|
Тақырыбы |
Жай бөлшектерді ортақ бөлімге келтіру. |
||||
|
Күні:06.11.2017ж |
Мұғалімнің аты-жөні: Муханова Алмахан Шаудирбаевна |
||||
|
Сынып: 5б,в,г,ғ,д |
Сабаққа қатысқан оқушылар саны: |
Сабаққа қатыспаған оқушылар саны: |
|||
|
Оқу бағдарламасына сәйкес оқу мақсаты |
5.1.2.16 жай бөлшектерді ортақ бөлімге келтіру; |
||||
|
Сабақ мақсаты |
Барлық оқушылар: Жай бөлшектің негізгі қасиеттерін қайталай отырып, жай бөлшектерді ең кіші ортақ бөлімге келтіруді үйрету, есептер шығарту |
||||
|
Оқушылардың басым бөлігі: Тақырыптың мазмұнын түсіну, оны өмірмен байланыстыруға , ой қорытындысын жазуға үйренеді |
|||||
|
Кейбір оқушылар: Тақырыпты меңгеру барысында әр түрлі ойын элементі бар есептерді шығару арқылы қабілеті мен бейімділігін дамыта түседі, ептілікке үйренеді |
|||||
|
Сабақтың барысы |
|||||
|
Сабақтың кезеңдері |
Жоспарланған жұмыс |
Ресурстар |
|||
|
Сабақтың басы(2-5 минут) |
(МК) . 1.Жай бөлшектің бөлімі мен алымы нені білдіреді? 2.Жай бөлшектің негізгі қасиетін ата. 3 . Бөлшекті қысқарту деген не? 4. Қандай бөлшек қысқартылмайтын бөлшек деп аталады? 5. Дұрыс және бұрыс бөлшектің анықтамасын бер. 6. Бұрыс бөлшектің анықтамасын бер. 7. Қандай санды аралас сан дейді? |
|
|||
|
Сабақтың ортасы (6-40 минут) |
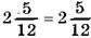
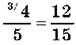
(МК,Ұ) а) . 1-мысал. Бұл бөлшектердің ортақ бөлімі
болатын сан 5 пен 3 сандарына белінуі тиіс, яғни 5 пен 3 сандарының
ортак еселігі болып табылады. 5 пен 3 сандарының ортақ еселіктері
шексіз көп: 15, 30, 45 және т.с.с. Осы мүмкін бөлімдердің ең
кішісін ең кіші ортақ бөлім ретінде аламыз, яғни берілген
бөлшектердің ең кіші ортақ бөлімі олардың бөлімдерінің ең кіші
ортак еселігі болады. Сонымен берілген қысқармайтын
бөлшектердің - ең кіші ортац бөлімі сол бөлшектер бөлімдеріның ең кіші
ортақ еселігі болады. Демек, ЕКОЕ (5,3)=15. Онда Енді бөлшектердің бөлімдері 15
саны болуы үшін берілген бөлшектердің алымын да, бөлімін
де толықтауыш
көбейткіш деп аталатын санға
көбейтеміз.
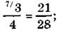
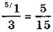
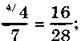
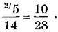
Қорыта айтқанда, бөлшектерді ең кіші ортақ бөлімге келтіру үшін: 1) берілген бөлшектер бөлімдеріның ең кіші ортақ еселігін табамыз. Бұл ең кіші opmaқ бөлім болады; 2) бөлшектпердің әрқайсысы үшін толықтауыш көбейткішті табамыз; 3) әрбір бөлшектің алымы мен бөлімін оның толықтауыш көбейткішіне көбейтеміз. Сонда бөлімдері бірдей бөлшектер алынады. Екі белшекті ғана емес, үш, терт және т.с.с. бөлшектерді ең кіші ортақ бөлімге келтіруге болады. 2-м ы с а
л: ЕКОЕ (7, 4, 14)=28, толықтауыш
кебейткіштер: 28:7=4; 28:4=7; 28:14=2,
онда
белімге келтірілді. Егер аралас сандар берілсе, олардың бөлшек бөліктерін ең кіші opтaқ бөлімге келтіреміз. 3-мысал. Сонда
I тапсырмалар №459,460,461
1)
2)
3)
4)
5) II тапсырмалар
1)
2)
3)
4)
5) |
Оқулық №1Жұмыс дәптері |
|||
|
Сабақтың соңы( 36-40мин) |
(Қ) . Карточкамен жұмыс (Бөлшектерді қысқартып, ең кіші ортақ бөлімге келтіру) №1. №3 №2 №4
Үйге тапсырма: №462 Қорытындылау: Қандай сан берілген бөлшектерге ортақ бөлім бола алады? Толықтауыш көбейткіш деп қандай санды айтады? Толықтауыш көбейткіш қалай табылады ? Бөлшектерді ең кіші ортақ бөлімге қалай келтіреді |
|
|||
|
Қосымша ақпарат |
|||||
|
Қорытындылау |
Төмендегі бөлікті сабағыңыз туралы өз ойыңызды жазуға қолданыңыз.Өз сабағыңыз бойынша сол жақ бағандағы сұрақтарға жауап беріңіз. |
||||
|
1.Сабақ барысында өзгертулер енгіздіңіз бе? 2.Жүргізген жұмыс түрлері қаншалықты тиімді болды? |
|
||||
|
Қорытынды бағалау Ең жақсы өткен екі нәрсе? 1. 2. Қандай екі нәрсе сабақты жақсартар еді? 1. 2. |
|||||
жүктеу мүмкіндігіне ие боласыз
Бұл материал сайт қолданушысы жариялаған. Материалдың ішінде жазылған барлық ақпаратқа жауапкершілікті жариялаған қолданушы жауап береді. Ұстаз тілегі тек ақпаратты таратуға қолдау көрсетеді. Егер материал сіздің авторлық құқығыңызды бұзған болса немесе басқа да себептермен сайттан өшіру керек деп ойласаңыз осында жазыңыз
Жай бөлшектерді ортак бөлімге келтіру
Жай бөлшектерді ортак бөлімге келтіру
|
Тақырыбы |
Жай бөлшектерді ортақ бөлімге келтіру. |
||||
|
Күні:06.11.2017ж |
Мұғалімнің аты-жөні: Муханова Алмахан Шаудирбаевна |
||||
|
Сынып: 5б,в,г,ғ,д |
Сабаққа қатысқан оқушылар саны: |
Сабаққа қатыспаған оқушылар саны: |
|||
|
Оқу бағдарламасына сәйкес оқу мақсаты |
5.1.2.16 жай бөлшектерді ортақ бөлімге келтіру; |
||||
|
Сабақ мақсаты |
Барлық оқушылар: Жай бөлшектің негізгі қасиеттерін қайталай отырып, жай бөлшектерді ең кіші ортақ бөлімге келтіруді үйрету, есептер шығарту |
||||
|
Оқушылардың басым бөлігі: Тақырыптың мазмұнын түсіну, оны өмірмен байланыстыруға , ой қорытындысын жазуға үйренеді |
|||||
|
Кейбір оқушылар: Тақырыпты меңгеру барысында әр түрлі ойын элементі бар есептерді шығару арқылы қабілеті мен бейімділігін дамыта түседі, ептілікке үйренеді |
|||||
|
Сабақтың барысы |
|||||
|
Сабақтың кезеңдері |
Жоспарланған жұмыс |
Ресурстар |
|||
|
Сабақтың басы(2-5 минут) |
(МК) . 1.Жай бөлшектің бөлімі мен алымы нені білдіреді? 2.Жай бөлшектің негізгі қасиетін ата. 3 . Бөлшекті қысқарту деген не? 4. Қандай бөлшек қысқартылмайтын бөлшек деп аталады? 5. Дұрыс және бұрыс бөлшектің анықтамасын бер. 6. Бұрыс бөлшектің анықтамасын бер. 7. Қандай санды аралас сан дейді? |
|
|||
|
Сабақтың ортасы (6-40 минут) |
(МК,Ұ) а) . 1-мысал. Бұл бөлшектердің ортақ бөлімі
болатын сан 5 пен 3 сандарына белінуі тиіс, яғни 5 пен 3 сандарының
ортак еселігі болып табылады. 5 пен 3 сандарының ортақ еселіктері
шексіз көп: 15, 30, 45 және т.с.с. Осы мүмкін бөлімдердің ең
кішісін ең кіші ортақ бөлім ретінде аламыз, яғни берілген
бөлшектердің ең кіші ортақ бөлімі олардың бөлімдерінің ең кіші
ортак еселігі болады. Сонымен берілген қысқармайтын
бөлшектердің - ең кіші ортац бөлімі сол бөлшектер бөлімдеріның ең кіші
ортақ еселігі болады. Демек, ЕКОЕ (5,3)=15. Онда Енді бөлшектердің бөлімдері 15
саны болуы үшін берілген бөлшектердің алымын да, бөлімін
де толықтауыш
көбейткіш деп аталатын санға
көбейтеміз.
Қорыта айтқанда, бөлшектерді ең кіші ортақ бөлімге келтіру үшін: 1) берілген бөлшектер бөлімдеріның ең кіші ортақ еселігін табамыз. Бұл ең кіші opmaқ бөлім болады; 2) бөлшектпердің әрқайсысы үшін толықтауыш көбейткішті табамыз; 3) әрбір бөлшектің алымы мен бөлімін оның толықтауыш көбейткішіне көбейтеміз. Сонда бөлімдері бірдей бөлшектер алынады. Екі белшекті ғана емес, үш, терт және т.с.с. бөлшектерді ең кіші ортақ бөлімге келтіруге болады. 2-м ы с а
л: ЕКОЕ (7, 4, 14)=28, толықтауыш
кебейткіштер: 28:7=4; 28:4=7; 28:14=2,
онда
белімге келтірілді. Егер аралас сандар берілсе, олардың бөлшек бөліктерін ең кіші opтaқ бөлімге келтіреміз. 3-мысал. Сонда
I тапсырмалар №459,460,461
1)
2)
3)
4)
5) II тапсырмалар
1)
2)
3)
4)
5) |
Оқулық №1Жұмыс дәптері |
|||
|
Сабақтың соңы( 36-40мин) |
(Қ) . Карточкамен жұмыс (Бөлшектерді қысқартып, ең кіші ортақ бөлімге келтіру) №1. №3 №2 №4
Үйге тапсырма: №462 Қорытындылау: Қандай сан берілген бөлшектерге ортақ бөлім бола алады? Толықтауыш көбейткіш деп қандай санды айтады? Толықтауыш көбейткіш қалай табылады ? Бөлшектерді ең кіші ортақ бөлімге қалай келтіреді |
|
|||
|
Қосымша ақпарат |
|||||
|
Қорытындылау |
Төмендегі бөлікті сабағыңыз туралы өз ойыңызды жазуға қолданыңыз.Өз сабағыңыз бойынша сол жақ бағандағы сұрақтарға жауап беріңіз. |
||||
|
1.Сабақ барысында өзгертулер енгіздіңіз бе? 2.Жүргізген жұмыс түрлері қаншалықты тиімді болды? |
|
||||
|
Қорытынды бағалау Ең жақсы өткен екі нәрсе? 1. 2. Қандай екі нәрсе сабақты жақсартар еді? 1. 2. |
|||||
шағым қалдыра аласыз

























