсырмаларды орындайды және тақтаның алдына шығып қорғайды. Өзге топтар қорғаған дәлелдеулерді тыңдайды. Осы тапсырмаларды орындағаннан кейін формативтік жұмыс орындайды. |
Тақырып бойынша ресурстарды қарап, танысады Қажетті анықтамаларды жазып, сызбаны сызады.
|
|
|
|||||||
|
25 минут |
Бекіту тапсырмасы |
О |
Оқушылар есептің сызбасын сызады.
үшбұрыштың белгісіз элементтерін анықтайды, есептің шешімін табады
Оқулықтан есеп шығарады. Білім алушы дескрипторға сәйкес тапсырмаларды орындайды.
|
Дескриптор: -Үшбұрыштың қабырғаларын табады - синустар теоремасын қолданады
Дескриптор: Есептің шартына байланысты теореманы дұрыс таңдайды; Формуланы дұрыс жазады; Белгісіз шаманы табады; Жауабын жазады. ҚБ:
-Тақырыпқа қатысты есептерді талдайды. |
Слайд
Жалпы білім беретін мектептің 9–сыныбына арналған оқулық. Оқулық авторлары: В.А.Смирнов, Е.А.Тұяқов Алматы «Мектеп» баспасы 2019 жыл Интернет ресурстары |
|||||||
|
5 мин |
Жеке жұмыс |
№12.АС хордасы мен шеңберге жүргізілген ВС жанамасының
арасындағы бұрыш
|
Тапсырманы орындайды. Жауабы: |
|
|
|||||||
|
5 минут |
|
Бүгінгі сабақта: -шеңберге іштей сызылған үшбұрыш ауданының формуласы. -шеңберге іштей сызылған үшбұрыш ауданының формуласын есептер шығаруда қолдану. Кері байланыс:
Үйге тапсырма. №3,4. |
Тақырыпты меңгергенін анықтау
Кері байланыс жасайды. |
|
Оқу құралдары; оқулық; тақта;
Презентация
|
|||||||
Сабақ жоспары №13
Бекітемін:
|
Педагогтің аты; тегі; әкесінің аты (бар болған жағдайда) |
|
|||||||||||
|
Пән/Сынып: |
9 сынып |
|||||||||||
|
Күні: |
|
|||||||||||
|
Бөлім: |
9.3А Үшбұрыштарды шешу |
|||||||||||
|
Сабақтың тақырыбы: |
Шеңберге іштей немесе сырттай сызылған үшбұрыштың ауданын пайдаланып, шеңбердің радиусын табу формулалары |
|||||||||||
|
Оқу бағдарламасына сәйкес оқыту мақсаты: |
9.1.3.9 шеңберге іштей немесе сырттай сызылған үшбұрыштардың аудандарын пайдаланып шеңбердің радиусын табу формулаларын білу және қолдану; |
|||||||||||
|
Сабақтың мақсаты: |
Үшбұрыштың белгісіз элементтерін табу үшін іштей/сырттай сызылған үшбұрыштың/көпбұрыштың ауданының формуласын қолданады, есеп шығару |
|||||||||||
|
Сабақтың барысы: |
||||||||||||
|
Уақыты |
Кезең дері |
Педагогтің әрекеті |
Оқушының әрекеті |
Бағалау |
Ресурстар |
|||||||
|
5 минут |
Ұйымдастыру |
Сәлеметсіздерме! Бүгін, Шеңберге іштей немесе сырттай сызылған үшбұрыштың ауданын пайдаланып, шеңбердің радиусын табу формулалары тақырыбын қарастырамыз Бүгінгі сабақта меңгеретініңіз:
Үйге тапсырмасын тексеру. Өтілген тақырып тапсырмаларын тексеру
Бағалау: Ауызша бағалау.
|
Амандасады, тақырыпты жазады. Сұрақтарға жауап береді |
|
Оқу құралдары; оқулық; тақта; . |
|||||||
|
5 мин |
Жаңа сабақ |
Шеңберге іштей сызылған үшбұрыш Егер үшбұрыштың барлық төбелері шеңбердің бойында жатса, онда үшбұрыш шеңберге іштей сызылған деп аталады. Басқаша айтқанда, бұл жағдайда шеңбер үшбұрышқа сырттай сызылған деп те аталады. ⠀Теорема. Кез келген үшбұрышқа сырттай шеңбер сызуға болады. Оның центрі үшбұрыштың қабырғаларына жүргізілген орта перпендикулярлардың қиылысу нүктесі болады. 1- топ тапсырмасы:
2- топ тапсырмасы:
3- топ тапсырмасы:
|
Тақырып бойынша ресурстарды қарап, танысады
Қажетті анықтамаларды жазып, сызбаны сызады.
|
|
|
|||||||
|
25 минут
|
Бекіту тапсырмасы |
1-тапсырма. Көпбұрыштың периметрін 14 см шеңберге сырттай сызылған көпбұрыштың ауданы 32 см2. Шеңбердің радиусын табыңдар. 2- тапсырма. Үшбұрыштың қабырғалары 5, 5, 8. Оған сырттай сызылған шеңбердің радуисын табыңдар. 3- тапсырма. Тік бұрышты үшбұрыштың катеттері 3см, 4 см. Оған сырттай сызылған шеңбердің радуисын табыңдар. Жеке жұмыс:
Оқулықпен жұмыс.
|
Оқушылар есептің сызбасын сызады.
үшбұрыштың белгісіз элементтерін анықтайды, есептің шешімін табады
Оқулықтан есеп шығарады. Білім алушы дескрипторға сәйкес тапсырмаларды орындайды.
|
Дескриптор: -Шеңберге сырттай сызылған көпбұрыштың ауданын табу формуласын қолданады. -Шеңбердің радиусын табады. Дескриптор: 1. Үшбұрыштың үшінші қабырғасын табады; 2. Үшбұрыштың ауданын табады; 3. Сырттай сызылған шеңбердің ауданын табу формуласын қолданып, радуисын табады; ҚБ:
|
Слайд
Жалпы білім беретін мектептің 9–сыныбына арналған оқулық. Оқулық авторлары: В.А.Смирнов, Е.А.Тұяқов Алматы «Мектеп» баспасы 2019 жыл
Интернет ресурстары |
|||||||
|
5 мин |
Жеке жұмыс |
№12.АС хордасы мен шеңберге жүргізілген ВС жанамасының
арасындағы бұрыш
|
Тапсырманы орындайды.
Жауабы:
|
|
|
|||||||
|
5минут
|
|
Бүгінгі сабақта:
-әртүрлі үшбұрыштарға сырттай сызылған шеңберлер центрлерінің орналасу жағадайлары Кері байланыс:
Үйге тапсырма. №6,7. |
Тақырыпты меңгергенін анықтау
Кері байланыс жасайды. |
|
Оқу құралдары; оқулық; тақта;
Презентация
|
|||||||
Сабақ жоспары 13
Бекітемін:
|
Педагогтің аты; тегі; әкесінің аты (бар болған жағдайда) |
|
|||||||||||
|
Пән/Сынып: |
9 сынып |
|||||||||||
|
Күні: |
|
|||||||||||
|
Бөлім: |
9.3А Үшбұрыштарды шешу |
|||||||||||
|
Сабақтың тақырыбы: |
Шеңберге іштей немесе сырттай сызылған үшбұрыштың ауданын пайдаланып, шеңбердің радиусын табу формулалары |
|||||||||||
|
Оқу бағдарламасына сәйкес оқыту мақсаты: |
9.1.3.9 шеңберге іштей немесе сырттай сызылған үшбұрыштардың аудандарын пайдаланып шеңбердің радиусын табу формулаларын білу және қолдану; |
|||||||||||
|
Сабақтың мақсаты: |
Үшбұрыштың белгісіз элементтерін табу үшін іштей/сырттай сызылған үшбұрыштың/көпбұрыштың ауданының формуласын қолданады, есеп шығарады. |
|||||||||||
|
Сабақтың барысы: |
||||||||||||
|
Уақыты |
Кезең дері |
Педагогтің әрекеті |
Оқушының әрекеті |
Бағалау |
Ресурстар |
|||||||
|
5 минут |
Ұйымдастыру |
Сәлеметсіздерме! Бүгін, Шеңберге іштей немесе сырттай сызылған үшбұрыштың ауданын пайдаланып, шеңбердің радиусын табу формулалары тақырыбын қарастырамыз Бүгінгі сабақта меңгеретініңіз:
Үйге тапсырмасын тексеру. Өтілген тақырып тапсырмаларын тексеру
Бағалау: Ауызша бағалау.
|
Амандасады, тақырыпты жазады. Сұрақтарға жауап береді |
|
Оқу құралдары; оқулық; тақта; . |
|||||||
|
5 мин |
Жаңа сабақ |
Шеңберге іштей сызылған үшбұрыш Егер үшбұрыштың барлық төбелері шеңбердің бойында жатса, онда үшбұрыш шеңберге іштей сызылған деп аталады. Басқаша айтқанда, бұл жағдайда шеңбер үшбұрышқа сырттай сызылған деп те аталады. ⠀Теорема. Кез келген үшбұрышқа сырттай шеңбер сызуға болады. Оның центрі үшбұрыштың қабырғаларына жүргізілген орта перпендикулярлардың қиылысу нүктесі болады. 1- топ тапсырмасы:
2- топ тапсырмасы:
3- топ тапсырмасы:
|
Тақырып бойынша ресурстарды қарап, танысады
Қажетті анықтамаларды жазып, сызбаны сызады.
|
|
|
|||||||
|
25 минут
|
Бекіту тапсырмасы |
. Жеке жұмыс: 1)Радиусы 3 дм шеңберге сырттай сызылған көпбұрыштың ауданы 60 дм2. Көпбұрыштың периметрін табыңдар. 2) №2. АВС үшбұрышына іштей сызылған шеңбер АВ, ВС және АС қабырғаларына сәйкесінше М, К және Р нүктелерімен жанасады.. АВС үшбұрышының периметрін табыңыз, егер АР = 4 см, ВМ = 6 см, СК = 3 см екені белгілі болса.
|
Оқушылар есептің сызбасын сызады.
үшбұрыштың белгісіз элементтерін анықтайды, есептің шешімін табады
Оқулықтан есеп шығарады. Білім алушы дескрипторға сәйкес тапсырмаларды орындайды.
|
Дескриптор: -Шеңберге сырттай сызылған көпбұрыштың ауданын табу формуласын қолданады. -Шеңбердің радиусын табады. Дескриптор: 1. Үшбұрыштың үшінші қабырғасын табады; 2. Үшбұрыштың ауданын табады; 3. Сырттай сызылған шеңбердің ауданын табу формуласын қолданып, радуисын табады; ҚБ:
|
Слайд
Жалпы білім беретін мектептің 9–сыныбына арналған оқулық. Оқулық авторлары: В.А.Смирнов, Е.А.Тұяқов Алматы «Мектеп» баспасы 2019 жыл
Интернет ресурстары |
|||||||
|
5 мин |
Жеке жұмыс |
№12.АС хордасы мен шеңберге жүргізілген ВС жанамасының
арасындағы бұрыш
|
Тапсырманы орындайды.
Жауабы:
|
|
|
|||||||
|
5минут
|
|
Бүгінгі сабақта:
-әртүрлі үшбұрыштарға сырттай сызылған шеңберлер центрлерінің орналасу жағадайлары Кері байланыс:
Үйге тапсырма. №6,7. |
Тақырыпты меңгергенін анықтау
Кері байланыс жасайды. |
|
Оқу құралдары; оқулық; тақта;
Презентация
|
|||||||
Сабақ жоспары №14
Бекітемін:
|
Педагогтің аты; тегі; әкесінің аты (бар болған жағдайда) |
|
|||||||||||
|
Пән/Сынып: |
9 сынып |
|||||||||||
|
Күні: |
|
|||||||||||
|
Бөлім: |
9.3А Үшбұрыштарды шешу |
|||||||||||
|
Сабақтың тақырыбы: |
Шеңберге іштей немесе сырттай сызылған үшбұрыштың ауданын пайдаланып, шеңбердің радиусын табу формулалары |
|||||||||||
|
Оқу бағдарламасына сәйкес оқыту мақсаты: |
9.1.3.9 шеңберге іштей немесе сырттай сызылған үшбұрыштардың аудандарын пайдаланып шеңбердің радиусын табу формулаларын білу және қолдану; |
|||||||||||
|
Сабақтың мақсаты: |
Үшбұрыштың белгісіз элементтерін табу үшін іштей/сырттай сызылған үшбұрыштың/көпбұрыштың ауданының формуласын қолданады, есеп шығарады. |
|||||||||||
|
Сабақтың барысы: |
||||||||||||
|
Уақыты |
Кезең дері |
Педагогтің әрекеті |
Оқушының әрекеті |
Бағалау |
Ресурстар |
|||||||
|
5минут |
Ұйымдастыру |
Сәлеметсіздерме! Бүгін, Шеңберге іштей немесе сырттай сызылған үшбұрыштың ауданын пайдаланып, шеңбердің радиусын табу формулалары тақырыбын қарастырамыз Бүгінгі сабақта меңгеретініңіз:
Үйге тапсырмасын тексеру. Өтілген тақырып тапсырмаларын тексеру Өткенді қайталау Тест тапсырмалары 10 бұрыштың неше диагоналі бар? А) 7; В)30; С) 54 Д) 35 2) Көпбұрыштың бір төбесінен 16 диагональ жүргізуге болады. Бұл қандай көпбұрыш? А) 21; В) 20; С) 104 Д) 13 3) Сегізбұрыштың ішкі бұрыштарының қосындысы неге тең? А) 360; В) 1080; С) 1440; Д) 135 4) Он екі бұрыштың әр төбесінен неше диагональ жүргізуге болады? А)10 В)8 С) 7 Д) 9 Е)5 5)Дұрыс бесбұрыштың әр бұрышы? 6) Бір бұрышы 1440-қа тең көбұрыштың қабырғалар саны неге тең? А) 10 В) 12 С) 8 Д) 9 7) Бір доғаға тірелетін, АОВ центрлік бұрышы үшін іштей сызылған АОВ бұрышының градустық өлшемін табыңыз. АСВ бұрышы 800-қа тең.
А) 600 В) 400 С) 1600 Д) 1800 Е) 1200 8. АВ түзуі радиуысы 15 см центрі О нүктесі шеңберді В нүктесінде жанайды ОА=17 см болса, АВ тап. A)7 B)10 C)8 D)11 E)2 9. Сыртай сызылған АВСDтөртбұрышында АВ=8см, СD=13 см, DA=16см болса, ВС тап. A)7 B)9 C)10 D)5 E)3 10. {-6;k} және {3;2} векторлары k-ның қандай мәнінде өзара перпендикуляр болады. A) 11 B) 3 C) 9 D) 1 E) 5 Бағалау: Ауызша бағалау.
|
Амандасады, тақырыпты жазады. Сұрақтарға жауап береді Тест тапсырмаларын орындайды |
|
Оқу құралдары; оқулық; тақта; . |
|||||||
|
5 мин |
Жаңа сабақ |
Шеңберге іштей сызылған үшбұрыш Егер үшбұрыштың барлық төбелері шеңбердің бойында жатса, онда үшбұрыш шеңберге іштей сызылған деп аталады. Басқаша айтқанда, бұл жағдайда шеңбер үшбұрышқа сырттай сызылған деп те аталады. ⠀Теорема. Кез келген үшбұрышқа сырттай шеңбер сызуға болады. Оның центрі үшбұрыштың қабырғаларына жүргізілген орта перпендикулярлардың қиылысу нүктесі болады. 1- топ тапсырмасы:
2- топ тапсырмасы:
3- топ тапсырмасы:
Шеңберге іштей және сырттай сызылған үшбұрыштардың аудандарын пайдаланып, шеңберлердің радиустарын табу формулалары әртүрлі қабырғалы үшбұрышқа сыртай және іштей сызылған шеңбердің радиусын табу формуласы түсіндіріліп, есептер, мысалдар мен тапсырмалар беріледі. Жинаған білімдерін пайдаланып есептер шығарады. Оқушыларға өткен сабақтардан белгілі формулаларды жаттауы үшін қиынды қағаздар беріледі. Сол қағаздарға формулалар жазылған. Берілген формулаларды құрастыру арқылы Герон формуласын шығады
|
Тақырып бойынша ресурстарды қарап, танысады
Қажетті анықтамаларды жазып, сызбаны сызады.
|
|
|
|||||||
|
25 минут
|
Бекіту тапсырмасы |
Есептер шығару №1. Шеңберге сырттай сызылған теңбүйірлі трапеция берілген. Оның орта сызығы 1см, ал бір бұрышы 300. Шеңбердің радиусын тап Радиусы 2м-ге тең шеңберге сырттай сызылған теңбүйірлі трапецияның бүйір қабырғасы 5м. Табу керек: Трапецияның табандарының ұзындығын; Сырттай сызылған шеңбердің радиусын
№2. Шеңберге сырттай сызылған теңбүйірлі трапецияның табандарының ұзындығы 4 және 16 м. Табу керек: Сырттай сызылған шеңбердің радиусын Іштей сызылған шеңбердің радиусын
№3.Диагональдары 6м және 8м болатын ромбтың ішіне шеңбер сызылған. Осы шеңбердің радиустарын табыңдар. Оқулықпен жұмыс. №21.
|
Оқушылар есептің сызбасын сызады.
үшбұрыштың белгісіз элементтерін анықтайды, есептің шешімін табады
Оқулықтан есеп шығарады.
|
Дескриптор: -Шеңберге сырттай сызылған көпбұрыштың ауданын табу формуласын қолданады. -Шеңбердің радиусын табады. Дескриптор: 1. Үшбұрыштың үшінші қабырғасын табады; 2. Үшбұрыштың ауданын табады; 3. Сырттай сызылған шеңбердің ауданын табу формуласын қолданып, радуисын табады; ҚБ:
|
Слайд
Жалпы білім беретін мектептің 9–сыныбына арналған оқулық. Оқулық авторлары: В.А.Смирнов, Е.А.Тұяқов Алматы «Мектеп» баспасы 2019 жыл
Интернет ресурстары |
|||||||
|
5 мин |
Жеке жұмыс |
Есептер жинағынан №12, 13 |
Тапсырманы орындайды.
|
|
|
|||||||
|
5минут
|
|
Бүгінгі сабақта:
-әртүрлі үшбұрыштарға сырттай сызылған шеңберлер центрлерінің орналасу жағадайлары Кері байланыс:
Үйге тапсырма. №14. |
Тақырыпты меңгергенін анықтау
Кері байланыс жасайды. |
|
Оқу құралдары; оқулық; тақта;
Презентация
|
|||||||
Сабақ жоспары №15
Бекітемін:
|
Педагогтің аты; тегі; әкесінің аты (бар болған жағдайда) |
|
|||||||||||
|
Пән/Сынып: |
9 сынып |
|||||||||||
|
Күні: |
|
|||||||||||
|
Бөлім: |
9.3А Үшбұрыштарды шешу |
|||||||||||
|
Сабақтың тақырыбы: |
Шеңберге іштей немесе сырттай сызылған үшбұрыштың ауданын пайдаланып, шеңбердің радиусын табу формулалары |
|||||||||||
|
Оқу бағдарламасына сәйкес оқыту мақсаты: |
9.1.3.9 шеңберге іштей немесе сырттай сызылған үшбұрыштардың аудандарын пайдаланып шеңбердің радиусын табу формулаларын білу және қолдану; |
|||||||||||
|
Сабақтың мақсаты: |
Үшбұрыштың белгісіз элементтерін табу үшін іштей/сырттай сызылған үшбұрыштың/көпбұрыштың ауданының формуласын қолданады, есеп шығарады. |
|||||||||||
|
Сабақтың барысы: |
||||||||||||
|
Уақыты |
Кезең дері |
Педагогтің әрекеті |
Оқушының әрекеті |
Бағалау |
Ресурстар |
|||||||
|
5мин |
Ұйымдастыру |
Сәлеметсіздерме! Бүгін, Шеңберге іштей немесе сырттай сызылған үшбұрыштың ауданын пайдаланып, шеңбердің радиусын табу формулалары тақырыбын қарастырамыз Бүгінгі сабақта меңгеретініңіз:
Үйге тапсырмасын тексеру. Өтілген тақырып тапсырмаларын тексеру Өткенді қайталау Тест тапсырмалары 10 бұрыштың неше диагоналі бар? А) 7; В)30; С) 54 Д) 35 2) Көпбұрыштың бір төбесінен 16 диагональ жүргізуге болады. Бұл қандай көпбұрыш? А) 21; В) 20; С) 104 Д) 13 3) Сегізбұрыштың ішкі бұрыштарының қосындысы неге тең? А) 360; В) 1080; С) 1440; Д) 135 4) Он екі бұрыштың әр төбесінен неше диагональ жүргізуге болады? А)10 В)8 С) 7 Д) 9 Е)5 5)Дұрыс бесбұрыштың әр бұрышы? Бағалау: Ауызша бағалау.
|
Амандасады, тақырыпты жазады. Сұрақтарға жауап береді Тест тапсырмаларын орындайды |
|
Оқу құралдары; оқулық; тақта; . |
|||||||
|
5 мин |
Жаңа сабақ |
Шеңберге іштей сызылған үшбұрыш Егер үшбұрыштың барлық төбелері шеңбердің бойында жатса, онда үшбұрыш шеңберге іштей сызылған деп аталады. Басқаша айтқанда, бұл жағдайда шеңбер үшбұрышқа сырттай сызылған деп те аталады. ⠀Теорема. Кез келген үшбұрышқа сырттай шеңбер сызуға болады. Оның центрі үшбұрыштың қабырғаларына жүргізілген орта перпендикулярлардың қиылысу нүктесі болады. 1- топ тапсырмасы:
2- топ тапсырмасы:
3- топ тапсырмасы:
Шеңберге іштей және сырттай сызылған үшбұрыштардың аудандарын пайдаланып, шеңберлердің радиустарын табу формулалары әртүрлі қабырғалы үшбұрышқа сыртай және іштей сызылған шеңбердің радиусын табу формуласы түсіндіріліп, есептер, мысалдар мен тапсырмалар беріледі. Жинаған білімдерін пайдаланып есептер шығарады. Оқушыларға өткен сабақтардан белгілі формулаларды жаттауы үшін қиынды қағаздар беріледі. Сол қағаздарға формулалар жазылған. Берілген формулаларды құрастыру арқылы Герон формуласын шығады
|
Тақырып бойынша ресурстарды қарап, танысады
Есептер шығару №1. Шеңберге сырттай сызылған теңбүйірлі трапеция берілген. Оның орта сызығы 1см, ал бір бұрышы 300. Шеңбердің радиусын тап Радиусы 2м-ге тең шеңберге сырттай сызылған теңбүйірлі трапецияның бүйір қабырғасы 5м. Табу керек: Трапецияның табандарының ұзындығын; Сырттай сызылған шеңбердің радиусын
№2. Шеңберге сырттай сызылған теңбүйірлі трапецияның табандарының ұзындығы 4 және 16 м. Табу керек: Сырттай сызылған шеңбердің радиусын Іштей сызылған шеңбердің радиусын
№3.Диагональдары 6м және 8м болатын ромбтың ішіне шеңбер сызылған. Осы шеңбердің радиустарын табыңдар.
|
|
|
|||||||
|
10 минут
|
Бекіту тапсырмасы |
|
Оқушылар есептің сызбасын сызады. үшбұрыштың белгісіз элементтерін анықтайды, есептің шешімін табады
Оқулықтан есеп шығарады.
|
Дескриптор: -Шеңберге сырттай сызылған көпбұрыштың ауданын табу формуласын қолданады. -Шеңбердің радиусын табады.
|
Слайд
Жалпы білім беретін мектептің 9–сыныбына арналған оқулық. Оқулық авторлары: В.А.Смирнов, Е.А.Тұяқов Алматы «Мектеп» баспасы 2019 жыл
|
|||||||
|
20 мин |
Жеке жұмыс |
ББЖБ тапсырмаларын орындайды |
Тапсырманы орындайды.
|
|
|
|||||||
|
5 минут
|
|
Бүгінгі сабақта:
-әртүрлі үшбұрыштарға сырттай сызылған шеңберлер центрлерінің орналасу жағадайлары Кері байланыс:
Үйге тапсырма. №14. |
Тақырыпты меңгергенін анықтау
Кері байланыс жасайды. |
|
Оқу құралдары; оқулық; тақта;
Презентация
|
|||||||
Сабақ жоспары 17
Бекітемін:
|
Педагогтің аты; тегі; әкесінің аты (бар болған жағдайда) |
|
|||||||||||
|
Пән/Сынып: |
9 сынып |
|||||||||||
|
Күні: |
|
|||||||||||
|
Бөлім: |
9.3А Үшбұрыштарды шешу |
|||||||||||
|
Сабақтың тақырыбы: |
Синус және косинус теоремаларын үшбұрыштарды шешуде қолдану |
|||||||||||
|
Оқу бағдарламасына сәйкес оқыту мақсаты: |
9.1.3.10 синустар және косинустар теоремаларын үшбұрыштарды шешуде және қолданбалы есептерді шығаруда қолдану; |
|||||||||||
|
Сабақтың мақсаты: |
Үшбұрыштың белгісіз элементтерін табу үшін іштей/сырттай сызылған үшбұрыштың/көпбұрыштың ауданының формуласын қолданады, есеп шығарады. |
|||||||||||
|
Сабақтың барысы: |
||||||||||||
|
Уақыты |
Кезең дері |
Педагогтің әрекеті |
Оқушының әрекеті |
Бағалау |
Ресурстар |
|||||||
|
5 минут |
Ұйымдастыру |
Сәлеметсіздерме! Бүгін, Синус және косинус теоремаларын үшбұрыштарды шешуде қолдану тақырыбын қарастырамыз Бүгінгі сабақта меңгеретініңіз:
Үйге тапсырмасын тексеру. Өтілген тақырып тапсырмаларын тексеру «Допты лақтыру» әдісі арқылы өткен сабақты 3 топ бір-біріне алдыңғы тақырыптар бойынша сұрақтар қояды 1. Косинустар теоремасын тұжырымдаңдар. 2. Үшбұрыштың тамаша нүктесі? 3. Үшбұрыштарды шешу деп нені түсінесіңдер? 4. Пифагор теоремасы? 5. Синустар теоремасын дәлеледеп беріңдер. 6.Үшбұрыш ауданы неге тең? Бағалау: Ауызша бағалау.
|
Амандасады, тақырыпты жазады. Сұрақтарға жауап береді Тест тапсырмаларын орындайды |
|
Оқу құралдары; оқулық; тақта; . |
|||||||
|
5 мин |
Жаңа сабақ |
«Үшбұрыштарды шешу» тақырыбына видеоролик көрсетіп, сабақты түсіндіріп өтемін. Үшбұрыштарды шешу дегеніміз – берілген элементтері бойынша барлық белгісіз қабырғалары мен бұрыштарын табу. Үшбұрыш қабырғаларын a, b,c, ал оларға қарсы жатқан бұрыштарды α, β, γ деп белгілейік. Үшбұрыштарды шешуде синустар мен косинустар теоремасы пайдаланылады. Синустар теоремасының қолданылуы: -егер үшбұрыштың екі бұрышы мен бір қабырғасы берілсе, оның белгісіз қабырғаларын есептеу үшін; -егер үшбұрыштың екі қабырғасы мен бір бұрышы берілсе, оның белгісіз бұрыштарын есептеу үшін. Косинустар теоремасының қолданылуы: -егер үшбұрыштың екі қабырғасы мен олардың арасындағы бұрышы берілсе, оның белгісіз қабырғаларын есептеу үшін; -егер үшбұрыштың барлық қабырғалары берілсе, оның белгісіз бұрышының косинусын есептеу үшін.
|
Тақырып бойынша ресурстарды қарап, танысады
Қажетті анықтамаларды жазып, сызбаны сызады. |
|
Интернет ресурстары |
|||||||
|
20 минут |
Бекіту тапсырмасы |
Есептер шығару.
«Өзіңді тексер» әдісі арқылы тест аламын. Тест 1. Үшбұрыштың үш қабырғасы берілген: 13, 14, 15. Осы үшбұрыштың үлкен бұрышының косинусын тап. А.
2. Үшбұрыштың үш қабырғасы берілген: 13, 14, 15. Осы үшбұрыштың кіші бұрышының косинусын тап. А.
3. АВС үшбұрышында АВС
<A=45, <B=15, BC= А. 5
В.15 4. АВС үшбұрышында АС=1, <A=60, <B=45. Үшбұрыштың ВС қабырғасын тап. А. 4
В.5 Оқулықпен жұмыс. №21.
|
Оқушылар есептің сызбасын сызады. Берілген тапсырма бойынша есепті орындайды 1 Жауабы:
R= 2 Жауабы:
R= 3 Жауабы:
R=
үшбұрыштың белгісіз элементтерін анықтайды, есептің шешімін табады
Оқулықтан есеп шығарады.
|
Дескриптор: - қажетті формуланы пайдаланады; -үшбұрышқа іштей және сырттай сызылған шеңбер радиустарын табады.
Дескриптор: 1. Үшбұрыштың үшінші қабырғасын табады; 2. Үшбұрыштың ауданын табады; 3. Сырттай сызылған шеңбердің ауданын табу формуласын қолданып, радуисын табады; ҚБ:
|
Слайд
Жалпы білім беретін мектептің 9–сыныбына арналған оқулық. Оқулық авторлары: В.А.Смирнов, Е.А.Тұяқов Алматы «Мектеп» баспасы 2019 жыл Интернет ресурстары |
|||||||
|
10мин |
Жеке жұмыс |
Есептер жинағынан тапсырмалар орындайды |
Тапсырманы орындайды.
|
|
Есептер жинағы |
|||||||
|
5 минут |
|
Бүгінгі сабақта: -шеңберге іштей сызылған үшбұрыштың ауданын табу формуласы; -әртүрлі үшбұрыштарға сырттай сызылған шеңберлер центрлерінің орналасу жағадайлары Кері байланыс:
Үйге тапсырма.
|
Тақырыпты меңгергенін анықтау
Кері байланыс жасайды. |
|
Оқу құралдары; оқулық; тақта;
Презентация
|
|||||||
Сабақ жоспары 18
Бекітемін:
|
Педагогтің аты; тегі; әкесінің аты (бар болған жағдайда) |
|
|||||||||||
|
Пән/Сынып: |
9 сынып |
|||||||||||
|
Күні: |
|
|||||||||||
|
Бөлім: |
9.3А Үшбұрыштарды шешу |
|||||||||||
|
Сабақтың тақырыбы: |
Синус және косинус теоремаларын үшбұрыштарды шешуде қолдану |
|||||||||||
|
Оқу бағдарламасына сәйкес оқыту мақсаты: |
9.1.3.10 синустар және косинустар теоремаларын үшбұрыштарды шешуде және қолданбалы есептерді шығаруда қолдану; |
|||||||||||
|
Сабақтың мақсаты: |
Үшбұрыштың белгісіз элементтерін табу үшін іштей/сырттай сызылған үшбұрыштың/көпбұрыштың ауданының формуласын қолданады, есеп шығарады. |
|||||||||||
|
Сабақтың барысы: |
||||||||||||
|
Уақыты |
Кезең дері |
Педагогтің әрекеті |
Оқушының әрекеті |
Бағалау |
Ресурстар |
|||||||
|
5 минут |
Ұйымдастыру |
Сәлеметсіздерме! Бүгін, Синус және косинус теоремаларын үшбұрыштарды шешуде қолдану тақырыбын қарастырамыз Бүгінгі сабақта меңгеретініңіз:
Үйге тапсырмасын тексеру. Өтілген тақырып тапсырмаларын тексеру «Допты лақтыру» әдісі арқылы өткен сабақты 3 топ бір-біріне алдыңғы тақырыптар бойынша сұрақтар қояды 1. Косинустар теоремасын тұжырымдаңдар. 2. Үшбұрыштың тамаша нүктесі? 3. Үшбұрыштарды шешу деп нені түсінесіңдер? 4. Пифагор теоремасы? 5. Синустар теоремасын дәлеледеп беріңдер. 6.Үшбұрыш ауданы неге тең? Бағалау: Ауызша бағалау.
|
Амандасады, тақырыпты жазады. Сұрақтарға жауап береді Тест тапсырмаларын орындайды |
|
Оқу құралдары; оқулық; тақта; . |
|||||||
|
5 мин |
Жаңа сабақ |
«Үшбұрыштарды шешу» тақырыбына видеоролик көрсетіп, сабақты түсіндіріп өтемін. Үшбұрыштарды шешу дегеніміз – берілген элементтері бойынша барлық белгісіз қабырғалары мен бұрыштарын табу. Үшбұрыш қабырғаларын a, b,c, ал оларға қарсы жатқан бұрыштарды α, β, γ деп белгілейік. Үшбұрыштарды шешуде синустар мен косинустар теоремасы пайдаланылады. Синустар теоремасының қолданылуы: -егер үшбұрыштың екі бұрышы мен бір қабырғасы берілсе, оның белгісіз қабырғаларын есептеу үшін; -егер үшбұрыштың екі қабырғасы мен бір бұрышы берілсе, оның белгісіз бұрыштарын есептеу үшін. Косинустар теоремасының қолданылуы: -егер үшбұрыштың екі қабырғасы мен олардың арасындағы бұрышы берілсе, оның белгісіз қабырғаларын есептеу үшін; -егер үшбұрыштың барлық қабырғалары берілсе, оның белгісіз бұрышының косинусын есептеу үшін.
|
Тақырып бойынша ресурстарды қарап, танысады
Қажетті анықтамаларды жазып, сызбаны сызады. |
|
Интернет ресурстары |
|||||||
|
20 минут |
Бекіту тапсырмасы |
Есептер шығару.
«Өзіңді тексер» әдісі арқылы тест аламын. Тест 1. Үшбұрыштың үш қабырғасы берілген: 13, 14, 15. Осы үшбұрыштың үлкен бұрышының косинусын тап. А.
2. Үшбұрыштың үш қабырғасы берілген: 13, 14, 15. Осы үшбұрыштың кіші бұрышының косинусын тап. А.
3. АВС үшбұрышында АВС
<A=45, <B=15, BC= А. 5
В.15 4. АВС үшбұрышында АС=1, <A=60, <B=45. Үшбұрыштың ВС қабырғасын тап. А. 4
В.5 Оқулықпен жұмыс. №21.
|
Оқушылар есептің сызбасын сызады. Берілген тапсырма бойынша есепті орындайды 1 Жауабы:
R= 2 Жауабы:
R= 3 Жауабы:
R=
үшбұрыштың белгісіз элементтерін анықтайды, есептің шешімін табады
Оқулықтан есеп шығарады.
|
Дескриптор: - қажетті формуланы пайдаланады; -үшбұрышқа іштей және сырттай сызылған шеңбер радиустарын табады.
Дескриптор: 1. Үшбұрыштың үшінші қабырғасын табады; 2. Үшбұрыштың ауданын табады; 3. Сырттай сызылған шеңбердің ауданын табу формуласын қолданып, радуисын табады; ҚБ:
|
Слайд
Жалпы білім беретін мектептің 9–сыныбына арналған оқулық. Оқулық авторлары: В.А.Смирнов, Е.А.Тұяқов Алматы «Мектеп» баспасы 2019 жыл Интернет ресурстары |
|||||||
|
10мин |
Жеке жұмыс |
Есептер жинағынан тапсырмалар орындайды |
Тапсырманы орындайды.
|
|
Есептер жинағы |
|||||||
|
5минут |
|
Бүгінгі сабақта: -шеңберге іштей сызылған үшбұрыштың ауданын табу формуласы; -әртүрлі үшбұрыштарға сырттай сызылған шеңберлер центрлерінің орналасу жағадайлары Кері байланыс:
Үйге тапсырма.
|
Тақырыпты меңгергенін анықтау
Кері байланыс жасайды. |
|
Оқу құралдары; оқулық; тақта;
Презентация
|
|||||||
шағым қалдыра аласыз







қулықтан есептер шығару







------















шбұрыштың қабырғалары қарсы жатқан бұрыштарының синустарына
пропорционал болады, яғни
ерілгені:
олса да бола алмайды.

























қулықтан №22, №23























