КГУ «Кривощековская средняя школа района Шал аына»
Открытый урок физики в 11 классе
«Интерференция света. Поляризация света. Дифракция световых волн. Дифракционная решетка».

Учитель: Сергеева Н.Л.
2016-2017 учебный год
Цель: формирование у обучающихся понятие интерференции, исследование возможностей использования интерференции света в современной науке и технике; раскрытие сущности физического явления - дифракции света с точки зрения электромагнитной теории; выяснение устройства дифракционной решетки и способов измерения с ее помощью длины световой волны; формирование понятия поперечность световых волн, поляризация света.
Оборудование:
набор по оптике, ПК, ЭУ- Физика 11 класс, печатные ресурсы и
дополнительные материалы, индивидуальнын карточки с
заданиями
Ход
урока.
I.Организационный момент.
II. Актуализация знаний.
Фронтальная беседа.
Давайте вспомним все, что мы знаем про электромагнитные волны:
Электромагнитная волна - это
распространяющееся в пространстве электромагнитное
поле.
Скорость
распространения электромагнитных волн равна скорости света - 300000
км/с.
Характерные
свойства: отражение, преломление, интерференция,
дифракция.
- Сформулируйте
закон отражения света.
- Как с помощью закона отражения построить изображение точечного источника света в плоском зеркале?
- Сформулируйте закон преломления света.
- Каков физический смысл показателя преломления?
- Чем отличается относительный показатель преломления от абсолютного?
- Что такое дисперсия света?
- Почему только узкий световой пучок даёт спектр после прохождения сквозь призму, а у широкого пучка окрашенными оказываются лишь края?
III. Изучение нового материала.
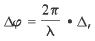
Явление взаимного наложения когерентных волн, в результате чего происходит устойчивое пространственное ослабление или усиление интенсивности света в зависимости от фазовых соотношений между этими волнами, называется интерференцией. Интерферировать могут только когерентные волны. Когерентными называют такие волны, которые имеют одинаковые частоты (длины волн) и постоянную разность фаз. Естественные источники света излучают некогерентные волны. Для образования когерентных волн различными методами разделяют волны, идущие от одного точечного источника. Разность фаз световых волн, распространяющихся в среде, обычно выражают через оптическую разность хода в точке наблюдения. Оптическая разность хода - это разность оптических длин путей двух волн. Оптической длиной пути называется произведение геометрического пути световой волны в среде на ее абсолютный показатель преломления. Итак, оптическая разность хода есть
D (дельта) = n • Dr, где n – абсолютный показатель преломления среды, Dr – геометрическая разность хода волн.
Разность фаз
колебаний Dф = ф1 –
ф2 связана с
оптической разностью хода
соотношением:
где лямбда –
длина волны света в вакууме. В интерференционной картине свет будет
максимально усиливаться и ослабляться по интенсивности в тех
местах, где оптическая разность налагающихся волн равна
соответственно четному и нечетному числу длин
полуволн:
где k = 0, ±1,
±2, ... .
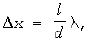
Ширина Dx светлой (или
темной) интерференционной полосы или расстояние между двумя
ближайшими темными (или светлыми) полосами на экране определяется
по формуле:
где l –
расстояние от экрана до источников света, отстоящих друг от друга
на расстояние d (при l
>>d).Интерференция в тонких
пленках, наблюдаемая в
отраженном свете (световая волна падает перпендикулярно поверхности
пластинки), определяется формулами:
-
усиление интенсивности, если
-

-
ослабление интенсивности, если
где k = 0, 1,
2, ... ; h – толщина
пленки.
Интерференционные полосы равной толщины в
форме концентрических светлых и темных колец наблюдают (обычно в
отраженном свете) с помощью прибора, который представляет собой
плосковыпуклую линзу, лежащую выпуклой поверхностью на отражающей
плоскости. Если монохроматический свет падает перпендикулярно
плоской поверхности линзы, то появляются чередующиеся светлые и
темные интерференционные кольца, называемые кольцами Ньютона. Их
радиусы определяются
формулами:
где k –
натуральное число, R – радиус выпуклой поверхности
линзы.
Дифракция волн – это явление
огибания волнами встречающихся препятствий. Дифракция хорошо
наблюдается только в том случае, если размеры препятствий (или
отверстий) соизмеримы с длинами этих волн. Дифракция световых волн
обуславливает отклонение от закона прямолинейного распространения
света. Она объясняется на основе волновой теории света.
Согласно принципу
Гюйгенса–Френеля каждую точку
волнового фронта можно рассматривать как точечный источник
вторичных световых волн, которые распространяются по различным
направлениям и проникают, таким образом, в область геометрической
тени. Вторичные волны когерентны и за препятствием
интерферируют.
Дифракция
широко применяется на практике. Она осуществляется с
помощью дифракционной
решетки,представляющей
собой совокупность большого числа щелей в непрозрачном экране,
которые имеют одинаковую ширину и расположены на равных расстояниях
друг от друга. Сумма ширины щели a и ширины b непрозрачного
промежутка между щелями
называется постоянной (или
периодом) решетки: d = a +
b.
При нормальном падении света на плоскую дифракционную решетку положение на экране максимумов освещенности определяется по формуле: d sin ф = k лямда, k = 0, ±1, ±2, ...
где d –
постоянная решетки, j – угол между нормалью к дифракционной решетке
и направлением на дифракционный максимум, k – порядок
максимума.
Дифракционные
решетки. представляют собой периодические структуры,
выгравированные специальной делительной машиной на поверхности
стеклянной или металлической
пластинки.
Световые волны являются поперечными, т.е. векторы
электрического E и
магнитного В полей не только
взаимно перпендикулярны, но и оба перпендикулярны к направлению
распространения. Если расположить направление распространения в
некоторой плоскости, то в световых волнах, излучаемых различными
источниками, ориентация
векторов E (и,
конечно, В) относительно
этой плоскости будет различной, не согласованной (случайной). Такой
свет называется естественным.
Если свет
естественный, то один поляроид всегда пропускает какую-то часть
световых волн. Но два перпендикулярно расположенных поляроида не
должны пропускать свет. Пропуская его, например, через турмалиновую
пластинку, можно выделить волны, в которых
вектор E совершает
колебания в одной и той же плоскости. Такие волны
называются линейно
поляризованными. Плоскость, в
которой в линейно поляризованной волне лежат
векторы E,
называется плоскостью
колебаний, а плоскость,
в которой лежат векторы В,
называется плоскостью
поляризации.
Естественный
свет поляризуется (в основном частично) при отражении от
поверхности диэлектриков.
Явление поляризации света было открыто отставным
офицером армии Наполеона Этьеном Малюсом в 1808 году, когда он
пытался решить конкурсную задачу Парижской академии наук о двойном
лучепреломлении. Однажды, рассматривая через кристалл исландского
шпата отражение лучей заходящего солнца от окон Люксембургского
дворца, он заметил, что одно из изображений пропало.
Световые волны
могут быть разной степени поляризованности: неполяризованные,
частично поляризованные, плоско
поляризованные.
IV. Закрепление изученного материала.
А). Фронтальная беседа.
1. Почему не
могут интерферировать волны, идущие от двух независимых источников
света?
2. Что такое
оптический и геометрический путь
света?
3. Как можно
получить интерференцию световых волн при помощи бипризмы
Френеля?
4. Какое
световое излучение называется
монохроматическим?
5. Чем
объясняется видимая расцветка крыльев стрекоз, жуков и некоторых
других насекомых? (Интерференцией солнечного света в прозрачной
пленке, которую представляют собой крылья насекомых и которая имеет
разную толщину в разных
местах).
6. Почему цвет
одного и того же места поверхности мыльного пузыря непрерывно
изменяется? (Вследствие стекания мыльной воды толщина стенок пузыря
непрерывно меняется).
7. Где
используется явление интерференции
света?
8. В чем состоит явление дифракции света?
9. При каких условиях наблюдается дифракция света?
10. Объясните дифракцию на одной щели.
11. Какой вид
имеет дифракционная картина, полученная с помощью дифракционной
решетки при освещении ее монохроматическим светом? при освещении
белым светом?
12. Чем
объяснить радужную окраску дисков для лазерных проигрывателей?
(Дифракцией света на дорожках покрытия
диска).
13. Какое явление доказывает поперечный характер световых волн?
14. Для каких целей может быть использовано явление поляризации?
Б). Решение задач.
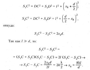
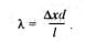
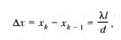
Задача 1. Два когерентных источника монохроматического света S1 и S2 расположены на расстоянии 0,5 мм друг от друга (рис. 1). Плоскость экрана, на котором наблюдают интерференционные полосы, параллельна линии, соединяющей источники, и удалена от нее на расстояние 2 м.
Расстояние
между двумя соседними интерференционными полосами на экране равно
1,9 мм. Определите длину волны источников
света.
Решение. Светлые
интерференционные полосы на экране возникают при разности
хода
![]()
Пусть
интерференционный максимум k-го порядка расположен в точке C
экрана, на расстоянии xk от центра
картины. Разность хода лучей
S1C и
S2C
определим, применив теорему Пифагора к треугольникам
S1CD и
S2CD:
Следовательно,
расстояние между двумя соседними
полосами:
а длина
волны:
Подставляя
численные значения,
получаем:

Задача
2. Во сколько раз
увеличилось расстояние между соседними интерференционными полосами,
полученными на экране от двух когерентных источников, если при
наблюдении интерференционной картины сначала был использован
зеленый светофильтр (лямбда = 5 •
10–5 см), а затем
красный (лямбда = 6,5 • 10–5 см)?
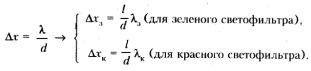
Решение. Ширина Dx
интерференционной полосы:
Поскольку при
смене светофильтра лямбда и d не изменялись,
имеем:
Таким образом,
расстояние между соседними интерференционными полосами при замене
зеленого светофильтра на красный увеличится в 1,3
раза.
Задача
3.
Плосковыпуклая линза выпуклой поверхностью положена на плоскую
поверхность и освещена нормально падающим на плоскую поверхность
монохроматическим светом длиной волны 640 нм. Диаметр 2-го темного
кольца Ньютона в отраженном свете равен 6,4 мм. Определите радиус
кривизны выпуклой поверхности линзы (рис.
2).
Решение. По формуле для
темных колец Ньютона определяем:
Подставляя
численные значения, получаем:
Задача
4. На
дифракционную решетку нормально к ее поверхности падает
монохроматический свет длиной волны 0,45 мкм. Постоянная
дифракционной решетки 2 мкм. Определите, сколько максимумов дает
дифракционная решетка и каков максимальный угол отклонения лучей,
соответствующих последнему дифракционному максимуму (рис.
3).
Решение. Дифракционная
решетка не может отклонить лучи больше, чем на 90°. Поскольку sin
90° = лямбда, по формуле dsin ф = k лямда
получим:
Число k
обязательно должно быть целым, но оно не может быть равным 5, т.к.
при этом значение sin ф должно стать больше лямды. Следовательно, в
обе стороны от центрального максимума, соответствующего k = 0,
может наблюдаться до N = 4 максимумов. Исходя из
kмакс = 4, легко
определить фмакс:
V. Итог
урока.
|
Ф.И. учащегося |
Д/з |
Устные ответы |
Работа с теор.матер. |
Оформление задач |
Запись формул |
Решение |
|
Афанасьева А. |
|
|
|
|
|
|
|
Загребин С. |
|
|
|
|
|
|
|
Рагутская В. |
|
|
|
|
|
|
|
Семаш Е. |
|
|
|
|
|
|
|
Умирбаев А. |
|
|
|
|
|
|
|
Штанденко Е. |
|
|
|
|
|
|
|
Юраш Д. |
|
|
|
|
|
|
VI. Домашнее задание: § 4.2-4.7, Вопросы и задачи (Печатный ресурс)
-
В чем состоит принцип суперпозиции световых волн?
-
Дайте определение интерференции света.
-
Какие источники света называют когерентными?
-
Каким способом получают когерентные световые волны?
-
Какое световое излучение называется монохроматическим?
-
Сформулируйте условия усиления и ослабления интерферирующих световых волн. Что такое кольца Ньютона и как их получить?
-
Как определить длину волны света по кольцам Ньютона?
-
При каких условиях наблюдается дифракция света?
-
Что представляет собой дифракционная решетка?
-
Приведите формулу дифракционной решетки.
-
Как определяется длина световой волны с помощью дифракционной решетки?
-
Какой свет называется естественным?
-
Какая волна называется плоскополяризованной?
-
Дифракционная решетка имеет 100 штрихов на 1 мм. Одна из линий спектра стронция в третьем порядке видна под углом 7° 57'. Определите длину волны линии. (461 нм.44. 2 мкм).
-
Определите период дифракционной решетки, если угол, под которым видна линия натрия длиной волны 5,89 • 10–7 м в спектре 1-го порядка, равен 17° 18'.
-
Через дифракционную решетку, имеющую 200 штрихов на 1 мм, пропущено монохроматическое излучение длиной волны 750 нм. Определите угол, под которым виден максимум 1-го порядка. (8° 38').
-
На мыльную пленку показателем преломления 1,33 падает по нормали монохроматический свет длиной волны 600 нм. Отраженный свет в результате интерференции имеет наибольшую интенсивность. Определите толщину пленки.
жүктеу мүмкіндігіне ие боласыз
Бұл материал сайт қолданушысы жариялаған. Материалдың ішінде жазылған барлық ақпаратқа жауапкершілікті жариялаған қолданушы жауап береді. Ұстаз тілегі тек ақпаратты таратуға қолдау көрсетеді. Егер материал сіздің авторлық құқығыңызды бұзған болса немесе басқа да себептермен сайттан өшіру керек деп ойласаңыз осында жазыңыз
Открытый урок "Интерференция. Дифракция" 11 класс
КГУ «Кривощековская средняя школа района Шал аына»
Открытый урок физики в 11 классе
«Интерференция света. Поляризация света. Дифракция световых волн. Дифракционная решетка».

Учитель: Сергеева Н.Л.
2016-2017 учебный год
Цель: формирование у обучающихся понятие интерференции, исследование возможностей использования интерференции света в современной науке и технике; раскрытие сущности физического явления - дифракции света с точки зрения электромагнитной теории; выяснение устройства дифракционной решетки и способов измерения с ее помощью длины световой волны; формирование понятия поперечность световых волн, поляризация света.
Оборудование:
набор по оптике, ПК, ЭУ- Физика 11 класс, печатные ресурсы и
дополнительные материалы, индивидуальнын карточки с
заданиями
Ход
урока.
I.Организационный момент.
II. Актуализация знаний.
Фронтальная беседа.
Давайте вспомним все, что мы знаем про электромагнитные волны:
Электромагнитная волна - это
распространяющееся в пространстве электромагнитное
поле.
Скорость
распространения электромагнитных волн равна скорости света - 300000
км/с.
Характерные
свойства: отражение, преломление, интерференция,
дифракция.
- Сформулируйте
закон отражения света.
- Как с помощью закона отражения построить изображение точечного источника света в плоском зеркале?
- Сформулируйте закон преломления света.
- Каков физический смысл показателя преломления?
- Чем отличается относительный показатель преломления от абсолютного?
- Что такое дисперсия света?
- Почему только узкий световой пучок даёт спектр после прохождения сквозь призму, а у широкого пучка окрашенными оказываются лишь края?
III. Изучение нового материала.
Явление взаимного наложения когерентных волн, в результате чего происходит устойчивое пространственное ослабление или усиление интенсивности света в зависимости от фазовых соотношений между этими волнами, называется интерференцией. Интерферировать могут только когерентные волны. Когерентными называют такие волны, которые имеют одинаковые частоты (длины волн) и постоянную разность фаз. Естественные источники света излучают некогерентные волны. Для образования когерентных волн различными методами разделяют волны, идущие от одного точечного источника. Разность фаз световых волн, распространяющихся в среде, обычно выражают через оптическую разность хода в точке наблюдения. Оптическая разность хода - это разность оптических длин путей двух волн. Оптической длиной пути называется произведение геометрического пути световой волны в среде на ее абсолютный показатель преломления. Итак, оптическая разность хода есть
D (дельта) = n • Dr, где n – абсолютный показатель преломления среды, Dr – геометрическая разность хода волн.
Разность фаз
колебаний Dф = ф1 –
ф2 связана с
оптической разностью хода
соотношением:
где лямбда –
длина волны света в вакууме. В интерференционной картине свет будет
максимально усиливаться и ослабляться по интенсивности в тех
местах, где оптическая разность налагающихся волн равна
соответственно четному и нечетному числу длин
полуволн:
где k = 0, ±1,
±2, ... .
Ширина Dx светлой (или
темной) интерференционной полосы или расстояние между двумя
ближайшими темными (или светлыми) полосами на экране определяется
по формуле:
где l –
расстояние от экрана до источников света, отстоящих друг от друга
на расстояние d (при l
>>d).Интерференция в тонких
пленках, наблюдаемая в
отраженном свете (световая волна падает перпендикулярно поверхности
пластинки), определяется формулами:
-
усиление интенсивности, если
-

-
ослабление интенсивности, если
где k = 0, 1,
2, ... ; h – толщина
пленки.
Интерференционные полосы равной толщины в
форме концентрических светлых и темных колец наблюдают (обычно в
отраженном свете) с помощью прибора, который представляет собой
плосковыпуклую линзу, лежащую выпуклой поверхностью на отражающей
плоскости. Если монохроматический свет падает перпендикулярно
плоской поверхности линзы, то появляются чередующиеся светлые и
темные интерференционные кольца, называемые кольцами Ньютона. Их
радиусы определяются
формулами:
где k –
натуральное число, R – радиус выпуклой поверхности
линзы.
Дифракция волн – это явление
огибания волнами встречающихся препятствий. Дифракция хорошо
наблюдается только в том случае, если размеры препятствий (или
отверстий) соизмеримы с длинами этих волн. Дифракция световых волн
обуславливает отклонение от закона прямолинейного распространения
света. Она объясняется на основе волновой теории света.
Согласно принципу
Гюйгенса–Френеля каждую точку
волнового фронта можно рассматривать как точечный источник
вторичных световых волн, которые распространяются по различным
направлениям и проникают, таким образом, в область геометрической
тени. Вторичные волны когерентны и за препятствием
интерферируют.
Дифракция
широко применяется на практике. Она осуществляется с
помощью дифракционной
решетки,представляющей
собой совокупность большого числа щелей в непрозрачном экране,
которые имеют одинаковую ширину и расположены на равных расстояниях
друг от друга. Сумма ширины щели a и ширины b непрозрачного
промежутка между щелями
называется постоянной (или
периодом) решетки: d = a +
b.
При нормальном падении света на плоскую дифракционную решетку положение на экране максимумов освещенности определяется по формуле: d sin ф = k лямда, k = 0, ±1, ±2, ...
где d –
постоянная решетки, j – угол между нормалью к дифракционной решетке
и направлением на дифракционный максимум, k – порядок
максимума.
Дифракционные
решетки. представляют собой периодические структуры,
выгравированные специальной делительной машиной на поверхности
стеклянной или металлической
пластинки.
Световые волны являются поперечными, т.е. векторы
электрического E и
магнитного В полей не только
взаимно перпендикулярны, но и оба перпендикулярны к направлению
распространения. Если расположить направление распространения в
некоторой плоскости, то в световых волнах, излучаемых различными
источниками, ориентация
векторов E (и,
конечно, В) относительно
этой плоскости будет различной, не согласованной (случайной). Такой
свет называется естественным.
Если свет
естественный, то один поляроид всегда пропускает какую-то часть
световых волн. Но два перпендикулярно расположенных поляроида не
должны пропускать свет. Пропуская его, например, через турмалиновую
пластинку, можно выделить волны, в которых
вектор E совершает
колебания в одной и той же плоскости. Такие волны
называются линейно
поляризованными. Плоскость, в
которой в линейно поляризованной волне лежат
векторы E,
называется плоскостью
колебаний, а плоскость,
в которой лежат векторы В,
называется плоскостью
поляризации.
Естественный
свет поляризуется (в основном частично) при отражении от
поверхности диэлектриков.
Явление поляризации света было открыто отставным
офицером армии Наполеона Этьеном Малюсом в 1808 году, когда он
пытался решить конкурсную задачу Парижской академии наук о двойном
лучепреломлении. Однажды, рассматривая через кристалл исландского
шпата отражение лучей заходящего солнца от окон Люксембургского
дворца, он заметил, что одно из изображений пропало.
Световые волны
могут быть разной степени поляризованности: неполяризованные,
частично поляризованные, плоско
поляризованные.
IV. Закрепление изученного материала.
А). Фронтальная беседа.
1. Почему не
могут интерферировать волны, идущие от двух независимых источников
света?
2. Что такое
оптический и геометрический путь
света?
3. Как можно
получить интерференцию световых волн при помощи бипризмы
Френеля?
4. Какое
световое излучение называется
монохроматическим?
5. Чем
объясняется видимая расцветка крыльев стрекоз, жуков и некоторых
других насекомых? (Интерференцией солнечного света в прозрачной
пленке, которую представляют собой крылья насекомых и которая имеет
разную толщину в разных
местах).
6. Почему цвет
одного и того же места поверхности мыльного пузыря непрерывно
изменяется? (Вследствие стекания мыльной воды толщина стенок пузыря
непрерывно меняется).
7. Где
используется явление интерференции
света?
8. В чем состоит явление дифракции света?
9. При каких условиях наблюдается дифракция света?
10. Объясните дифракцию на одной щели.
11. Какой вид
имеет дифракционная картина, полученная с помощью дифракционной
решетки при освещении ее монохроматическим светом? при освещении
белым светом?
12. Чем
объяснить радужную окраску дисков для лазерных проигрывателей?
(Дифракцией света на дорожках покрытия
диска).
13. Какое явление доказывает поперечный характер световых волн?
14. Для каких целей может быть использовано явление поляризации?
Б). Решение задач.
Задача 1. Два когерентных источника монохроматического света S1 и S2 расположены на расстоянии 0,5 мм друг от друга (рис. 1). Плоскость экрана, на котором наблюдают интерференционные полосы, параллельна линии, соединяющей источники, и удалена от нее на расстояние 2 м.
Расстояние
между двумя соседними интерференционными полосами на экране равно
1,9 мм. Определите длину волны источников
света.
Решение. Светлые
интерференционные полосы на экране возникают при разности
хода
![]()
Пусть
интерференционный максимум k-го порядка расположен в точке C
экрана, на расстоянии xk от центра
картины. Разность хода лучей
S1C и
S2C
определим, применив теорему Пифагора к треугольникам
S1CD и
S2CD:
Следовательно,
расстояние между двумя соседними
полосами:
а длина
волны:
Подставляя
численные значения,
получаем:

Задача
2. Во сколько раз
увеличилось расстояние между соседними интерференционными полосами,
полученными на экране от двух когерентных источников, если при
наблюдении интерференционной картины сначала был использован
зеленый светофильтр (лямбда = 5 •
10–5 см), а затем
красный (лямбда = 6,5 • 10–5 см)?
Решение. Ширина Dx
интерференционной полосы:
Поскольку при
смене светофильтра лямбда и d не изменялись,
имеем:
Таким образом,
расстояние между соседними интерференционными полосами при замене
зеленого светофильтра на красный увеличится в 1,3
раза.
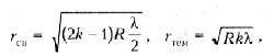
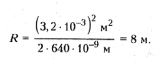
Задача
3.
Плосковыпуклая линза выпуклой поверхностью положена на плоскую
поверхность и освещена нормально падающим на плоскую поверхность
монохроматическим светом длиной волны 640 нм. Диаметр 2-го темного
кольца Ньютона в отраженном свете равен 6,4 мм. Определите радиус
кривизны выпуклой поверхности линзы (рис.
2).
Решение. По формуле для
темных колец Ньютона определяем:
Подставляя
численные значения, получаем:
Задача
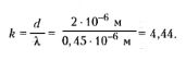
4. На
дифракционную решетку нормально к ее поверхности падает
монохроматический свет длиной волны 0,45 мкм. Постоянная
дифракционной решетки 2 мкм. Определите, сколько максимумов дает
дифракционная решетка и каков максимальный угол отклонения лучей,
соответствующих последнему дифракционному максимуму (рис.
3).
Решение. Дифракционная
решетка не может отклонить лучи больше, чем на 90°. Поскольку sin
90° = лямбда, по формуле dsin ф = k лямда
получим:
Число k
обязательно должно быть целым, но оно не может быть равным 5, т.к.
при этом значение sin ф должно стать больше лямды. Следовательно, в
обе стороны от центрального максимума, соответствующего k = 0,
может наблюдаться до N = 4 максимумов. Исходя из
kмакс = 4, легко
определить фмакс:
V. Итог
урока.
|
Ф.И. учащегося |
Д/з |
Устные ответы |
Работа с теор.матер. |
Оформление задач |
Запись формул |
Решение |
|
Афанасьева А. |
|
|
|
|
|
|
|
Загребин С. |
|
|
|
|
|
|
|
Рагутская В. |
|
|
|
|
|
|
|
Семаш Е. |
|
|
|
|
|
|
|
Умирбаев А. |
|
|
|
|
|
|
|
Штанденко Е. |
|
|
|
|
|
|
|
Юраш Д. |
|
|
|
|
|
|
VI. Домашнее задание: § 4.2-4.7, Вопросы и задачи (Печатный ресурс)
-
В чем состоит принцип суперпозиции световых волн?
-
Дайте определение интерференции света.
-
Какие источники света называют когерентными?
-
Каким способом получают когерентные световые волны?
-
Какое световое излучение называется монохроматическим?
-
Сформулируйте условия усиления и ослабления интерферирующих световых волн. Что такое кольца Ньютона и как их получить?
-
Как определить длину волны света по кольцам Ньютона?
-
При каких условиях наблюдается дифракция света?
-
Что представляет собой дифракционная решетка?
-
Приведите формулу дифракционной решетки.
-
Как определяется длина световой волны с помощью дифракционной решетки?
-
Какой свет называется естественным?
-
Какая волна называется плоскополяризованной?
-
Дифракционная решетка имеет 100 штрихов на 1 мм. Одна из линий спектра стронция в третьем порядке видна под углом 7° 57'. Определите длину волны линии. (461 нм.44. 2 мкм).
-
Определите период дифракционной решетки, если угол, под которым видна линия натрия длиной волны 5,89 • 10–7 м в спектре 1-го порядка, равен 17° 18'.
-
Через дифракционную решетку, имеющую 200 штрихов на 1 мм, пропущено монохроматическое излучение длиной волны 750 нм. Определите угол, под которым виден максимум 1-го порядка. (8° 38').
-
На мыльную пленку показателем преломления 1,33 падает по нормали монохроматический свет длиной волны 600 нм. Отраженный свет в результате интерференции имеет наибольшую интенсивность. Определите толщину пленки.
шағым қалдыра аласыз













