Қысқамерзімді жоспар
№9-сабақ
Сабақтың тақырыбы: Жазықтық теңдеуі
|
Бөлім: |
Кеңістіктегі тікбұрышты координаталар жүйесі және векторлар |
|
Педагогтің аты-жөні: |
|
|
Күні: |
|
|
Сыныбы: 10 |
Қатысушылар саны: Қатыспағандар саны: |
|
Сабақтың тақырыбы: |
|
|
Оқу бағдарламасына сәйкес оқу мақсаты |
10.4.19 - жазықтықтың жалпы теңдеуін (ax+by+cz+d=0) нормаль вектор n(a;b;c) және осы жазықтықтағы нүкте бойынша қорытып шығару. |
|
Сабақтың мақсаты: |
Бім алушылар бірлесіп, жазықтықтың жалпы теңдеуімен танысады. Білім алушылар жазықтықтың жалпы теңдеуін (ax+by+cz+d=0) нормаль вектор n(a;b;c) бойынша есептер шығарады. Білім алушылар жазықтықтың жалпы теңдеуін (ax+by+cz+d=0) нормаль вектор n(a;b;c) және осы жазықтықтағы нүкте бойынша қорытып шығарады. |
Сабақтың барысы:
|
Сабақ кезеңі/Уақыты |
Педагогтің іс-әрекеті |
Оқушының іс-әрекеті |
Бағалау |
Ресурстар |
|
|
Сабақтың басы Қызығушылықты ояту. 5 мин. |
(Ұ). Ұйымдастыру кезеңі: 1.Оқушылармен амандасу, түгендеу. 2.Ынтымақтастық атмосферасын қалыптастыру 1.Мұғалім оқушыларды түгендейді. 2.Амандасады және тілектерін білдіреді. |
1. Оқушылар сұрақтарға жауап беріп, өзара ұжымдық талқылау жасағаннан кейін мұғалім оқушыларға сабақтың тақырыбы, мақсатымен таныстырады. Мақсаты: Жылдам әрі функционалды түрде сыни ойлануды дамыту. Тиімділігі: оқушының танымдық дағдысы артады. Сонымен қатар оқушыға сабақтың өмірмен байланысын көрсетеді және сабақтың тақырыбы мен мақсатын анықтауға мүмкіндік береді. |
Оқушылардың белсенділігі үшін «Жарайсың!», «Керемет!» деген сақтау сөздерімен бағалайды. . |
Оқулық, жұмыс дәптері Кітап, дәптер, қалам суреттері бейнеленген қима қағаздар топтамасы ДК экраны |
|
|
Сабақтың басы Мағынаны ашу. 10мин. |
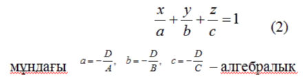
Оқулықтағы жаңа сабақтың мәтінін оқуға тапсырма береді Оқулықты оқып танысып шығады. Тірек сөздермен танысып, өз дәптерлеріне жазып алады. Жазықтық теңдеуі (x – xo) + B (y – yo) + C (z – zo) = 0, теңдеуі берілген М (xo,yo,zo) нүктесі және
шамалар. (2) теңдеу жазықтықтың кесіндідегі теңдеуі деп аталады. Жазықтықтың орналасуы: 1. D = 0, онда Ax + By + Cz = 0 жазықтығы координата басынан өтеді. 2. C = 0, онда Ax + By + D = 0 жазықтығы Oz осіне параллель. Дәл осылай Ax + Cz + D = 0 жазықтығы Oy осіне және By + Cz + D = 0 жазықтығы Ox осіне параллель болады. 3. С = 0 және D = 0, Ax + By = 0, Ax + Cz = 0, By + Cz = 0, сәйкес Oz, Oy, Ox осінен өтетін жазықтық теңдеуі. 4. В = С = 0, онда Ax + D = 0 жазықтығы yOz координаталық жазықтығына параллель. Сонымен қатар By + D = 0 және Cz + D = 0 жазақтықтары сәйкесінше xOz және хOy координаталық жазықтықтарына параллель. 5. B = C = D = 0, Ax = 0 немесе x = 0. yOz координаталық жазықтықтың теңдеуі. Дәл осылай Bсy = 0, Cz = 0 немесе y = 0, z = 0, сәйкесінше xOz және хOy координаталық жазықтықтарының теңдеуін береді.
|
Тақырыпқа байланысты интернет көздерін пайдаланып бөліп шығару мүшелерімен танысады. |
Слайд Кітап Кітап, дәптер, қалам суреттері бейнеленген қима қағаздар топтамасы ДК экраны |
||
|
Сабақтың ортасы 25 мин Бекіту тапсырмаларын орындау |
1- тапсырманы орындатады, бақылайды, мысал, үлгі көрсетеді. |
1-тапсырма Координаталық жазықтықтың теңдеуін жазады: а)Oxy; ә)Oxz; б)Oyz. |
Дескриптор: 1.Координаталық жазықтықтың теңдеуін жазады. 2. Жауабын анықтайды. Жалпы- 5 балл. |
ДК экраны 10-сынып оқулығы. Жұмыс дәптерлері. Слайд. |
|
|
|
2- тапсырманы орындатады, бақылайды, мысал, үлгі көрсетеді. |
2-тапсырма M(-1;2;1) нүктесі арқылы өтетін және n нормаль векторының координаталары берілген жазықтықтың теңдеуін жазады: а)(0;-5;2); ә)(6;-1;3); б)(-4;-2;-1); в)(-3;-8;0). |
Дескриптор: 1.Есептің мазмұнын түсінеді. 2.Жазықтықтың теңдеуін жазады. 3.Жауабын табады. Жалпы- 3 балл. |
ДК экраны 10-сынып оқулығы. Жұмыс дәптерлері. Слайд. |
|
|
|
|
Оқушылардың саба белсенді қатысуына қарай бағаланады Бағалаудың «сен мені, мен сені» әдісі бойынша бірін бірі бағалайдыққа |
Кітап, дәптер, қалам суреттері бейнеленген қима қағаздар топтамасы ДК экраны |
||
|
Сабақтың соңы Ой толғаныс. Рефлексия 5мин. |
«Білім поштасы» әдісі. Мұғалім сабақты оқушылардың пікірін анықтайды. Жинақталған деректердің құнды болуын қадағалайды. Саралау: Бұл кезеңде саралаудың «Қорытынды» тәсілі көрінеді. Үйге тапсырма: № есеп. |
Оқушылар бүгінгі сабақтың мақсатына жеткізетін тапсырмалар орындауына қарай, өз түсінгенін, пікірін, өз ойын айту арқылы сабаққа қорытынды жасайды. Хат толтырып, білім поштасына салады
|
оқушылардың сабаққа қатысу белсенділігі бойынша және сабақ кезеңдерінде жинаған баллдарының жалпы есебі ескеріліп 1-10 баллдық шкаламен бағаланады. |
ДК экраны 10сынып оқулығы. Жұмыс дәптерлері. Слайд. білім поштасы, хаттар |
|
жүктеу мүмкіндігіне ие боласыз
Бұл материал сайт қолданушысы жариялаған. Материалдың ішінде жазылған барлық ақпаратқа жауапкершілікті жариялаған қолданушы жауап береді. Ұстаз тілегі тек ақпаратты таратуға қолдау көрсетеді. Егер материал сіздің авторлық құқығыңызды бұзған болса немесе басқа да себептермен сайттан өшіру керек деп ойласаңыз осында жазыңыз
жазықтықтың жалпы теңдеуін (ax+by+cz+d=
жазықтықтың жалпы теңдеуін (ax+by+cz+d=
Қысқамерзімді жоспар
№9-сабақ
Сабақтың тақырыбы: Жазықтық теңдеуі
|
Бөлім: |
Кеңістіктегі тікбұрышты координаталар жүйесі және векторлар |
|
Педагогтің аты-жөні: |
|
|
Күні: |
|
|
Сыныбы: 10 |
Қатысушылар саны: Қатыспағандар саны: |
|
Сабақтың тақырыбы: |
|
|
Оқу бағдарламасына сәйкес оқу мақсаты |
10.4.19 - жазықтықтың жалпы теңдеуін (ax+by+cz+d=0) нормаль вектор n(a;b;c) және осы жазықтықтағы нүкте бойынша қорытып шығару. |
|
Сабақтың мақсаты: |
Бім алушылар бірлесіп, жазықтықтың жалпы теңдеуімен танысады. Білім алушылар жазықтықтың жалпы теңдеуін (ax+by+cz+d=0) нормаль вектор n(a;b;c) бойынша есептер шығарады. Білім алушылар жазықтықтың жалпы теңдеуін (ax+by+cz+d=0) нормаль вектор n(a;b;c) және осы жазықтықтағы нүкте бойынша қорытып шығарады. |
Сабақтың барысы:
|
Сабақ кезеңі/Уақыты |
Педагогтің іс-әрекеті |
Оқушының іс-әрекеті |
Бағалау |
Ресурстар |
|
|
Сабақтың басы Қызығушылықты ояту. 5 мин. |
(Ұ). Ұйымдастыру кезеңі: 1.Оқушылармен амандасу, түгендеу. 2.Ынтымақтастық атмосферасын қалыптастыру 1.Мұғалім оқушыларды түгендейді. 2.Амандасады және тілектерін білдіреді. |
1. Оқушылар сұрақтарға жауап беріп, өзара ұжымдық талқылау жасағаннан кейін мұғалім оқушыларға сабақтың тақырыбы, мақсатымен таныстырады. Мақсаты: Жылдам әрі функционалды түрде сыни ойлануды дамыту. Тиімділігі: оқушының танымдық дағдысы артады. Сонымен қатар оқушыға сабақтың өмірмен байланысын көрсетеді және сабақтың тақырыбы мен мақсатын анықтауға мүмкіндік береді. |
Оқушылардың белсенділігі үшін «Жарайсың!», «Керемет!» деген сақтау сөздерімен бағалайды. . |
Оқулық, жұмыс дәптері Кітап, дәптер, қалам суреттері бейнеленген қима қағаздар топтамасы ДК экраны |
|
|
Сабақтың басы Мағынаны ашу. 10мин. |
Оқулықтағы жаңа сабақтың мәтінін оқуға тапсырма береді Оқулықты оқып танысып шығады. Тірек сөздермен танысып, өз дәптерлеріне жазып алады. Жазықтық теңдеуі (x – xo) + B (y – yo) + C (z – zo) = 0, теңдеуі берілген М (xo,yo,zo) нүктесі және
шамалар. (2) теңдеу жазықтықтың кесіндідегі теңдеуі деп аталады. Жазықтықтың орналасуы: 1. D = 0, онда Ax + By + Cz = 0 жазықтығы координата басынан өтеді. 2. C = 0, онда Ax + By + D = 0 жазықтығы Oz осіне параллель. Дәл осылай Ax + Cz + D = 0 жазықтығы Oy осіне және By + Cz + D = 0 жазықтығы Ox осіне параллель болады. 3. С = 0 және D = 0, Ax + By = 0, Ax + Cz = 0, By + Cz = 0, сәйкес Oz, Oy, Ox осінен өтетін жазықтық теңдеуі. 4. В = С = 0, онда Ax + D = 0 жазықтығы yOz координаталық жазықтығына параллель. Сонымен қатар By + D = 0 және Cz + D = 0 жазақтықтары сәйкесінше xOz және хOy координаталық жазықтықтарына параллель. 5. B = C = D = 0, Ax = 0 немесе x = 0. yOz координаталық жазықтықтың теңдеуі. Дәл осылай Bсy = 0, Cz = 0 немесе y = 0, z = 0, сәйкесінше xOz және хOy координаталық жазықтықтарының теңдеуін береді.
|
Тақырыпқа байланысты интернет көздерін пайдаланып бөліп шығару мүшелерімен танысады. |
Слайд Кітап Кітап, дәптер, қалам суреттері бейнеленген қима қағаздар топтамасы ДК экраны |
||
|
Сабақтың ортасы 25 мин Бекіту тапсырмаларын орындау |
1- тапсырманы орындатады, бақылайды, мысал, үлгі көрсетеді. |
1-тапсырма Координаталық жазықтықтың теңдеуін жазады: а)Oxy; ә)Oxz; б)Oyz. |
Дескриптор: 1.Координаталық жазықтықтың теңдеуін жазады. 2. Жауабын анықтайды. Жалпы- 5 балл. |
ДК экраны 10-сынып оқулығы. Жұмыс дәптерлері. Слайд. |
|
|
|
2- тапсырманы орындатады, бақылайды, мысал, үлгі көрсетеді. |
2-тапсырма M(-1;2;1) нүктесі арқылы өтетін және n нормаль векторының координаталары берілген жазықтықтың теңдеуін жазады: а)(0;-5;2); ә)(6;-1;3); б)(-4;-2;-1); в)(-3;-8;0). |
Дескриптор: 1.Есептің мазмұнын түсінеді. 2.Жазықтықтың теңдеуін жазады. 3.Жауабын табады. Жалпы- 3 балл. |
ДК экраны 10-сынып оқулығы. Жұмыс дәптерлері. Слайд. |
|
|
|
|
Оқушылардың саба белсенді қатысуына қарай бағаланады Бағалаудың «сен мені, мен сені» әдісі бойынша бірін бірі бағалайдыққа |
Кітап, дәптер, қалам суреттері бейнеленген қима қағаздар топтамасы ДК экраны |
||
|
Сабақтың соңы Ой толғаныс. Рефлексия 5мин. |
«Білім поштасы» әдісі. Мұғалім сабақты оқушылардың пікірін анықтайды. Жинақталған деректердің құнды болуын қадағалайды. Саралау: Бұл кезеңде саралаудың «Қорытынды» тәсілі көрінеді. Үйге тапсырма: № есеп. |
Оқушылар бүгінгі сабақтың мақсатына жеткізетін тапсырмалар орындауына қарай, өз түсінгенін, пікірін, өз ойын айту арқылы сабаққа қорытынды жасайды. Хат толтырып, білім поштасына салады
|
оқушылардың сабаққа қатысу белсенділігі бойынша және сабақ кезеңдерінде жинаған баллдарының жалпы есебі ескеріліп 1-10 баллдық шкаламен бағаланады. |
ДК экраны 10сынып оқулығы. Жұмыс дәптерлері. Слайд. білім поштасы, хаттар |
|
шағым қалдыра аласыз

















