Сабақ тақырыбы: Бірнеше айнамалысы бар көпмүшелер және олардың стандарт түрі.
Біртекті және симметриялы көпмүшелер.
Тема: Многочлены с несколькими переменными и их
стандартный вид. Однородные и симметрические многочлены.
Наименование дисциплины: математика
Подготовил педагог: Байтугулова Айслу Оразовна
«____»_________ 2025 года
Курс 1 Группа ______
Сабақ түрі: Тип занятия: Лекция.
Үйрену мақсаттары: Цели обучения:
знают определение многочлена с одной переменной и приводят его к стандартному виду;
знают определение многочлена с несколькими переменными и приводят его к стандартному виду;
знают определение симметрических и однородных многочленов;
Сабақ мақсаты: Задачи урока:
-
находят старший коэффициент, степень, свободный член многочлена с одной переменной
-
знают общий канонический вид многочлена с одной переменной;
-
определяют степень многочлена стандартного вида;
-
умеют распознавать симметрические и однородные многочлены.
-
умеют применять способы при разложении многочлена от двух переменных;
-
умеют решать симметрическую систему двух уравнений с двумя переменными.
Пәнаралық байланыс: Межпредметные связи: Геометрия
Көрнекі құралдар, жабдықтар, үлестірме қағаздар
Наглядные пособия, оборудование, раздаточный материал: Карточки
Оборудование: компьютер, проектор, экран, интерактивная доска, карточки с заданиями “Разложить на множители”, “Решить уравнения”.
Форма организации учебной деятельности: Индивидуальная, фронтальная, групповая, самопроверка.
Сабақ барысы – Ход урока
1. Ұйымдастыру кезеңі: Организационная часть: 2 мин
Приветствие. Отметка отсутствующих. Проверка готовности студентов к уроку.
Давайте поприветствуют друг друга. Выполним упражнение на воспитание уверенности в себе и взаимоуважению.
«Круг радости».
Цель: Создание благоприятного психологического климата
Организация: Участники становятся в круг

2. Өткен тақырыпты қайталау: Актуализация знаний
Отгадайте ребус
(многочлен)
Совместно со студентами определяем цели урока и ожидаемые результаты.
Устная работа:
1) Как называются такие выражения?
Например:
; 6
+ 
2) Перечислите слагаемые, как они называются?
3) Назовите коэффициент при старшем члене многочлена.
4) Назовите свободный член многочлена.
5) Чему равна степень многочлена
6)
Как вы думаете,
данное выражение является
многочленом?
(ответ: нет). Итак, многочлен от одной переменой
имеет вид:


3. Жаңа тақырыпты зерделеу: Изучение нового материала
И так, сегодня на уроке вам предстоит узнать, что такое многочлен от нескольких переменных, и приводить его к стандартному виду; определять степень многочлена стандартного вида;
уметь распознавать симметрические и однородные многочлены;
Поэтому эпиграф нашего сегодняшнего урока звучит так:
«Давайте понимать друг друга с полуслова,
Чтоб, ошибившись раз, не ошибиться снова.»
Булат Окуджава.
Многие из вас могут задать вопрос, зачем нам нужно изучать многочлены от нескольких переменных.
Многочлены находят применение в самых различных сферах деятельности человека, но вначале мы послушаем выступление о
«Истории возникновения многочлена». (Студент 1)
Слово бином означает «Два числа». В математике биномом называют «формулу для разложения на отдельные слагаемые целой неотрицательной степени суммы двух переменных». Бином Ньютона - название формулы, выражающей степень двучлена в виде суммы одночленов. Формулы сокращенного умножения для квадрата и куба суммы двух слагаемых (такая сумма называется «бином», по-русски – двучлен.
(a+b)2=a2+2ab+b2 и (a+b)3=a3+3a2b+3ab2+b3
Если вы забыли эти формулы, можно их получить напрямую, раскрыв скобки в очевидных равенствах
(a+b)2=(a+b)(a+b) и (a+b)3=(a+b)(a+b)(a+b)
Легко проверить, что выписанные на численные коэффициенты – это строчки треугольника Паскаля, начиная с третьей. Этот «усеченный треугольник», в котором не хватает первых двух строк, легко сделать полным (получить строчки при n=0 и n=1):
n=0, (a+b)0=1
n=1, (a+b)1=a+b Окончательно получим:
n=0 1
n=1 1,1
n=2 1,2,1
n=3 1,3,3,1
n=4 1,4,6,4,1
n=5 1,5,10,5,1
Треугольник Паскаля — бесконечная таблица биномиальных
коэффициентов, имеющая треугольную форму.
В этом треугольнике на вершине и по бокам стоят единицы.
Каждое число равно сумме двух расположенных
над ним чисел.
Строки треугольника симметричны относительно вертикальной оси.
Назван в честь Блеза Паскаля. На самом деле, о
треугольнике Паскаля было известно задолго до Паскаля - его знал
живший в XI-XII вв. среднеазиатский математик и поэт Омар Хайям.
Первое, дошедшее до нас описание формулы бинома Ньютона
содержится в появившейся в 1265 г. книге среднеазиатского
математика ат-Туси, где дана таблица
чисел
(биномиальных коэффициентов)
до n=12 включительно.Общая формула бинома Ньютона: выглядит таким
образом
.
Правая часть формулы называется разложением степени бинома.
— называется биномиальными
коэффициентами, а все слагаемые — членами
бинома.
Определение многочлена
Многочлен - это алгебраическое выражение представляющее собой сумму одночленов.
Выражение
не
является
многочленом потому, что оно не является суммой одночленов. Многочлен еще иногда называют полиномом, а одночлены которые входят в состав многочлена членами многочлена или мономами.
Рассмотрим виды многочленов: однородные и симметричные

Определение: Многочлен Р(х;у) называют однородным многочленом n-й степени, если сумма показателей степеней переменных в каждом члене многочлена равна n. Если Р(х;у) — однородный многочлен, то уравнение
Р(х;у) = 0 называют однородным уравнением.
Приведем примеры.
1) P(х; у)=2х+3у – однородный многочлен первой степени; соответственно
2х+3у=0 – однородное уравнение первой степени.
2) P(х; у)=3х2+5ху-7у2 — однородный многочлен второй степени; соответственно
3х2+5ху-7у2 =0 — однородное уравнение второй степени.
3) P(x; y)= x3+4xy2-5y3 — однородный многочлен третьей степени; x3+4xy2-5y3 =0 соответственно — однородное уравнение третьей степени.
P(x; y)= anxn+an-1xn-1y+an-2xn-2y2+…+a1xyn-1+a0yn
— общий вид однородного многочлена n-й степени.
Определение 2:
Многочлен
называется симметрическим,
если он сохраняет свой вид при одновременной замене
x на y и y на x.
например:

Теорема. Любой симметрический многочлен Р(х;у) можно представить в виде многочлена от ху и х+у. Например,
x2+y2=(x+y)2-2xy и x3+y3=(x+y)3-3xy(x+y)
Уравнение Р(x;y) = а,
где
, называют симметрическим, если Р(х;y) — симметрический
многочлен.
4. Нығайту: Закрепление нового материала
4.1 Фронтальная работа:
1) Выполните соответствие. Укажите стрелкой.
однородный многочлен
третьей степени
однородный многочлен
второй степени
однородный многочлен
первой степени
2) Укажите однородные, симметричные многочлены, обоснуйте ответ.
Объясняет учитель:
Многочлены от нескольких переменных.
Пример 1. Разложите на множители многочлен.
Решение: Разложим многочлен методом группировки.

Пример 2. Разложите на множители многочлен: 6 m2 -13 mn – 5n2
Решение: Разложим на линейные множители квадратный трехчлен
6 m2 -13 m n – 5n2 от переменной m с коэффициентами 6; - 13 n; -5 n2 ;
m1 = 5/2 n,
m2 = – 1/3 n
6 m2 – 13 mn – 5n2 = 6(m – 5/2 n)( m + 1/3 n)= (2m – 5 n) (3 m + n)
Ответ: 6 m2 – 13 mn – 5n2 = (2m – 5 n) (3 m + n)
Пример 3. Решим систему уравнений
Систему двух уравнений с двумя переменными называют симметрической системой, если оба ее уравнения – симметрические.
|
|
х3 + х3 у3 + у3 = 17. х + х у + у = 5. |
Решение: Введем две новые переменные х + у = u и х у = v,
Воспользуемся выражением
х3 + у3 = (х + у)3 – 3х у (х + у), тогда система примет вид:
|
|
u3 – 3uv + v3 = 17 u + v = 5 |
u3 – 3u (5 – u) + (5 – u) 3 = 17;
u3 – 15u + 3u2 + 125 – 75 u + 15u2 - u3 = 17:
18u2 - 90u + 108 = 0;
u2 - 5 u + 6 = 0: u1 = 2, u2 = 3, соответственно находим v1= 3, v2= 2.
|
|
х + у = 2, х у = 3; |
|
х + у = 3, х у = 2; итак, получим (1; 2); (2; 1), |
Ответ: (1; 2); (2; 1).
-
Групповая работа
1 группа
Пример 4. Разложите на множители многочлен:
6a2 – 5 a b – 6 b2
Решение: Рассмотрим 6a2 –5ab – 6b2 как квадратный, относительно а с коэффициентами 6; -5 b; – 6 b2 , найдем корни
a1 = -2/3 b или a2= 3/2 b, получим
6a2 – 5ab – 6b2 = 6(a +2/3 b)( a - 3/2 b)= (3a +2 b)( 2a - 3 b)
2 группа
Пример 4. Разложите на множители многочлен: 5х2 + 27 ху +10 у
Решение:
5х2 + 27 ху +10 у = 0 коэффициенты: 5; 27у; 10у
Д = 729 у2 – 200у2 = 529 у2
х1= - 2у/5,
х2= - 5у
5х2 + 27 ху +10 у = 5 (х + 2у/5) (х+5у)
-
Работа в паре (взаимопроверка)
Пример 3. Решим уравнение x3+4xy2-5y3 =0
Заметим, что если в заданном уравнении взять х=0,
то получится у=0; это означает, что пара (0; 0) является решением
однородного уравнения. Пусть теперь х
. Разделим почленно обе части заданного
однородного уравнения на х3, получим:
![]()
Введем новую
переменную
. Тогда уравнение примет вид
1+4z2-5z3=0.
Далее последовательно находим:
5z3-4z2-1=0
(5z3-5z2)+(z2-1)=0
5z2(z-1)+(z-1)(z+1)=0
(z-1)(5z2+z+1)=0
Из уравнения z-1=0 находим z=1, уравнение 5z3-4z2-1=0 действительных корней не имеет.
Если z=1, то
, т.е. у=х. Это значит, что любая пара вида (t;
t) является решением заданного однородного уравнения. Между прочим,
и отмеченная нами ранее пара (0; 0) также входит в указанный
перечень решений.
Ответ: (t; t), где t- любое действительное число.
-
Индивидуальная работа
7.1 Запишите многочлен в стандартном виде:
7.2 Выразить симметрический
многочлен Р через симметрические
многочлены
если
Ответ:


-
Үй жұмысы: Домашняя работа
8.1 Привести к стандартному виду



8.2 Из данных многочленов выделите симметрические:
-
2х2-5ху+2у2-6
-
6x⁴-16xy²-6y3+19
-
-3ху+6х²-5у²+8
-
16x4y²+16x²y4-x⁴-y⁴
8.3 Выразите симметрический
многочлен Р через симметрические многочлены
если
-
Рефлексия «Плюс-минус-интересно»
Цель: получение преподавателем обратной связи о содержании и степени усвоения изученного на уроке учебного материала.
Студенты индивидуально заполняют таблицу:
|
Плюс |
Минус |
Интересно |
|
|
|
|
В стобец «плюс» учащиеся записывают те формы работы и полученную новую учебную информацию, которые им понравились; в столбец «минус» - те, которые – не понравились или вызвали затруднения; в столбец «интересно» - те, о которых хотели получить дополнительную информацию на последующем уроке.
Критериии оценивания:
-
Умеют определять виды многочленов;
-
Знают способы разложения на множители многочлена от двух переменных двумя способами;
-
Умеют решать симметрическую систему двух уравнений с двумя переменными.
Шыныбеков А.Н. и др.
Алгебра и начала анализа: Учебник для 10 кл. общеобразоват.
шк. ест.-мат. направления / А. Н. Шыныбеков, Д. А. Шыны-
беков, Р. Н. Жумабаев. – Алматы: Атамұра, 2019.
Пример 2. Разложить на множители многочлен
3 x 3 – x 2 – 3 x + 1.
Решение. Поскольку многочлен третьей степени разлагается в произведение линейного и квадратичного сомножителей, то будем искать многочлены x – p и ax 2 + bx + c такие, что справедливо равенство 3 x 3 – x 2 – 3 x + 1 = ( x – p )( ax 2+ bx + c ) = ax 3 + ( b – ap ) x 2 + ( c – bp ) x – pc . Приравнивая коэффициенты при одинаковых степенях в левой и правой частях этого равенства, получаем систему четырех уравнений для определения четырех неизвестных коэффициентов:

Решая эту систему, получаем: a = 3, p = –1, b = 2, c = –1.
Итак, многочлен 3 x 3 – x 2 – 3 x + 1 разлагается на множители: 3 x 3 – x 2 – 3 x + 1 = ( x – 1)(3 x 2 + 2 x – 1).
Стоит отметить, что существует достаточно изящный способ решения однородных уравнений. Поясним его суть на примере.
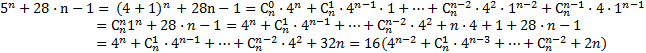
Пример 5. Доказать, что значение выражения 5n+28n-1, где n – натуральное число, делится на 16 без остатка.
Решение: представим первое слагаемое выражение как 5n= (4+1)n и воспользуемся формулой бинома Ньютона:

Полученное произведение доказывает делимость исходного выражения на 16.
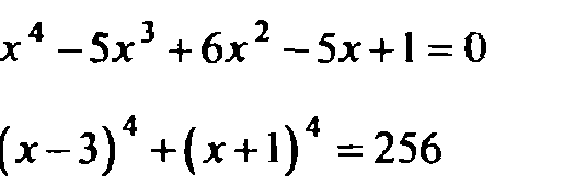
6
.3 Решите
уравнение
жүктеу мүмкіндігіне ие боласыз
Бұл материал сайт қолданушысы жариялаған. Материалдың ішінде жазылған барлық ақпаратқа жауапкершілікті жариялаған қолданушы жауап береді. Ұстаз тілегі тек ақпаратты таратуға қолдау көрсетеді. Егер материал сіздің авторлық құқығыңызды бұзған болса немесе басқа да себептермен сайттан өшіру керек деп ойласаңыз осында жазыңыз
Многочлены с несколькими переменными и их стандартный вид. Однородные и симметрические многочлены.
Сабақ тақырыбы: Бірнеше айнамалысы бар көпмүшелер және олардың стандарт түрі.
Біртекті және симметриялы көпмүшелер.
Тема: Многочлены с несколькими переменными и их
стандартный вид. Однородные и симметрические многочлены.
Наименование дисциплины: математика
Подготовил педагог: Байтугулова Айслу Оразовна
«____»_________ 2025 года
Курс 1 Группа ______
Сабақ түрі: Тип занятия: Лекция.
Үйрену мақсаттары: Цели обучения:
знают определение многочлена с одной переменной и приводят его к стандартному виду;
знают определение многочлена с несколькими переменными и приводят его к стандартному виду;
знают определение симметрических и однородных многочленов;
Сабақ мақсаты: Задачи урока:
-
находят старший коэффициент, степень, свободный член многочлена с одной переменной
-
знают общий канонический вид многочлена с одной переменной;
-
определяют степень многочлена стандартного вида;
-
умеют распознавать симметрические и однородные многочлены.
-
умеют применять способы при разложении многочлена от двух переменных;
-
умеют решать симметрическую систему двух уравнений с двумя переменными.
Пәнаралық байланыс: Межпредметные связи: Геометрия
Көрнекі құралдар, жабдықтар, үлестірме қағаздар
Наглядные пособия, оборудование, раздаточный материал: Карточки
Оборудование: компьютер, проектор, экран, интерактивная доска, карточки с заданиями “Разложить на множители”, “Решить уравнения”.
Форма организации учебной деятельности: Индивидуальная, фронтальная, групповая, самопроверка.
Сабақ барысы – Ход урока
1. Ұйымдастыру кезеңі: Организационная часть: 2 мин
Приветствие. Отметка отсутствующих. Проверка готовности студентов к уроку.
Давайте поприветствуют друг друга. Выполним упражнение на воспитание уверенности в себе и взаимоуважению.
«Круг радости».
Цель: Создание благоприятного психологического климата
Организация: Участники становятся в круг

2. Өткен тақырыпты қайталау: Актуализация знаний
Отгадайте ребус
(многочлен)
Совместно со студентами определяем цели урока и ожидаемые результаты.
Устная работа:
1) Как называются такие выражения?
Например:
; 6
+ 
2) Перечислите слагаемые, как они называются?
3) Назовите коэффициент при старшем члене многочлена.
4) Назовите свободный член многочлена.
5) Чему равна степень многочлена
6)
Как вы думаете,
данное выражение является
многочленом?
(ответ: нет). Итак, многочлен от одной переменой
имеет вид:


3. Жаңа тақырыпты зерделеу: Изучение нового материала
И так, сегодня на уроке вам предстоит узнать, что такое многочлен от нескольких переменных, и приводить его к стандартному виду; определять степень многочлена стандартного вида;
уметь распознавать симметрические и однородные многочлены;
Поэтому эпиграф нашего сегодняшнего урока звучит так:
«Давайте понимать друг друга с полуслова,
Чтоб, ошибившись раз, не ошибиться снова.»
Булат Окуджава.
Многие из вас могут задать вопрос, зачем нам нужно изучать многочлены от нескольких переменных.
Многочлены находят применение в самых различных сферах деятельности человека, но вначале мы послушаем выступление о
«Истории возникновения многочлена». (Студент 1)
Слово бином означает «Два числа». В математике биномом называют «формулу для разложения на отдельные слагаемые целой неотрицательной степени суммы двух переменных». Бином Ньютона - название формулы, выражающей степень двучлена в виде суммы одночленов. Формулы сокращенного умножения для квадрата и куба суммы двух слагаемых (такая сумма называется «бином», по-русски – двучлен.
(a+b)2=a2+2ab+b2 и (a+b)3=a3+3a2b+3ab2+b3
Если вы забыли эти формулы, можно их получить напрямую, раскрыв скобки в очевидных равенствах
(a+b)2=(a+b)(a+b) и (a+b)3=(a+b)(a+b)(a+b)
Легко проверить, что выписанные на численные коэффициенты – это строчки треугольника Паскаля, начиная с третьей. Этот «усеченный треугольник», в котором не хватает первых двух строк, легко сделать полным (получить строчки при n=0 и n=1):
n=0, (a+b)0=1
n=1, (a+b)1=a+b Окончательно получим:
n=0 1
n=1 1,1
n=2 1,2,1
n=3 1,3,3,1
n=4 1,4,6,4,1
n=5 1,5,10,5,1
Треугольник Паскаля — бесконечная таблица биномиальных
коэффициентов, имеющая треугольную форму.
В этом треугольнике на вершине и по бокам стоят единицы.
Каждое число равно сумме двух расположенных
над ним чисел.
Строки треугольника симметричны относительно вертикальной оси.
Назван в честь Блеза Паскаля. На самом деле, о
треугольнике Паскаля было известно задолго до Паскаля - его знал
живший в XI-XII вв. среднеазиатский математик и поэт Омар Хайям.
Первое, дошедшее до нас описание формулы бинома Ньютона
содержится в появившейся в 1265 г. книге среднеазиатского
математика ат-Туси, где дана таблица
чисел
(биномиальных коэффициентов)
до n=12 включительно.Общая формула бинома Ньютона: выглядит таким
образом
.
Правая часть формулы называется разложением степени бинома.
— называется биномиальными
коэффициентами, а все слагаемые — членами
бинома.
Определение многочлена
Многочлен - это алгебраическое выражение представляющее собой сумму одночленов.
Выражение
не
является
многочленом потому, что оно не является суммой одночленов. Многочлен еще иногда называют полиномом, а одночлены которые входят в состав многочлена членами многочлена или мономами.
Рассмотрим виды многочленов: однородные и симметричные

Определение: Многочлен Р(х;у) называют однородным многочленом n-й степени, если сумма показателей степеней переменных в каждом члене многочлена равна n. Если Р(х;у) — однородный многочлен, то уравнение
Р(х;у) = 0 называют однородным уравнением.
Приведем примеры.
1) P(х; у)=2х+3у – однородный многочлен первой степени; соответственно
2х+3у=0 – однородное уравнение первой степени.
2) P(х; у)=3х2+5ху-7у2 — однородный многочлен второй степени; соответственно
3х2+5ху-7у2 =0 — однородное уравнение второй степени.
3) P(x; y)= x3+4xy2-5y3 — однородный многочлен третьей степени; x3+4xy2-5y3 =0 соответственно — однородное уравнение третьей степени.
P(x; y)= anxn+an-1xn-1y+an-2xn-2y2+…+a1xyn-1+a0yn
— общий вид однородного многочлена n-й степени.
Определение 2:
Многочлен
называется симметрическим,
если он сохраняет свой вид при одновременной замене
x на y и y на x.
например:

Теорема. Любой симметрический многочлен Р(х;у) можно представить в виде многочлена от ху и х+у. Например,
x2+y2=(x+y)2-2xy и x3+y3=(x+y)3-3xy(x+y)
Уравнение Р(x;y) = а,
где
, называют симметрическим, если Р(х;y) — симметрический
многочлен.
4. Нығайту: Закрепление нового материала
4.1 Фронтальная работа:
1) Выполните соответствие. Укажите стрелкой.
однородный многочлен
третьей степени
однородный многочлен
второй степени
однородный многочлен
первой степени
2) Укажите однородные, симметричные многочлены, обоснуйте ответ.
Объясняет учитель:
Многочлены от нескольких переменных.
Пример 1. Разложите на множители многочлен.
Решение: Разложим многочлен методом группировки.

Пример 2. Разложите на множители многочлен: 6 m2 -13 mn – 5n2
Решение: Разложим на линейные множители квадратный трехчлен
6 m2 -13 m n – 5n2 от переменной m с коэффициентами 6; - 13 n; -5 n2 ;
m1 = 5/2 n,
m2 = – 1/3 n
6 m2 – 13 mn – 5n2 = 6(m – 5/2 n)( m + 1/3 n)= (2m – 5 n) (3 m + n)
Ответ: 6 m2 – 13 mn – 5n2 = (2m – 5 n) (3 m + n)
Пример 3. Решим систему уравнений
Систему двух уравнений с двумя переменными называют симметрической системой, если оба ее уравнения – симметрические.
|
|
х3 + х3 у3 + у3 = 17. х + х у + у = 5. |
Решение: Введем две новые переменные х + у = u и х у = v,
Воспользуемся выражением
х3 + у3 = (х + у)3 – 3х у (х + у), тогда система примет вид:
|
|
u3 – 3uv + v3 = 17 u + v = 5 |
u3 – 3u (5 – u) + (5 – u) 3 = 17;
u3 – 15u + 3u2 + 125 – 75 u + 15u2 - u3 = 17:
18u2 - 90u + 108 = 0;
u2 - 5 u + 6 = 0: u1 = 2, u2 = 3, соответственно находим v1= 3, v2= 2.
|
|
х + у = 2, х у = 3; |
|
х + у = 3, х у = 2; итак, получим (1; 2); (2; 1), |
Ответ: (1; 2); (2; 1).
-
Групповая работа
1 группа
Пример 4. Разложите на множители многочлен:
6a2 – 5 a b – 6 b2
Решение: Рассмотрим 6a2 –5ab – 6b2 как квадратный, относительно а с коэффициентами 6; -5 b; – 6 b2 , найдем корни
a1 = -2/3 b или a2= 3/2 b, получим
6a2 – 5ab – 6b2 = 6(a +2/3 b)( a - 3/2 b)= (3a +2 b)( 2a - 3 b)
2 группа
Пример 4. Разложите на множители многочлен: 5х2 + 27 ху +10 у
Решение:
5х2 + 27 ху +10 у = 0 коэффициенты: 5; 27у; 10у
Д = 729 у2 – 200у2 = 529 у2
х1= - 2у/5,
х2= - 5у
5х2 + 27 ху +10 у = 5 (х + 2у/5) (х+5у)
-
Работа в паре (взаимопроверка)
Пример 3. Решим уравнение x3+4xy2-5y3 =0
Заметим, что если в заданном уравнении взять х=0,
то получится у=0; это означает, что пара (0; 0) является решением
однородного уравнения. Пусть теперь х
. Разделим почленно обе части заданного
однородного уравнения на х3, получим:
![]()
Введем новую
переменную
. Тогда уравнение примет вид
1+4z2-5z3=0.
Далее последовательно находим:
5z3-4z2-1=0
(5z3-5z2)+(z2-1)=0
5z2(z-1)+(z-1)(z+1)=0
(z-1)(5z2+z+1)=0
Из уравнения z-1=0 находим z=1, уравнение 5z3-4z2-1=0 действительных корней не имеет.
Если z=1, то
, т.е. у=х. Это значит, что любая пара вида (t;
t) является решением заданного однородного уравнения. Между прочим,
и отмеченная нами ранее пара (0; 0) также входит в указанный
перечень решений.
Ответ: (t; t), где t- любое действительное число.
-
Индивидуальная работа
7.1 Запишите многочлен в стандартном виде:
7.2 Выразить симметрический
многочлен Р через симметрические
многочлены
если
Ответ:


-
Үй жұмысы: Домашняя работа
8.1 Привести к стандартному виду



8.2 Из данных многочленов выделите симметрические:
-
2х2-5ху+2у2-6
-
6x⁴-16xy²-6y3+19
-
-3ху+6х²-5у²+8
-
16x4y²+16x²y4-x⁴-y⁴
8.3 Выразите симметрический
многочлен Р через симметрические многочлены
если
-
Рефлексия «Плюс-минус-интересно»
Цель: получение преподавателем обратной связи о содержании и степени усвоения изученного на уроке учебного материала.
Студенты индивидуально заполняют таблицу:
|
Плюс |
Минус |
Интересно |
|
|
|
|
В стобец «плюс» учащиеся записывают те формы работы и полученную новую учебную информацию, которые им понравились; в столбец «минус» - те, которые – не понравились или вызвали затруднения; в столбец «интересно» - те, о которых хотели получить дополнительную информацию на последующем уроке.
Критериии оценивания:
-
Умеют определять виды многочленов;
-
Знают способы разложения на множители многочлена от двух переменных двумя способами;
-
Умеют решать симметрическую систему двух уравнений с двумя переменными.
Шыныбеков А.Н. и др.
Алгебра и начала анализа: Учебник для 10 кл. общеобразоват.
шк. ест.-мат. направления / А. Н. Шыныбеков, Д. А. Шыны-
беков, Р. Н. Жумабаев. – Алматы: Атамұра, 2019.
Пример 2. Разложить на множители многочлен
3 x 3 – x 2 – 3 x + 1.
Решение. Поскольку многочлен третьей степени разлагается в произведение линейного и квадратичного сомножителей, то будем искать многочлены x – p и ax 2 + bx + c такие, что справедливо равенство 3 x 3 – x 2 – 3 x + 1 = ( x – p )( ax 2+ bx + c ) = ax 3 + ( b – ap ) x 2 + ( c – bp ) x – pc . Приравнивая коэффициенты при одинаковых степенях в левой и правой частях этого равенства, получаем систему четырех уравнений для определения четырех неизвестных коэффициентов:

Решая эту систему, получаем: a = 3, p = –1, b = 2, c = –1.
Итак, многочлен 3 x 3 – x 2 – 3 x + 1 разлагается на множители: 3 x 3 – x 2 – 3 x + 1 = ( x – 1)(3 x 2 + 2 x – 1).
Стоит отметить, что существует достаточно изящный способ решения однородных уравнений. Поясним его суть на примере.
Пример 5. Доказать, что значение выражения 5n+28n-1, где n – натуральное число, делится на 16 без остатка.
Решение: представим первое слагаемое выражение как 5n= (4+1)n и воспользуемся формулой бинома Ньютона:

Полученное произведение доказывает делимость исходного выражения на 16.
6
.3 Решите
уравнение
шағым қалдыра аласыз





























