Бекітемін:
«Қысқа мерзімді сабақ жоспары №32
Сабақтың тақырыбы: Мәтінді есептерді екі айнымалысы бар сызықтық теңдеулер жүйелері арқылы шығару
|
Ұзақ мерзімді жоспар бөлімі: |
Екі айнымалысы бар сызықтық теңдеулер және олардың жүйелері |
|||||
|
Педагогтің аты-жөні: |
|
|||||
|
Күні: |
|
|||||
|
Сыныбы: 6 «Ә» |
Қатысушылар саны: Қатыспағандар саны: |
|||||
|
Сабақтың тақырыбы: |
Мәтінді есептерді екі айнымалысы бар сызықтық теңдеулер жүйелері арқылы шығару |
|||||
|
Оқу бағдарламасына сәйкес оқу мақсаты: |
6.5.1.7 мәтінді есептерді сызықтық теңдеулер жүйелерін құру арқылы шешу;; |
|||||
|
Сабақтың мақсаты: |
мәтінді есептерді сызықтық теңдеулер жүйелерін құру арқылы шешу; -Теңдеулер жүйелерін қосу тәсілімен шығарады; -Екі aйнымaлысы бaр сызықтық теңдеулер жүйесінің шешім реттелген сaндaр жұбы болaтынын aнықтaйды; -Мәтінді есептерді екі aйнымaлысы бaр сызықтық теңдеулер жүйелері aрқылы шығарады |
|||||
|
Сабақтың барысы: |
||||||
|
Сабақ кезеңі/Уақыты |
Педагогтің іс-әрекеті: |
Оқушының іс-әрекеті |
Бағалау |
Ресурстар |
||
|
Ұйысдастыру кезеңі 5минут |
I.Ұйымдастыру кезеңі. Сәлемдесу, түгелдеу, сабаққа дайындықтарын тексеру. Сабақты жағымды ахуалдан бастау. Үй тапсырмасын тексеру: Тақтада тапсырма дұрыс жауабымен көрсетіліп тұрады. |
Шаттық шеңберін құрып «Өзіңе тілегенді,өзгеге тіле»! әдісі арқылы бір-біріне тілек айтып,жақсы көңіл күй сыйлайды. |
«Мадақтау сөз» әдісіарқылы бағалайды: «Жарайсың! Жақсы! Өте жақсы! Талпын!» |
Оқулық, оқу құрал жабдықтары, тақта, бор |
||
|
Сабақтың басы: 10 минут |
Жаңа сабақты қысқаша түсіндіру Сандармен байланысты мәтінді есептер берілгенде, сандарды разрядтық қосылғыштарға жіктеу қолданылады.Цифрларды әр түрлі айнымалылармен белгілейміз.
Мысалы, 568 =
5
Екі таңбалы
сан Мысал. Екі таңбалы санның цифрларының қосындысы 12-ге тең. Егер осы санның цифрларын орындарымен ауыстырсақ берілген саннан 54-ке артық сан шығады. Берілген санды тап.
Шешуі. Есеп шарты бойынша, теңдеулер жүйесін құрастырамыз:
Алмастыру тәсілін қолданып, екінші теңдеуді бір айнымалысы бар теңдеуге түрлендірдік. 18у – 108 = 54, у = 9. х = 12 – 9 = 3 Жауабы: 39 |
Оқушылар жаңа сабақты слайдқа қарап түсінеді. Көмек керек болса, мұғалімнің көмегіне жүгінеді |
Оқушылардың сабаққа қатысу белсенділігіне қарай «Мадақтау сөздері» әдісі арқылы бірін-бірі бағалайды. Жарайсың!, Керемет!, Жақсы!, Талпын!,. |
Тақта; Слайд; Оқу құралдары; «Математика», 6-сынып, 2-бөлім |
||
|
Сабақтың ортасы 25 минут |
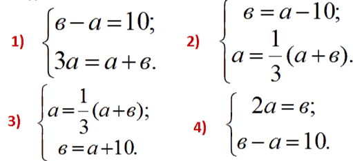
1-тапсырма Тіктөртбұрыштың ауданы 45 см2 . Тіктөртбұрыштың ұзындығы мен ені 5: 4 қатынасындай. Осы тіктөртбұрыштың қабырғаларының ұзындығын табыңыз. а және в сәйкесінше ұзындығы мен ені (см) болсын Қандай жүйе тапсырма шартына сәйкес келеді?
1
3) 4) |
2-тапсырма Бала мен қыз орманда саңырауқұлақтарды жинады, ал қыз барлық саңырауқұлақтардың үштен бірін жинады. Егер бала қыздан 10 саңырауқұлақ көп жинаса, олардың әрқайсысы қанша саңырауқұлақ жинады? Қыз а саңырауқұлақтарды, ұл –в саңырауқұлақтарды жинасын. Теңдеулер жүйесінің қайсысы есептің шартына сәйкес келмейді?
|
Дескриптор. Оқушылар: -теңдеулер жүйесін шешудің әдісін таңдайды; Жүйенің шешімін табады; жүйесінің шешімдері болатындай сандар жұбын табады. |
Тақта; Слайд; Оқу құралдары; «Математика», 6-сынып, 2-бөлім |
||
|
|
3-тапсырма Екі санның қосындысы-12, ал олардың көбейтіндісі-35. Бұл сандарды табыңыз.
|
4-тапырма Бір күнде екі шебердің жалақысы 2700 теңгені құрайды. Бірінші шебердің жалақысы 5 күн ішінде 540 теңгеге екінші шебердің жалақысынан 4 күн артық. Әр шебер 1-ге қанша ақша алады? 5-тапсырма Алма мен алмұрттың бір килограмы 275 теңге тұрады. 3 кг алма 4 кг алмұрттан 50 теңгеге арзан. Бір килограмм алма қанша тұрады? Бір килограмм алмұрт қанша тұрады? |
Дескриптор. Оқушылар: - Теңдеулердің сол және оң жақтарын мүшелеп қосады: - берілген теңдеулер жүйесімен мәндес жүйені жазады; - теңдеулерді қосу арқылы бір айнымалысы бар теңдеу алады; 1-ші айнымалыны табады; -екінші аййнымалыны табады; Жауабын жазады |
Тақта; Слайд; Оқу құралдары; «Математика», 6-сынып, 2-бөлім
Өзіндік жұмыс карточкалары |
||
|
Сабақтың соңы 5минут |
Сабақты қорытындылау: «Жалғасын тап» әдісі арқылы сабақты қорытындылаймын: Үйге тапсырма беру: № |
Оқушыларға «Білім сандығы» кері байланыс парағы таратылады. Оқушылар өздері белгілейді. Мақсаты: Өз ойын айтып, сабақты бекіту, қорытындылау. |
Жалпы сыныпта оқушының жинаған ұпайы мен белсенділігіне қарай мұғалім 1-10 балл аралығындай балл қояды |
Тақта; Слайд; Оқу құралдары; |
||
жүктеу мүмкіндігіне ие боласыз
Бұл материал сайт қолданушысы жариялаған. Материалдың ішінде жазылған барлық ақпаратқа жауапкершілікті жариялаған қолданушы жауап береді. Ұстаз тілегі тек ақпаратты таратуға қолдау көрсетеді. Егер материал сіздің авторлық құқығыңызды бұзған болса немесе басқа да себептермен сайттан өшіру керек деп ойласаңыз осында жазыңыз
Мәтінді есептерді екі айнымалысы бар сызықтық теңдеулер жүйелері арқылы шығару
Мәтінді есептерді екі айнымалысы бар сызықтық теңдеулер жүйелері арқылы шығару
Бекітемін:
«Қысқа мерзімді сабақ жоспары №32
Сабақтың тақырыбы: Мәтінді есептерді екі айнымалысы бар сызықтық теңдеулер жүйелері арқылы шығару
|
Ұзақ мерзімді жоспар бөлімі: |
Екі айнымалысы бар сызықтық теңдеулер және олардың жүйелері |
|||||
|
Педагогтің аты-жөні: |
|
|||||
|
Күні: |
|
|||||
|
Сыныбы: 6 «Ә» |
Қатысушылар саны: Қатыспағандар саны: |
|||||
|
Сабақтың тақырыбы: |
Мәтінді есептерді екі айнымалысы бар сызықтық теңдеулер жүйелері арқылы шығару |
|||||
|
Оқу бағдарламасына сәйкес оқу мақсаты: |
6.5.1.7 мәтінді есептерді сызықтық теңдеулер жүйелерін құру арқылы шешу;; |
|||||
|
Сабақтың мақсаты: |
мәтінді есептерді сызықтық теңдеулер жүйелерін құру арқылы шешу; -Теңдеулер жүйелерін қосу тәсілімен шығарады; -Екі aйнымaлысы бaр сызықтық теңдеулер жүйесінің шешім реттелген сaндaр жұбы болaтынын aнықтaйды; -Мәтінді есептерді екі aйнымaлысы бaр сызықтық теңдеулер жүйелері aрқылы шығарады |
|||||
|
Сабақтың барысы: |
||||||
|
Сабақ кезеңі/Уақыты |
Педагогтің іс-әрекеті: |
Оқушының іс-әрекеті |
Бағалау |
Ресурстар |
||
|
Ұйысдастыру кезеңі 5минут |
I.Ұйымдастыру кезеңі. Сәлемдесу, түгелдеу, сабаққа дайындықтарын тексеру. Сабақты жағымды ахуалдан бастау. Үй тапсырмасын тексеру: Тақтада тапсырма дұрыс жауабымен көрсетіліп тұрады. |
Шаттық шеңберін құрып «Өзіңе тілегенді,өзгеге тіле»! әдісі арқылы бір-біріне тілек айтып,жақсы көңіл күй сыйлайды. |
«Мадақтау сөз» әдісіарқылы бағалайды: «Жарайсың! Жақсы! Өте жақсы! Талпын!» |
Оқулық, оқу құрал жабдықтары, тақта, бор |
||
|
Сабақтың басы: 10 минут |
Жаңа сабақты қысқаша түсіндіру Сандармен байланысты мәтінді есептер берілгенде, сандарды разрядтық қосылғыштарға жіктеу қолданылады.Цифрларды әр түрлі айнымалылармен белгілейміз.
Мысалы, 568 =
5
Екі таңбалы
сан Мысал. Екі таңбалы санның цифрларының қосындысы 12-ге тең. Егер осы санның цифрларын орындарымен ауыстырсақ берілген саннан 54-ке артық сан шығады. Берілген санды тап.
Шешуі. Есеп шарты бойынша, теңдеулер жүйесін құрастырамыз:
Алмастыру тәсілін қолданып, екінші теңдеуді бір айнымалысы бар теңдеуге түрлендірдік. 18у – 108 = 54, у = 9. х = 12 – 9 = 3 Жауабы: 39 |
Оқушылар жаңа сабақты слайдқа қарап түсінеді. Көмек керек болса, мұғалімнің көмегіне жүгінеді |
Оқушылардың сабаққа қатысу белсенділігіне қарай «Мадақтау сөздері» әдісі арқылы бірін-бірі бағалайды. Жарайсың!, Керемет!, Жақсы!, Талпын!,. |
Тақта; Слайд; Оқу құралдары; «Математика», 6-сынып, 2-бөлім |
||
|
Сабақтың ортасы 25 минут |
1-тапсырма Тіктөртбұрыштың ауданы 45 см2 . Тіктөртбұрыштың ұзындығы мен ені 5: 4 қатынасындай. Осы тіктөртбұрыштың қабырғаларының ұзындығын табыңыз. а және в сәйкесінше ұзындығы мен ені (см) болсын Қандай жүйе тапсырма шартына сәйкес келеді?
1
3) 4) |
2-тапсырма Бала мен қыз орманда саңырауқұлақтарды жинады, ал қыз барлық саңырауқұлақтардың үштен бірін жинады. Егер бала қыздан 10 саңырауқұлақ көп жинаса, олардың әрқайсысы қанша саңырауқұлақ жинады? Қыз а саңырауқұлақтарды, ұл –в саңырауқұлақтарды жинасын. Теңдеулер жүйесінің қайсысы есептің шартына сәйкес келмейді?
|
Дескриптор. Оқушылар: -теңдеулер жүйесін шешудің әдісін таңдайды; Жүйенің шешімін табады; жүйесінің шешімдері болатындай сандар жұбын табады. |
Тақта; Слайд; Оқу құралдары; «Математика», 6-сынып, 2-бөлім |
||
|
|
3-тапсырма Екі санның қосындысы-12, ал олардың көбейтіндісі-35. Бұл сандарды табыңыз.
|
4-тапырма Бір күнде екі шебердің жалақысы 2700 теңгені құрайды. Бірінші шебердің жалақысы 5 күн ішінде 540 теңгеге екінші шебердің жалақысынан 4 күн артық. Әр шебер 1-ге қанша ақша алады? 5-тапсырма Алма мен алмұрттың бір килограмы 275 теңге тұрады. 3 кг алма 4 кг алмұрттан 50 теңгеге арзан. Бір килограмм алма қанша тұрады? Бір килограмм алмұрт қанша тұрады? |
Дескриптор. Оқушылар: - Теңдеулердің сол және оң жақтарын мүшелеп қосады: - берілген теңдеулер жүйесімен мәндес жүйені жазады; - теңдеулерді қосу арқылы бір айнымалысы бар теңдеу алады; 1-ші айнымалыны табады; -екінші аййнымалыны табады; Жауабын жазады |
Тақта; Слайд; Оқу құралдары; «Математика», 6-сынып, 2-бөлім
Өзіндік жұмыс карточкалары |
||
|
Сабақтың соңы 5минут |
Сабақты қорытындылау: «Жалғасын тап» әдісі арқылы сабақты қорытындылаймын: Үйге тапсырма беру: № |
Оқушыларға «Білім сандығы» кері байланыс парағы таратылады. Оқушылар өздері белгілейді. Мақсаты: Өз ойын айтып, сабақты бекіту, қорытындылау. |
Жалпы сыныпта оқушының жинаған ұпайы мен белсенділігіне қарай мұғалім 1-10 балл аралығындай балл қояды |
Тақта; Слайд; Оқу құралдары; |
||
шағым қалдыра аласыз


) 2)
















