8 сынып
|
ҰМЖ Термодинамика негіздері Мектеп: Привольное орта мектебі КММ |
|||||||||||||||||||||||||||||||||
|
Мұғалімнің аты-жөні: Самат Еркежан |
Сынып: 8 |
Күні: 26.11.2020 |
|||||||||||||||||||||||||||||||
|
Қатысқандар саны: |
Қатыспағандар саны: |
|
|||||||||||||||||||||||||||||||
|
Сабақ тақырыбы: |
Жылу қозғалтқыштарының ПӘК-і. П/ж № 10 «Жылулық тепе-теңдік орныққандағы энергияның сақталу заңын зерттеу» |
||||||||||||||||||||||||||||||||
|
Осы сабақта қол жеткізілетін оқу мақсаттары (оқу бағдарламасына сілтеме) |
8.3.2.19 – жылу қозғалтқыштарының пайдалы әрекет коэффициентін анықтау; 8.3.2.21 – жылу қозғалтқыштарын жақсарту жолдарын ұсыну |
||||||||||||||||||||||||||||||||
|
Сабақ мақсаты |
|
||||||||||||||||||||||||||||||||
|
Бағалау критерийлері |
|
||||||||||||||||||||||||||||||||
|
Тілдік мақсат
|
Пәнге тән лексика мен терминология:
Диалог пен жазу үшін пайдалы сөздер мен тіркестер: Жылу қозғалтқыштары ... Жылу машиналары ... Жылу қозғалтқышы жұмыс атқаруы үшін ... Жылу қозғалтқышының ПӘК-і ... |
||||||||||||||||||||||||||||||||
|
Құндылықтарды дарыту |
Бұл сабақ оқушылардың белсенділігін арттыруға,сыни ойлау дағдысын дамытуға және коммуникативтік дағдысын жетілдіруге бағытталған. |
||||||||||||||||||||||||||||||||
|
Пәнаралық байланыстар |
Математика: сызықтық және кері тәуелділік, геометрия: график астындағы аудан арқылы термодинамикадығы жұмысты анықтау, процестерді сипаттау |
||||||||||||||||||||||||||||||||
|
Бастапқы білім
|
Алдыңғы сабақта оқушылар термодинамиканың бірінші және екінші заңымен танысты және сол теориялардың негізінде мәңгі қозғалтқыш жасау мүмкін емес деген қорытынды жасады. |
||||||||||||||||||||||||||||||||
|
Сабақ барысы |
|||||||||||||||||||||||||||||||||
|
Сабақтың жоспарланған кезеңдері |
Сабақтағы жоспарланған іс-әрекет |
Ресурстар |
|||||||||||||||||||||||||||||||
|
Сабақтың басы 1-7 минут
7-10 мин 10-12 мин |
1.Ұйымдастыру.Өткен тақырыпты қайталау мақсатына оқушыларға кестені толтыру ұсынылады Бос торкөздерді толтыр (жеке жұмыс)
Өздік бағалау жүргізіледі, дайын жауаптармен әркім өз жұмысын өзі тексереді. 2. Ой қозғау «Жылу қозғалтқыштарының ПӘК-ін арттыру жолдары бар ма?» 3. Мақсатты болжау.Сабақ мақсаты оқушылармен талқыланады. -жылу қозғалтқыштарының пайдалы әрекет коэффициентін анықтау -жылу қозғалтқыштарын жақсарту жолдарын ұсыну |
http://files.school-collection.edu.ru/dlrstore/f53a2095-f74b-4ff4-ac6f-361d4344a481/8_74.swf
https://www.youtube.com/watch?v=FuqupUgremY
|
|||||||||||||||||||||||||||||||
|
12-22 минут
22-35 мин
|
4. Түсіндіру. Карно циклі туралы бейне материалмен танысып, оқушылар талдау жасайды. Оқушыладың ойын тыңдаған соң мұғалім кері байланыс жасай отырып, Карно циклін түсіндіреді.
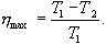
Карно циклi. Жұмыс атқарушы дене қыздырғыштан Q1 жылу мөлшерiн алады да, тоңазытқышқа Q2 жылу мөлшерiн бередi, ал (Q1 – Q2) айырымын Aп жұмысқа айналдырады. Жұмыс атқарушы дене ұлғайған кезде өзiнiң барлық iшкi энергиясын жұмыс жасауға берiп жiбере алмайды. Жылудың едәуiр бөлiгi мiндеттi түрде жұмысын атқарған газбен бiрге тоңазытқышқа берiледi. Iшкi энергияның бұл бөлiгi қайтарылмай, бiржола жоғалады. Идеал жылу машинасы, оның ПӘК-і
Карно машинасындағы жұмыс атқарушы дене, өз күйiнiң өзгеру циклiн периодты түрде қайталап тұратын, идеалды газ болып табылады. Бұл цикл Карно циклi деген атақ алды, осыған ұқсас процесстер айналмалы немесе циклдік процесстер деп аталады. Карно машинасында үйкелiске және қоршаған ортамен жылу алмасуға кеткен энергиялардың шығындары ескерiлмейдi, сондықтан бұл машинаны Карноның идеалды жылу машинасы деп атайды. Карно циклі туралы бейне материалмен танысып, талдауhttps://www.youtube.com/watch?v=FuqupUgremY 5. Сабақты бекіту.Сабақты бекіту үшін оқушыларға өздік жұмыс беріледі.
А. 4м3 В. 1м3 С. 3м3 D. 2м3
А. 0 В. 400дж С. 600Дж D. 1000Дж
A) ≈ 63 Дж B) ≈ 630 кДж C) ≈ 6300 кДж D) ≈ 0,63 кДж E) ≈ 6300 Дж
A) 50 %, 300° С B) 35 %, 52°С C) 65 %, 300°С D) 40 %, 127°С E) 45 %, 167°С
Оқушылар тест жауаптарын қолданып, өзара бағалау жүргізеді. Оқушылар бір- бірімен тапсырманы қалай орындағаны туралы пікір алмасады.Ең қиын деген тапсырманы мұғалім көмегімен талдайды. |
||||||||||||||||||||||||||||||||
|
35-40 минут |
6. Рефлексия Мұғалім тапсырманың орындалу деңгейін талқылай отырып, сабақ мақсатына оралады. Келесі сабақты жоспарлау үшін оқушыларға сұрақтар қойылады: - нені білдім, нені үйрендім - нені толық түсінбедім - немен жұмысты жалғастыру қажет. 7. Үйге тапсырма:
|
|
|||||||||||||||||||||||||||||||
|
Саралау – оқушыларға қалай көбірек қолдау көрсетуді жоспарлайсыз? Қабілеті жоғары оқушыларға қандай міндет қоюды жоспарлап отырсыз? |
Бағалау – оқушылардың материалды меңгеру деңгейін қалай тексеруді жоспарлайсыз? |
Денсаулық және қауіпсіздік
техникасының сақталуы |
|||||||||||||||||||||||||||||||
|
Қабілетті оқушылар тест тапсырмаларын талдауға қатысады, олар орташа қабілетті оқушыларға есептің шығару жолын түсіндіреді. |
Оқушылар тест тапсырмаларды орындай отырып өзара бағалау және кестені толтыруда өздік бағалау жүргізеді
|
Денсаулық сақтау |
|||||||||||||||||||||||||||||||
|
Сабақ бойынша рефлексия
Сабақ мақсаттары/оқу мақсаттары дұрыс қойылған ба? Оқушылардың барлығы ОМ қол жеткізді ме? Жеткізбесе, неліктен? Сабақта саралау дұрыс жүргізілді ме? Сабақтың уақыттық кезеңдері сақталды ма? Сабақ жоспарынан қандай ауытқулар болды, неліктен? |
Бұл бөлімді сабақ туралы өз пікіріңізді білдіру үшін пайдаланыңыз. Өз сабағыңыз туралы сол жақ бағанда берілген сұрақтарға жауап беріңіз. |
||||||||||||||||||||||||||||||||
|
|
|||||||||||||||||||||||||||||||||
|
Жалпы баға Сабақтың жақсы өткен екі аспектісі (оқыту туралы да, оқу туралы да ойланыңыз)? 1: 2: Сабақты жақсартуға не ықпал ете алады (оқыту туралы да, оқу туралы да ойланыңыз)? 1: 2: Сабақ барысында сынып туралы немесе жекелеген оқушылардың жетістік/қиындықтары туралы нені білдім, келесі сабақтарда неге көңіл бөлу қажет?
|
|||||||||||||||||||||||||||||||||
жүктеу мүмкіндігіне ие боласыз
Бұл материал сайт қолданушысы жариялаған. Материалдың ішінде жазылған барлық ақпаратқа жауапкершілікті жариялаған қолданушы жауап береді. Ұстаз тілегі тек ақпаратты таратуға қолдау көрсетеді. Егер материал сіздің авторлық құқығыңызды бұзған болса немесе басқа да себептермен сайттан өшіру керек деп ойласаңыз осында жазыңыз
Жылу қозғалтқыштарының ПӘК-і. П/ж № 10 «Жылулық тепе-теңдік орныққандағы энергияның сақталу заңын зерттеу»
8 сынып
|
ҰМЖ Термодинамика негіздері Мектеп: Привольное орта мектебі КММ |
|||||||||||||||||||||||||||||||||
|
Мұғалімнің аты-жөні: Самат Еркежан |
Сынып: 8 |
Күні: 26.11.2020 |
|||||||||||||||||||||||||||||||
|
Қатысқандар саны: |
Қатыспағандар саны: |
|
|||||||||||||||||||||||||||||||
|
Сабақ тақырыбы: |
Жылу қозғалтқыштарының ПӘК-і. П/ж № 10 «Жылулық тепе-теңдік орныққандағы энергияның сақталу заңын зерттеу» |
||||||||||||||||||||||||||||||||
|
Осы сабақта қол жеткізілетін оқу мақсаттары (оқу бағдарламасына сілтеме) |
8.3.2.19 – жылу қозғалтқыштарының пайдалы әрекет коэффициентін анықтау; 8.3.2.21 – жылу қозғалтқыштарын жақсарту жолдарын ұсыну |
||||||||||||||||||||||||||||||||
|
Сабақ мақсаты |
|
||||||||||||||||||||||||||||||||
|
Бағалау критерийлері |
|
||||||||||||||||||||||||||||||||
|
Тілдік мақсат
|
Пәнге тән лексика мен терминология:
Диалог пен жазу үшін пайдалы сөздер мен тіркестер: Жылу қозғалтқыштары ... Жылу машиналары ... Жылу қозғалтқышы жұмыс атқаруы үшін ... Жылу қозғалтқышының ПӘК-і ... |
||||||||||||||||||||||||||||||||
|
Құндылықтарды дарыту |
Бұл сабақ оқушылардың белсенділігін арттыруға,сыни ойлау дағдысын дамытуға және коммуникативтік дағдысын жетілдіруге бағытталған. |
||||||||||||||||||||||||||||||||
|
Пәнаралық байланыстар |
Математика: сызықтық және кері тәуелділік, геометрия: график астындағы аудан арқылы термодинамикадығы жұмысты анықтау, процестерді сипаттау |
||||||||||||||||||||||||||||||||
|
Бастапқы білім
|
Алдыңғы сабақта оқушылар термодинамиканың бірінші және екінші заңымен танысты және сол теориялардың негізінде мәңгі қозғалтқыш жасау мүмкін емес деген қорытынды жасады. |
||||||||||||||||||||||||||||||||
|
Сабақ барысы |
|||||||||||||||||||||||||||||||||
|
Сабақтың жоспарланған кезеңдері |
Сабақтағы жоспарланған іс-әрекет |
Ресурстар |
|||||||||||||||||||||||||||||||
|
Сабақтың басы 1-7 минут
7-10 мин 10-12 мин |
1.Ұйымдастыру.Өткен тақырыпты қайталау мақсатына оқушыларға кестені толтыру ұсынылады Бос торкөздерді толтыр (жеке жұмыс)
Өздік бағалау жүргізіледі, дайын жауаптармен әркім өз жұмысын өзі тексереді. 2. Ой қозғау «Жылу қозғалтқыштарының ПӘК-ін арттыру жолдары бар ма?» 3. Мақсатты болжау.Сабақ мақсаты оқушылармен талқыланады. -жылу қозғалтқыштарының пайдалы әрекет коэффициентін анықтау -жылу қозғалтқыштарын жақсарту жолдарын ұсыну |
http://files.school-collection.edu.ru/dlrstore/f53a2095-f74b-4ff4-ac6f-361d4344a481/8_74.swf
https://www.youtube.com/watch?v=FuqupUgremY
|
|||||||||||||||||||||||||||||||
|
12-22 минут
22-35 мин
|
4. Түсіндіру. Карно циклі туралы бейне материалмен танысып, оқушылар талдау жасайды. Оқушыладың ойын тыңдаған соң мұғалім кері байланыс жасай отырып, Карно циклін түсіндіреді.
Карно циклi. Жұмыс атқарушы дене қыздырғыштан Q1 жылу мөлшерiн алады да, тоңазытқышқа Q2 жылу мөлшерiн бередi, ал (Q1 – Q2) айырымын Aп жұмысқа айналдырады. Жұмыс атқарушы дене ұлғайған кезде өзiнiң барлық iшкi энергиясын жұмыс жасауға берiп жiбере алмайды. Жылудың едәуiр бөлiгi мiндеттi түрде жұмысын атқарған газбен бiрге тоңазытқышқа берiледi. Iшкi энергияның бұл бөлiгi қайтарылмай, бiржола жоғалады. Идеал жылу машинасы, оның ПӘК-і
Карно машинасындағы жұмыс атқарушы дене, өз күйiнiң өзгеру циклiн периодты түрде қайталап тұратын, идеалды газ болып табылады. Бұл цикл Карно циклi деген атақ алды, осыған ұқсас процесстер айналмалы немесе циклдік процесстер деп аталады. Карно машинасында үйкелiске және қоршаған ортамен жылу алмасуға кеткен энергиялардың шығындары ескерiлмейдi, сондықтан бұл машинаны Карноның идеалды жылу машинасы деп атайды. Карно циклі туралы бейне материалмен танысып, талдауhttps://www.youtube.com/watch?v=FuqupUgremY 5. Сабақты бекіту.Сабақты бекіту үшін оқушыларға өздік жұмыс беріледі.
А. 4м3 В. 1м3 С. 3м3 D. 2м3
А. 0 В. 400дж С. 600Дж D. 1000Дж
A) ≈ 63 Дж B) ≈ 630 кДж C) ≈ 6300 кДж D) ≈ 0,63 кДж E) ≈ 6300 Дж
A) 50 %, 300° С B) 35 %, 52°С C) 65 %, 300°С D) 40 %, 127°С E) 45 %, 167°С
Оқушылар тест жауаптарын қолданып, өзара бағалау жүргізеді. Оқушылар бір- бірімен тапсырманы қалай орындағаны туралы пікір алмасады.Ең қиын деген тапсырманы мұғалім көмегімен талдайды. |
||||||||||||||||||||||||||||||||
|
35-40 минут |
6. Рефлексия Мұғалім тапсырманың орындалу деңгейін талқылай отырып, сабақ мақсатына оралады. Келесі сабақты жоспарлау үшін оқушыларға сұрақтар қойылады: - нені білдім, нені үйрендім - нені толық түсінбедім - немен жұмысты жалғастыру қажет. 7. Үйге тапсырма:
|
|
|||||||||||||||||||||||||||||||
|
Саралау – оқушыларға қалай көбірек қолдау көрсетуді жоспарлайсыз? Қабілеті жоғары оқушыларға қандай міндет қоюды жоспарлап отырсыз? |
Бағалау – оқушылардың материалды меңгеру деңгейін қалай тексеруді жоспарлайсыз? |
Денсаулық және қауіпсіздік
техникасының сақталуы |
|||||||||||||||||||||||||||||||
|
Қабілетті оқушылар тест тапсырмаларын талдауға қатысады, олар орташа қабілетті оқушыларға есептің шығару жолын түсіндіреді. |
Оқушылар тест тапсырмаларды орындай отырып өзара бағалау және кестені толтыруда өздік бағалау жүргізеді
|
Денсаулық сақтау |
|||||||||||||||||||||||||||||||
|
Сабақ бойынша рефлексия
Сабақ мақсаттары/оқу мақсаттары дұрыс қойылған ба? Оқушылардың барлығы ОМ қол жеткізді ме? Жеткізбесе, неліктен? Сабақта саралау дұрыс жүргізілді ме? Сабақтың уақыттық кезеңдері сақталды ма? Сабақ жоспарынан қандай ауытқулар болды, неліктен? |
Бұл бөлімді сабақ туралы өз пікіріңізді білдіру үшін пайдаланыңыз. Өз сабағыңыз туралы сол жақ бағанда берілген сұрақтарға жауап беріңіз. |
||||||||||||||||||||||||||||||||
|
|
|||||||||||||||||||||||||||||||||
|
Жалпы баға Сабақтың жақсы өткен екі аспектісі (оқыту туралы да, оқу туралы да ойланыңыз)? 1: 2: Сабақты жақсартуға не ықпал ете алады (оқыту туралы да, оқу туралы да ойланыңыз)? 1: 2: Сабақ барысында сынып туралы немесе жекелеген оқушылардың жетістік/қиындықтары туралы нені білдім, келесі сабақтарда неге көңіл бөлу қажет?
|
|||||||||||||||||||||||||||||||||
шағым қалдыра аласыз
















